Stage-Wise SOH Prediction Using an Improved Random Forest Regression Algorithm
Abstract
1. Introduction
- (1)
- Direct methods based on capacity: These methods typically rely on periodic standard charge–discharge tests under constant conditions to measure the battery’s actual capacity or internal resistance for the SOH evaluation. Their advantages are a simple principle and intuitive results, which can yield accurate health indicators under laboratory conditions. However, this approach requires the battery to undergo complete charge–discharge cycles or long rest tests, which are difficult to achieve in real operation. For example, Wei et al. showed that, in practical applications, batteries rarely experience full constant-current charge–discharge processes, making it hard to continuously perform the SOH estimation based on full-cycle capacity measurements [2]. Moreover, internal resistance measurements are sensitive to state of charge and ambient temperature; thus, methods solely relying on capacity calibration data (e.g., full charge–discharge capacity or steady-state resistance) have limited applicability under field conditions.
- (2)
- Data-driven methods based on health feature extraction: These methods utilize easily accessible signals during battery operation (voltage, current, temperature, etc.) to extract health features and estimate the SOH through the mapping between these features and SOH [3]. Common HFs include the following: incremental capacity (IC) curve characteristics, where the positions and heights of peaks in the differential voltage (dV/dQ) curve during charging are analyzed to characterize changes in usable capacity [4]; voltage relaxation behavior, i.e., features of the voltage relaxation curve after charging or discharging, which reflect battery polarization and reversible capacity loss [5]; direct current resistance (DCR) evolution, where an equivalent circuit model or voltage–current transient response under operating conditions is used to obtain internal resistance growth for the SOH evaluation [6]; Coulombic efficiency and capacity variance statistics; and features of the probability density function (PDF) of voltage or capacity. Studies have shown that these features can reflect internal aging mechanisms and degradation trends to varying degrees. For example, incremental capacity analysis has been widely used to capture internal reaction changes—Li et al. applied Gaussian smoothing to IC curves and extracted peak positions/heights to predict the SOH of high-energy NMC cells [7]. Meanwhile, many works combine the above physical features with machine learning algorithms to improve the HF-to-SOH mapping [8]. Typical algorithms include support vector machines (SVMs), neural networks, and ensemble learning models. For instance, Zhang et al. combined IC curve features with support vector regression to achieve online SOH monitoring for vehicle batteries [9], while Peng et al. used IC curve features and a back-propagation (BP) neural network to accurately predict lithium-ion battery capacity [10]. Ensemble methods such as random forest regression (RFR) have also demonstrated strong performance in battery SOH prediction, offering high accuracy and interpretable feature importance [11].
- (3)
- Hybrid methods combining mechanism models and data-driven models: These methods integrate battery physical models (e.g., equivalent circuit models or electrochemical models) with data-driven algorithms to leverage both physical interpretability and predictive accuracy. On the one hand, physical models provide a physical basis for battery aging through equivalent circuit parameters or empirical degradation formulas describing capacity fade and resistance growth; on the other hand, data-driven approaches are introduced to correct or estimate the nonlinear aspects that mechanistic models struggle to capture, thereby improving robustness and generalization [12]. Some researchers have constructed detailed electrochemical–mechanical coupled models to simulate SEI film growth and lithium plating effects on capacity fade. Dong et al. proposed a physics-based model considering both chemical and mechanical degradation mechanisms, which can simulate the SEI formation/growth process to predict capacity decay [13]; similarly, Zhuo et al. built models for active material loss and cyclable lithium loss in the electrodes, achieving the accurate characterization of capacity evolution [14]. Overall, hybrid methods use physical models to provide constraints and priors, supplemented by data-driven models to correct the parts that are hard to capture, thereby enhancing the model’s adaptability to different operating conditions and battery types [15].
- (1)
- Uncertainty and trend identification: In actual operation, data noise, model error, and other uncertainties exist, and error distributions are not necessarily Gaussian. Most existing studies provide only a single-point SOH estimate; the few studies that consider error distribution often assume it to be Gaussian. Such deterministic outputs cannot reveal whether the health state is trending better or worse than expected. In other words, traditional methods struggle to promptly determine whether a battery is “degrading faster than expected” or “performing better than expected.” Recently, some researchers have introduced probabilistic approaches such as the Bayesian model for averaging the SOH estimation to incorporate model and parameter uncertainty, outputting a probability distribution for the SOH [16]. This approach highlights that quantifying prediction uncertainty is important for the early warnings of abnormal aging.
- (2)
- Lack of standard data under dynamic conditions: Field batteries operate under complex, fluctuating conditions—load power and charge–discharge rates vary frequently—making it difficult to regularly obtain complete full charge–discharge curves as the SOH references. In practice, batteries often undergo only partial charge–discharge and do not reach terminal voltages, which renders many full-cycle-based methods unusable. Thus, methods are needed that can estimate the SOH from fragmented, incomplete operating data. For example, some studies have attempted to extract features from ~10-min voltage relaxation curves or partial charge data to estimate capacity fade [17]. How to reliably extract health features and maintain model accuracy under non-standard operating profiles remains a major engineering challenge.
- (3)
- Insufficient generalization over long-term aging and cell-to-cell differences: Different batteries, due to manufacturing variance, usage environments, and operational history, may exhibit significantly different aging trajectories. A single model is hard-pressed to cover an entire fleet of batteries over their full lifespans. On the one hand, battery aging typically occurs in stages (e.g., initial, plateau, accelerated, end-of-life), with each stage governed by different degradation mechanisms and feature evolution patterns; a single model cannot easily accommodate all stages with high accuracy. On the other hand, as a battery ages, if a model trained on the initial data is never updated, its error may accumulate, failing to reflect new changes in health.
2. Offline–Online SOH Prediction Method
2.1. Offline Multi-Model Ensemble Training
2.1.1. Automatic SOH Staging
2.1.2. Stage-Wise Multi-Rate Model Set Training
2.1.3. Improved RFR Algorithm Incorporating Prediction Result Probability Distribution
- (1)
- The prediction output is expanded from a single point value to a probabilistic interval, preserving the output distribution information. This endows the model with the ability to recognize abnormal aging behaviors such as capacity recovery or accelerated degradation, enhancing its practical utility.
- (2)
- By integrating data augmentation and error distribution reconstruction, the model overcomes limitations of limited and non-ideal datasets [21], improving its robustness and adaptability in complex scenarios.
2.2. Feature Selection and Importance Ranking
2.2.1. Experience-Based Manual Screening
2.2.2. Correlation Coefficient-Based Screening
2.2.3. Automated HF Importance Ranking Using the RFR Model
2.3. Online Model Update and Application
2.3.1. Short-Term HF Prediction Modeling and Application
2.3.2. Offline Model Set Selection and Update
- (1)
- SOH-k set expansion under uncertainty: For the most recent capacity test point, let the measured capacity correspond to a health state . Using historical capacity test data , we construct multiple fitting schemes (e.g., polynomial fitting, piecewise fitting, weighted smoothing) to obtain several approximate functions . For each fitting form , we calculate the predicted health state at the current charge throughput :and we compute the local aging rate (slope) using the previous capacity test point:yielding multiple candidate point pairs .
- (2)
- Model set selection: For each candidate pair , we find the model from the offline-trained model library whose training stage and aging rate are closest to these values. We collect the set of such matching models as for use in the next prediction period.
- (3)
- Secondary training of models: Generally, different battery clusters or packs in a large energy storage station age at different paces. Incorporating information from other batteries with similar environments and aging stages into the model is an effective way to improve its accuracy. For each model in , we select a nearby subset of data from its original training set as follows:where and represent the central SOH and aging rate of that model’s training group, and represent small tolerance margins. We retrain (or perform an incremental update on) the model using to obtain an updated model, thereby incorporating the latest aging state information of the current battery group or station cluster.
- (4)
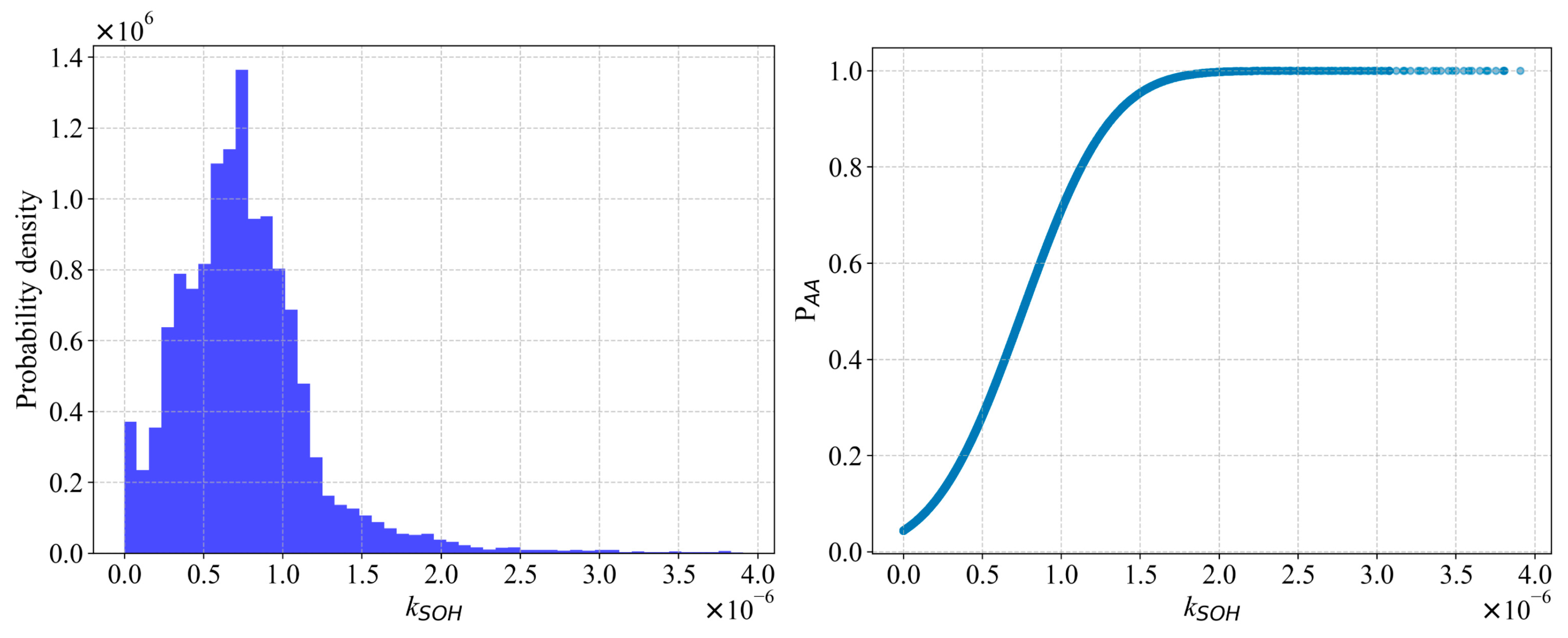
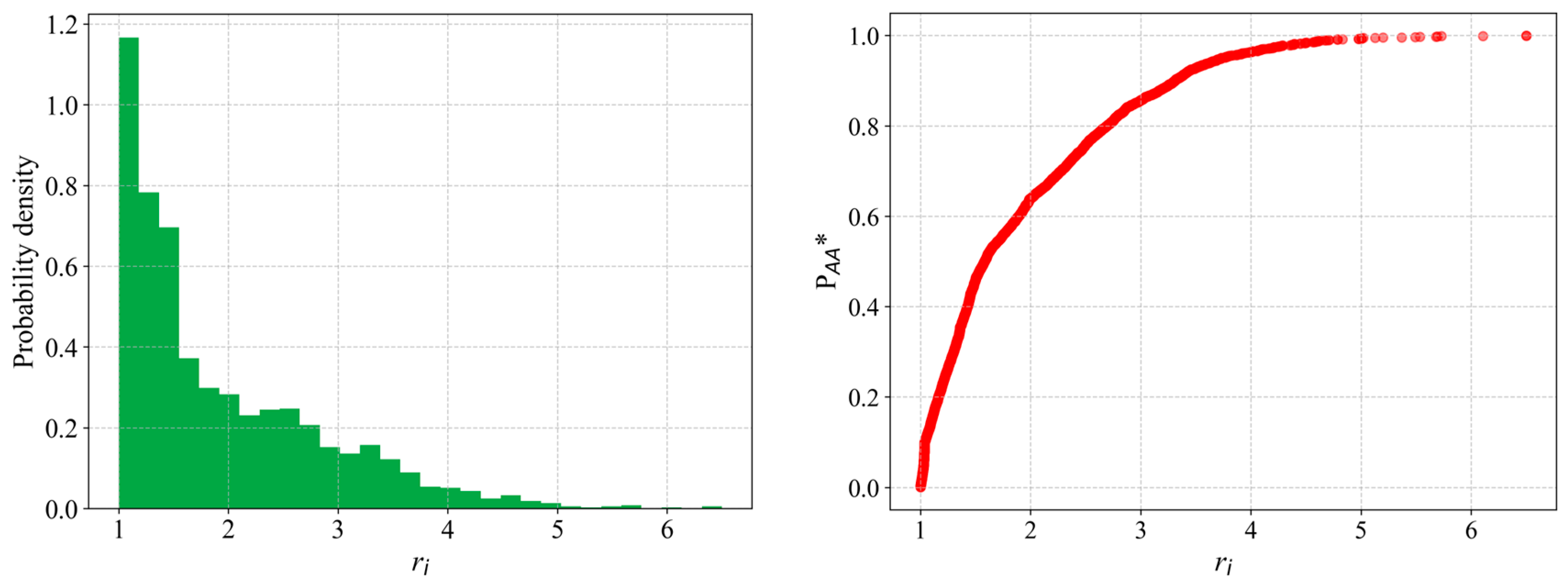
- Model set application: We take the multi-dimensional HFs obtained from the capacity test as the starting point, and we use the map model to predict their short-term evolution. In parallel, we continuously extract other HFs during normal (non-capacity-test) operation. The input feature vector thus includes both real-time measured HFs and short-term predicted HFs:where etc. denote the predicted features. Using each model, we obtain a set of SOH predictions for the current time. We analyze the SOH trend and its probability distribution to assist O&M personnel in assessing the battery health state. For the SOH distribution at each prediction time , we calculate the mean and the 5% lower confidence bound . On the one hand, we calculate based on . If exceeds the accelerated aging threshold , we issue an accelerated-aging warning. On the other hand, we define their difference as an indicator of lower-tail deviation. When consistently exceeds the threshold more than times, it is considered that the lower confidence interval has significantly shifted downward, indicating an increased left-tail risk of the predictive distribution, which triggers an accelerated-aging warning. If the instances of Δt being continuously below exceed , the warning is lifted. An accelerated-aging warning is issued if the warning is triggered based on either or . In subsequent cases, the values are as follows: = 0.8, = 0.03, = 3, and = 5.
- (5)
- Dynamic adjustment and expansion: Based on accumulated data and observed aging trends, we periodically augment or prune the model library to ensure prediction reliability and system stability over long durations and evolving operating conditions. In situations where operating conditions are complex or the battery has entered the late stage of aging, the prediction window can be appropriately shortened. In the following cases, the prediction window used is 1000 Ah, which corresponds to 10 cycles.
3. Experimental Implementation and Data Processing
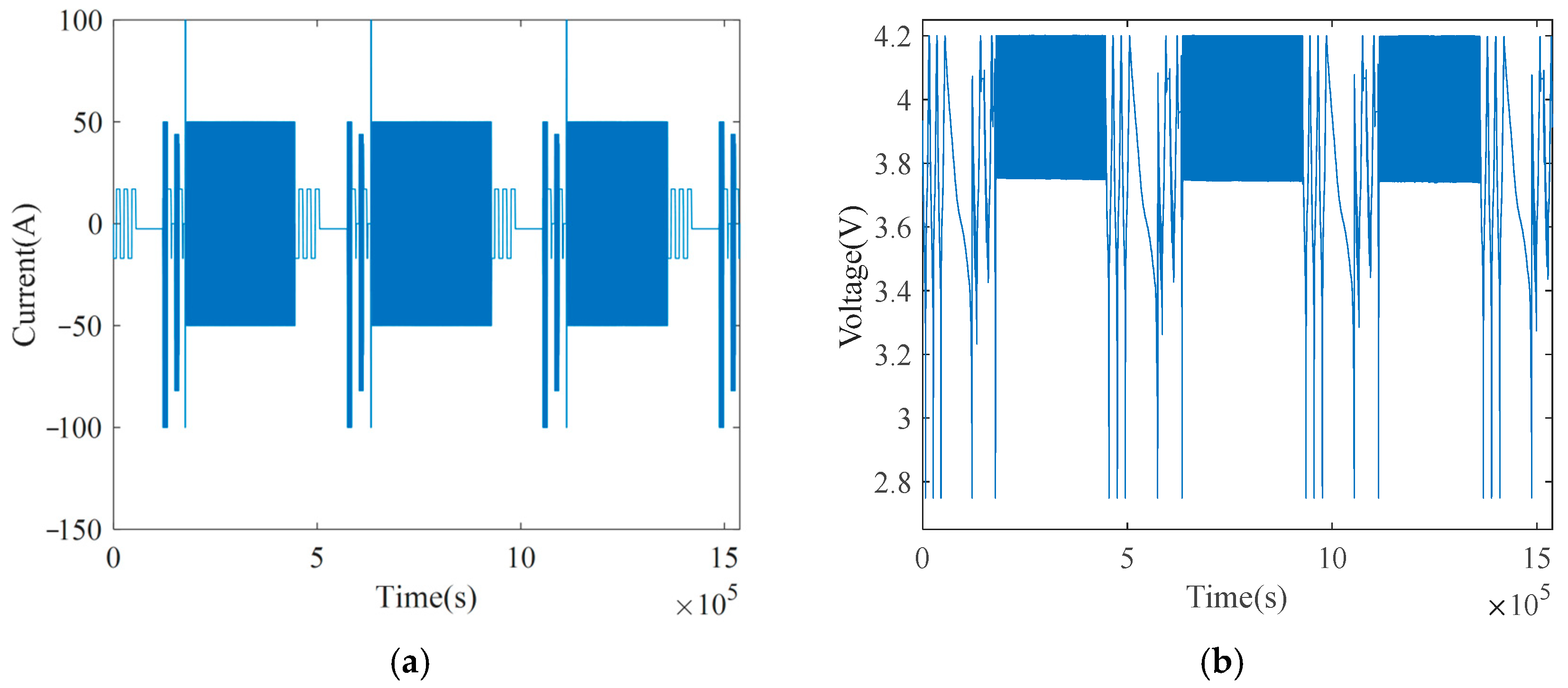
3.1. Experimental Method
3.2. Results and Analysis
4. Results of Model Training and Application
4.1. Offline Model Performance Evaluation
4.2. Online Application Case Studies
5. Conclusions
- Stage-wise multi-model strategy: Segmenting the battery life into stages and training dedicated models for different aging rates can make prediction models more targeted. With each stage’s model handling its respective segment, long-term prediction accuracy and robustness are significantly improved.
- Improved RFR with uncertainty quantification: The improved RFR algorithm provides an uncertainty evaluation of the results, enabling trend forecasting. For incipient accelerated decay, the model’s output distribution becomes significantly negatively skewed or even bimodal, giving a clear warning signal well before the SOH actually plunges.
- Adaptability to missing data and condition changes: By selecting multi-dimensional HFs and performing importance screening, the model does not fail if some HFs cannot be obtained or deviate abnormally. Meanwhile, the importance ranking of the remaining features provides insights into the primary aging modes.
- The short-term HF prediction model is based on aging data. For different manufacturers, cell chemistries, or markedly different operating conditions (e.g., much higher C-rates or different temperature regimes), additional aging experiments are needed to enrich the spectrum of aging paths and improve the map model’s coverage. In the future, techniques like transfer learning could be explored to quickly transfer the existing model to new types of batteries.
- In practical deployment, the frequency of capacity tests should be optimized. Our current strategy performs a capacity test approximately once per month to update the model, but an adaptive schedule could be considered. Further field validation and study of such adaptive diagnostic scheduling would help balance maintenance efforts and early warning effectiveness, ensuring the model’s benefits are fully utilized in real-world operations.
Author Contributions
Funding
Data Availability Statement
Acknowledgments
Conflicts of Interest
Abbreviations
| SOH | State of health |
| DOD | Depth of discharge |
| HF | Health feature |
| RFR | Random forest regression |
| Ah | Ampere-hour |
| VAR | Capacity variance (variance of throughput over voltage range) |
| IC | Incremental capacity |
| IC_Area1 | Area under the first peak of the IC curve |
| IC_Area2 | Area under the second peak of the IC curve |
| IC_Peak1 | Peak value of the first peak in the IC curve |
| IC_Peak2 | Peak value of the second peak in the IC curve |
| k_IC_Area2 | Degradation rate of IC_Area2 |
| Q_sc | Capacity in semi-charged segment (voltage-based) |
| Q_ec | Capacity in end-charged segment (voltage-based) |
| DCR | Direct current resistance |
| R_ohm | Ohmic resistance |
| R_pol | Polarization resistance |
| HPPC | Hybrid Pulse Power Characterization |
| FUDS | Federal Urban Driving Schedule |
| Probability of Accelerated Aging | |
| SOH degradation rate (slope) | |
| Degradation rate of health feature | |
| ECDF | Empirical cumulative distribution function |
| MAPE | Mean absolute percentage error |
| BMS | Battery management system |
| MAP | Feature Evolution Mapping Model |
| DST | Dynamic Stress Test |
| SEI | Solid Electrolyte Interphase |
References
- Tao, S.; Guo, R.; Lee, J.; Moura, S.; Casals, L.C.; Jiang, S.; Shi, J.; Harris, S.; Zhang, T.; Chung, C.Y.; et al. Immediate remaining capacity estimation of heterogeneous second-life lithium-ion batteries via deep generative transfer learning. Energy Environ. Sci. 2025, 18, 7413–7426. [Google Scholar] [CrossRef]
- Wei, Z.; Ruan, H.; Li, Y.; Li, J.; Zhang, C.; He, H. Multistage state of health estimation of lithium-ion battery with high tolerance to heavily partial charging. IEEE Trans. Power Electron. 2022, 37, 7432–7442. [Google Scholar] [CrossRef]
- Huang, X.; Tao, S.; Liang, C.; Ma, R.; Wang, X.; Xia, B.; Zhang, X. Robust and generalizable lithium-ion battery health estimation using multi-scale field data decomposition and fusion. J. Power Sources 2025, 642, 236939. [Google Scholar] [CrossRef]
- Guo, J.; Li, Y.; Meng, J.; Pedersen, K.; Gurevich, L.; Stroe, D.-I. Understanding the mechanism of capacity increase during early cycling of commercial NMC/graphite lithium-ion batteries. J. Energy Chem. 2022, 74, 34–44. [Google Scholar] [CrossRef]
- An adaptive and interpretable SOH estimation method for lithium-ion batteries based-on relaxation voltage cross-scale features and multi-LSTM-RFR2. Energy 2024, 304, 132167. [CrossRef]
- Ibraheem, R.; Strange, C.; dos Reis, G. Capacity and internal resistance of lithium-ion batteries: Full degradation curve prediction from voltage response at constant current at discharge. J. Power Sources 2023, 556, 232477. [Google Scholar] [CrossRef]
- Li, K.; Xie, N. Battery health prognostics based on improved incremental capacity using a hybrid grey modelling and gaussian process regression. Energy 2024, 303, 131888. [Google Scholar] [CrossRef]
- Ospina Agudelo, B.; Zamboni, W.; Postiglione, F.; Monmasson, E. Battery state-of-health estimation based on multiple charge and discharge features. Energy 2023, 263, 125637. [Google Scholar] [CrossRef]
- Zhang, Y.; Liu, Y.; Wang, J.; Zhang, T. State-of-health estimation for lithium-ion batteries by combining model-based incremental capacity analysis with support vector regression. Energy 2022, 239, 121986. [Google Scholar] [CrossRef]
- Peng, J.; Zhao, X.; Ma, J.; Meng, D.; Jia, S.; Zhang, K.; Gu, C.; Ding, W. State of health estimation of Li-ion battery via incremental capacity analysis and internal resistance identification based on kolmogorov–arnold networks. Batteries 2024, 10, 315. [Google Scholar] [CrossRef]
- Tao, S.; Ma, R.; Zhao, Z.; Ma, G.; Su, L.; Chang, H.; Chen, Y.; Liu, H.; Liang, Z.; Cao, T.; et al. Generative learning assisted state-of-health estimation for sustainable battery recycling with random retirement conditions. Nat. Commun. 2024, 15, 10154. [Google Scholar] [CrossRef]
- Xu, B.; Shi, J.; Li, S.; Li, H.; Wang, Z. Energy consumption and battery aging minimization using a Q-learning strategy for a battery/ultracapacitor electric vehicle. Energy 2021, 229, 120705. [Google Scholar] [CrossRef]
- Dong, G.; Wei, J. A physics-based aging model for lithium-ion battery with coupled chemical/mechanical degradation mechanisms. Electrochim. Acta 2021, 395, 139133. [Google Scholar] [CrossRef]
- Zhuo, M.; Offer, G.; Marinescu, M. Degradation model of high-nickel positive electrodes: Effects of loss of active material and cyclable lithium on capacity fade. J. Power Sources 2023, 556, 232461. [Google Scholar] [CrossRef]
- Tao, S.; Zhang, M.; Zhao, Z.; Li, H.; Ma, R.; Che, Y.; Sun, X.; Su, L.; Sun, C.; Chen, X.; et al. Non-destructive degradation pattern decoupling for early battery trajectory prediction via physics-informed learning. Energy Environ. Sci. 2025, 18, 1544–1559. [Google Scholar] [CrossRef]
- Zou, Q.; Wen, J. Battery state-of-health estimation incorporating model uncertainty based on bayesian model averaging. Energy 2024, 308, 132884. [Google Scholar] [CrossRef]
- Feng, X.; Zhang, Y.; Xiong, R.; Tang, A. Estimating battery state of health with 10-min relaxation voltage across various charging states of charge. iEnergy 2023, 2, 308–313. [Google Scholar] [CrossRef]
- Li, X.; Yu, D.; Vilsen, S.B.; Subramanian, V.R.; Stroe, D.-I. Robust remaining useful lifetime prediction for lithium-ion batteries with dual gaussian process regression-based ensemble strategies on limited sample data. IEEE Trans. Transp. Electrif. 2025, 11, 6279–6290. [Google Scholar] [CrossRef]
- Liu, H.; Li, C.; Hu, X.; Li, J.; Zhang, K.; Xie, Y.; Wu, R.; Song, Z. Multi-modal framework for battery state of health evaluation using open-source electric vehicle data. Nat. Commun. 2025, 16, 1137. [Google Scholar] [CrossRef]
- Wang, G.; Lyu, Z.; Li, X. An optimized random forest regression model for Li-ion battery prognostics and health management. Batteries 2023, 9, 332. [Google Scholar] [CrossRef]
- Tao, S.; Ma, R.; Chen, Y.; Liang, Z.; Ji, H.; Han, Z.; Wei, G.; Zhang, X.; Zhou, G. Rapid and sustainable battery health diagnosis for recycling pretreatment using fast pulse test and random forest machine learning. J. Power Sources 2024, 597, 234156. [Google Scholar] [CrossRef]
- Shi, Z.; Zhu, C.; Liang, H.; Wang, S.; Yu, C. Multiple measurement health factors extraction and transfer learning with convolutional-BiLSTM algorithm for state-of-health evaluation of energy storage batteries. Ionics 2025, 31, 1699–1717. [Google Scholar] [CrossRef]
- Movahedi, H.; Pannala, S.; Siegel, J.B.; Stefanopoulou, A.G. Physics-informed optimal experiment design of calendar aging tests and sensitivity analysis for SEI parameters estimation in lithium-ion batteries. IFAC-PapersOnLine 2023, 56, 433–438. [Google Scholar] [CrossRef]
- Xiao, W.; Miao, S.; Jia, J.; Zhu, Q.; Huang, Y. Lithium-ion batteries fault diagnosis based on multi-dimensional indicator. IET Conf. Proc. 2022, 2021, 96–101. [Google Scholar] [CrossRef]
- Xu, H.; Jia, J.; Xiao, W.; Hou, L.; Shang, Y. A high-precision state of health estimation method based on data augmentation for large-capacity lithium-ion batteries. J. Energy Storage 2024, 102, 114028. [Google Scholar] [CrossRef]
- He, X.; Wu, Z.; Bai, J.; Zhu, J.; Lv, L.; Wang, L. A novel SOH estimation method for lithium-ion batteries based on the PSO–GWO–LSSVM prediction model with multi-dimensional health features extraction. Appl. Sci. 2025, 15, 3592. [Google Scholar] [CrossRef]
- Mawonou, K.S.R.; Eddahech, A.; Dumur, D.; Beauvois, D.; Godoy, E. State-of-health estimators coupled to a random forest approach for lithium-ion battery aging factor ranking. J. Power Sources 2021, 484, 229154. [Google Scholar] [CrossRef]
- Xiao, W.; Jia, J.; Zhong, W.; Liu, W.; Wu, Z.; Jiang, C.; Li, B. A novel differentiated control strategy for an energy storage system that minimizes battery aging cost based on multiple health features. Batteries 2024, 10, 143. [Google Scholar] [CrossRef]
- Fan, C.; Tian, X.; Gu, C. Perturbation-based battery impedance characterization methods: From the laboratory to practical implementation. Batteries 2024, 10, 414. [Google Scholar] [CrossRef]
- Luo, X.; Song, Y.; Bu, W.; Liang, H.; Zheng, M. A Joint Prediction of the State of Health and Remaining Useful Life of Lithium-Ion Batteries Based on Gaussian Process Regression and Long Short-Term Memory. Processes 2025, 13, 239. [Google Scholar] [CrossRef]




































| Feature | Req. Cond.? | Comp. Cost | Slow Aging | Accelerated | Thermal |
|---|---|---|---|---|---|
| Maximum available Li-ion concentration | Yes | High | ✓ | ✓ | |
| SEI film resistance [23] | Yes | High | ✓ | ✓ | |
| Overpotential (η) | Yes | High | ✓ | ✓ | |
| Electrolyte loss | Yes | High | ✓ | ✓ | |
| Active material loss | No | Medium | ✓ | ✓ | ✓ |
| IC curve features | Yes | Medium | ✓ | ✓ | |
| Relaxation performance features | No | Medium | ✓ | ✓ | ✓ |
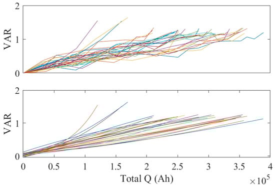
| Capacity variance (VAR) [24] | No | Low | ✓ | ✓ | |
| Voltage segment capacities (Qsc, Qec) [25] | No | Low | ✓ | ✓ | |
| HPPC-derived ohmic and polarization R | Yes | Low | ✓ | ✓ | ✓ |
| Pulse-derived equivalent resistance | No | Low | ✓ | ✓ | ✓ |
| Statistical metrics from CCCV curves | Yes | Low | ✓ | ✓ |
| C | 1 | 1.2 | 1.5 | 2 | |
|---|---|---|---|---|---|
| DOD | |||||
| 30 | 1, 2 | 9, 10 | 17, 18 | 25, 26 | |
| 50 | 3, 4 | 11, 12 | 19, 20 | 27, 28 | |
| 70 | 5, 6 | 13, 14 | 21, 22 | 29, 30 | |
| 100 | 7, 8 | 15, 16 | 23, 24 | 31, 32 | |
| k_HF | k_VARs | k_Qec | k_Qsc | k_IC_Area1 | k_IC_Area2 | k_IC_Peak1 |
| 0.688 | −0.532 | −0.572 | 0.390 | −0.810 | 0.375 | |
| k_IC_Peak2 | k_IC_Voltage1 | k_IC_Voltage2 | k_relaxation_time_20 | k_relaxation_time_40 | k_relaxation_time_50 | |
| −0.723 | 0.446 | 0.299 | −0.012 | −0.030 | −0.038 | |
| k_relaxation_time_60 | k_relaxation_time_80 | k_R_ohms_20 | k_R_ohms_40 | k_R_ohms_50 | k_R_ohms_60 | |
| −0.026 | 0.014 | 0.214 | 0.193 | 0.207 | 0.228 | |
| k_R_ohms_80 | k_R_ps_20 | k_R_ps_40 | k_R_ps_50 | k_R_ps_60 | k_R_ps_80 | |
| 0.190 | 0.209 | 0.208 | 0.200 | 0.205 | 0.211 | |
| HF | VARs | Qec | Qsc | IC_Area1 | IC_Area2 | IC_Peak1 |
| −0.987 | 0.662 | 0.968 | −0.934 | 0.990 | −0.910 | |
| IC_Peak2 | IC_Voltage1 | IC_Voltage2 | relaxation_time_20 | relaxation_time_40 | relaxation_time_50 | |
| 0.981 | −0.742 | −0.344 | 0.684 | 0.792 | 0.813 | |
| relaxation_time_60 | relaxation_time_80 | R_ohms_20 | R_ohms_40 | R_ohms_50 | R_ohms_60 | |
| 0.802 | 0.654 | −0.638 | −0.759 | −0.750 | −0.725 | |
| R_ohms_80 | R_ps_20 | R_ps_40 | R_ps_50 | R_ps_60 | R_ps_80 | |
| −0.607 | −0.793 | −0.833 | −0.842 | −0.829 | −0.759 | |
| DCRs_20 | DCRs_40 | DCRs_50 | DCRs_60 | DCRs_80 | - | |
| −0.700 | −0.778 | −0.792 | −0.761 | −0.660 | - |
| SOH Range | k Range | Number of Batteries Available for Training | Model Number |
|---|---|---|---|
| 0.9–1.0 | 0.0042–0.0071 | 13 | 1 |
| 0.0071–0.0100 | 11 | 2 | |
| 0.0100–0.0129 | 6 | 3 | |
| 0.82–0.9 | 0.0049–0.0144 | 27 | 4 |
| 0.0144–0.0238 | 2 | 5 | |
| 0.0238–0.0333 | 1 | 6 | |
| 0–0.82 | 0.0047–0.0225 | 27 | 7 |
| 0.0225–0.0403 | 2 | 8 | |
| 0.0403–0.0581 | 1 | 9 |
| Model | RMSE | MAPE (%) | Early Warning Cycles |
|---|---|---|---|
| Proposed RFR | 0.0093 | 0.78 | 218 |
| GPR baseline | 0.0115 | 1.03 | 79 |
Disclaimer/Publisher’s Note: The statements, opinions and data contained in all publications are solely those of the individual author(s) and contributor(s) and not of MDPI and/or the editor(s). MDPI and/or the editor(s) disclaim responsibility for any injury to people or property resulting from any ideas, methods, instructions or products referred to in the content. |
© 2026 by the authors. Licensee MDPI, Basel, Switzerland. This article is an open access article distributed under the terms and conditions of the Creative Commons Attribution (CC BY) license.
Share and Cite
Xiao, W.; Jia, J.; Gao, W.; Li, H.; Xu, H.; Zhong, W.; He, K. Stage-Wise SOH Prediction Using an Improved Random Forest Regression Algorithm. Electronics 2026, 15, 287. https://doi.org/10.3390/electronics15020287
Xiao W, Jia J, Gao W, Li H, Xu H, Zhong W, He K. Stage-Wise SOH Prediction Using an Improved Random Forest Regression Algorithm. Electronics. 2026; 15(2):287. https://doi.org/10.3390/electronics15020287
Chicago/Turabian StyleXiao, Wei, Jun Jia, Wensheng Gao, Haibo Li, Hong Xu, Weidong Zhong, and Ke He. 2026. "Stage-Wise SOH Prediction Using an Improved Random Forest Regression Algorithm" Electronics 15, no. 2: 287. https://doi.org/10.3390/electronics15020287
APA StyleXiao, W., Jia, J., Gao, W., Li, H., Xu, H., Zhong, W., & He, K. (2026). Stage-Wise SOH Prediction Using an Improved Random Forest Regression Algorithm. Electronics, 15(2), 287. https://doi.org/10.3390/electronics15020287

