Evaluation of Connectivity Reliability in MANETs Considering Link Communication Quality and Channel Capacity
Abstract
1. Introduction
- Designing a simulation algorithm to calculate the probability of successful information transmission in MANETs under a specific channel capacity;
- Extending the existing assumptions of imperfect nodes and perfect links, comprehensively analyzing the impacts of internal and external network factors (e.g., fast node mobility, node failure rules, node information processing load, environment, and channel capacity), and designing a simulation-based algorithm for solving MANET connectivity reliability;
- Investigating, through simulation experiments and comparative result analysis, the influence mechanisms and laws of link quality and channel capacity on MANET connectivity reliability; exploring the correlation between node failure modes and the probability of successful information transmission in the network; and studying the correlation between node failure occurrence rules and the number of links/routing paths.
2. Link Communication Quality and Reliable Communication Distance
2.1. Analysis of Link Communication Quality
2.2. Analysis of Reliable Communication Distance in MANETs
- (1)
- Short-range (): Link reliability is 1;
- (2)
- Medium range (): The signal adopts Free Space Propagation (FS) mode, and the reliability of the link is inversely proportional to ;
- (3)
- Long-range (): The signal employs the Two Ray Ground Propagation (TRG) method, and the reliability of the link is inversely proportional to ;
- (4)
- Exceeding communication distance threshold (): The nodes are beyond each other’s radio transmission range, and the link reliability is 0. The graphical representation of the link reliability model is shown in Figure 2.
3. Channel Capacity and Information Transmission Time
3.1. Calculation of Information Transmission Time
3.2. Probability Density Function of Channel Capacity
3.3. Step-by-Step Derivation of Information Transmission Time PDF
4. Link Lifetime and Path Lifetime
5. Available Duration and Transmission Success Probability of Routing Transmission
- (1)
- Variable substitution
- (2)
- Substitute the integrand
- (3)
- Simplification of integrals
- (1)
- Generate weighted adjacency matrix : Substitute the elements in the Euclidean distance matrix into the link reliability model to calculate the reliability values , and generate a weighted adjacency matrix .
- (2)
- Determine the connectivity status of links: Compare the link reliability with the threshold in turn, traverse all links within the MANET, and generate a binary adjacency matrix .
- (3)
- Calculate the lifetime of reliable links: For the reliable links, substitute them into the link lifetime calculation formula to obtain the lifetime .
- (4)
- Identify the minimum path set and routing path: In response to the information transmission and reception requirements, the minimum path set and shortest routing path between source node and sink node is obtained by using Dijkstra algorithm.
- (5)
- Calculate the information processing capacity of nodes: Determine the received information processing capacity and the sent information processing capacity of each node in different routing paths.
- (6)
- Calculate the information transmission time : For links and routing paths, substitute them into the information transmission time calculation formula to obtain the transmission time and under the premise of channel capacity .
- (7)
- Calculate the lifetime : Based on the lifetime time , substitute the path lifetime formula to calculate the lifetime of each routing path separately.
- (8)
- Calculate the transmission success probability : Based on the information transmission time and lifetime , the transmission success probability of the routing path is obtained by looking up the standard normal distribution table.
- (9)
- Algorithm ends: Output .
| Algorithm 1. Simulation-based solution algorithm for probability of successful routing transmission. | |
| Input: | , |
| Output: | |
| 1. | |
| 2. | // Based on FS-TRG model |
| 3. | |
| 4. | // Determine the connectivity status of links |
| 5. | |
| 6. | |
| 7. | |
| 8. | Calculate l |
| 9. | // |
| 10. | |
| 11. | |
| 12. | |
| 13. | // Look up the standard normal distribution table |
| 14. | |
6. Network Node Failure Modes Analysis
7. Simulation Algorithm for Solving Connectivity Reliability of MANETs
7.1. Evaluation Metrics
7.1.1. Mean Link Lifetime
7.1.2. Mean Routing Path Lifetime
7.1.3. Mean Success Rate of Information Transmission
7.2. Simulation Algorithm for Solving Connectivity Reliability of MANETs Considering Link Status and Capacity
- (1)
- Initialize the graph theory model of the MANET at : Based on task and deployment information, determine the number of nodes in the MANET and the index of each node ; assign initial coordinates, directions, and velocities to all nodes; and set the node sets as follows: (nodes with normal communication), (hardware/software failure), (energy consumption failure), (location failure), and (isolation failure).
- (2)
- Determine whether a node has experienced a hardware/software failure: For all nodes in the current , calculate the probability of hardware/software failure at each node according to the formula , and compare it with a random number . If , the node is identified as failed. We update the node sets as (add to hardware/software failure set) and (remove from normal node set). After checking all nodes in , if (there are still normal nodes), proceed to step (3); otherwise (no normal nodes remain, and the network is non-functional), proceed to step (12) to terminate the algorithm.
- (3)
- Determine whether a node has experienced a location failure: For all nodes in the current , calculate the location failure probability for each node using the formula , and compare it with a random number . If , then the node is determined to be failed, and updates the sets as and . After traversing all normal nodes in the current MANET, if , then proceed to step (4); otherwise, proceed to step (12).
- (4)
- Generate inter-node distance matrix and binary adjacency matrix : For all nodes in the current , generate the inter-node Euclidean distance matrix using the formula , and further obtain the binary adjacency matrix that accounts for link communication quality in the MANET at this moment .
- (5)
- Identify the current information transmission and reception requirements of MANETs: Determine the volume of information , the source nodes for information processing, and the corresponding sink nodes .
- (6)
- Calculate the successful transmission probability of each routing path: Utilize Algorithm 1 proposed in the paper to compute the successful transmission probability of each routing path under the current full information transmission and reception requirements of the MANET. Compare this probability with a random number . If , it is determined that the routing path successfully transmits information, achieving communication connectivity from the source node to the sink node, and updating . Otherwise, it is determined that the routing path fails to transmit information, communication connectivity between the source node and the sink node is not established, and updating . This process is repeated for all routing paths within the MANET at the moment .
- (7)
- Determine whether a node has experienced an energy consumption failure: Calculate the remaining energy of each node in the MANET at time using the formula and compare each node’s remaining energy with the energy threshold . If , node is identified as failed, and updates and are made. After traversing all normal nodes in the current MANET, if , then proceed to step (8); otherwise, proceed to step (12).
- (8)
- Update distance matrix and adjacency matrix: For all nodes in the current network, generate an Euclidean distance matrix between nodes , and further obtain a binary adjacency matrix considering the link communication quality in the MANET at this moment .
- (9)
- Determine whether a node has experienced isolation failure: If a node exists and meets the specified criteria , it is determined that isolation failure has occurred. Update and , if , proceed to step (10); otherwise, proceed to step (12).
- (10)
- Update node position information: For all nodes in the current , calculate and update the direction vectors, coordinates, and other information of each node at the next moment based on the Couzin-leader model.
- (11)
- Update the simulation clock: Update If , proceed to step (2) and continue the iterative operation; otherwise, proceed to step (12).
- (12)
- Algorithm ends: Output the result data.
| Algorithm 2. Simulation algorithm for solving connectivity reliability of MANETs considering link status and capacity. | |
| Input: | , , , , , |
| Output: | , , |
| 1. | |
| 2. | |
| 3. | |
| 4. | // Corresponding to the 5 node sets |
| 5. | For |
| 6. | |
| 7. | |
| 8. | End if |
| 9. | End for |
| 10. | // Determine whether a node has experienced a hardware/software failure |
| 11. | For |
| 12. | |
| 13. | |
| 14. | End if |
| 15. | End for |
| 16. | // Determine whether a node has experienced a location failure |
| 17. | |
| 18. | Determine |
| 19. | // Identify the information transmission and reception requirements |
| 20. | |
| 21. | // Utilize Algorithm 1 |
| 22. | For |
| 23. | |
| 24. | |
| 25. | End if |
| 26. | End for |
| 27. | // Determine whether a node has experienced an energy consumption failure |
| 28. | |
| 29. | For |
| 30. | |
| 31. | |
| 32. | End if |
| 33. | End for |
| 34. | // Determine whether a node has experienced isolation failure |
| 35. | If |
| 36. | |
| 37. | |
| 38. | Proceed to step (5) |
| 39. | Else |
| 40. | Proceed to step (45) |
| 41. | End if |
| 42. | Else |
| 43. | Proceed to step (45) |
| 44. | End if |
| 45. | Output the result data |
8. Experiments and Analysis
8.1. Simulation Experiment Parameter Setting
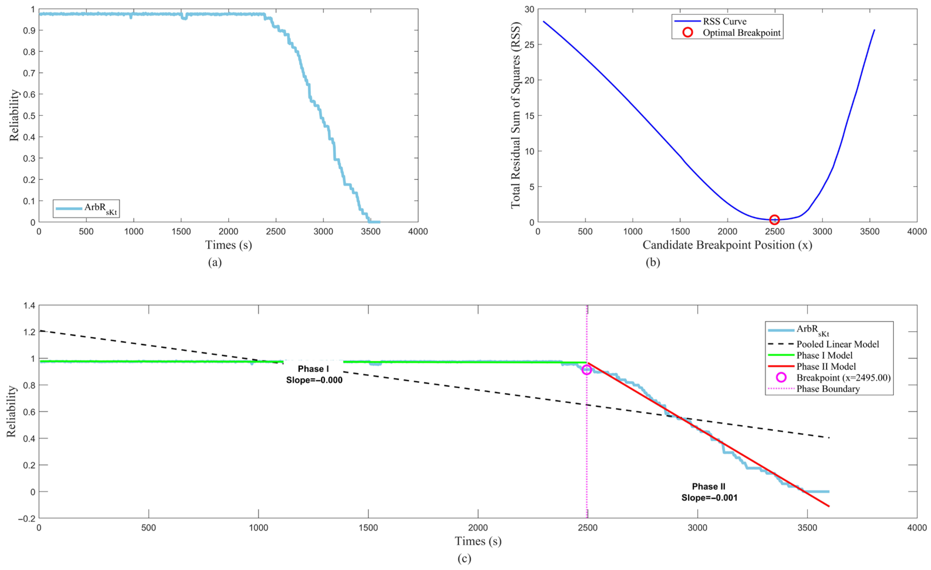
8.2. Analysis of Simulation Experiment Results
9. Conclusions
Author Contributions
Funding
Data Availability Statement
Conflicts of Interest
Appendix A
Appendix A.1. Preliminaries: Couzin-Leader Model Dynamics
- Leader Motion: Leaders move at constant velocity (Section 8.1) and fixed direction, ensuring ordered swarm movement.
- Follower Forces: Each follower adjusts direction via three forces from neighbors (leaders/followers):
- 3.
- Equilibrium Criterion: A stable cluster requires followers to maintain a constant relative distance from leaders (no divergence or collapse), where the net force on each follower is zero ().
Appendix A.2. System State and Equilibrium Point
Appendix A.2.1. State Variable Definition
Appendix A.2.2. Equilibrium Existence
Appendix A.3. Linearization and Jacobian Matrix
Appendix A.4. Eigenvalue Analysis for Stability
Appendix A.5. Conclusion
- An equilibrium point exists with .
- The linearized system’s Jacobian has eigenvalues with negative real parts.
References
- Kozyra, P.M. A Parallel Algorithm for Reliability Assessment of Multi-State Flow Networks Based on Simultaneous Finding of All Multi-State Minimal Paths and Performing State Space Decomposition. Reliab. Eng. Syst. Saf. 2024, 251, 110376. [Google Scholar] [CrossRef]
- Hao, Z.; Yeh, W.C.; Wang, J.; Wang, G.G.; Sun, B. A Quick Inclusion-Exclusion Technique. Inf. Sci. 2019, 486, 20–30. [Google Scholar] [CrossRef]
- Refaat Hassan, M.; Alkhalaf, S.; Mohamed Hemeida, A.; Ahmed, M.; Mahmoud, E. Artificial Intelligent Applications for Estimating Flow Network Reliability. Ain Shams Eng. J. 2023, 14, 102055. [Google Scholar] [CrossRef]
- Kozyra, P.M. The Usefulness of (d,b)-MCs and (d,b)-MPs in Network Reliability Evaluation under Delivery or Maintenance Cost Constraints. Reliab. Eng. Syst. Saf. 2023, 234, 109175. [Google Scholar] [CrossRef]
- Regragui, Y.; Moussa, N. Impact of Mobility Design on Network Connectivity Dynamics in Urban Environment. Simul. Model. Pract. Theory 2022, 119, 102577. [Google Scholar] [CrossRef]
- Babu, S.; Parthiban, A.R.K. DTMR: An Adaptive Distributed Tree-Based Multicast Routing Protocol for Vehicular Networks. Comput. Stand. Interfaces 2022, 79, 103551. [Google Scholar] [CrossRef]
- Sohail, M.; Latif, Z.; Javed, S.; Biswas, S.; Ajmal, S.; Iqbal, U.; Raza, M.; Khan, A.U. Routing Protocols in Vehicular Adhoc Networks (VANETs): A Comprehensive Survey. Internet Things 2023, 23, 100837. [Google Scholar] [CrossRef]
- Dui, H.; Zhang, H.; Dong, X.; Zhang, S. Cascading Failure and Resilience Optimization of Unmanned Vehicle Distribution Networks in IoT. Reliab. Eng. Syst. Saf. 2024, 246, 110071. [Google Scholar] [CrossRef]
- Shinde, N.; Patil, D.V.H. Enhancing Network Lifetime in WSNs through Coot Algorithm-Based Energy Management Model. MethodsX 2025, 14, 103176. [Google Scholar] [CrossRef]
- El Khadiri, M.; Yeh, W.C.; Cancela, H. An Efficient Factoring Algorithm for the Quickest Path Multi-State Flow Network Reliability Problem. Comput. Ind. Eng. 2023, 179, 109221. [Google Scholar] [CrossRef]
- Cook, J.L.; Ramirez-Marquez, J.E. Reliability Analysis of Cluster-Based Ad-Hoc Networks. Reliab. Eng. Syst. Saf. 2008, 93, 1512–1522. [Google Scholar] [CrossRef]
- Mkongwa, K.G.; Liu, Q.; Zhang, C. Link Reliability and Performance Optimization in Wireless Body Area Networks. IEEE Access 2019, 7, 155392–155404. [Google Scholar] [CrossRef]
- Lu, T.; Zhu, J.; Chang, S.; Zhu, L. Maximizing Multicast Lifetime in Unreliable Wireless Ad Hoc Network. Wirel. Netw. 2018, 24, 1175–1185. [Google Scholar] [CrossRef]
- Shelly, S.; Babu, A.V. Link Residual Lifetime-Based next Hop Selection Scheme for Vehicular Ad Hoc Networks. EURASIP J. Wirel. Commun. Netw. 2017, 2017, 23. [Google Scholar] [CrossRef]
- Sai Kumar, B.V.; Padmavathy, N. A Hybrid Link Reliability Model for Estimating Path Reliability of Mobile Ad Hoc Network. Procedia Comput. Sci. 2020, 171, 2177–2185. [Google Scholar] [CrossRef]
- Yuan, H.; Li, R.; Wang, L.; Ren, B.; Chen, T.; Guo, D. Toward Resilient Communication Architecture: Online Network Reconfiguration for UAV Failure. Comput. Netw. 2025, 263, 111210. [Google Scholar] [CrossRef]
- Liao, J.; Xiang, L.; Zhong, S.; Xiao, L.; Liu, H.; Yang, K. Cooperative Base Station Assignment and Resource Allocation for 6G ISAC Network. IEEE Trans. Veh. Technol. 2025. [Google Scholar] [CrossRef]
- Padmavathy, N.; Chaturvedi, S.K. Evaluation of Mobile Ad Hoc Network Reliability Using Propagation-Based Link Reliability Model. Reliab. Eng. Syst. Saf. 2013, 115, 1–9. [Google Scholar] [CrossRef]
- Walikar, G.A.; Biradar, R.C. A Survey on Hybrid Routing Mechanisms in Mobile Ad Hoc Networks. J. Netw. Comput. Appl. 2017, 77, 48–63. [Google Scholar] [CrossRef]
- Wang, N.; Tian, T.Z.; He, J.T.; Zhang, C.Z.; Yang, J. Transmission Reliability Evaluation of Wireless Sensor Networks Considering Channel Capacity Randomness and Energy Consumption Failure. Reliab. Eng. Syst. Saf. 2024, 242, 109769. [Google Scholar] [CrossRef]
- Xu, B.; Liu, T.; Bai, G.; Tao, J.; Zhang, Y.A.; Fang, Y. A Multistate Network Approach for Reliability Evaluation of Unmanned Swarms by Considering Information Exchange Capacity. Reliab. Eng. Syst. Saf. 2022, 219, 108221. [Google Scholar] [CrossRef]
- Liu, T.; Bai, G.; Tao, J.; Zhang, Y.A.; Fang, Y. A Multistate Network Approach for Resilience Analysis of UAV Swarm Considering Information Exchange Capacity. Reliab. Eng. Syst. Saf. 2024, 241, 109606. [Google Scholar] [CrossRef]
- Wang, N.; He, J.; Xiang, S.; Yang, J. Transmission Reliability Evaluation of the Wireless Mobile Ad Hoc Network Considering the Routing Protocol and Randomness of Channel Capacity. Qual. Reliab. Eng. Int. 2024, 40, 664–680. [Google Scholar] [CrossRef]
- Sridhar, K.N.; Chan, M.C. Modeling Link Lifetime Data with Parametric Regression Models in MANETs. IEEE Commun. Lett. 2009, 13, 983–985. [Google Scholar] [CrossRef]
- Xiang, S.; Yang, J. Performance Reliability Evaluation for Mobile Ad Hoc Networks. Reliab. Eng. Syst. Saf. 2018, 169, 32–39. [Google Scholar] [CrossRef]
- Vijayalakshmi, K.; Maheshwari, A.; Saravanan, K.; Vidyasagar, S.; Kalyanasundaram, V.; Sattianadan, D.; Bereznychenko, V.; Narayanamoorthi, R. A Novel Network Lifetime Maximization Technique in WSN Using Energy Efficient Algorithms. Sci. Rep. 2025, 15, 10644. [Google Scholar] [CrossRef]
- Wu, B.; Sun, L. A Novel Layer-by-Layer Recursive Decomposition Algorithm for Calculation of Network Reliability. Reliab. Eng. Syst. Saf. 2024, 244, 109968. [Google Scholar] [CrossRef]
- Fu, X.; Yang, Y. Analysis on Invulnerability of Wireless Sensor Networks Based on Cellular Automata. Reliab. Eng. Syst. Saf. 2021, 212, 107616. [Google Scholar] [CrossRef]
- Ding, C.; Wei, P.; Shi, Y.; Liu, J.; Broggi, M.; Beer, M. Sampling and Active Learning Methods for Network Reliability Estimation Using K-Terminal Spanning Tree. Reliab. Eng. Syst. Saf. 2024, 250, 110309. [Google Scholar] [CrossRef]
- Zhou, X.; Huang, Y.; Bai, G.; Xu, B.; Tao, J. The Resilience Evaluation of Unmanned Autonomous Swarm with Informed Agents under Partial Failure. Reliab. Eng. Syst. Saf. 2024, 244, 109920. [Google Scholar] [CrossRef]
- Fu, X.; Zheng, D.; Liu, X.; Xing, L.; Peng, R. Systematic Review and Future Perspectives on Cascading Failures in Internet of Things: Modeling and Optimization. Reliab. Eng. Syst. Saf. 2025, 254, 110582. [Google Scholar] [CrossRef]
- Yang, F.; Ma, T.; Shu, N.; Liu, C.; Wu, T.; Chang, C. Is Your Solution Accurate? A Fault-Oriented Performance Prediction Method for Enhancing Communication Network Reliability. Reliab. Eng. Syst. Saf. 2025, 256, 110793. [Google Scholar] [CrossRef]
- Harifi, S.; Razavi, A.; Rad, M.H.; Moradi, A. A Giza Pyramids Construction Metaheuristic Approach Based on Upper Bound Calculation for Solving the Network Reliability Problem. Appl. Soft Comput. 2024, 167, 112241. [Google Scholar] [CrossRef]
- Cao, J.; Bian, Y.; He, C.; Liu, F.; Xu, D.; Guo, Y. Evaluation of Connectivity Reliability of VANETs Considering Node Mobility and Multiple Failure Modes. Sensors 2025, 25, 6073. [Google Scholar] [CrossRef]











| Parameter Category | Parameter Name | Parameter Meaning |
|---|---|---|
| Basic Parameters | Number of Nodes | |
| Simulation Duration | ||
| Time Step | ||
| Number of Simulation Runs | ||
| Euclidean Distance Matrix | ||
| Weighted Adjacency Matrix | ||
| Binary Adjacency Matrix | ||
| Link/Channel Parameters | Short-to-Medium Range Coefficient | |
| Medium-to-Long Range Coefficient | ||
| Communication Distance Threshold | ||
| Link Reliability Threshold | ||
| Reliability of link eij | ||
| Channel Capacity | ||
| Channel Capacity Mean | ||
| Channel Capacity Standard Deviation | ||
| Lifetime of Link eij | ||
| Lifetime of Path Pk | ||
| Mobility Model Parameters | Coordinate of Node Ni | |
| Motion Direction of Node Ni | ||
| Euclidean Distance between Node Ni and Nj | ||
| Repulsion Distance | ||
| Attraction Distance | ||
| Node Speed Range | ||
| Node Failure Parameters | Hardware/Software MTTF | |
| Hazard Source Coordinates | ||
| Initial Energy | ||
| Circuit Energy Consumption | ||
| Power Amplification Coefficient | ||
| Minimum Operating Energy | ||
| Information Transmission Parameters | Periodic Information I Data Volume | |
| Received Information Processing Capacity of Node Ni | ||
| Sent Information Processing Capacity of Node Ni | ||
| Source Node | ||
| Sink Node | ||
| Information Transmission Time | ||
| Transmission Success Probability of Path Pk |
| Main Steps | Core Operations | Time Complexity (TC) |
|---|---|---|
| Matrix Generation | potential node pairs). | |
| Link Lifetime Calculation | , where is the number of links. | |
| Shortest Path Finding | with an adjacency matrix implementation. | |
| Probability calculation | (constant time). |
| Reliability Metrics | Transmission Quality (Assumption 1) | Transmission Quality (Assumption 2) | Difference Value (Difference Ratio) |
|---|---|---|---|
| 279.1 | 272.3355 | −6.7645 (−2.4237%) | |
| 3416.1 | 3331.0636 | −85.0364 (−2.4893%) | |
| 225.3 | 219.8399 | −5.4601 (−2.4235%) | |
| 2972.1 | 2897.913 | −74.187 (−2.4961%) | |
| 3595 | 3505.5358 | −89.4642 (−2.4886%) |
| Reliability Metrics | Network Lifetime (Assumption 1) | Network Lifetime (Assumption 2) | Difference Value (Difference Ratio) |
|---|---|---|---|
| 1015 | 1012 | −3 (−0.2956%) | |
| 940 | 940 | 0 (0%) | |
| 3480 | 3479 | −1 (−0.0003%) |
Disclaimer/Publisher’s Note: The statements, opinions and data contained in all publications are solely those of the individual author(s) and contributor(s) and not of MDPI and/or the editor(s). MDPI and/or the editor(s) disclaim responsibility for any injury to people or property resulting from any ideas, methods, instructions or products referred to in the content. |
© 2026 by the authors. Licensee MDPI, Basel, Switzerland. This article is an open access article distributed under the terms and conditions of the Creative Commons Attribution (CC BY) license.
Share and Cite
Bian, Y.; Cao, J.; He, C.; Huang, X.; Shen, Y.; Wang, J. Evaluation of Connectivity Reliability in MANETs Considering Link Communication Quality and Channel Capacity. Electronics 2026, 15, 264. https://doi.org/10.3390/electronics15020264
Bian Y, Cao J, He C, Huang X, Shen Y, Wang J. Evaluation of Connectivity Reliability in MANETs Considering Link Communication Quality and Channel Capacity. Electronics. 2026; 15(2):264. https://doi.org/10.3390/electronics15020264
Chicago/Turabian StyleBian, Yunlong, Junhai Cao, Chengming He, Xiying Huang, Ying Shen, and Jia Wang. 2026. "Evaluation of Connectivity Reliability in MANETs Considering Link Communication Quality and Channel Capacity" Electronics 15, no. 2: 264. https://doi.org/10.3390/electronics15020264
APA StyleBian, Y., Cao, J., He, C., Huang, X., Shen, Y., & Wang, J. (2026). Evaluation of Connectivity Reliability in MANETs Considering Link Communication Quality and Channel Capacity. Electronics, 15(2), 264. https://doi.org/10.3390/electronics15020264
