Next Article in Journal
SQL Statement Generation Enhanced Through the Fusion of Large Language Models and Knowledge Graphs
Previous Article in Journal
SplitML: A Unified Privacy-Preserving Architecture for Federated Split-Learning in Heterogeneous Environments
error_outline You can access the new MDPI.com website here. Explore and share your feedback with us.
 
 
Font Type:
Arial Georgia Verdana
Font Size:
Aa Aa Aa
Line Spacing:
Column Width:
Background:
Article

Dynamic Error-Modulated Prescribed Performance Control of a DC–DC Boost Converter Using a Neural Network Disturbance Observer

School of Automation and Software Engineering, Shanxi University, Taiyuan 030031, China
*
Author to whom correspondence should be addressed.
Electronics 2026, 15(2), 277; https://doi.org/10.3390/electronics15020277
Submission received: 24 December 2025 / Revised: 1 January 2026 / Accepted: 5 January 2026 / Published: 7 January 2026
(This article belongs to the Special Issue Automatic Control Strategy and Technology in Power Electronics)

Abstract

This paper formulates a control framework grounded in prescribed performance control (PPC) and combined with a dynamic error modulation function. The proposed framework addresses the control challenges of DC–DC boost converters under sudden power variations caused by constant power loads (CPLs). A sine kernel-based prescribed performance function with smoothly decaying characteristics is designed to form a dynamic performance boundary that gradually tightens as the system state evolves. Furthermore, to effectively eliminate the restriction of traditional PPC on the system’s initial state, a time-varying modulation function is introduced. This function dynamically scales the tracking error, thereby improving the system’s adaptability at the initial state. A neural network disturbance observer (NNDO) is employed to approximate and compensate for unknown nonlinearities and external disturbances, thereby enhancing system robustness and adaptability. Consequently, a prescribed performance controller that integrates dynamic error modulation and a dual-channel NNDO is proposed. The proposed controller not only guarantees that the tracking error satisfies the prescribed performance constraints but also avoids the computation of high-order derivatives. Simulation results demonstrate that the proposed method maintains bounded convergence of the tracking error and achieves smooth voltage regulation during CPL variations. The results further exhibit excellent dynamic response and steady-state performance.

1. Introduction

In recent years, power electronics technology has continued to advance. Due to its high-power density and high reliability in industrial and defense fields [1], Direct Current Microgrid (DC MG) has attracted extensive attention. Due to its high efficiency, fast dynamic response and good controllability [2,3,4], the DC power supply mode has been widely applied. This trend has not only promoted the engineering application of DC distribution microgrids but has also led to a continual rise in research interest. However, DC MG systems often integrate numerous power electronic converters, especially controlled loads in the form of constant power loads (CPLs). These characteristics can lead to complex and difficult-to-model system dynamics [5,6,7]. As a key conversion module, the DC-DC boost converter has been widely studied in various DC power distribution applications, including photovoltaic power generation [8,9], wind turbine systems [10,11], and fuel cell systems [12,13].
In recent years, prescribed performance control (PPC) has attracted considerable attention [14,15]. By designing a time-decreasing prescribed performance function, the PPC method ensures that the tracking error remains within a predefined bound. This design enables a fast system response with controllable accuracy. Due to the PPC method’s direct constraint on performance, it is used in converter systems and other scenarios with high dynamic performance requirements. With the development of intelligent control and adaptive learning theory, the neural network disturbance observer (NNDO) has gradually become an effective disturbance estimation method. It has been widely applied to nonlinear systems [8,16]. NNDO utilizes its powerful approximation capability to adaptively estimate the total disturbance resulting from nonlinear terms and external disturbances through online learning. Different from traditional observers, NNDO formulates nonlinear mappings through activation functions to model the uncertainties of complex dynamics and achieve dynamic tracking. NNDO can still maintain high estimation accuracy and fast response under time-varying parameters, model inaccuracies, or sudden load variations. Sudden changes in load power in DC MGs often cause system instability. Incorporating NNDO can effectively enhance the adaptability and robustness of control system to sudden changes in load power. PPC works with NNDO to ensure the tracking error converges within a dynamic boundary. Furthermore, this method ensures that the system can achieve fast dynamic response and strict performance constraints under sudden load variations.
Although PPC provides significant advantages in enforcing system performance constraints, existing PPC methods still exhibit certain limitations. These limitations mainly lie in the initial error requirements, transient smoothness, and disturbance robustness. In many conventional PPC schemes, the tracking error is required to satisfy the prescribed performance bounds at the initial time. This requirement significantly restricts their applicability in practical operating conditions with large initial deviations [17]. Moreover, the prescribed performance functions commonly adopted in existing PPC methods are usually designed in a fixed or relatively rigid form. This design leads to insufficient smoothness during the transition from the transient response stage to steady-state convergence. To address this issue, the work in [18] introduces a singularity-avoidance PPC framework and redesigns the performance function. This approach effectively improves the smoothness of the convergence process. Meanwhile, traditional PPC frameworks usually show limited capability in handling external disturbances and abrupt load variations. This limitation is particularly evident in DC–DC converter systems supplying constant power loads. Therefore, it is necessary to develop an improved PPC control strategy that can relax the initial condition constraints, enhance transient performance, and strengthen disturbance rejection capability to address these inherent limitations.
When designing control strategies for DC–DC boost converters aimed at high performance requirements, it is essential to consider the error convergence rate. The settling time of the system should also be taken into account. In the past several years, PPC methods using time-varying modulation functions to eliminate the dependence on system initial states have gained considerable attention [19]. By introducing a modulation function that gradually increases from 0 to 1 over time, this method relaxes the constraint on the system initial state. By controlling the modulated error, the system state is ensured to converge within a prescribed bound within in a finite time. The essential contributions of this research are presented as follows: (1) A dynamic scaling mechanism of the tracking error based on a time-varying modulation function is introduced. This mechanism enables the design of a prescribed performance function to be independent of the initial state of the system. (2) A sine-function-based time-varying prescribed performance function is designed. The designed prescribed performance function generates a time-varying envelope that gradually tightens. This envelope enables a control behavior that transitions from an initially relaxed margin to precise steady-state convergence. (3) A dynamic-error-modulation-based prescribed performance controller with a dual-channel NNDO is proposed to regulate the system performance. The proposed controller ensures that the tracking error remains within the prescribed performance bounds under sudden disturbances.
The overall organization of this paper is outlined as follows. Section 2 summarizes the necessary preliminaries. Section 3 details the development of the prescribed performance–based control scheme. Section 4 provides the numerical simulation results to validate the method. Section 5 concludes the paper.

2. Preliminaries

2.1. Notations and Definitions

For clarity, the following notations and sets are introduced to facilitate the subsequent controller design and stability analysis.
The notation odd + is used to represent the collection formed by quotients of any two odd positive integers. Let j and i be integers such that 0 j i . We define the index set j : i : = { j , j + 1 , , i } . Moreover, i is used to indicate the set of mappings with derivatives that are both existent and continuous up to the i th order.
A mapping χ ( s ) : [ 0 , s ) [ 0 , ) that is continuous, increases monotonically, and satisfies χ ( 0 ) = 0 is said to belong to the class of K functions.

2.2. Useful Lemma

Lemma 1
([20]). Let the state evolution of the system be governed by x ˙ = f ( x , t ) with the property that f ( 0 , t ) = 0 . Suppose the initial state is bounded, assuming the existence of a 1 continuous and positive definite function V ( x ) can be constructed such that conditions Ξ 1 ( | | x | | ) V ( x ) Ξ 2 ( | | x | | ) and V ˙ ( x ) a V ( x ) + b , where Ξ 1 and Ξ 2 : n are class K functions and the constants a and b satisfy a > 0 and b > 0 , then the system’s trajectory is semi-globally uniformly ultimately bounded.
Lemma 2
([21]). Consider the virtual error-defined surface e i * (with i 1 : n ) together with the adjusted error ξ i defined in (9). If ξ i lies within finite limits, then when t 0 the prescribed performance of e i * is achieved, that is, for all t 0 the prescribed performance of e i * is also ensured.

2.3. Error-Modulation Function Design

In conventional prescribed performance control, large initial tracking errors may lead to aggressive control actions and undesirable transient behavior. To address this issue, an error-modulation mechanism is introduced in this subsection to dynamically reshape the tracking error before enforcing the prescribed performance constraints.
To achieve the objective of global prescribed-performance reference tracking, a modulation function x is introduced to adjust the error, and it should satisfy the following conditions [19]:
(1)
φ ( 0 ) = 0 , φ ( t ) = 1 , t T d ;
(2)
0 < φ ˙ ( t ) < , 0 < t < T d ;
(3)
φ ˙ ( t ) is continuous on [ 0 , )
Here, T d is a constant that can be freely specified by the designer according to the desired transient characteristics. Its value determines how quickly the prescribed performance boundaries shrink and therefore directly influences the convergence rate of the transformed error. A smaller T d generally leads to a faster response but may require a more aggressive control effort, whereas a larger T d results in a smoother but slower transient. In this paper, we select T d to achieve a balanced compromise between rapid convergence and stable control performance, ensuring that the system remains responsive while avoiding excessive control input fluctuations. The modulation function is designed to gradually relax its effect as time evolves, so that the original prescribed performance constraints are fully recovered after the initial transient stage. In this paper, we select
φ ( t ) = sin π t 2 T d , t < T d 1 , t T d
and the modulated error is constructed as
e i * ( t ) = e i ( t ) φ ( t )
The term e i represents the prescribed-performance error associated with each state. By incorporating a time-varying modulation function that injects a softened form of the tracking error into the control loop, the proposed approach significantly enhances the smoothness of the system’s transient evolution. It also improves the regulation of its dynamic behavior. This mechanism not only mitigates abrupt variations in the error signal but also provides additional flexibility for shaping the closed-loop response, thereby contributing to better stability and controllability.

2.4. Prescribed Performance Function Construction

This subsection presents the construction of the prescribed performance function, which is used to explicitly constrain the transient and steady-state behavior of the tracking error. By appropriately designing time-varying performance boundaries, the tracking error is guaranteed to evolve within predefined limits throughout the entire control process.
Given that prescribed performance techniques have proven to be highly effective in regulating transient behavior in various engineering applications, especially in industrial control systems. This work adopts a prescribed performance framework to enhance the overall control reliability. By explicitly shaping the allowable evolution of tracking errors, the prescribed performance methodology enables the controller to guarantee predefined bounds throughout the entire response process. This feature is particularly advantageous in scenarios where strict dynamic constraints and safety requirements must be satisfied, thereby motivating its integration into the proposed control strategy. We now present the definition of the prescribed decay boundary as
ρ ( t ) h i ( t ) < e i * ( t ) < σ ( t ) h i ( t ) , i 1 : n
where ρ ( t ) and σ ( t ) are the effective contraction coefficients of the upper and lower boundaries and decay over time. The terms ρ ( t ) and σ ( t ) can be written as
ρ ( t ) = ( ρ 0 ρ ) S ( t ) + ρ
σ ( t ) = ( σ 0 σ ) S ( t ) + σ
where σ , ρ , σ 0 , ρ 0 are positive constants, and the expression of s ( t ) can be written as
S ( t ) = κ s ( t ) α 1 α , 0 < α < 1
s ( t ) = α + ( 1 α ) sin 3 ( π 2 ( 1 t T d ) ) , 0 t < T d α , t T d
where h i ( t ) represents a smooth, monotonically decreasing function with bounded and strictly positive values, referred to as a performance function, and it satisfies lim t h i ( t ) = h i > 0 . Typically, the performance function can be selected as
h i ( t ) = ( h i 0 h i ) ( 1 ( t / T d ) r h ) s h + h i , t < T d h i , t T d
where h i 0 > 0 and h i > 0 are constants, and h i 0 > h i , r h [ 1 , 3 ] , s h [ 1 , 2 ] are constants as well. Furthermore, the initial state is assumed to fulfill the restriction expressed in (3), that is:
ρ ( 0 ) h i ( 0 ) < e i * ( 0 ) < σ ( 0 ) h i ( 0 ) , i 1 : n , t 0
Note that h i ( 0 ) assigns the initial value for the prescribed performance function, the overshoot of e i * is necessarily limited to values below max { ρ ( 0 ) h i ( 0 ) , σ ( 0 ) h i ( 0 ) } . By properly determining h i ( t ) and effective contraction coefficients ρ ( t ) and σ ( t ) , the prescribed boundedness of e i * is able to be achieved.
To facilitate the controller design and stability analysis under the prescribed performance constraints, an error transformation is introduced in this subsection. This transformation maps the constrained error dynamics into an unconstrained domain, enabling the application of standard Lyapunov-based control techniques. Consider a smooth function φ i ( q i ( t ) ) : ( ρ , σ ) ( , + ) , increasing monotonically, which serves to define the following error transformation:
ξ i = φ i ( q i ( t ) ) = 1 2 ln ρ ( t ) + q i ( t ) σ ( t ) q i ( t )
where q i ( t ) = e i * / h i ( t ) , upon differentiation, ξ i gives
ξ ˙ i = r i e ˙ i * h ˙ i ( t ) h i ( t ) e i * + j i
where
j i ( t ) = 1 2 ρ ˙ ( t ) ρ ( t ) + q i ( t ) σ ˙ ( t ) σ ( t ) q i ( t )
r i = 1 2 1 h i 1 q i + ρ 1 q i σ
Since h i ( t ) , ρ ( t ) and σ ( t ) are design parameters that are bounded and continuous, r i ( t ) is bounded, and its maximum value is r ¯ .

3. Design of the Prescribed-Performance-Based Controller

This paper focuses primarily on the constant-voltage mode (CVM) operation of the system. To establish a clear foundation for controller development, a simplified model of the onboard DC distribution network is first presented, capturing the essential electrical characteristics relevant to control design while omitting unnecessary complexity. Based on this model, a suitable coordinate transformation is then introduced to convert the original dynamics into a more tractable form, thereby enabling the use of systematic nonlinear control techniques. Building on these preparations, a prescribed-performance nonlinear control strategy is developed to formulate the integrated control law required for stable and reliable operation of the DC distribution system. This framework ensures that the voltage regulation objectives can be met while maintaining desirable transient and steady-state performance under varying operating conditions. Figure 1 illustrates the overall control structure of the proposed control strategy.

3.1. Formulation of the Problem

Figure 2 illustrates a simplified DC distribution system of the onboard microgrid. In this paper, the DC–DC boost converter [22] is examined. As illustrated in Figure 2, it can be seen that the DC source and the CPL represent the supply side and the demand side, respectively. In this mode, the DC source delivers regulated energy to the DC bus through the DC–DC boost converter. At the other end of the main bus, a CPL is connected, which is regarded as a type of load strictly regulated through a converter.
Next, using the schematic description of the DC–DC boost conversion platform, the system dynamics can be derived as
L i ˙ L = E ( 1 u ) v C C v ˙ C = ( 1 u ) i L v C R P CPL v C
where i L denotes the inductor current at each instant, while v C corresponds to the instantaneous capacitor voltage in the converter. E represents the energy of the supply-side DC source, and u represents the dynamic system’s input, that is, the duty cycle. R is the equivalent resistive load, while P CPL represents the total power of the CPL, and its behavior is captured by a current-regulated source.
The controller with prescribed performance is obtained by applying a recursive design strategy. Model (14) is reformulated into its standard representation to facilitate the backstepping controller design. Then, an original prescribed performance tracking technique is developed to meet the accuracy requirements of the actual state errors.
For system (14), to reformulate the system into a standard structure conducive to recursive design and stability evaluation, the state variables need to be redefined. In ref. [23], the total stored energy of the system and its rate of change were used to define two new state variables. Hence, using the framework presented in [22], the simplified DC distribution system given in (14) is reformulated into the canonical form shown below:
x ˙ 1 = x 2 + d 1 x ˙ 2 = v + d 2
where x 1 = L i L 2 / 2 + C v C 2 / 2 , x 2 = E i L v C 2 / R 0 , d 1 = P CPL + v C 2 / R 0 v C 2 / R , d 2 = 2 P CPL v C 2 / R 0 + v C 2 / R / R 0 C , v = E 2 / L + 2 v C 2 / R 0 2 C E v C / L + 2 i L v C / R C ( 1 u ) , here, R is used to indicate the equivalent load’s nominal resistance.
From (15), the control strategy applied in practice u is capable of being written as
u = 1 E 2 L + 2 v C 2 R 0 2 C v / E v C L + 2 i L v C R 0 C
In real-world engineering practice, the central goal of the boost converter is designed to ensure that the DC voltage v C is able to track its reference v C r e f through an appropriate control law. That is, the new state variable x 1 needs to be able to rapidly track its reference value y r , where y r is defined as
y r = x 1 * = 1 2 L i L ref 2 + 1 2 C v C ref 2 = 1 2 L P ref E 2 + 1 2 C v C ref 2
where P ref = P CPL + v C ref 2 / R denotes the reference the load’s total power quantity.

3.2. Recursive Framework for Designing a Prescribed Performance Controller

In this part, we employ a recursive design approach that integrates PPC and NNDO to demonstrate the stability of system (15). Since the system contains an uncertainty term related to the load power, denoted by d i ( i = 1 , 2 ) , it is necessary to assume the boundedness of its derivative.
To uphold the prescribed system performance under uncertainties in the model and external disturbance inputs, a single hidden layer NNDO is developed in this work. This NNDO is employed to compensate for unknown dynamics and attenuate disturbance-related effects on the system response. The NNDO provides an adaptive approximation capability that allows the controller to cope with variations that cannot be explicitly modeled. In addition, since (PPC) offers a systematic way to confine state-tracking errors within user defined bounds throughout the transient process, it is integrated into the control scheme for the DC–DC boost converter–based distribution system. By combining the disturbance-rejection capability of the NNDO with the constraint-enforcing characteristics of PPC, the proposed method aims to achieve reliable voltage regulation and strong robustness under practical operating conditions.
From an engineering perspective, the aggregated disturbance terms d 1 and d 2 are considered bounded, and their rates of variation are assumed to lie within certain limits. Therefore, the assumption given next is adopted.
Assumption 1.
Assume that the disturbance d i ( t ) is bounded, satisfying | d i ( t ) | d ¯ i , | d ˙ i ( t ) | d i * , i 1 : 2 , where d ¯ i and d i * are known positive constants.
Now, we construct a single-hidden-layer NNDO to cope with the uncertainties in the system:
d ^ i ( t ) = W i ( t ) ϕ i ( z ) ,   i = 1 , 2
where z ( t ) = [ i L , v C , x 1 , x 2 ] 4 , ϕ i ( z ) = [ 1 , tanh ( B i z + b i ) ] ,   i = 1 , 2 . W i 2 is an adjustable weight vector, and B i is the input weight vector of the neural network, and b i is a scalar bias. This NNDO structure acts as an online approximator that reconstructs the unknown disturbance using measurable system states, thereby avoiding explicit modeling of the CPL dynamics.
According to the approximation theorem, there exist ideal weights W i * such that any continuous disturbance function d i ( z ) satisfies
d i = W i * ϕ i ( z ) + ε i
ε i refers to the approximation error constrained within a bounded range, satisfying ε i ε max .
Let d ˜ 1 = d 1 d ^ 1 be the estimation error of d 1 ; then
d ˜ i = ( W i * W i ) ϕ i + ε i = W ˜ i ϕ i + ε i ,
where the weight error is defined as W ˜ i = W i W i * , indicating that the disturbance estimation error consists of the weight-error term and the network approximation residual.
To drive the weight update, the auxiliary state variables of the observer are introduced as
p ˙ 1 = x 2 + d ^ 1
p ˙ 2 = d ^ 2
and the estimation error is defined as
e p 1 = x 1 p 1 e p 2 = x 2 p 2
which serve as the adaptation-driving signals. The corresponding weight adaptation law is designed as
W ˙ i = Γ i ϕ i e p i σ W i W i
where Γ i > 0 is a symmetric positive definite learning-rate matrix used to regulate the convergence speed of the weights, and σ W i > 0 is the weight leakage coefficient employed to suppress weight divergence. It follows that all weight errors and disturbance estimation errors are bounded, and lim t | d ˜ i ( t ) | | ε i | , where the maximum value of | ε i | is denoted by ε max . Moreover, there exists a constant β > 0 such that | d ˜ ˙ i | β .
The external disturbances and load variations considered in this paper (e.g., CPL power steps) are assumed to be bandwidth-limited with finite variation rates. To ensure effective disturbance estimation, the convergence rate of the disturbance estimation error is adjusted by tuning the learning gains Γ 1 and Γ 2 as well as the leakage coefficients σ W 1 and σ W 2 . As a result, the observer dynamics are rendered significantly faster than the disturbance variation time scale, thereby achieving time-scale separation. Simulation results demonstrate that, with the selected parameters, the disturbance estimates converge within a time interval much shorter than the load variation interval after abrupt disturbance changes, ensuring effective disturbance compensation over the entire operating range.
Next, this paper presents the controller construction in a recursive manner and provides the associated stability analysis. The controller is developed using a recursive Lyapunov-based approach, where the Lyapunov function is progressively extended and the NNDO estimation errors are incorporated in the stability analysis.
Step 1: A Lyapunov function is chosen as
V 1 = 1 2 ξ 1 2 + 1 2 d ˜ 1 2
where the estimation error related to d 1 is d ˜ 1 = d 1 d ^ 1 . Next, differentiating V 1 along (10), we obtain
V ˙ 1 = r 1 ξ 1 e ˙ 1 * h ˙ ( t ) h ( t ) e 1 * + d ˜ 1 d ˜ ˙ 1 + j 1 ξ 1
where e 1 * ( t ) = e 1 ( t ) ϕ ( t ) , the estimation error related to the desired value x 1 * , is denoted by e 1 ( t ) = x 1 x 1 * .
Then the error in estimating x 2 is given by
e 2 = x 2 x ¯ 2 * , z 2 = x ¯ 2 * x 2 *
in this design, x ¯ 2 * denotes the filtered version of the virtual controller, whereas x 2 * represents its original form. Note that the auxiliary variables x ¯ 2 * and x 2 * are introduced to circumvent taking their derivatives. This filtering technique avoids repeated differentiation of virtual control signals and helps maintain a tractable recursive design. These quantities are generated through a small time constant τ 2 .
τ 2 x ¯ ˙ 2 * + x ¯ 2 * = x 2 * , x ¯ 2 * ( 0 ) = x 2 * ( 0 )
Therefore, by combining (15) and (26), (25) can be rewritten as
V ˙ 1 = r 1 ξ 1 e 2 + z 2 + x 2 * + d ^ 1 x ˙ 1 * h ˙ ( t ) h ( t ) e 1 * + j 1 r 1 + d ˜ 1 d ˜ ˙ 1 + r 1 ξ 1 d ˜ 1
Using the disturbance estimation term d ^ 1 , we design the virtual control strategy x 2 * as
x 2 * = k 1 r 1 ξ 1 d ^ 1 + x ˙ 1 * + h ˙ ( t ) h ( t ) e 1 * j 1 r 1
where k 1 > 0 represents a gain constant chosen in the controller design. We can rewrite Equation (28) as
V ˙ 1 = k 1 ξ 1 2 + r 1 ξ 1 ( e 2 + z 2 ) + d ˜ 1 d ˜ ˙ 1 + r 1 ξ 1 d ˜ 1
This result indicates that the first-stage error dynamics are stabilized under the designed virtual control law.
Step 2: Choose another Lyapunov function as
V 2 = V 1 + 1 2 e 2 2 + 1 2 z 2 2 + 1 2 d ˜ 2 2
where the estimation error related to d 2 is d ˜ 2 = d 2 d ^ 2 .
Likewise, the derivative of V 2 can be written as
V ˙ 2 = V ˙ 1 + e 2 e ˙ 2 + z 2 z ˙ 2 + d ˜ 2 d ˜ ˙ 2
where
z 2 z ˙ 2 = z 2 2 τ 2 + z 2 M 2 ( ξ 1 , e 1 , d ˜ 1 )
M 2 ( ) = k 1 r 1 ξ ˙ 1 + d ^ ˙ 1 x ¨ 1 * h ¨ 1 ( t ) h 1 ( t ) h ˙ 1 2 ( t ) h 1 2 ( t ) e 1 * h ˙ 1 ( t ) h 1 ( t ) e ˙ 1 * + j ˙ 1 r 1 j 1 r ˙ 1 r 1 2
From all the above formulas, we obtain
V ˙ 2 = k 1 ξ 1 2 z 2 2 τ 2 + r 1 ξ 1 e 2 + z 2 + d ˜ 1 + z 2 M 2 ( ) + e 2 v + d ^ 2 x 2 * x ¯ 2 * τ 2 + e 2 d ˜ 2 + d ˜ 1 d ˜ ˙ 1 + d ˜ 2 d ˜ ˙ 2
We can now stabilize system (15) by designing the auxiliary controller v , whose form is given as
v = k 2 e 2 d ^ 2 + x 2 * x ¯ 2 * τ 2
Then V ˙ 2 can be further recast as
V ˙ 2 = k 1 ξ 1 2 k 2 e 2 2 z 2 2 τ 2 + r 1 ξ 1 e 2 + r 1 ξ 1 z 2 + r 1 ξ 1 d ˜ 1 + z 2 M 2 ( ) + e 2 d ˜ 2 + d ˜ 1 d ˜ ˙ 1 + d ˜ 2 d ˜ ˙ 2
Thereafter, the main theorem of this paper can be obtained.
Theorem 1.
When Assumption 1 is satisfied, the transformed system (15), developed through the constructions in Steps 1 and 2, ensures semi-global uniform ultimate boundedness. In addition, the prescribed performance is fulfilled, meaning that the tracking error resulting from the deviation of the DC bus voltage from its reference is confined within the predefined bounds specified in (3).
Proof. 
Let A > 0 and B > 0 be arbitrary constants. Define the sets Π 1 = { ξ 1 2 + ( e 1 * ) 2 + z 2 2 + d ˜ 1 2 + d ˜ 2 2 2 A } and Π 2 = { y r 2 + y ˙ r 2 + y ¨ r 2 2 B } . Over the domain Π 1 × Π 2 , the function M 2 ( ) achieves an upper bound, denoted by M ¯ 2 . Then we can derive the following inequalities
r 1 ξ 1 e 2 r 1 2 ξ 1 2 + e 1 2 r 1 ξ 1 z 2 r 1 2 ξ 1 2 + z 2 2 r 1 ξ 1 d ˜ 1 r 1 2 ξ 1 2 + d ˜ 1 2 e 2 d ˜ 2 1 2 e 2 2 + d ˜ 2 2 z 2 M 2 ( ) M ¯ 2 2 z 2 2 4 c + c
substituting (36) into (35)
V ˙ 2 k 1 3 r 1 2 ξ 1 2 k 2 r 1 2 1 2 e 2 2 1 τ 2 r 1 2 M ¯ 2 2 4 c z 2 2             d ˜ 1 2 d ˜ 2 2 + r 1 2 + 5 2 ε max 2 + 2 β ε max + c γ V 2 + C
where γ and C are given as follows
γ = min 2 k 1 3 r 1 2 , 2 k 2 r 1 2 1 2 , 2 1 τ 2 r 1 2 M ¯ 2 2 4 c , 2
C = r ¯ 2 + 5 2 ε max 2 + 2 β ε max + c
For the closed-loop system to remain stable, the design parameters   k i , l i , c and τ 2 are required to be selected to satisfy the following conditions: k 1 3 r 1 / 2 > 0 , k 2 r 1 / 2 1 / 2 > 0 , 1 / τ 2 r 1 / 2 M ¯ 2 2 / 4 c > 0 .
Therefore, by combining (37) and (38), we can have
0 V 2 ( t ) C γ + V 2 ( 0 ) C γ e γ t
According to Lemma 1, V 2 t remains bounded and decays exponentially, implying that ξ 1 , d ˜ i and e i are all semi-globally uniformly ultimately bounded. Moreover, invoking Lemma 2 and selecting the performance function h ( t ) , ρ ( t ) and σ ( t ) appropriately ensures that e i approaches a small neighborhood around zero. Hence, the proof is completed. □

4. Simulation and Comparative Results

To verify the effectiveness of the developed control strategy, simulations are carried out for the converter under varying load conditions. By applying load power mutations with different magnitudes and durations, the dynamic response characteristics of the system under typical disturbance conditions and the controller’s ability to preserve the performance constraints are examined. The control objective is to eliminate the limitation of initial conditions on system performance through the introduction of the modulation function φ ( t ) . Under the condition of CPL variations, the proposed control scheme ensures that the tracking error e 1 ( t ) ultimately decreases and remains within the prescribed performance bounds. Meanwhile, fast tracking of the desired power P s e t ( t ) is achieved.
To ensure the credibility of the simulation study, numerical experiments were carried out on the MATLAB (R2021a) platform, where the converter, CPL load, and control modules were configured within a unified modeling framework. This approach provides an accurate representation of the system’s dynamic characteristics and establishes a consistent foundation for evaluating control performance. During the simulations, primary attention is directed to key variables such as the inductor current, capacitor voltage, and duty cycle. Their transient and steady-state behaviors are examined to assess the controller’s response speed, stability, and its capability to satisfy the prescribed performance constraints under sudden load variations. The main system parameters are configured as shown in Table 1. The parameters used to construct the prescribed performance function are provided in Table 2. Based on the above simulation setup, the controller parameters are first examined through sensitivity analysis. Subsequently, the effectiveness of the proposed control strategy is evaluated via numerical simulations under typical CPL variations, followed by comparative studies with existing methods and circuit-level validation using LTspice (version 26.0.1).

4.1. Sensitivity Analysis of Controller Parameters

A sensitivity analysis of the key design parameters in the proposed control strategy is carried out. The purpose of this analysis is to investigate the influence of different selections of the controller and neural network disturbance observer parameters on the dynamic response characteristics of the system. When evaluating a specific parameter, all other parameters are fixed at their nominal (optimal) values. Under the condition that the system model, control structure, operating conditions, and external disturbances are all kept unchanged, only a single load power step scenario from 50 W to 300 W at t = 0.2 s is considered, and several key control parameters are varied. Specifically, these parameters include the control gain k 2 , the filtering time constant τ 2 , the learning rate matrices of the NNDO Γ 1 = Γ 2 , and the leakage coefficients σ w 1 = σ w 2 . By comparing the dynamic output voltage responses under different parameter values, the effects of parameter selection on the transient performance, convergence speed, and voltage overshoot characteristics of the system can be directly evaluated. This sensitivity analysis provides a basis for the reasonable selection of parameters in the subsequent numerical simulations. Based on the parameter variations summarized in Table 3, the output voltage responses under a 50–300 W load power step are illustrated in Figure 3.
As shown in Figure 3, under the operating condition of a single load power step from 50 W to 300 W, different selections of the controller and NNDO parameters mainly affect the transient response of the system, while their influence on the steady-state output voltage is relatively limited. Based on the response results under different parameter values presented in Figure 3, a set of controller and observer parameters is selected for the simulations, and the corresponding values are listed in Table 4.

4.2. Numerical Simulation Results

To verify that the designed controller can still operate effectively when the initial tracking error exceeds the prescribed performance bounds, the target states of the system are set as the inductor current i L = 2   A and the capacitor voltage v C = 50   V . The initial error is divided into two cases, Case a: i L = 2   A , v C = 70   V ; Case b: i L = 2   A , v C = 90   V . Meanwhile, to examine the dynamic response of the designed controller under CPL mutations, the power signal P s e t ( t ) is specified in a piecewise manner. Specifically, when t < 0.2 , the power is set to 50 W; during 0.2 < t < 0.25 , it is set to 200 W; then, for 0.25 < t < 0.3 , it is set to 300 W; and finally, for 0.3 < t , it is set to 150 W. This enables an effective evaluation of the controller’s steady-state robustness and transient recovery performance under disturbances.
To further ensure the soundness of the evaluation, the numerical results also confirm that the proposed controller remains stable throughout the entire operating domain. Overall, these findings demonstrate that the presented control strategy not only improves transient tracking quality but also offers a robust and practically applicable solution for converter regulation under swiftly changing power scenarios.
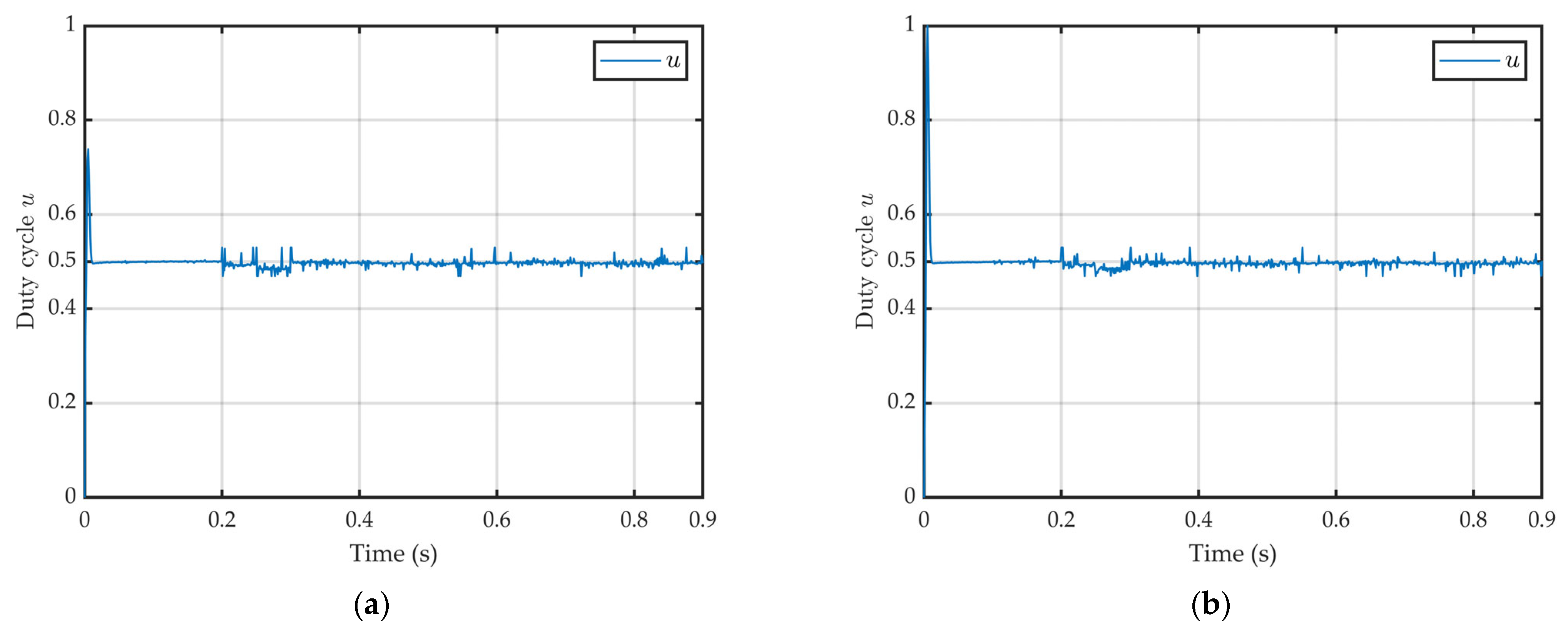
From the above numerical simulation results, it can be seen that the proposed control strategy is effective. Figure 4 illustrates that, under the designed prescribed performance constraints, the initial tracking error starting outside the prescribed bounds is rapidly compressed and maintained within the dynamic boundary. This result demonstrates the rationality of the introduced error-modulation function and the effectiveness of the controller design. Figure 5 shows that, after the prescribed power of the CPL is artificially changed and undergoes a sudden variation, the actual output power of the system can rapidly and steadily approach the set value. Figure 6 indicates that the control input of the system, i.e., the duty cycle, exhibits only slight fluctuations at the initial moment and when the load power mutation occurs, and then it quickly returns to stability and remains within a reasonable range. From Figure 7, it can be observed that the inductor current increases and decreases rapidly as the power rises and falls, without noticeable oscillation or delay. The capacitor voltage shows only a slight fluctuation at the instant of power variation and then quickly returns to the reference value.
To improve the clarity of the simulation results, a quantitative analysis is conducted using appropriate performance indices for the simulation results shown in Figure 4, Figure 5, Figure 6 and Figure 7. The considered indices and their corresponding numerical values are summarized in Table 5, Table 6, Table 7 and Table 8, which helps to further illustrate the time-domain responses of the system variables as well as their transient and steady-state characteristics.
The simulation studies further indicate that the proposed control scheme preserves satisfactory transient behavior and steady-state behavior despite pronounced load disturbances. This demonstrates that the method can consistently uphold reliable dynamic characteristics and maintain performance integrity under challenging operating scenarios.

4.3. Comparative Simulation Results

To clarify the roles of the error modulation mechanism and the NNDO in the overall control performance, the proposed control strategy is comparatively evaluated against a PPC scheme without the error modulation mechanism, as well as a control scheme employing the observer reported in [22].
To compare the effects of different observer designs on the control performance while keeping the control law and all other parameters identical, the proposed NNDO and the observer reported in [22] are respectively employed. Meanwhile, three types of disturbances and uncertainties are simultaneously applied to the Boost converter model. First, to account for power fluctuations induced by constant power loads (CPLs), the load power is modeled as the superposition of a nominal stepwise power profile P s e t ( t ) and a bounded disturbance d P ( t ) , namely,
P ( t ) = P s e t ( t ) + d P ( t )
where P s e t ( t ) denotes a piecewise-constant step power, and d P ( t ) represents a bounded time-varying disturbance composed of a low-frequency sinusoidal component and a high-frequency switching-like component with exponential decay, which is introduced to emulate load-side power variations and uncertainties.
Second, to capture the effects of component tolerances and modeling errors, the actual plant parameters ( L p , C p , R 0 p ) are assumed to deviate from the nominal parameters ( L , C , R 0 ) used in the controller design, which can be expressed as
L p = L 1 + Δ L , C p = C 1 + Δ C , R 0 p = R 0 1 + Δ R 0
where Δ L , Δ C [ 0.2 , 0.2 ] and Δ R 0 [ 0.3 , 0.3 ] . The control law is designed based on the nominal parameters, whereas the system dynamics evolve according to the actual plant parameters, thereby introducing parametric uncertainties.
Furthermore, to emulate the combined effects of unmodeled dynamics, measurement noise, and external environmental disturbances, additional bounded exogenous disturbances are considered. These disturbances are injected into the state equations of both the inductor current and the capacitor voltage. Accordingly, the system dynamics can be written as
i ˙ L = E ( 1 u ) v C L p + d i L ( t ) v ˙ C = ( 1 u ) i L v C R p P ( t ) v C C p + d v C ( t )
where d i L ( t ) and d v C ( t ) are bounded time-varying signals composed of sinusoidal terms and exponentially decaying components.
Under the simultaneous presence of the above three types of disturbances and parametric uncertainties, comparative evaluations are conducted under the Case b initial condition. The objective is to clarify the respective roles of the error modulation mechanism and the NNDO in the overall control performance. The proposed control strategy is compared with a PPC scheme without the error modulation mechanism, as well as a control scheme employing the observer presented in [22]. Particular attention is paid to the regulation performance of the tracking error e 1 ( t ) . The corresponding comparative results are shown in Figure 8 and Figure 9.
As shown in Figure 8, the response of the tracking error e 1 ( t ) under Case b operating condition without the error modulation mechanism is presented. It can be observed that the tracking error cannot be effectively regulated back within the prescribed performance bounds and instead diverges continuously over time. This result indicates that, under the Case b operating condition, relying solely on the conventional PPC framework without the error modulation mechanism fails to guarantee the satisfaction of the prescribed performance constraints. As a consequence, the system stability is subject to significant risk.
As shown in Figure 9, under the simultaneous presence of three types of disturbances and uncertainties, a comparative analysis is conducted between the proposed method and the control method employing the observer reported in [22], while keeping the control law and the error modulation mechanism unchanged. It can be observed that, when the proposed NNDO is adopted, the tracking error e 1 ( t ) is able to rapidly converge into the prescribed performance bounds and further converge to the vicinity of zero after a short transient process. The error response is smooth, indicating that the proposed method exhibits good robustness and stability. In contrast, when the observer reported in [22] is employed, the error magnitude gradually increases under the sustained action of disturbances and shows a pronounced amplification of oscillations in the later stage. The error response gradually approaches and even exceeds the prescribed performance bounds, reflecting that this method has limited disturbance rejection capability and stability margin when multiple disturbances are simultaneously present.
From Figure 8 and Figure 9, it can be concluded that the proposed control strategy is able to effectively regulate the tracking error back into the prescribed performance bounds. This holds even when the initial tracking error lies outside the prescribed performance bounds and multiple disturbances are simultaneously present. Moreover, smooth convergence is achieved, demonstrating stronger robustness and stability.

4.4. LTspice-Based Circuit-Level Simulation Results

To further verify the effectiveness of the proposed control strategy at the practical circuit level, circuit-level simulations of a DC–DC Boost converter supplying a constant power load are carried out based on LTspice (version 26.0.1). The simulation model adopts a switching-level modeling approach and explicitly includes non-ideal factors such as the power switch, diode, inductor, capacitor, and parasitic resistances. This modeling approach enables a more realistic reflection of the effects of switching devices and circuit parameters on system performance in practical engineering applications.
The controller is implemented in the MATLAB (R2021a) environment, where the corresponding PWM driving signal is generated offline according to the designed control law. Specifically, MATLAB first computes the time-varying duty-ratio signal and then compares it with a carrier signal to generate the PWM waveform. The resulting PWM signal is subsequently exported in the form of a piecewise linear (PWL) data file and imported into LTspice to drive the power switching device. The constant power load is modeled using a behavioral current source to accurately characterize its negative impedance property. By monitoring the output voltage waveform, the steady-state voltage regulation performance of the proposed control strategy under non-ideal circuit conditions is evaluated. In addition, the transient response characteristics are also examined. The circuit-level simulation schematic and the corresponding output voltage fluctuation waveform are respectively shown in Figure 10 and Figure 11.
As illustrated in Figure 10, the circuit-level simulation setup provides a detailed representation of the boost converter operating under constant power load conditions. The corresponding output voltage fluctuation waveform shown in Figure 11 reflects the dynamic behavior of the system during transient and steady-state operation. These results demonstrate that the proposed control strategy is capable of maintaining stable voltage regulation in the presence of switching effects and circuit non-idealities.
The simulation results collectively reveal the transient behavior and resilience of the proposed control method. Throughout the dynamic response, the system states move toward their desired trajectories in a stable and orderly manner, even under demanding operating scenarios. The combined action of the prescribed-performance design and the NNDO-based compensation keeps the system evolution well-behaved and prevents unexpected deviations. When sudden variations in CPL power occur, the controller rapidly adjusts the energy flow inside the converter, allowing the system to reach a new steady operating point within a short period. Moreover, the patterns observed in the current and voltage responses indicate a synchronized interaction within the LC network, demonstrating the controller’s capability to handle fast energy transitions without causing instability.
In addition, to further comprehensively evaluate the performance characteristics of the proposed control strategy, a series of evaluation studies are conducted. These studies include sensitivity analysis, comparative experiments, and circuit-level simulation validation. The sensitivity analysis is used to verify the rationality of the parameter selection. Subsequently, comparative simulations between the proposed method and existing control strategies are carried out under identical operating conditions to objectively evaluate the differences in dynamic regulation performance. Finally, circuit-level simulations based on a switching-level model are performed to verify the effectiveness of the proposed control strategy under non-ideal circuit conditions from an engineering implementation perspective. Taken together, these observations confirm that the proposed approach can maintain stable operation, satisfy predefined performance limits, and remain robust against abrupt power disturbances.

5. Conclusions

This paper has presented a prescribed-performance control scheme. The proposed scheme incorporates an NNDO and an error-modulation function to regulate a DC–DC boost converter subjected to abrupt CPL power variations. This method introduces a time-varying modulation function to achieve dynamic scaling of the error, enabling the system tracking error to converge rapidly to the specified performance limits even when the initial deviation is large. Subsequently, the PPC method is employed to impose performance constraints on the system dynamics. Furthermore, an NNDO is integrated to estimate and compensate for the unknown nonlinearities and external disturbances. The proposed coordinated scheme of error modulation, PPC, and NNDO provide an effective approach for the stable control of the DC–DC boost converter. Numerical simulation results have indicated that the developed controller can keep the tracking error bounded even under strong disturbance conditions. Moreover, the voltage and current are regulated smoothly, demonstrating excellent transient and steady-state performance. It should be noted that the validation in this study is primarily based on numerical and circuit-level simulations. The current work focuses on the theoretical design and performance evaluation of the proposed control strategy under non-ideal circuit conditions; therefore, experimental implementation and hardware-in-the-loop validation are not included at this stage. Future work will focus on experimental implementation and hardware validation to further assess the practical performance of the proposed control strategy.

Author Contributions

Conceptualization, H.F., T.L. and X.J.; methodology, H.F.; validation, H.F., T.L. and X.J.; formal analysis, H.F.; investigation, H.F.; writing—original draft preparation, H.F.; writing—review and editing, T.L.; supervision, X.J. and T.L.; project administration, X.J.; funding acquisition, X.J. All authors have read and agreed to the published version of the manuscript.

Funding

This work was supported in part by the Key Project of the Regional Innovation and Development Joint Fund of the National Natural Science Foundation of China under Grant U24A20261 and in part by the National Natural Science Foundation of China under Grant 62373231.

Data Availability Statement

The original contributions presented in this study are included in the article. Further inquiries can be directed to the corresponding author.

Conflicts of Interest

The authors declare no conflicts of interest.

Abbreviations

The following abbreviations are used in this manuscript:
PPCPrescribed Performance Control
CPLConstant Power Load
DCDirect Current
NNDONeural Network Disturbance Observer
DC-MGDirect Current Microgrid

References

  1. Jithin, K.; Purayil Haridev, P.; Mayadevi, N.; Pillai Harikumar, R.; Prabhakaran Mini, V. A Review on Challenges in DC Microgrid Planning and Implementation. J. Mod. Power Syst. Clean Energy 2023, 11, 1375–1395. [Google Scholar] [CrossRef]
  2. Wang, X.; Peng, Y.; Chai, J.; Xia, Y.; Wei, W.; Yu, M. An Ideal DC Transformer for Active DC Distribution Networks Based on Constant-Transformation-Ratio DABC. IEEE Trans. Power Electron. 2020, 35, 2170–2183. [Google Scholar] [CrossRef]
  3. Liao, J.; Zhou, N.; Huang, Y.; Wang, Q. Decoupling Control for DC Electric Spring-Based Unbalanced Voltage Suppression in a Bipolar DC Distribution System. IEEE Trans. Ind. Electron. 2021, 68, 3239–3250. [Google Scholar] [CrossRef]
  4. Zhang, Y.; Wang, Y.-W.; Xiao, J.-W.; Liu, X.-K. Predefined-Time Secondary Control for DC Microgrid. IEEE Trans. Ind. Electron. 2022, 69, 13504–13513. [Google Scholar] [CrossRef]
  5. El Aroudi, A.; Haroun, R.; Al-Numay, M.S.; Calvente, J.; Giral, R. Fast-Scale Stability Analysis of a DC–DC Boost Converter with a Constant Power Load. IEEE J. Emerg. Sel. Top. Power Electron. 2021, 9, 549–558. [Google Scholar] [CrossRef]
  6. Chang, F.; Cui, X.; Wang, M.; Su, W.; Huang, A.Q. Large-Signal Stability Criteria in DC Power Grids with Distributed-Controlled Converters and Constant Power Loads. IEEE Trans. Smart Grid 2020, 11, 5273–5287. [Google Scholar] [CrossRef]
  7. Chang, F.; Cui, X.; Wang, M.; Su, W. Region of Attraction Estimation for DC Microgrids with Constant Power Loads Using Potential Theory. IEEE Trans. Smart Grid 2021, 12, 3793–3808. [Google Scholar] [CrossRef]
  8. Chen, M.; Shao, S.-Y.; Jiang, B. Adaptive Neural Control of Uncertain Nonlinear Systems Using Disturbance Observer. IEEE Trans. Cybern. 2017, 47, 3110–3123. [Google Scholar] [CrossRef]
  9. Sun, J.; Lin, W.; Hong, M.; Loparo, K.A. Voltage Regulation of DC-Microgrid with PV and Battery. IEEE Trans. Smart Grid 2020, 11, 4662–4675. [Google Scholar] [CrossRef]
  10. Chen, W.; Huang, A.Q.; Li, C.; Wang, G.; Gu, W. Analysis and Comparison of Medium Voltage High Power DC/DC Converters for Offshore Wind Energy Systems. IEEE Trans. Power Electron. 2013, 28, 2014–2023. [Google Scholar] [CrossRef]
  11. Liu, W.; Xie, X.; Zhang, X.; Li, X. Frequency-Coupling Admittance Modeling of Converter-Based Wind Turbine Generators and the Control-Hardware-in-the-Loop Validation. IEEE Trans. Energy Convers. 2020, 35, 425–433. [Google Scholar] [CrossRef]
  12. Chiu, H.-J.; Lin, L.-W. A Bidirectional DC–DC Converter for Fuel Cell Electric Vehicle Driving System. IEEE Trans. Power Electron. 2006, 21, 950–958. [Google Scholar] [CrossRef]
  13. De Aguiar, C.R.; Fuzato, G.H.F.; Machado, R.Q.; Guerrero, J.M. An Adaptive Power Sharing Control for Management of DC Microgrids Powered by Fuel Cell and Storage System. IEEE Trans. Ind. Electron. 2020, 67, 3726–3735. [Google Scholar] [CrossRef]
  14. Bechlioulis, C.P.; Rovithakis, G.A. Robust Adaptive Control of Feedback Linearizable MIMO Nonlinear Systems with Prescribed Performance. IEEE Trans. Autom. Control 2008, 53, 2090–2099. [Google Scholar] [CrossRef]
  15. Fotiadis, F.; Rovithakis, G.A. Prescribed Performance Control for Discontinuous Output Reference Tracking. IEEE Trans. Autom. Control 2021, 66, 4409–4416. [Google Scholar] [CrossRef]
  16. He, W.; Sun, Y.; Yan, Z.; Yang, C.; Li, Z.; Kaynak, O. Disturbance Observer-Based Neural Network Control of Cooperative Multiple Manipulators with Input Saturation. IEEE Trans. Neural Netw. Learn. Syst. 2020, 31, 1735–1746. [Google Scholar] [CrossRef]
  17. Bechlioulis, C.P.; Rovithakis, G.A. Prescribed Performance Adaptive Control for Multi-Input Multi-Output Affine in the Control Nonlinear Systems. IEEE Trans. Autom. Control 2010, 55, 1220–1226. [Google Scholar] [CrossRef]
  18. Lei, J.; Meng, T.; Wang, W.; Li, H.; Jin, Z. Singularity-Avoidance Prescribed Performance Control for Spacecraft Attitude Tracking. IEEE Trans. Aerosp. Electron. Syst. 2023, 59, 5405–5421. [Google Scholar] [CrossRef]
  19. Zhang, J.-X.; Song, J.-G.; Shi, P. Decentralized Robust Global Prescribed Performance Control of Unknown Interconnected Nonlinear Systems. IEEE Trans. Ind. Electron. 2024, 71, 14701–14711. [Google Scholar] [CrossRef]
  20. Ge, S.S.; Wang, C. Adaptive Neural Control of Uncertain MIMO Nonlinear Systems. IEEE Trans. Neural Netw. 2004, 15, 674–692. [Google Scholar] [CrossRef]
  21. Yoo, S.J. Fault-tolerant Control of Strict-feedback Non-linear Time-delay Systems with Prescribed Performance. IET Control Theory Appl. 2013, 7, 1553–1561. [Google Scholar] [CrossRef]
  22. Xu, X.; Liu, Q.; Zhang, C.; Zeng, Z. Prescribed Performance Controller Design for DC Converter System With Constant Power Loads in DC Microgrid. IEEE Trans. Syst. Man Cybern. Syst. 2020, 50, 4339–4348. [Google Scholar] [CrossRef]
  23. Sira-Ramirez, H.; Ilic-Spong, M. Exact Linearization in Switched Mode DC-to-DC Power Converters. Int. J. Control 1989, 50, 511–524. [Google Scholar] [CrossRef]
Figure 1. Overall control structure of the proposed control strategy.
Figure 1. Overall control structure of the proposed control strategy.
Electronics 15 00277 g001
Figure 2. Simplified DC distribution system.
Figure 2. Simplified DC distribution system.
Electronics 15 00277 g002
Figure 3. Output voltage responses under a 50–300 W load power step with variations in (a) control gain k 2 , (b) filter time constant τ 2 , (c) NNDO learning rate matrices Γ 1 , Γ 2 , and (d) NNDO leakage coefficients σ w 1 , σ w 2 .
Figure 3. Output voltage responses under a 50–300 W load power step with variations in (a) control gain k 2 , (b) filter time constant τ 2 , (c) NNDO learning rate matrices Γ 1 , Γ 2 , and (d) NNDO leakage coefficients σ w 1 , σ w 2 .
Electronics 15 00277 g003aElectronics 15 00277 g003b
Figure 4. Tracking error and prescribed performance bounds under CPL variations: (a) Case a; (b) Case b.
Figure 4. Tracking error and prescribed performance bounds under CPL variations: (a) Case a; (b) Case b.
Electronics 15 00277 g004
Figure 5. Comparison between actual power and set power: (a) Case a; (b) Case b.
Figure 5. Comparison between actual power and set power: (a) Case a; (b) Case b.
Electronics 15 00277 g005
Figure 6. Time evolution of the control input: (a) Case a; (b) Case b.
Figure 6. Time evolution of the control input: (a) Case a; (b) Case b.
Electronics 15 00277 g006
Figure 7. Response curves of inductor current and capacitor voltage: (a) Case a; (b) Case b.
Figure 7. Response curves of inductor current and capacitor voltage: (a) Case a; (b) Case b.
Electronics 15 00277 g007
Figure 8. Response of the tracking error e 1 ( t ) without the error modulation mechanism.
Figure 8. Response of the tracking error e 1 ( t ) without the error modulation mechanism.
Electronics 15 00277 g008
Figure 9. Comparative results between the proposed method and the method employing the observer reported in [22] under the simultaneous presence of three disturbances: (a) proposed method; (b) method employing the observer reported in [22].
Figure 9. Comparative results between the proposed method and the method employing the observer reported in [22] under the simultaneous presence of three disturbances: (a) proposed method; (b) method employing the observer reported in [22].
Electronics 15 00277 g009
Figure 10. Circuit-level simulation schematic of the DC–DC boost converter with a constant power load.
Figure 10. Circuit-level simulation schematic of the DC–DC boost converter with a constant power load.
Electronics 15 00277 g010
Figure 11. Output voltage fluctuation waveform obtained from the circuit-level simulation.
Figure 11. Output voltage fluctuation waveform obtained from the circuit-level simulation.
Electronics 15 00277 g011
Table 1. System parameters.
Table 1. System parameters.
ParametersValue
Control gain k 1 500
Converter input voltage E 25 V
Capacitance C 2 mF
Inductance L 2 mH
PWM switching frequency f 20 kHz
DC bus voltage reference V C r e f 50 V
Table 2. Prescribed performance function parameters.
Table 2. Prescribed performance function parameters.
ParametersValue
Upper bound coefficients ρ 0 , ρ 2.5, 0.5
Lower bound coefficients σ 0 , σ 2.5, 0.5
Performance envelope limits h 0 , h 3, 0.1
Prescribed transient duration T d 0.1 s
Envelope shaping parameters r h , s h 3, 2
Minimum kernel lower-bound parameter α 0.10
kernel scaling factor κ 0.07
Table 3. Parameter variations considered in the sensitivity analysis of the output voltage response.
Table 3. Parameter variations considered in the sensitivity analysis of the output voltage response.
ParametersValue
Control gain k 2 1500, 2000, 3000
Control gain τ 2 1 × 10 5 , 5 × 10 5 , 1 × 10 4
Learning-rate matrices Γ 1 , Γ 2 10 I M + 1 , 20 I M + 1 , 40 I M + 1
Weight leakage coefficients σ w 1 , σ w 2 0.1, 0.2, 0.4
Table 4. Optimized controller and NNDO parameters obtained from sensitivity analysis.
Table 4. Optimized controller and NNDO parameters obtained from sensitivity analysis.
ParametersValue
Number of hidden-layer neurons M 20
Control gain k 2 3000
Control gain τ 2 1 × 10 5
Learning-rate matrices Γ 1 , Γ 2 20 I M + 1
Weight leakage coefficients σ w 1 , σ w 2 0.2
Table 5. Quantitative analysis of the tracking error e 1 ( t ) .
Table 5. Quantitative analysis of the tracking error e 1 ( t ) .
IndexCase aCase b
Performance-bound entering time 2   ms 4   ms
Maximum undershoot after boundary entry−0.043−0.038
Undershoot   at   t = 0.2   s −0.017−0.021
Undershoot   at   t = 0.25   s −0.016−0.012
Overshoot   at   t = 0.3   s 0.0130.013
Maximum steady-state error magnitude0.0100.011
Table 6. Quantitative analysis of power response.
Table 6. Quantitative analysis of power response.
IndexCase aCase b
Initial-to-reference power reaching time 10   ms 11   ms
Disturbance   recovery   time   at   t = 0.2   s 9   ms 9   ms
Disturbance   recovery   time   at   t = 0.25   s 9   ms 9   ms
Disturbance   recovery   time   at   t = 0.3   s 10   ms 10   ms
Maximum steady-state error magnitude0.27 W 0.29 W
Table 7. Quantitative analysis of duty cycle.
Table 7. Quantitative analysis of duty cycle.
IndexCase aCase b
Peak duty cycle during 0.2 0.3   s 0.520.53
Standard deviation of u during 0.4 0.9   s 0.00540.0053
Table 8. Quantitative analysis of i L and v C .
Table 8. Quantitative analysis of i L and v C .
IndexCase aCase b
Voltage recovery time 7   ms 9   ms
Voltage   undershoot   at   t = 0.2   s −0.63 V −0.65 V
Voltage   undershoot   at   t = 0.25   s −0.85 V −0.85 V
Voltage   overshoot   at   t = 0.3   s 1.19 V 1.3 V
Maximum steady-state voltage error0.19 V 0.19 V
Current   overshoot   at   t = 0.2   s 0.23 A 0.33 A
Current   overshoot   at   t = 0.25   s 0.37 A 0.28 A
Current   undershoot   at   t = 0.3   s −0.99 A −1.19 A
Maximum steady-state current error0.02 A 0.02 A
Disclaimer/Publisher’s Note: The statements, opinions and data contained in all publications are solely those of the individual author(s) and contributor(s) and not of MDPI and/or the editor(s). MDPI and/or the editor(s) disclaim responsibility for any injury to people or property resulting from any ideas, methods, instructions or products referred to in the content.

Share and Cite

MDPI and ACS Style

Feng, H.; Lv, T.; Jia, X. Dynamic Error-Modulated Prescribed Performance Control of a DC–DC Boost Converter Using a Neural Network Disturbance Observer. Electronics 2026, 15, 277. https://doi.org/10.3390/electronics15020277

AMA Style

Feng H, Lv T, Jia X. Dynamic Error-Modulated Prescribed Performance Control of a DC–DC Boost Converter Using a Neural Network Disturbance Observer. Electronics. 2026; 15(2):277. https://doi.org/10.3390/electronics15020277

Chicago/Turabian Style

Feng, Hezhang, Teng Lv, and Xinchun Jia. 2026. "Dynamic Error-Modulated Prescribed Performance Control of a DC–DC Boost Converter Using a Neural Network Disturbance Observer" Electronics 15, no. 2: 277. https://doi.org/10.3390/electronics15020277

APA Style

Feng, H., Lv, T., & Jia, X. (2026). Dynamic Error-Modulated Prescribed Performance Control of a DC–DC Boost Converter Using a Neural Network Disturbance Observer. Electronics, 15(2), 277. https://doi.org/10.3390/electronics15020277

Note that from the first issue of 2016, this journal uses article numbers instead of page numbers. See further details here.

Article Metrics

Back to TopTop