Next Issue
Volume 17, January
Previous Issue
Volume 16, November
error_outline You can access the new MDPI.com website here. Explore and share your feedback with us.
 
 

Insects, Volume 16, Issue 12 (December 2025) – 103 articles

Cover Story (view full-size image): The Violet Copper (Lycaena helle) is a butterfly of high latitudes and mountains of Eurasia. As a glacial relict, it is threatened by ongoing climate change. Earlier genetic studies from Western Europe revealed high population differentiation due to long-lasting isolation. We expand the population genetic knowledge into East-Central Europe (Czechia, Poland, Romania), where it inhabits mountain grasslands, lowland mires and sparse woodlands. We thus track the colonisation of North European lowlands, and Carpathian Mountains, after the recession of glaciers. We show that populations inhabiting sparse broadleaved forests in Carpathian valleys, plus populations in never glaciated southeastern Poland, represent survival of the glacial cycles in situ, and deserve the highest conservation priority. View this paper
  • Issues are regarded as officially published after their release is announced to the table of contents alert mailing list.
  • You may sign up for e-mail alerts to receive table of contents of newly released issues.
  • PDF is the official format for papers published in both, html and pdf forms. To view the papers in pdf format, click on the "PDF Full-text" link, and use the free Adobe Reader to open them.
Order results
Result details
Section
Select all
Export citation of selected articles as:
13 pages, 960 KB  
Article
Interactions of the Invasive Fruit Flies Drosophila suzukii, Zaprionus indianus, Zaprionus tuberculatus and Ceratitis capitata with Their Hosts in the Brazilian Pampa Biome
by Karina Jobim, Bárbara Rafaela da Rosa, Pedro da Luz Kaster, Sergio Marcelo Ovruski and Flávio Roberto Mello Garcia
Insects 2025, 16(12), 1285; https://doi.org/10.3390/insects16121285 - 18 Dec 2025
Viewed by 669
Abstract
Several fruit fly species in the Drosophilidae and Tephritidae families are classified as invasive pests worldwide. However, limited information is available on the occurrence of those dipteran species, their interactions, and their host plants in the Pampa Biome of southern Brazil. Therefore, we [...] Read more.
Several fruit fly species in the Drosophilidae and Tephritidae families are classified as invasive pests worldwide. However, limited information is available on the occurrence of those dipteran species, their interactions, and their host plants in the Pampa Biome of southern Brazil. Therefore, we investigated interactions between invasive fruit flies and host plants. After two years (2022–2023) of fruit surveys, 3802 fruits from 16 plant species were harvested in the Pampa Biome’s urban and rural areas. The collected fruits were conditioned in the laboratory. Emerged adult flies were identified and associated with the respective fruit species. The most abundant species detected were Zaprionus indianus (Gupta), followed by Zaprionus tuberculatus (Malloch), Drosophila suzukii (Matsumura), and Ceratitis capitata (Wiedemann). The invasive drosophilids D. suzukii, Z. indianus and Z. tuberculatus interacted with 10 host plant species each, whereas C. capitata was associated with seven host species. Zaprionus indianus showed the highest infestation rate on fruits collected from the ground, whereas D. suzukii had the highest infestation rate in fruits attached to plants. New host plants were identified for Z. tuberculatus and C. capitata. The findings of this study provide a valuable framework for more effective management and control strategies. Full article
(This article belongs to the Section Insect Ecology, Diversity and Conservation)
Show Figures

Figure 1

19 pages, 4350 KB  
Article
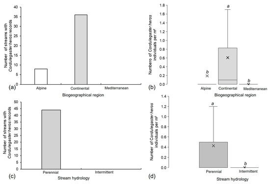
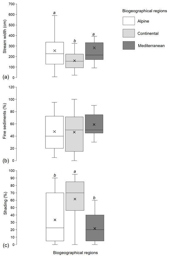
The EU’s Habitats Directive Dragonfly Cordulegaster heros Theischinger, 1979 in Croatia—Distribution and Habitat Requirements
by Marina Vilenica, Bruno Schmidt and Toni Koren
Insects 2025, 16(12), 1284; https://doi.org/10.3390/insects16121284 - 18 Dec 2025
Viewed by 379
Abstract
Cordulegaster heros is an endemic species for Central and Southeastern Europe and one of the species protected under the European Union’s Habitats Directive. To adequately protect this species and its habitats, it is of crucial importance to have detailed information on its distribution, [...] Read more.
Cordulegaster heros is an endemic species for Central and Southeastern Europe and one of the species protected under the European Union’s Habitats Directive. To adequately protect this species and its habitats, it is of crucial importance to have detailed information on its distribution, habitat requirements and potential threats to its survival. The main aims of this study were to record Cordulegaster heros geographical and altitudinal distribution and habitat requirements (stream width, fine substrate content and habitat shading), along with the importance of protected area network in its conservation and threats to its habitats in Croatia. To achieve those aims, we investigated 201 perennial and intermittent streams across three biogeographical regions (Continental, Alpine, Mediterranean). Additionally, in a small-scale study conducted in streams located within a protected area, we assessed the species’ relationship with water quality. According to the current results, Cordulegaster heros was confirmed to reproduce in 44 perennial streams in the Continental and Alpine regions, with a significantly higher number of sites and species’ abundance recorded in the Continental region. As the species was not recorded in the Mediterranean region, its occurrence there remains unverified. The species occurred at an altitudinal range between 150 and 665 m a.s.l., with 77% of the sites being between 150 and 350 m a.s.l. It was mostly documented in streams with widths up to 250 cm, fine sediment content up to 30%, and high habitat shading (>75%). A small-scale assessment of its relationship with water parameters within a protected area revealed a significant correlation with higher concentration of oxygen and lower conductivity, confirming its requirements for clean and well-oxygenated habitats. Approximately 57% of the sites where this species was recorded are within the protected area network. However, because most known occurrences are concentrated within only one area, the Continental region, along with the rather low population densities and anthropogenic threats (e.g., deforestation, hydro-morphological alterations) present at 43% of those streams, further monitoring activities are necessary. The presented results provide a basis for further monitoring of Cordulegaster heros and its habitats in Croatia. Full article
(This article belongs to the Special Issue Aquatic Insects: Ecology, Diversity and Conservation)
Show Figures

Figure 1

18 pages, 3678 KB  
Article
Larval Metabolic and Physiological Mechanisms Underlying Resistance to Chinese Sacbrood Virus in Apis cerana
by Yang Lü, Liyuan Zheng, Wenyao Ouyang, Aqai Kalan Hassanyar, Songkun Su and Zhiguo Li
Insects 2025, 16(12), 1283; https://doi.org/10.3390/insects16121283 - 18 Dec 2025
Viewed by 472
Abstract
CSBV is a major pathogen threatening the health of A. cerana, but the mechanisms underlying natural resistance in its larval host remain poorly understood. To elucidate this, we established resistant (R) and susceptible (S) larval phenotypes through controlled CSBV inoculation and combined [...] Read more.
CSBV is a major pathogen threatening the health of A. cerana, but the mechanisms underlying natural resistance in its larval host remain poorly understood. To elucidate this, we established resistant (R) and susceptible (S) larval phenotypes through controlled CSBV inoculation and combined untargeted metabolomics with biochemical assays. Metabolomic profiling revealed a markedly disrupted metabolic state in S larvae, with 8272 differential metabolites compared to controls, versus a more moderate response in R larvae 4208 metabolites. Key pathways, including galactose and glycerophospholipid metabolism, were significantly perturbed. Crucially, R larvae exhibited a profoundly enhanced antioxidant defense in the gut, with activities of catalase, glutathione S-transferase, and superoxide dismutase being 2.5-fold, 1.5-fold, and 2.0-fold higher, respectively, than in S larvae. Our findings demonstrate that CSBV resistance is linked to a modulated metabolic response and a robust, activated antioxidant system, providing new insights into host–pathogen interactions and potential strategies for safeguarding pollinator health. Full article
(This article belongs to the Special Issue Insect Immunogenomics)
Show Figures

Figure 1

18 pages, 2276 KB  
Article
Emerging Risk of Flea-Borne Bartonella in Tropical Cities: Evidence from Stray Cats in the Klang Valley, Malaysia
by Justin Titti Alison, Auni Atikah AbdulHalim, Muhammad Rasul Abdullah Halim, Hasmawati Yahaya, Muhamad Afiq Aziz, Sazaly AbuBakar and Zubaidah Ya’cob
Insects 2025, 16(12), 1282; https://doi.org/10.3390/insects16121282 - 18 Dec 2025
Viewed by 405
Abstract
Urban stray cats are often associated with ectoparasites and zoonotic pathogens due to their unsanitary living conditions and lack of veterinary care. Fleas, especially Ctenocephalides spp., are competent vectors of Bartonella spp., a genus of emerging bacterial pathogens with both public health and [...] Read more.
Urban stray cats are often associated with ectoparasites and zoonotic pathogens due to their unsanitary living conditions and lack of veterinary care. Fleas, especially Ctenocephalides spp., are competent vectors of Bartonella spp., a genus of emerging bacterial pathogens with both public health and veterinary relevance. This study investigated the presence of Bartonella DNA in ectoparasitic fleas infesting stray cats in various urban habitats within the Klang Valley, Malaysia. A total of 204 fleas were collected from 89 stray cats. Fleas were identified morphologically using established taxonomic keys under a light microscope and further validated through PCR amplification of the mitochondrial cytochrome c oxidase subunit I (cox1) gene. Detection of Bartonella spp. was conducted by targeting the citrate synthase (gltA) gene. All fleas were confirmed as Ctenocephalides felis, with an infestation prevalence of 39.33% among the cats sampled. Of 118 C. felis specimens tested, 86.44% were positive for Bartonella DNA, one of the highest worldwide and significantly surpassing previous Malaysian reports. Sequencing of 12 positive samples showed identities with B. claridgeiae (58.3%), B. henselae (25.0%), an uncultured Bartonella species (8.3%) and a Bartonella isolate from a dog in Chile (8.3%). These results highlight the significant presence of Bartonella, causative agent of cat-scratch disease in stray cats, emphasizing their potential role as urban reservoirs and vectors. The findings underscore the need for ectoparasite surveillance and zoonotic pathogen control as integral components of stray animal management in Malaysia’s urban settings. Full article
(This article belongs to the Special Issue Surveillance and Control of Arthropod-Borne Diseases)
Show Figures

Figure 1

13 pages, 967 KB  
Article
The Box Bug Gonocerus acuteangulatus (Hemiptera: Coreidae) and Its Egg Parasitoids: Updates on Biocontrol in a Hazelnut Producing Area in Southern Italy
by Simona Tortorici, Carmelo Cavallaro, Gaetano Siscaro, Fabrizio Lisi, Antonio Gugliuzzo, Pio Federico Roversi, Francesco Tortorici and Roberto Rizzo
Insects 2025, 16(12), 1281; https://doi.org/10.3390/insects16121281 - 18 Dec 2025
Viewed by 451
Abstract
Among hazelnut phytophagous insects, the box bug Gonocerus acuteangulatus is a key pest in Southern Italy that severely compromise the production of healthy hazelnut fruits with severe economic losses. Currently, the box bug is controlled by many chemical control methods, but biological control [...] Read more.
Among hazelnut phytophagous insects, the box bug Gonocerus acuteangulatus is a key pest in Southern Italy that severely compromise the production of healthy hazelnut fruits with severe economic losses. Currently, the box bug is controlled by many chemical control methods, but biological control could represent a promising tool. An intensive monitoring program of G. acuteangulatus egg parasitoids in five Sicilian organic hazelnut orchards was carried out. Adults, nymphs, and eggs (parasitized and non-parasitized) of G. acuteangulatus were collected. Moreover, hazelnut fruit samples were observed to assess fruit damage. Five parasitoid species emerged from G. acuteangulatus eggs: Anastatus bifasciatus, Hadronotus bosellii, H. muscaeformis, Trissolcus belenus, and Ooencyrtus sp. Anastatus bifasciatus was the most widespread species, followed by H. bosellii. The highest parasitoid diversity occurred at mid-elevation sites. Fruit damage remained substantial, indicating that natural parasitism may not provide satisfactory pest control. Here, field emergence of T. belenus from G. acuteangulatus eggs demonstrates a host association historically reported as T. grandis. Therefore, this study updates and expands the parasitoid assemblage associated with G. acuteangulatus by revisiting historical records with contemporary field evidence for future augmentative or conservation biocontrol program against the box bug. Full article
(This article belongs to the Section Insect Pest and Vector Management)
Show Figures

Figure 1

11 pages, 3089 KB  
Article
Light Intensity Modulates Locomotor Behavior and Predation in Different Color Morphs of the Harlequin Ladybird, Harmonia axyridis
by Xing-Xing Wang, Ya-Nan Liu, Chun-Yan Huang, Rui-Yan Li, Zhi-Wei Jiang, Chen-Yang Liu, Tong-Xian Liu and Yi Zhang
Insects 2025, 16(12), 1280; https://doi.org/10.3390/insects16121280 - 17 Dec 2025
Viewed by 478
Abstract
Light is a fundamental ecological cue for insects, influencing physiological rhythms and behavior. We investigated how varying light intensities affect locomotion and foraging in H. axyridis color morphs, and examined the role of visual opsins. Three adult female morphs were assayed under white [...] Read more.
Light is a fundamental ecological cue for insects, influencing physiological rhythms and behavior. We investigated how varying light intensities affect locomotion and foraging in H. axyridis color morphs, and examined the role of visual opsins. Three adult female morphs were assayed under white light at 1000, 5000, and 10,000 lx. Higher light intensity significantly elevated body temperature and locomotor activity across morphs, with the inherently dark f. conspicua morph exhibiting the greatest increases. Predation rates on pea aphids trended upward with intensity but differed significantly by morph: f. conspicua beetles consistently consumed more prey than f. succinea. RNAi knockdown of the UV-sensitive opsin HaUVSop-2 significantly reduced the crawling distance of satiated beetles under 5000 lux white light. Correspondingly, supplementation of white light with blue light (short wave) enhanced movement, whereas red supplementation increased aphid consumption. These results suggest that Short-wavelength light has the potential to stimulate the dispersal of ladybirds, whereas long-wavelength light may enhance predation on prey by increasing microenvironment temperature or improving prey recognition. We conclude that light intensity and spectrum jointly modulate H. axyridis behavior in a morph-dependent manner, mediated in part by visual opsins. Melanic morphs leverage thermal melanism to gain higher activity under bright light, implying an evolved trade-off between dispersal and stress tolerance. Our findings have practical implications: tailored lighting (e.g., blue-enhanced illumination to stimulate predation and dispersal of H. axyridis) could improve biological control efficacy in agroecosystems. Full article
(This article belongs to the Section Insect Behavior and Pathology)
Show Figures

Figure 1

15 pages, 300 KB  
Article
The Performance of Protein Meal from Hermetia illucens Larvae in Hetero-Clarias Hybrid Farming
by Bogdan Georgescu, Carmen Georgescu, Tudor Păpuc, Marius Vasiu, Dănuț Struți and Anca Boaru
Insects 2025, 16(12), 1279; https://doi.org/10.3390/insects16121279 - 17 Dec 2025
Viewed by 354
Abstract
In the context of healthy and sustainable alternatives to fishmeal, insect meal asserts itself as a potentially healthy ingredient in aquafeeds. The aim of this study was to determine the possibility of successfully replacing fishmeal with Hermetia illucens larvae meal in the diet [...] Read more.
In the context of healthy and sustainable alternatives to fishmeal, insect meal asserts itself as a potentially healthy ingredient in aquafeeds. The aim of this study was to determine the possibility of successfully replacing fishmeal with Hermetia illucens larvae meal in the diet of the hetero-clarias hybrid, and to improve the overall bioavailability of the meal by supplementation with an enzyme complex (Hostazyme X). There were eight treatments: 0, 40, 50, and 60% replacement of fishmeal with larvae meal in the diet, with and without the enzyme supplement. In total, 240 fish with a mean weight of 11.43 ± 0.32 g were employed in the treatments for 80 days. Growth parameters (specific growth rate, feed conversion ratio, daily feed intake, daily weight gain, percentage weight gain, survival rate, production index, metabolic grow rate), hematological parameters and blood serum biochemistry were determined and analyzed. There was an improvement (p < 0.05) in most growth parameters for fish fed experimental diets. Blood parameters, although significantly different (p < 0.05) in some cases, were within a normal range for fish physiology. Thus, the partial replacement (40%) of fishmeal with larvae meal and supplementation with an enzyme complex produced the best growth performance compared to other treatments and controls. Full article
(This article belongs to the Special Issue Insects as the Nutrition Source in Animal Feed)
Show Figures

Graphical abstract

22 pages, 7975 KB  
Article
Taxonomic Revision of the South American Genus Eudius and First Insights into the Phylogeny of the Tribe Eudiagogini (Curculionidae: Entiminae)
by Judy A. Rincón, María Guadalupe del Río and Adriana E. Marvaldi
Insects 2025, 16(12), 1278; https://doi.org/10.3390/insects16121278 - 16 Dec 2025
Viewed by 566
Abstract
The genus Eudius Schoenherr is classified in the broad-nosed weevil tribe Eudiagogini (Entiminae) and harbors two species, Eudius quadrisignatus Gyllenhal and Eudius jocosus Fahraeus, which are only known from their original descriptions. It is endemic to the Brazilian Atlantic Forest, which is one [...] Read more.
The genus Eudius Schoenherr is classified in the broad-nosed weevil tribe Eudiagogini (Entiminae) and harbors two species, Eudius quadrisignatus Gyllenhal and Eudius jocosus Fahraeus, which are only known from their original descriptions. It is endemic to the Brazilian Atlantic Forest, which is one of the most threatened biomes in the world despite being a biodiversity hotspot. In this contribution, and as part of a wider systematic and phylogenetic study on tribe Eudiagogini, we performed a taxonomic revision of the genus Eudius and made preliminary phylogenetic analyses of Eudiagogini based on morphology and molecular evidence. Specimens from seven collections in Argentina, Brazil, and Europe were examined. Diagnosis and redescription of the genus and its species are provided, along with photographs of habits, and illustrations of diagnostic characters and new geographic distribution data. Additionally, a lectotype is designated for each species. The morphology-based phylogenetic analysis was performed under maximum parsimony, using 60 characters from adults coded for representative species from eight genera of Eudiagogini and other related tribes of Entiminae. As a result, monophyly of the genus Eudius and its placement within the tribe Eudiagogini are confirmed, while placement of the genus Chileudius Kuschel in Eudiagogini is refuted. A first molecular phylogenetic analysis of the tribe was also designed, using DNA sequences (of the COI barcode and two ribosomal markers) available for some representatives of Eudiagogini and outgroup taxa, analyzed under parsimony and maximum likelihood. The molecular results are consistent with morphology in recovering a monophyletic tribe Eudiagogini, excluding the genus Chileudius, which is now placed as incertae sedis in Entiminae, pending further analyses. Informative characters within the tribe are discussed, with Eudius supported as a clade by the basally connate tarsal claws and by the sclerites present in the bursa of female genitalia. Synapomorphies justifying the revised concept of Eudiagogini as a natural tribe are highlighted, like the presence of a cavernous prementum and the metaventrite with a spine-like swelling anterior to each metacoxa. Full article
Show Figures

Figure 1

15 pages, 25008 KB  
Article
The Potential Geographic Distribution of Bactrocera minax and Bactrocera tsuneonis (Diptera: Tephritidae) in China
by Yunfa Wan, Chuanren Li, Zhengping Yin and Zailing Wang
Insects 2025, 16(12), 1277; https://doi.org/10.3390/insects16121277 - 16 Dec 2025
Viewed by 522
Abstract
The Bactrocera minax (Enderlein) (Diptera: Tephritidae) and Bactrocera tsuneonis (Miyake) (Diptera: Tephritidae) are the only members of the subgenus of the Tetradacus of Bactrocera. They share nearly identical morphological characteristics and occupy highly overlapping ecological niches, specifically harming citrus crops and causing substantial [...] Read more.
The Bactrocera minax (Enderlein) (Diptera: Tephritidae) and Bactrocera tsuneonis (Miyake) (Diptera: Tephritidae) are the only members of the subgenus of the Tetradacus of Bactrocera. They share nearly identical morphological characteristics and occupy highly overlapping ecological niches, specifically harming citrus crops and causing substantial damage to citrus production in China. To determine the suitable habitat of the two pests and how the citrus coverage affects this distribution. This study employed the Maximum Entropy model (MaxEnt) to predict the potential geographic distributions (PGDs) of B. minax and B. tsuneonis under current and future climate scenarios, using species occurrence data and key environmental variables. The result indicate that the MaxEnt model performed well, with an area under the curve value (AUC) of 0.969. The citrus distribution index, precipitation of driest month (BIO 14), min temperature of coldest month (BIO 6), and elevation were identified as the primary environmental factors affecting their PGDs. The PGDs for these pests are mainly concentrated in southern China, where citrus is extensively cultivated. Guizhou and Hunan identified as the most significant high-suitability habitat. The projected distribution of B. minax and B. tsuneonis show minimal changes under the future climate conditions estimated by the MaxENT model. However, under global warming scenarios, their PGDs are projected to gradually shrink, although eastern Sichuan remains at high risk of invasion by B. tsuneonis. Prevention, quarantine, and control measures for B. tsuneonis require continued attention. The findings of this study offer a more robust theoretical basis for the targeted monitoring and control of B. minax and B. tsuneonis in China. Full article
(This article belongs to the Section Insect Pest and Vector Management)
Show Figures

Figure 1

26 pages, 2355 KB  
Systematic Review
Essential Oils and Bioproducts for Flea Control: A Critical Review
by Diefrey Ribeiro Campos, Ingrid Lins Raquel de Jesus, Fabio Barbour Scott, Thais Ribeiro Correia and Yara Peluso Cid
Insects 2025, 16(12), 1276; https://doi.org/10.3390/insects16121276 - 16 Dec 2025
Viewed by 768
Abstract
Fleas have major veterinary and public health relevance by causing dermatopathies and transmitting zoonotic agents. The limitations and environmental impact of synthetic insecticides have driven the search for safer and more sustainable tick control alternatives, such as essential oils (EOs) and their bioactive [...] Read more.
Fleas have major veterinary and public health relevance by causing dermatopathies and transmitting zoonotic agents. The limitations and environmental impact of synthetic insecticides have driven the search for safer and more sustainable tick control alternatives, such as essential oils (EOs) and their bioactive compounds. We conducted searches in the PubMed, Scopus and Google Scholar databases (May–August 2025), using predefined inclusion and exclusion criteria, resulting in 25 studies. The species investigated most was Ctenocephalides felis, followed by Xenopsylla cheopis. The most common botanical families were Lamiaceae, Cupressaceae, Rutaceae, and Lauraceae, comprising 48 plant species. For C. felis, the EOs of Cinnamomum spp., Ocimum gratissimum, Syzygium aromaticum and Piper aduncum showed the most pronounced insecticidal effects, as did their bioactive compounds cinnamaldehyde, eugenol, and dillapiole, respectively. For X. cheopis, the EOs of Cinnamomum verum, Calocedrus decurrens, and Salvia rosmarinus were the most effective. Essential oils from different plant species also exhibited repellent activity against C. felis, Pulex irritans and Diamanus montanus. In summary, essential oils and their bioactive compounds have promising potential for the control of fleas of medical and veterinary importance, representing sustainable alternatives with reduced environmental impacts. Full article
(This article belongs to the Special Issue Plant Essential Oils for the Control of Insects and Mites)
Show Figures

Figure 1

16 pages, 4383 KB  
Article
Diversity and Seasonal Abundance of the Pine Bark and Ambrosia Beetles in the Florida Panhandle
by Ann Marie S. Robinson-Baker, Muhammad Haseeb and Lambert H. B. Kanga
Insects 2025, 16(12), 1275; https://doi.org/10.3390/insects16121275 - 15 Dec 2025
Viewed by 506
Abstract
This study investigated the diversity, distribution, and seasonal abundance of ambrosia and pine bark beetles (PBBs) in the Florida Panhandle, focusing on Leon and Gadsden Counties between July 2022 and October 2023. A total of 1657 specimens representing 24 species and 18 genera [...] Read more.
This study investigated the diversity, distribution, and seasonal abundance of ambrosia and pine bark beetles (PBBs) in the Florida Panhandle, focusing on Leon and Gadsden Counties between July 2022 and October 2023. A total of 1657 specimens representing 24 species and 18 genera were captured using baited Lindgren funnel traps. Dominant species varied by location: Xyleborinus saxesenii, Cnestus mutilatus, and Xylosandrus crassiusculus were most abundant in Leon County, while Xylosandrus amputatus prevailed in Gadsden County. Three new county records were documented, including Xylosandrus amputatus and Ambrosiodmus lewisi for Leon County, and Cyclorhipidion distinguendum for Gadsden County. Additionally, three ambrosia beetle species within Platypodinae Euplatypus compositus, Myoplatypus flavicornis, and Euplatypus compositus were recorded across both counties. Seasonal patterns showed pronounced activity peaks during spring and early fall, corresponding with warmer and more humid conditions that support beetle reproduction and host colonization. Climatic analysis revealed that moisture-related variables, particularly relative humidity and precipitation, were the strongest predictors of beetle abundance, reflecting the ecological dependence of ambrosia beetles on fungal symbionts. Greater species richness observed in Leon County suggests that favorable microclimatic and habitat conditions enhance colonization dynamics. The documentation of new county records highlights the influence of shifting trade pathways, human movement, and environmental change on species introductions. The findings underscore the need for continuous surveillance and refined detection systems integrating ethanol-based lures and species-specific pheromones. As climate change continues to modify forest ecosystems, these results provide essential guidance for developing proactive monitoring and management strategies to protect forest health, biodiversity, and timber resources in the Florida Panhandle. Full article
(This article belongs to the Special Issue Beetles: Biology, Ecology, and Integrated Management)
Show Figures

Graphical abstract

32 pages, 1950 KB  
Article
From Values to Action: An Integrative Explanatory Framework for Insect Conservation Intentions and Behavior
by Geanina Magdalena Sitar, Ivana Ostřanská Spitzer, Lukas Spitzer, Claudia Marian, Iulia Francesca Pop, Cristian Sitar and Alina Simona Rusu
Insects 2025, 16(12), 1274; https://doi.org/10.3390/insects16121274 - 15 Dec 2025
Viewed by 605
Abstract
Insects constitute a vital component of terrestrial ecosystems, yet their ongoing global decline underscores the urgency of identifying the factors that facilitate or hinder public engagement in their conservation. This study identifies the key psychological drivers of insect-related conservation behavior within a Romanian [...] Read more.
Insects constitute a vital component of terrestrial ecosystems, yet their ongoing global decline underscores the urgency of identifying the factors that facilitate or hinder public engagement in their conservation. This study identifies the key psychological drivers of insect-related conservation behavior within a Romanian context, an understudied geographical and sociocultural setting. Using data collected from 346 adult respondents via an online questionnaire, the predictive performance of the Value–Belief–Norm (VBN) theory, the Theory of Planned Behavior (TPB), and an integrated VBN–TPB framework was examined through Partial Least Squares Structural Equation Modeling (PLS-SEM). The VBN model exhibited superior explanatory power relative to TPB, with biospheric values, ecological worldviews, and personal moral norms emerging as the most influential determinants of behavioral intention and self-reported action. Although participants demonstrated moderate levels of general entomological knowledge, awareness of specific insect-friendly practices was notably limited and frequently characterized by misconceptions. Perceived barriers, particularly informational deficits, time constraints, and financial considerations, exerted significant inhibitory effects on conservation engagement. The findings indicate that effective interventions must extend beyond knowledge transmission, incorporating strategies that activate moral norms, strengthen affective and identity-based motivations, and reduce structural barriers to action. Full article
(This article belongs to the Collection Cultural Entomology: Our Love-hate Relationship with Insects)
Show Figures

Figure 1

9 pages, 653 KB  
Article
An Achiasmatic Mechanism That Ensures the Regular Segregation of Sex Chromosomes in Male Meiosis in the Black Spongilla-fly Sisyra nigra (Retzius 1738), Sisyridae, Differs from the Mechanism Commonly Observed Within Neuroptera
by Seppo Nokkala and Christina Nokkala
Insects 2025, 16(12), 1273; https://doi.org/10.3390/insects16121273 - 15 Dec 2025
Viewed by 381
Abstract
The family Sisyridae, the Spongilla-flies, is notable for its phylogenetic position as a basal group within Neuroptera. Using the improved Schiff-Giemsa method, we analyzed the behavior of the sex chromosomes X and Y during male meiosis in Sisyra nigra (Retzius 1738). The diploid [...] Read more.
The family Sisyridae, the Spongilla-flies, is notable for its phylogenetic position as a basal group within Neuroptera. Using the improved Schiff-Giemsa method, we analyzed the behavior of the sex chromosomes X and Y during male meiosis in Sisyra nigra (Retzius 1738). The diploid chromosome number in males was 2n = 12 + XY. In pachytene, X and Y chromosomes appeared positively heteropycnotic and loosely paired. In early diakinetic nuclei, autosomal bivalents typically exhibited one distally located chiasma, although bivalents with two chiasmata were occasionally observed. The X and Y univalents were isopycnotic with the autosomes, with the X considerably larger than the Y. During the first meiotic division, metaphase plates were radial, with autosomal bivalents forming a ring and X and Y univalents positioned centrally, well separated from each other. In metaphase cells, X and Y were located at the equator, strongly indicating their amphitelic orientation. However, they later formed a pseudobivalent from which X and Y segregated simultaneously with autosomal half bivalents at anaphase I. This achiasmatic segregation mechanism, touch-and-go pairing, has now been observed for the first time in a species carrying chromosomes with a localized centromere. At the second metaphase, two cell types were observed: one with the X chromosome and the other with the Y chromosome. The behavior of the sex chromosomes in S. nigra is notably different from that in other Neuroptera, where sex chromosomes exhibit syntelic orientation and distance pairing at metaphase I. The unusual mechanism of sex chromosome segregation in the family Sisyridae aligns well with molecular phylogenetic findings concerning the family’s basal position within the order Neuroptera. Full article
(This article belongs to the Section Insect Behavior and Pathology)
Show Figures

Figure 1

24 pages, 5220 KB  
Article
Identification and Analysis of the GMC Oxidoreductase Family Genes in Cnaphalocrocis medinalis and Their Response to Spinetoram
by Conghui Xiao, Pengqi Quan, Jian Zhu, Haixia Lei, Kailong Li, Xin Zhao, Daohong Zhu, Yang Zeng and Mingyong Ma
Insects 2025, 16(12), 1272; https://doi.org/10.3390/insects16121272 - 15 Dec 2025
Viewed by 603
Abstract
The glucose–methanol–choline (GMC) oxidoreductase superfamily constitutes a crucial group of enzymes involved in diverse physiological processes in insects. However, a systematic investigation of this gene family in the rice leaf roller, Cnaphalocrocis medinalis—a major migratory rice pest—remains lacking. This study identified 54 [...] Read more.
The glucose–methanol–choline (GMC) oxidoreductase superfamily constitutes a crucial group of enzymes involved in diverse physiological processes in insects. However, a systematic investigation of this gene family in the rice leaf roller, Cnaphalocrocis medinalis—a major migratory rice pest—remains lacking. This study identified 54 CmGMC genes in C. medinalis. Genomic analysis revealed its uneven chromosomal distribution, with a conserved 12-gene tandem cluster on chromosome 23. Phylogenetic analysis classified the CmGMC genes into distinct clades, clarifying their evolutionary relationships with GMC homologs in other species. Furthermore, spatiotemporal expression profiling revealed expression of 36 CmGMC genes across all developmental stages and tissues examined, indicating the high transcriptional activity of GMC oxidoreductase genes in C. medinalis. To investigate their role in insecticide response, we examined changes in CmGMC expression following spinetoram treatment. At 48 h post treatment, 20 and 8 genes were significantly upregulated and downregulated, respectively, indicating that specific GMC oxidoreductases may play crucial roles in the molecular response of C. medinalis to spinetoram. This study provides a foundation for understanding the biological functions of GMC oxidoreductases in C. medinalis and reveals their response to the insecticide spinetoram. Full article
(This article belongs to the Section Insect Molecular Biology and Genomics)
Show Figures

Figure 1

25 pages, 3235 KB  
Article
Genomic Tracing Reveals Multiple Independent Occurrences of Bactrocera dorsalis in Belgium
by Sam Vanbergen, Pablo Deschepper, Jan Van Autreve, Vera Huyshauwer, Massimiliano Virgilio, Jochem Bonte and Wannes Dermauw
Insects 2025, 16(12), 1271; https://doi.org/10.3390/insects16121271 - 15 Dec 2025
Viewed by 547
Abstract
Bactrocera dorsalis (Hendel) is a major insect pest of commercial fruit and a quarantine priority in the European Union (EU). This tephritid species was previously recorded in Austria, France, and Italy, with more recent detections in Greece. In 2023 and 2024, B. dorsalis [...] Read more.
Bactrocera dorsalis (Hendel) is a major insect pest of commercial fruit and a quarantine priority in the European Union (EU). This tephritid species was previously recorded in Austria, France, and Italy, with more recent detections in Greece. In 2023 and 2024, B. dorsalis adult males were captured by the Federal Agency for the Safety of the Food Chain (FASFC) using traps placed in community gardens and produce markets in Belgium. Morphological identification confirmed the specimens as B. dorsalis. Genomes of trapped adults were sequenced, as well as a historical set of B. dorsalis larvae intercepted by FASFC from imported fruit. A nuclear single-nucleotide polymorphism (SNP) analysis revealed that three Belgian B. dorsalis adults originated from Africa, while eight others were of Asian origin. In contrast, almost all FASFC intercepted larvae had an African origin. A discriminant analysis of principal components (DAPC) of the “Folmer” region of the mitochondrial cytochrome c oxidase subunit I (COI) gene largely confirmed the SNP analysis but also indicated that, in a few cases, mitonuclear discordance may confound origin tracing. To enable geographic origin tracing in a laboratory setting, a diagnostic set of nuclear SNPs was developed. The DAPC was also implemented in a streamlined R-script, allowing origin assignment using a mitochondrial COI barcode. To conclude, our study reveals independent occurrences of B. dorsalis in Belgium and provides important tools for origin tracing of this quarantine pest. Full article
Show Figures

Figure 1

17 pages, 1781 KB  
Article
New Insights into the Phenology and Overwintering Biology of Glyptapanteles porthetriae, a Parasitoid of Lymantria dispar
by Thomas Zankl and Christa Schafellner
Insects 2025, 16(12), 1270; https://doi.org/10.3390/insects16121270 - 14 Dec 2025
Viewed by 543
Abstract
Glyptapanteles porthetriae (Hymenoptera: Braconidae) is a solitary larval endoparasitoid of the spongy moth, Lymantria dispar (Lepidoptera: Erebidae). Previous studies suggested that only the spring generation of the wasp parasitizes early instars of L. dispar, while subsequent generations develop in larvae of unidentified [...] Read more.
Glyptapanteles porthetriae (Hymenoptera: Braconidae) is a solitary larval endoparasitoid of the spongy moth, Lymantria dispar (Lepidoptera: Erebidae). Previous studies suggested that only the spring generation of the wasp parasitizes early instars of L. dispar, while subsequent generations develop in larvae of unidentified alternative hosts and overwinter exclusively as endoparasitic larvae within these hosts. In a declining outbreak population of L. dispar in Austria, we observed two successive generations of G. porthetriae developing in spongy moth larvae during spring and early summer. The high abundance of parasitoids in the third outbreak year prompted us to test alternative hypotheses proposing a univoltine, monophagous life cycle with strong specialization on L. dispar. We exposed various developmental stages of L. dispar embryonic larvae to wasp females and evaluated potential dormancy induction in G. porthetriae larvae or pupae by assessing developmental parameters and respiratory activity under different environmental conditions. G. porthetriae did not develop from L. dispar individuals exposed in the egg stage, and no dormancy was observed in G. porthetriae developing in L. dispar larvae. These findings disprove the univoltine, monophagous development hypotheses and highlight the reliance of G. porthetriae on suitable alternative hosts to complete its life cycle. Full article
(This article belongs to the Section Insect Physiology, Reproduction and Development)
Show Figures

Figure 1

30 pages, 1504 KB  
Article
Ecological Network Theory Boosts Land Maxing Benefits for Biodiversity: An Example with Tropical Bee-Plant Interactions
by Valerie E. Peters and Elijah Cruz Cardona
Insects 2025, 16(12), 1269; https://doi.org/10.3390/insects16121269 - 13 Dec 2025
Viewed by 529
Abstract
Land maxing in cultivated ecosystems can improve upon other agroecological approaches because in this approach social, economic and ecological benefits are maximized within the available land, in part through the careful selection of plant species with specific benefits, e.g., biodiversity conservation, provision of [...] Read more.
Land maxing in cultivated ecosystems can improve upon other agroecological approaches because in this approach social, economic and ecological benefits are maximized within the available land, in part through the careful selection of plant species with specific benefits, e.g., biodiversity conservation, provision of ecological services, diversifying and improving farmer incomes. In this approach, plant species selected for improving farmer incomes are those providing non-timber marketable products, and plant species selected for biodiversity conservation and provision of ecological services can be identified quantitatively via ecological network theory. Here, we demonstrate using ecological network theory to identify (a) farm management practices associated with ecological network indices, and (b) key plant species that farmers can plant to maximize the potential for their land to support bees and pollination services. In this study we quantified bee-plant interaction networks within 10 agroforests, and compared results between the entire bee community and the subsetted stingless bee community. Bee abundance increased with flowering plant richness, explaining 9% of the variance (R2 = 0.09; β = 0.05, SE = 0.03). Diverse agroforests with higher numbers of tree species supported less connected (R2 = 0.67; β = −0.08, SE = 0.02), less nested (R2 = 0.53; β = −0.05, SE = 0.01), and more specialized (R2 = 0.63; β = 0.07, SE = 0.02) and modular (R2 = 0.37; β = 0.05, SE = 0.02) bee-plant networks. Some key plant species with the strongest impacts on network structure and stability were shared between the entire bee-plant and the stingless bee-plant networks. We recommend that farmers plant the species highlighted in this study to maximize the value of their diverse agroforests to support bee communities and pollination services. Full article
(This article belongs to the Special Issue Bee Conservation: Behavior, Health and Pollination Ecology)
Show Figures

Figure 1

18 pages, 2414 KB  
Article
Genetic Differentiation of Bisexual and Parthenogenetic Populations of Plant Louse Cacopsylla ledi (Hemiptera, Psylloidea)
by Nazar A. Shapoval, Seppo Nokkala, Christina Nokkala, Galina N. Shapoval, Eugenia S. Labina, Anna E. Romanovich and Valentina G. Kuznetsova
Insects 2025, 16(12), 1268; https://doi.org/10.3390/insects16121268 - 13 Dec 2025
Viewed by 437
Abstract
The psyllid genus Cacopsylla comprises mainly bisexually reproducing species; however, some members of this genus exhibit a unisexual mode of reproduction. Using an integrative approach that combines molecular and cytogenetic methods, as well as Wolbachia screening, we conducted a comprehensive study of the [...] Read more.
The psyllid genus Cacopsylla comprises mainly bisexually reproducing species; however, some members of this genus exhibit a unisexual mode of reproduction. Using an integrative approach that combines molecular and cytogenetic methods, as well as Wolbachia screening, we conducted a comprehensive study of the Palaearctic species C. ledi. We show that this species uses various reproductive strategies (bisexual and parthenogenetic) across its distribution range. Our findings indicate that the bisexual mode of reproduction has emerged at least twice in the evolutionary history of C. ledi. Bisexual populations in southern Fennoscandia are of ancestral origin, whereas the bisexual mode of reproduction observed in northern Fennoscandia represents a recent secondary transition from parthenogenesis. We report that in the first case, parthenogenetic and bisexual lineages can be easily distinguished not only cytogenetically but also by DNA barcoding, while in the second case, “bisexual” individuals share DNA barcodes with parthenogenetic ones. A comprehensive Wolbachia screening (1140 specimens across the entire distribution range) revealed Wolbachia infection in every specimen of C. ledi, indicating a significant role of the endosymbiont in the biology and evolution of this species. Full article
(This article belongs to the Section Insect Molecular Biology and Genomics)
Show Figures

Figure 1

13 pages, 629 KB  
Article
Pheromone Race Composition of Ostrinia nubilalis (Lepidoptera: Crambidae) and Larval Co-Occurrence with Sesamia nonagrioides (Lepidoptera: Noctuidae) in Maize in Central-Eastern Italy
by Maria Chiara Battistelli, Diego Palpacelli, Giorgio Sperandio, Matteo Pacella, Fabio Ramilli, Sara Ruschioni, Abdalhadi M. A. Abulebda and Paola Riolo
Insects 2025, 16(12), 1267; https://doi.org/10.3390/insects16121267 - 13 Dec 2025
Viewed by 390
Abstract
Ostrinia nubilalis (Lepidoptera: Crambidae) and Sesamia nonagrioides (Lepidoptera: Noctuidae) are major maize pests in the central-eastern Mediterranean area, responsible for both quantitative and qualitative yield losses. This study investigated the corn borer species present in central-eastern Italy, the presence and prevalence of O. [...] Read more.
Ostrinia nubilalis (Lepidoptera: Crambidae) and Sesamia nonagrioides (Lepidoptera: Noctuidae) are major maize pests in the central-eastern Mediterranean area, responsible for both quantitative and qualitative yield losses. This study investigated the corn borer species present in central-eastern Italy, the presence and prevalence of O. nubilalis pheromone races, and the within-plant larval distribution. Traps baited with E, Z, or E/Z pheromone lures were used to investigate O. nubilalis pheromone races, while 596 maize plants were sampled at harvest and dissected to determine species composition, relative abundance, and larval distribution across three plant sections (lower and upper stalk and ear). Males were captured in traps baited with each pheromone lure, with no significant differences among catches. Larval sampling revealed the co-occurrence of O. nubilalis and S. nonagrioides, with O. nubilalis being the prevalent species. For both species, larvae were significantly more abundant in the lower plant section, and co-occurrence did not appear to influence their within-plant distribution. Comparing the species-specific larval distribution, a significantly higher proportion of S. nonagrioides occurred in the lower plant section, whereas O. nubilalis was significantly more frequent in the ears. However, the presence of both species in the ears highlights the need to consider both pests in management. These findings highlight the importance of monitoring activities in the area, using traps baited with each pheromone lure for O. nubilalis. Knowledge of the co-occurrence between the two species can be considered fundamental for developing Integrated Pest Management strategies, as it can influence the timing and effectiveness of control methods. Full article
(This article belongs to the Special Issue Lepidoptera: Behavior, Ecology, and Biology)
Show Figures

Figure 1

18 pages, 2923 KB  
Article
Chemical Components, Emission Dynamics, and External Immune Functions of Red Palm Weevil Larval Volatiles in Response to Changes in Developmental Stages and Pathogen Stress
by Can-Hui Ding, Wen-Qing You, Zong-Wei Zheng, Yu-Chen Pu, Li-Na Xu, You-Ming Hou, Yue Zhang and Cong Ou-Yang
Insects 2025, 16(12), 1266; https://doi.org/10.3390/insects16121266 - 13 Dec 2025
Viewed by 439
Abstract
Chemical defenses help insects resist pathogen infection. The volatile compositions, emission patterns, and external immune functions of the red palm weevil (RPW), a major invasive pest now established in numerous countries including the Mediterranean Basin, North Africa, Middle East, and parts of Latin [...] Read more.
Chemical defenses help insects resist pathogen infection. The volatile compositions, emission patterns, and external immune functions of the red palm weevil (RPW), a major invasive pest now established in numerous countries including the Mediterranean Basin, North Africa, Middle East, and parts of Latin America and the Caribbean, are largely unknown. In this study, we examined RPW larval volatiles, analyzing their emission patterns across developmental stages and under pathogen stress from feeding Metarhizium anisopliae. RPW larvae shared a number of volatile components across stages, but the emission dynamics were significantly different. These volatile chemicals were primarily alcohols, phenols and aromatic hydrocarbons, and styrene was the predominant volatile. Furthermore, pathogen stress induced distinct volatile profiles: phenylacetaldehyde unidirectionally decreased, whereas n-nonanol, 4-ethylguaiacol, 2-phenylethanol, hexanal, and benzophenone levels increased. Antimicrobial analysis showed that these upregulated compounds broadly inhibited fungal and bacterial growth. Therefore, our results illustrated the immune defense role of RPW larval volatiles and their potential bioactive compounds, including n-nonanol, 4-ethylguaiacol, 2-phenylethanol, hexanal, and benzophenone. Full article
(This article belongs to the Special Issue Invasive Pests: Bionomics, Damage, and Management)
Show Figures

Graphical abstract

21 pages, 3005 KB  
Article
Transgenerational Consequences of Imidacloprid Larval Diet Contamination in the Sheep Blowfly Lucilia sericata (Diptera: Calliphoridae)
by Gabriela Olivares-Castro, Constanza Schapheer, Carlos Guerrero-Bosagna, Ian S. Acuña-Rodríguez and Cristian Villagra
Insects 2025, 16(12), 1265; https://doi.org/10.3390/insects16121265 - 12 Dec 2025
Viewed by 587
Abstract
Pesticides have been extensively used in agriculture, forestry, and veterinary medicine under intensive production systems. Unfortunately, pesticide pollution resulted in a significant decline in non-target organisms, for instance, in detritivores such as necrophagous insects. Even formulations proposed as less harmful alternatives, such as [...] Read more.
Pesticides have been extensively used in agriculture, forestry, and veterinary medicine under intensive production systems. Unfortunately, pesticide pollution resulted in a significant decline in non-target organisms, for instance, in detritivores such as necrophagous insects. Even formulations proposed as less harmful alternatives, such as neonicotinoids like imidacloprid (IMI), have been demonstrated to permeate the trophic chain and trigger severe consequences on non-target species. Here, the intra- and inter-generational effects of a sublethal dose of IMI were explored in the necrophagous greenbottle fly, Lucilia sericata (Meigen, 1826) (Diptera: Calliphoridae). This is because it has been demonstrated that the carcasses of domestic and wild animals can be contaminated with levels of these neonicotinoids. Transgenerational effects, extending up to three generations after a focal application of the pesticide on laboratory-cultivated F1 flies, were investigated in this study. Morphological, demographic, and phenological features were evaluated through various analyses, including general linear mixed models (GLMM) and Haldane units analyses. Although GLMM showed no significant differences between treatments for the multiple traits observed, a significant directional microevolutionary trend of increased average imago and pupal size was identified for the IMI treatment through Haldane unit analysis. This microevolutionary change falls within the threshold of transgenerational phenotypic plasticity, a crucial mechanism for adaptive responses to environmental stressors. Among the possible explanations for this pattern, it is proposed that this is a likely consequence of the triggering of an epigenetic hormetic transgenerational change. This may contribute to explaining the development of adaptation and resistance towards pesticide formulations in a few generations after focal exposure. In addition to this idea, other possible mechanisms and consequences that explain the observed pattern are discussed. Overall, this experiment highlights the concerns of pesticide spillover consequences, even from sublethal doses of these formulations. Full article
(This article belongs to the Section Medical and Livestock Entomology)
Show Figures

Figure 1

13 pages, 532 KB  
Communication
Malaria Mosquito Host-Seeking Activity Times in Manhiça District, Rural Mozambique, and the Need to Better Match Entomological Surveillance Strategies to Daylight Cycles
by Ndey Bassin Jobe, Mara Máquina, Mercy A. Opiyo, Helena Martí-Soler, Arlindo Malheia, Dulcisária Marrenjo, Nelson Cuamba, David Pino, Francisco Saúte and Krijn P. Paaijmans
Insects 2025, 16(12), 1264; https://doi.org/10.3390/insects16121264 - 12 Dec 2025
Viewed by 811
Abstract
Daytime biting malaria mosquitoes present a challenge for malaria elimination efforts in sub-Saharan Africa. Diurnal mosquito host-seeking activity times were assessed indoors and outdoors in two villages in the Manhiça district. Subsequently, sunrise and sunset data across longitudes and latitudes spanning the African [...] Read more.
Daytime biting malaria mosquitoes present a challenge for malaria elimination efforts in sub-Saharan Africa. Diurnal mosquito host-seeking activity times were assessed indoors and outdoors in two villages in the Manhiça district. Subsequently, sunrise and sunset data across longitudes and latitudes spanning the African continent were used to assess if current entomological surveillance approaches align with (seasonal changes in) local daylight cycles. The most abundant species was Anopheles tenebrosus, and daytime (defined as the period between 06:00 and 18:00) host-seeking was only observed in a single Anopheles ziemanni. However, sunset occurred at 17:06 on that day, which means this specimen (collected between 16:00 and 18:00) could have been collected during nighttime. Further analysis of sunrise and sunset times across several African countries show these can change by over 2 h throughout the year, depending on longitude and latitude. As changes in daylight cycles can affect mosquito and human behaviors (e.g., time spent indoors and sleeping), surveillance strategies need to be adjusted to match actual daylight cycles and/or important human behavioral components. This will allow us to collect more actionable data to inform malaria control and elimination programs. Full article
(This article belongs to the Section Medical and Livestock Entomology)
Show Figures

Figure 1

25 pages, 1225 KB  
Article
Community Composition of Predatory Hybotidae (Diptera: Empidoidea) in Winter Wheat Management Systems
by Julia Gitzel, Helge Kampen, Andreas Stark, Jörg Sellmann, Luca Marie Hoffmann, Jürgen Schwarz, Christian Ulrichs, Doreen Werner and Stefan Kühne
Insects 2025, 16(12), 1263; https://doi.org/10.3390/insects16121263 - 12 Dec 2025
Viewed by 573
Abstract
Fast-running flies (Diptera: Hybotidae) play an important role as predators in agricultural landscapes. This semi-field study examined the effects of pesticides on Hybotidae communities and their role in natural pest control in three winter wheat management systems (organic, conventional, and hybrid (no chemical [...] Read more.
Fast-running flies (Diptera: Hybotidae) play an important role as predators in agricultural landscapes. This semi-field study examined the effects of pesticides on Hybotidae communities and their role in natural pest control in three winter wheat management systems (organic, conventional, and hybrid (no chemical synthetic pesticides with optimized use of nitrogen fertilizers)) in Brandenburg, Germany. To evaluate the impact of management practices, sweep netting and eclector trapping were carried out over three years (2020–2022) at the plot scale. Hybotidae abundance fluctuated across the management systems and collection methods, with no consistent trend linked to pesticide use. However, an increase in the abundance of Hybotidae in 2022, especially in eclector trapping, indicated that year-to-year fluctuations were pronounced and likely driven by environmental factors, such as climate and soil moisture, rather than management practices. The community structure showed a high degree of similarity among all management systems, but species diversity displayed pronounced interannual variation, suggesting complex ecological interactions. Sweep netting collections indicated positive predator–prey associations in every management system, pointing to a generally stable trophic structure. The study also demonstrates that using multiple insect collection methods is crucial for accurately assessing insect diversity and abundance. Further research is needed to fully understand species diversity, predator–prey dynamics, and their implications for sustainable agriculture. Full article
(This article belongs to the Section Insect Ecology, Diversity and Conservation)
Show Figures

Figure 1

15 pages, 6733 KB  
Article
Underground Nests and Foraging Activity of Invasive Conehead Termites (Nasutitermes corniger; Blattodea: Termitidae)
by Barbara L. Thorne, Katherine E. Tenn, Sue Alspach, Monica N. Roden and Marah S. Clark
Insects 2025, 16(12), 1262; https://doi.org/10.3390/insects16121262 - 12 Dec 2025
Viewed by 405
Abstract
Across their wide geographic range (Neotropics, and as invasives in New Guinea and Florida), Nasutitermes corniger (conehead termites) live primarily above the ground surface. They build arboreal nests and foraging tunnels, or epigeal nests and tunnels on the ground surface. There are brief [...] Read more.
Across their wide geographic range (Neotropics, and as invasives in New Guinea and Florida), Nasutitermes corniger (conehead termites) live primarily above the ground surface. They build arboreal nests and foraging tunnels, or epigeal nests and tunnels on the ground surface. There are brief reports of below-ground portions of N. corniger nests and foraging tunnels as rare occurrences of structures extending underground. The entirely and partially underground nests and foraging tunnels described in this paper are distinct and novel from previous observations. They are based on multiple discoveries in areas of Broward County, Florida, where invasive conehead termite activity below ground is common. This paper expands understanding of habitat options for this ecologically agile, adaptable, economically important species. It also serves to alert inspectors in invasive termite eradication programs or pest management situations to explore cryptic locations where nests of all sizes may hide. Effective approaches for treating underground N. corniger activities are described. Full article
(This article belongs to the Section Social Insects and Apiculture)
Show Figures

Figure 1

14 pages, 582 KB  
Article
In Vitro Termiticidal Activity of Medicinal Plant Essential Oils Against Microcerotermes crassus
by Chaiamon Chantarapitak, Jarongsak Pumnuan, Chaiwat Chanpitak and Somsak Kramchote
Insects 2025, 16(12), 1261; https://doi.org/10.3390/insects16121261 - 11 Dec 2025
Viewed by 494
Abstract
Termites are destructive structural pests causing significant economic losses worldwide. Although synthetic termiticides are effective, their extensive use raises environmental and health concerns, highlighting the need for safer, sustainable alternatives. This study evaluated the contact toxicity and repellency in a closed system of [...] Read more.
Termites are destructive structural pests causing significant economic losses worldwide. Although synthetic termiticides are effective, their extensive use raises environmental and health concerns, highlighting the need for safer, sustainable alternatives. This study evaluated the contact toxicity and repellency in a closed system of essential oils (EOs) from clove (Syzygium aromaticum), cinnamon (Cinnamomum zeylanicum), and star anise (Illicium verum) against Microcerotermes crassus workers. Chemical constituents (eugenol and anethole) were characterized by GC–MS/MS, and their activities were compared with those commercial termiticides (fipronil and cypermethrin). Clove and cinnamon oils exhibited strong toxicity, with LC50 values decreasing from 208.6 to 70.6 µL/L and from 362.6 to 130.5 µL/L, respectively, over 24 h. Both achieved LT50 values below 10 h at 250 µL/L and over 80% repellency at 100–500 µL/L within 3–12 h. Eugenol, the major constituent, showed comparable activity. In contrast, star anise oil, dominated by anethole, displayed weaker repellency but measurable termiticidal effects with a slower onset. These findings indicate that eugenol-rich oils may provide rapid-contact activity. In contrast, anethole-rich oils may offer slower but measurable termiticidal effects, suggesting distinct potential roles in future formulation development. The findings provide a foundation for developing nanoemulsion-based botanical termiticides with improved stability and field performance. Full article
(This article belongs to the Section Insect Pest and Vector Management)
Show Figures

Graphical abstract

18 pages, 3033 KB  
Article
Diversity and Functional Analysis of Gut Microbiota in the Adult of Lissorhoptrus oryzophilus (Coleoptera: Curculionidae) by Metagenome Sequencing
by Jian-Xue Jin, Yu Wang, Gui-Fen Zhang, Zhao-Chun Ye, Bo Liu, Dan-Dan Yao, Zhao-Chun Jiang and Yong-Fu He
Insects 2025, 16(12), 1260; https://doi.org/10.3390/insects16121260 - 11 Dec 2025
Viewed by 518
Abstract
The gut microbiota of insects plays a fundamental role in modulating host physiology, including nutrition, development, and adaptability to environmental challenges. The rice water weevil, Lissorhoptrus oryzophilus Kuschel (Coleoptera: Curculionidae), is a major invasive pest of rice worldwide, yet the composition and functional [...] Read more.
The gut microbiota of insects plays a fundamental role in modulating host physiology, including nutrition, development, and adaptability to environmental challenges. The rice water weevil, Lissorhoptrus oryzophilus Kuschel (Coleoptera: Curculionidae), is a major invasive pest of rice worldwide, yet the composition and functional profile of its gut microbial community remain poorly characterized. Here, we employed metagenome sequencing on the Illumina NovaSeq X Plus platform to explore the gut microbial diversity and predicted functions in adults of L. oryzophilus. Our results revealed a rich microbial community, comprising 26 phyla, 42 classes, 72 orders, 111 families, and 191 genera. The bacterial microbiota was overwhelmingly dominated by the phylum Proteobacteria (85.13% of total abundance). At the genus level, Pantoea (48.86%) was the most predominant taxon, followed by Wolbachia (14.57%) and Rickettsia (11.81%). KEGG analysis suggested that the gut microbiota is primarily associated with metabolic pathways such as membrane transport, carbohydrate and amino acid metabolism, cofactor and vitamin metabolism, energy metabolism, and signal transduction. eggNOG annotation further highlighted significant gene representation in amino acid and carbohydrate transport and metabolism, while CAZy annotation revealed glycosyl transferases (GTs) and glycoside hydrolases (GHs) as the dominant carbohydrate-active enzymes. This study provides the first comprehensive insight into the gut microbiome of L. oryzophilus adults, highlighting its potential role in the ecological success of this invasive pest. Our findings lay groundwork for future research aimed at developing novel microbial-based strategies for the sustainable management of L. oryzophilus. Full article
(This article belongs to the Section Insect Behavior and Pathology)
Show Figures

Figure 1

18 pages, 2618 KB  
Article
Pleiotropic Function of Antenna-Specific Odorant-Binding Protein Links Xenobiotic Adaptation and Olfaction in Leptinotarsa decemlineata
by James A. Abendroth, Timothy W. Moural, Casey Cruse, Jonathan A. Hernandez, Michael S. Wolfin, Thomas Charles Baker, Andrei Alyokhin and Fang Zhu
Insects 2025, 16(12), 1259; https://doi.org/10.3390/insects16121259 - 11 Dec 2025
Viewed by 513
Abstract
The Colorado potato beetle (CPB) is the primary defoliator of potatoes and is notorious for its ability to develop resistance to various insecticides. This remarkable adaptability may partly reflect selective pressures imposed due to the beetle’s coevolution with toxic Solanaceous host plants. As [...] Read more.
The Colorado potato beetle (CPB) is the primary defoliator of potatoes and is notorious for its ability to develop resistance to various insecticides. This remarkable adaptability may partly reflect selective pressures imposed due to the beetle’s coevolution with toxic Solanaceous host plants. As the initial interface between the environment and the insect olfactory system, odorant-binding proteins (OBPs) may sequester excess harmful molecules, such as insecticides and plant allelochemicals, in the perireceptor space, mitigating deleterious effects on vulnerable olfactory sensory neuronal dendrites. In this study, we identified an antenna-specific OBP (LdecOBP33) that is significantly upregulated in a pesticide resistant strain compared to a susceptible one. Competitive displacement fluorescence binding assays demonstrated that the LdecOBP33 protein exhibited broad affinity toward a range of plant volatiles and insecticides. Silencing LdecOBP33 decreased the beetle’s resistance to imidacloprid and impaired its ability to locate host plants. Together, these findings provide insight into a key molecular factor involved in the CPB’s response to environmental challenges, suggesting a potential link between insects’ adaptation to xenobiotics and their olfactory processing. Full article
(This article belongs to the Section Insect Molecular Biology and Genomics)
Show Figures

Figure 1

13 pages, 2906 KB  
Article
Drosophila C Virus and La Jolla Virus Formulations for Plant Protection Against Spotted-Wing Drosophila
by Monja Jochmann, Sven Sölmann, Thorsten Gröb, Martin Wortmann, Kwang-Zin Lee, Michael W. Wolff, Waldemar Keil and Anant V. Patel
Insects 2025, 16(12), 1258; https://doi.org/10.3390/insects16121258 - 11 Dec 2025
Viewed by 486
Abstract
The biological control of SWD using entomopathogenic viruses offers a sustainable alternative to chemical insecticides; however, viral instability under environmental and digestive conditions limits their application. Here, we present a chitosan–TPP encapsulation system designed to protect and control the release of Drosophila C [...] Read more.
The biological control of SWD using entomopathogenic viruses offers a sustainable alternative to chemical insecticides; however, viral instability under environmental and digestive conditions limits their application. Here, we present a chitosan–TPP encapsulation system designed to protect and control the release of Drosophila C virus (DCV) and La Jolla virus (LJV). Physicochemical characterization by dynamic light scattering (DLS) and zeta potential measurements confirmed successful encapsulation and indicated that stable electrostatic complexes form within a narrow pH range where chitosan is positively charged and the virion surface is negatively charged. The encapsulated viruses remained intact under acidic conditions but were rapidly released under alkaline conditions mimicking the posterior midgut of SWD. Encapsulation efficiency increased with decreasing chitosan molecular weight and higher stirring speed, reaching up to 90%. Bioassays demonstrated that both formulated viruses caused high mortality in adult flies, with no adverse effects from the carrier matrix. These findings establish chitosan–TPP formulations as an effective strategy for virus stabilization and targeted release in biological pest control. Full article
(This article belongs to the Special Issue Advanced Pest Control Strategies of Fruit Crops)
Show Figures

Graphical abstract

9 pages, 965 KB  
Article
High-Humidity Incubation Improves Post-Microinjection Viability and Larval Performance of CRISPR/Cas9-Edited Helicoverpa armigera Embryos
by Jingyun Zhu, Hongran Li, Yan Peng, Minghui Jin, Kaikai Mao and Yutao Xiao
Insects 2025, 16(12), 1257; https://doi.org/10.3390/insects16121257 - 11 Dec 2025
Viewed by 468
Abstract
Gene editing technologies are playing an increasingly important role in the study of insect gene functions. Appropriate incubation humidity helps improve the hatching rate of insect eggs. However, to date, no study has evaluated the impact of humidity on the hatching rate of [...] Read more.
Gene editing technologies are playing an increasingly important role in the study of insect gene functions. Appropriate incubation humidity helps improve the hatching rate of insect eggs. However, to date, no study has evaluated the impact of humidity on the hatching rate of gene-edited eggs or the subsequent development of the larvae. Using the cotton bollworm Helicoverpa armigera (Lepidoptera: Noctuidae) as a model, we investigated the weight and hatching rate of microinjected eggs under different humidity conditions. We determined the larval development time and pupal weight and calculated the larval gene editing efficiency. The results showed that post-microinjection incubation under high humidity (RH = 95%) had a significant influence on CRISPR/Cas9 gene-edited eggs. The key research results indicate that, compared with the incubation environment with RH ≤ 80%, after 48 h of incubation under 95% RH, the hatching rate of H. armigera eggs increased by more than 27.5%, with higher egg saturation and greater egg weight; meanwhile, the larval developmental duration was shorter and the pupal weight was also greater. These results establish a humidity-regulated developmental recovery protocol for gene-edited insects, which provides theoretical and practical support for optimizing post-microinjection recovery processes in gene-edited insects. Full article
(This article belongs to the Special Issue Research on Insect Molecular Biology)
Show Figures

Graphical abstract

13 pages, 2011 KB  
Article
Knockdown of Serine–Arginine Protein Kinase 3 Impairs Sperm Development in Spodoptera frugiperda
by Yilin Song, Yi Zhou, Ruoke Wang, Bing Zhang, Zhongwei Li, Xiangyu Liu and Dandan Li
Insects 2025, 16(12), 1256; https://doi.org/10.3390/insects16121256 - 11 Dec 2025
Viewed by 403
Abstract
Lepidopterans produce two distinct types of sperm: nucleated eupyrene sperm for fertilization and anucleate apyrene sperm for auxiliary functions. However, the mechanisms underlying sperm dimorphism in fall armyworm Spodoptera frugiperda remain poorly understood. Serine–Arginine Protein Kinases (SRPKs) are a class of kinases that [...] Read more.
Lepidopterans produce two distinct types of sperm: nucleated eupyrene sperm for fertilization and anucleate apyrene sperm for auxiliary functions. However, the mechanisms underlying sperm dimorphism in fall armyworm Spodoptera frugiperda remain poorly understood. Serine–Arginine Protein Kinases (SRPKs) are a class of kinases that catalyze the phosphorylation of SR proteins, but recent studies have shown that SRPK is critical for chromatin remodeling of sperm in mammals. Whether SRPK is involved in lepidopteran spermatogenesis is completely unknown. Here, we describe the entire process of elongation and maturation of both eupyrene and apyrene sperm bundles in S. frugiperda. The eupyrene sperm bundles elongated from the 3-day-old 6th-instar larvae, transiently forming a bowling-pin shape prior to cytoplasmic extrusion and finally maturing into structures with a fan-shaped head and slender tail after eclosion. In contrast, apyrene sperm bundles originated at 2-day-old pupae, where they underwent immediate nuclear extrusion and elongated into bundles that later coiled into a mature, spindle-shaped spool conformation in male adults. Larval knockdown of Serine–Arginine Protein Kinase 3 (SRPK3) significantly reduced apyrene sperm ratio and induced precocious maturation of eupyrene sperm, accompanied by acrosomal malformations. Furthermore, we observed a marked downregulation of cytoskeletal genes—including α-tubulin and cofilin—in non-testicular tissues and β-actin in testicular tissues. In contrast, the expression of dynamin and Lasp was upregulated in the testis and non-testicular tissues, respectively. Our results indicate that SRPK3 regulates both apyrene sperm differentiation and eupyrene sperm maturation by modulating the expression of cytoskeletal components, which provides new clues for lepidopteran spermatogenesis. Full article
(This article belongs to the Section Insect Molecular Biology and Genomics)
Show Figures

Graphical abstract

Previous Issue
Next Issue
Back to TopTop