The Potential Geographic Distribution of Bactrocera minax and Bactrocera tsuneonis (Diptera: Tephritidae) in China
Simple Summary
Abstract
1. Introduction
2. Materials and Methods
2.1. Occurrence Record of B. minax and B. tsuneonis
2.2. Environment Variables Related to B. minax and B. tsuneonis
2.3. Climatic Data
2.4. Topographic Data
2.5. Distribution Model Construction and Accuracy Evaluation
2.6. Division of the PGDs and Calculation of Centroids
3. Results
3.1. Current Distribution of B. minax and B. tsuneonis
3.2. Model Prediction Result Verification
3.3. Evaluation of Important Environment Variables
3.4. PGDs of B. minax and B. tsuneonis in China
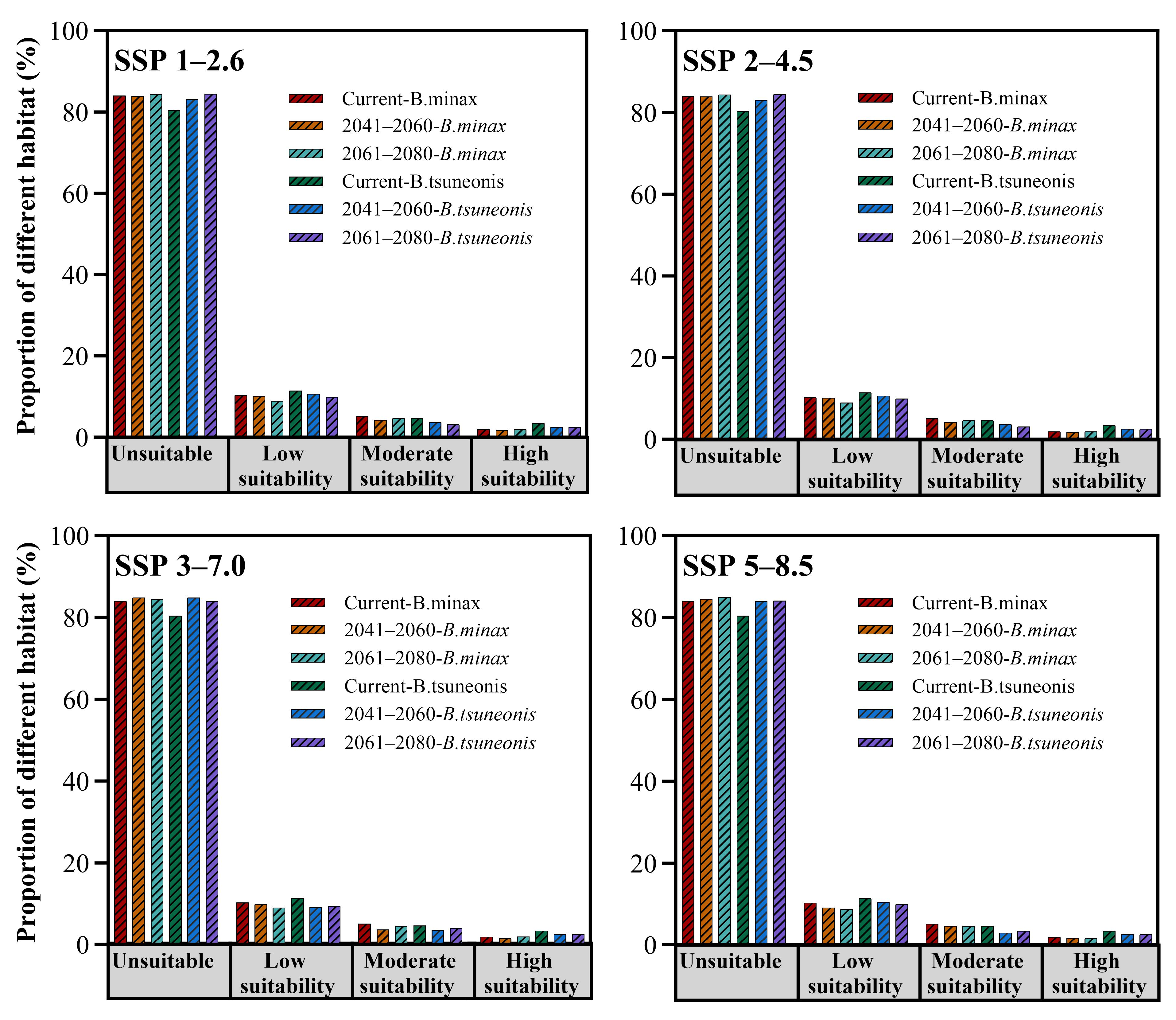
3.5. PGDs of B. minax and B. tsuneonis Under Future Climate Scenarios
3.6. Centroid Shift in B. minax and B. tsuneonis Under Future Climate Change
4. Discussions
Supplementary Materials
Author Contributions
Funding
Data Availability Statement
Acknowledgments
Conflicts of Interest
References
- White, I.M.; Wang, X.J. Taxonomic notes on some dacine (Diptera: Tephritidae) fruit flies associated with citrus, olives, and cucurbits. Bull. Entomol. Res. 1992, 82, 275–279. [Google Scholar] [CrossRef]
- Ma, F.M.; Li, D.S.; Zhang, B.X. Major citrus diseases and insect pests of citrus in China. Chin. J. Biol. Control 2007, S1, 87–92. [Google Scholar] [CrossRef]
- Van Houdt, J.K.; Breman, F.C.; Virgilio, M.; DEMeyer, M. Recovering full DNA barcodes from natural history collections of Tephritid fruit flies (Tephritidae, Diptera) using mini barcodes. Mol. Ecol. Resour. 2010, 10, 459–465. [Google Scholar] [CrossRef]
- Chen, S.X.; Xie, Y.Z. On the taxonomic name and species characteristics of Dacus dorlisa. Acta Entomol. Sin. 1955, 1, 123–126. [Google Scholar]
- Liu, L.; Zhou, Q.; Song, A.Q.; You, K.X. Adult oviposition and larval feeding preference for different citrus varieties in Bactrocera minax (Diptera: Tephritidae). Acta Entomol. Sin. 2014, 57, 1037–1044. [Google Scholar]
- Mochizuki, M.T.; Arai, T.; Mishiro, K.; Okazaki, Y.; Higashiura, Y. Control of the Japanese orange fly, Bactrocera tsuneonis (Diptera: Tephritidae), through several preharvest management practices: Establishment of a phytosanitary measure for citrus fruits for export. Appl. Entomol. Zool. 2024, 59, 317–329. [Google Scholar] [CrossRef]
- Shiraki, T. A Systematic Study of Trypetidae in the Japanese Empire; Memoirs of the Faculty of Science and Agriculture; Taihoku Imperial University: Taipei, Taiwan, 1933; Volume 8, pp. 1–509. [Google Scholar]
- Gong, X.Z.; Chen, W.H.; Bai, Z.L.; Gan, X.J.; Niao, Y.M. Effects of attractants on the trapping of Bactrocera (Tetradacus) tsuneonis (Miyake). Plant Quar. 2008, 22, 1–3. [Google Scholar]
- Catalogue of Quarantine Pests for Imopont Plants to the People’s Republic of China 2007. Available online: https://view.officeapps.live.com/op/view.aspx?src=https%3A%2F%2Fassets.ippc.int%2Fstatic%2Fmedia%2Ffiles%2Freportingobligation%2F2025%2F01%2F07%2FCATALOGUE_OF_QUARANTINE_PESTS_FOR_IMPORT_PLANTS_TO_THE_PEOPLES_REPUBLIC_OF_CHINA_updated_20241128.doc&wdOrigin=BROWSELINK (accessed on 25 November 2025).
- List of National Quarantine Pests of Agricultural Plants 2024. Available online: https://www.moa.gov.cn/govpublic/ZZYGLS/202409/t20240903_6461714.htm (accessed on 25 November 2025).
- Luo, L.Y.; Chen, C.F. Biological characteristics of Dacus dorsalis pupae (Oriental Fruit Fly) on citrus. China Citrus 1987, 4, 9–10. [Google Scholar]
- Yang, W.Z.; Su, Y.; Zeng, L.Y.; Zhang, Y.; Ullah, F.; Wang, X.L.; Li, X.N.; Feng, X.D.; Li, Z.H. LAMP assay as a rapid identification Technique of Chinese citrus fly and Japanese orange fly (Diptera: Tephritidae). J. Econ. Entomol. 2023, 116, 956–962. [Google Scholar] [CrossRef]
- Zheng, L.Y.; Zhang, Y.; Yang, W.Z.; Zeng, Y.Y.; Jiang, F.; Qin, Y.J.; Zhang, J.F.; Jiang, Z.C.; Hu, W.Z.; Guo, D.J.; et al. New Species-Specific Primers for Molecular Diagnosis of Bactrocera minax and Bactrocera tsuneonis (Diptera: Tephritidae) in China Based on DNA Barcodes. Insects 2019, 10, 447. [Google Scholar] [CrossRef]
- Wang, F.; Chambi, C.; Li, Z.; Huang, C.; Ma, Y.; Li, C.; Tian, X.; Sangija, F.; Ntambo, M.S.; Kankonda, O.M.; et al. Influence of supplemental protein on the life expectancy and reproduction of the Chinese citrus fruit fly, Bactrocera minax (Enderlein) (Tetradacus minax) (Diptera: Tephritidae). J. Insect Sci. 2018, 18, 25. [Google Scholar] [CrossRef]
- Wang, H.S.; Zhao, C.D.; Li, H.X.; Lou, H.Z.; Liu, Q.R.; Kang, W.; Hu, J.G.; Zhang, H.Q.; Chu, J.M.; Xia, D.R.; et al. Effectiveness of the sterile tnsect Technique in controlling the oriental fruit fly (Bactrocera dorsalis). J. Nucl. Agric. Sci. 1990, 3, 135–138. [Google Scholar]
- Li, J.Y.; Liang, S.S.; Liang, X.M.; Wang, X.J.; Bai, X.C.; Chen, Y.L.; Wu, K.J.; Liu, X.M.; Dong, Z.H.; Tan, Q.; et al. The carbon footprint and ecological costs of citrus production in China are going down. J. Clean. Prod. 2025, 496, 145124. [Google Scholar] [CrossRef]
- Wang, J.; Fan, H.; Li, Y.; Zhang, T.F.; Liu, Y.H. Trehalose-6-phosphate phosphatases are involved in the trehalose synthesis and metamorphosis in Bactrocera minax. Insect Sci. 2022, 29, 1643–1658. [Google Scholar] [CrossRef]
- Zheng, H.; Liu, S.; Zheng, L.; Zhong, J. Research on Navel Orange Safety Production Information Management System. In Computer and Computing Technologies in Agriculture V. CCTA 2011; Li, D., Chen, Y., Eds.; IFIP Advances in Information and Communication Technology; Springer: Berlin/Heidelberg, Germany, 2012; Volume 368, pp. 97–103. [Google Scholar] [CrossRef]
- Zheng, H.; Meng, X.; Liu, S. The Study on Navel Orange Traceability Chain. In Computer and Computing Technologies in Agriculture IV. CCTA 2010; Li, D., Liu, Y., Chen, Y., Eds.; IFIP Advances in Information and Communication Technology; Springer: Berlin/Heidelberg, Germany, 2011; Volume 346, pp. 179–185. [Google Scholar] [CrossRef]
- Merow, C.; Silander, J. A comparison of Maxlike and Maxent for modelling species distributions. Methods Ecol. Evol. 2014, 5, 215–225. [Google Scholar] [CrossRef]
- Fu, C.; Wang, X.; Huang, T.T.; Wang, R.L. Future habitat changes of Bactrocera minax Enderlein along the Yangtze River Basin using the optimal MaxEnt model. PeerJ 2023, 11, e16459. [Google Scholar] [CrossRef]
- Mao, J.X.; Meng, F.H.; Song, Y.Z.; Li, D.L.; Ji, Q.G.; Hong, Y.C.; Lin, J.; Cai, P.O. Forecasting the expansion of Bactrocera tsuneonis (Miyake) (Diptera: Tephritidae) in China using the MaxEnt model. Insects 2024, 15, 417. [Google Scholar] [CrossRef]
- GBIF Occurrence Download. Available online: https://doi.org/10.15468/dl.5ugbmt (accessed on 7 November 2024). [CrossRef]
- Molloy, S.W.; Davis, R.A.; Van Etten, E.J.B. Species distribution modelling using bioclimatic variables to determine the impacts of a changing climate on the western ringtail possum (Pseudocheirus occidentals; Pseudocheiridae). Environ. Conserv. 2014, 41, 176–186. [Google Scholar] [CrossRef]
- GBIF Occurrence Download. Available online: https://doi.org/10.15468/dl.8w2g5u (accessed on 29 March 2025). [CrossRef]
- Barbet-Massin, M.; Jiguet, F.; Albert, C.H.; Thuiller, W. Selecting pseudo-absences for species distribution models: How, where and how many? Methods Ecol. Evol. 2012, 3, 327–338. [Google Scholar] [CrossRef]
- Crego, R.D.; Stabach, J.A.; Connette, G. Implementation of species distribution models in Google Earth Engine. Divers. Distrib. 2022, 28, 904–916. [Google Scholar] [CrossRef]
- Zhao, Z.Y.; Xiao, N.W.; Shen, M.; Li, J.S. Comparison between optimized MaxEnt and random forest modeling in predicting potential distribution: A case study with Quasipaa boulengeri in China. Sci. Total Environ. 2022, 842, 156867. [Google Scholar] [CrossRef]
- Wang, Z.Y.; Wang, Z.G.; Sun, J.; Xi, S.X.; Wei, X.; Huang, Q.W.; Zhou, C.Z. Surrogate model of solved poisson Kriging method for radiation field reconstruction. Nuclear. Technol. 2025, 211, 332–343. [Google Scholar] [CrossRef]
- Malakar, A.; Pradhan, M.; Garai, S.; Sinha, A. Azadirachta indica A. Juss evinced robust resilience to changing climate under shared socioeconomic pathway scenarios in Eastern India. Clim. Change 2025, 178, 66. [Google Scholar] [CrossRef]
- Warren, D.L.; Matzke, N.J.; Cardillo, M.; Baumgarther, J. ENMTools 1.0: An R package for comparative ecological biogeography. Ecography 2021, 44, 504–511. [Google Scholar] [CrossRef]
- Graham, M.H. Confronting multicollinearity in ecological multiple regression. Ecology 2003, 84, 2809–2815. [Google Scholar] [CrossRef]
- He, M.; Tang, Q.Z.; Huang, D.J. Analysis of Climate Resources in the head area of the Three Gorges Reservoir and its impact on local water resources. Yangtze River 2024, 55, 63–69. [Google Scholar] [CrossRef]
- Ray, H.; Das, N.; Pal, S.; Pal, S.C.; Mandal, S. Predicting the potential habitat suitability of mangrove bioindicator species- Telescopium telescopium (Linnaeus, 1758) through MaxEnt modelling. Reg. Stud. Mar. Sci. 2025, 83, 104073. [Google Scholar] [CrossRef]
- Swets, J.A. Measuring the accuracy of diagnostic systems. Science 1988, 240, 1285–1293. [Google Scholar] [CrossRef]
- Emmerling, J.; Kormek, U.; Zuber, S. Multidimensional welfare indices and the IPCC 6th Assessment Report scenarios. Ecol. Econ. 2024, 220, 108182. [Google Scholar] [CrossRef]
- Sun, Y.; Qin, D.H.; Liu, H.B. Introduction to treatment of uncertainties for IPCC fifth assessment report. Adv. Clim. Change Res. 2012, 8, 150. [Google Scholar]
- Liang, Q.L.; Xu, X.T.; Mao, K.S.; Wang, M.C. Shifts in plant distributions in response to climate warming in a biodiversity hotspot, the Hengduan Mountains. J. Biogeogr. 2018, 45, 1334–1344. [Google Scholar] [CrossRef]
- Xu, P.H.; Wang, Y.H.; Akami, M.; Niu, C.Y. Identification of olfactory genes and functional analysis of BminCSP and BminOBP21 in Bactrocera minax. PLoS ONE 2019, 14, e0222193. [Google Scholar] [CrossRef] [PubMed]
- Wang, X.R.; Zhao, T.N.; Liu, L.H. Adjustment and prospect of the agricultural and livestock configuration in Linzhi Region, Tibet. Res. Soil Water Conserv. 2023, 10, 199–202. [Google Scholar]
- Huo, B.W.; Yuan, S.W.; Ye, F.Y.; Du, S.J.; Wan, W.J.; Guo, J.Y.; Wan, F.H.; Zhou, H.X.; Liu, W.X. Survey of the species and damages of agromyzid Leaf miners and their natural enemy parasitoids in Ningxia Region. J. Trop. Biol. 2025, 16, 327–333. [Google Scholar] [CrossRef]
- Zhang, X.Y. Studies on Biology, Behavior and Control of Bactrocera minax. Master’s Thesis, Huazhong Agricultural University, Wuhan, China, 2007. [Google Scholar]
- Lv, Z.Z.; Zhao, Y.C. Emergence, mating, and oviposition behavior of Bactrocera minax in the Three Gorges Valley region. Chin. Bull. Entomol. 2007, 44, 277–279. [Google Scholar]
- Zhang, J.F. Research on Biological Characters and the Integrated Control Technique of Bactrocera (Tetradacus) minax (Enderlein). Master’s Thesis, Hunan Agricultural University, Guangzhou, China, 2008. [Google Scholar]
- Zhuo, D.G.; Li, Z.H.; Men, X.Y.; Yu, Y.; Zhang, A.S.; Li, L.L.; Zhang, S.C. Effects of low temperature and photoperiod on diapause termination and developmental duration of the overwintering egg of Apolygus lucorum Meyer-Dür (Hemiptera: Miridae). Acta Entomol. Sin. 2011, 54, 136–142. [Google Scholar] [CrossRef]
- Zhou, Z.X.; Xia, Z.Z.; Yuan, J.J.; Wang, Z.L.; Li, C.R. Effect of temperature on the energy metabolism and related enzyme activity of the Chinese citrus fruit fly, Bactrocera minax (Enderlein), during diapause. Chin. J. Appl. Entomol. 2019, 56, 454–462. [Google Scholar]
- Wang, J.T.; Dong, Y.C.; Li, K.Z.; Ni, S.B.; Niu, C.Y. Overview of the use of the sterile insect technique to control the Chinese citrus fruit fly. Chin. J. Appl. Entomol. 2013, 50, 848–852. [Google Scholar]
- Tan, J.R.; Yan, W.B.; Ran, F.; Zhang, Y.F. Sensitivity of different attractants to fruit fly and occurrence law of fruit fly. Plant Health Med. 2012, 25, 12–13. [Google Scholar]
- Zhao, Y.T. Risk analysis of Bactrocera tsuneonis invasion in Sichuan. China Plant Prot. 2021, 41, 76–78+100. [Google Scholar]






| Variable Code | Description | Contribution Rate % | Permutation Importance % |
|---|---|---|---|
| Citrus L. | Citrus distribution index | 39.9 | 0.8 |
| BIO 14 | Precipitation of driest month | 14.3 | 10.9 |
| BIO 6 | Min temperature of coldest month | 9.2 | 14.2 |
| Elev | Elevation (m) | 8 | 5.4 |
| BIO 19 | Precipitation of coldest quarter (mm) | 5.6 | 17.7 |
| BIO 2 | Mean diurnal range (°C) | 2.4 | 2.9 |
| BIO 3 | Isothermality (BIO2/BIO7) (×100) | 2.1 | 1.8 |
| BIO 4 | Seasonal variation in temperature | 1.8 | 2.8 |
| aspect | Aspect (°) | 0.8 | 1 |
| slope | Slope (°) | 0.7 | 0.3 |
Disclaimer/Publisher’s Note: The statements, opinions and data contained in all publications are solely those of the individual author(s) and contributor(s) and not of MDPI and/or the editor(s). MDPI and/or the editor(s) disclaim responsibility for any injury to people or property resulting from any ideas, methods, instructions or products referred to in the content. |
© 2025 by the authors. Licensee MDPI, Basel, Switzerland. This article is an open access article distributed under the terms and conditions of the Creative Commons Attribution (CC BY) license (https://creativecommons.org/licenses/by/4.0/).
Share and Cite
Wan, Y.; Li, C.; Yin, Z.; Wang, Z. The Potential Geographic Distribution of Bactrocera minax and Bactrocera tsuneonis (Diptera: Tephritidae) in China. Insects 2025, 16, 1277. https://doi.org/10.3390/insects16121277
Wan Y, Li C, Yin Z, Wang Z. The Potential Geographic Distribution of Bactrocera minax and Bactrocera tsuneonis (Diptera: Tephritidae) in China. Insects. 2025; 16(12):1277. https://doi.org/10.3390/insects16121277
Chicago/Turabian StyleWan, Yunfa, Chuanren Li, Zhengping Yin, and Zailing Wang. 2025. "The Potential Geographic Distribution of Bactrocera minax and Bactrocera tsuneonis (Diptera: Tephritidae) in China" Insects 16, no. 12: 1277. https://doi.org/10.3390/insects16121277
APA StyleWan, Y., Li, C., Yin, Z., & Wang, Z. (2025). The Potential Geographic Distribution of Bactrocera minax and Bactrocera tsuneonis (Diptera: Tephritidae) in China. Insects, 16(12), 1277. https://doi.org/10.3390/insects16121277

