- Article
BRG1 Loss Is Frequent in Lung Cancer and Transforms Lung Epithelial Cells via Transcriptional and Epigenetic Reprograming
- Mathewos Tessema,
- Christin M. Yingling,
- Loryn M. Phillips,
- Kieu Do,
- Maria A. Picchi,
- Randy Willink and
- Steven A. Belinsky
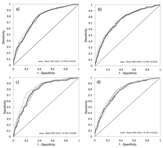
Background/Objectives: The BRG1 loss-of-function (LOF) mutation is found in ~10% of non-small cell lung cancer (NSCLC) cases, but its role in lung tumorigenesis is unclear and so it is investigated in this study. Methods: BRG1-knockout (KO) lines wer...

