Journal Description
Forests
Forests
is an international, peer-reviewed, open access journal on forestry and forest ecology published monthly online by MDPI.
- Open Access— free for readers, with article processing charges (APC) paid by authors or their institutions.
- High Visibility: indexed within Scopus, SCIE (Web of Science), Ei Compendex, GEOBASE, PubAg, AGRIS, PaperChem, and other databases.
- Journal Rank: JCR - Q2 (Forestry) / CiteScore - Q1 (Forestry)
- Rapid Publication: manuscripts are peer-reviewed and a first decision is provided to authors approximately 17.1 days after submission; acceptance to publication is undertaken in 2.4 days (median values for papers published in this journal in the first half of 2025).
- Recognition of Reviewers: reviewers who provide timely, thorough peer-review reports receive vouchers entitling them to a discount on the APC of their next publication in any MDPI journal, in appreciation of the work done.
- Testimonials: See what our editors and authors say about Forests.
- Journal Cluster of Ecosystem and Resource Management: Forests, Diversity, Fire, Conservation, Ecologies, Biosphere and Wild.
Impact Factor:
2.5 (2024);
5-Year Impact Factor:
2.7 (2024)
Latest Articles
Trees, Deadwood and Tree-Related Microhabitats Explain Patterns of Alpha and Beta Saproxylic Beetle Diversity in Silver Fir-Beech Forests in Central Italy
Forests 2025, 16(11), 1715; https://doi.org/10.3390/f16111715 - 11 Nov 2025
Abstract
Forest structure, including trees, deadwood and tree-related microhabitats, is a key determinant of forest biodiversity. Their relative contribution in shaping local (alpha) biodiversity and its variation (beta) between sites remains unclear. We assessed how forest characteristics shape alpha and beta diversity of beetle
[...] Read more.
Forest structure, including trees, deadwood and tree-related microhabitats, is a key determinant of forest biodiversity. Their relative contribution in shaping local (alpha) biodiversity and its variation (beta) between sites remains unclear. We assessed how forest characteristics shape alpha and beta diversity of beetle communities in mixed silver fir–beech forests within the Vallombrosa Nature Reserve (Tuscany, Italy). We sampled 47 circular plots recording single-tree attributes, deadwood volume and decay stage, and the occurrence of tree-related microhabitats. Beetle assemblages were sur-veyed using window flight traps, yielding over 11,000 individuals belonging to 187 species, 20% of those known from central-southern Italian forests, 58% of which were listed in the Italian Red List of Saproxylic Beetles and 10% of which were threatened. Statistical models (GLMs and GDMs) revealed that alpha diversity was driven by fi-ne-scale features, including tree species composition, microhabitats (cavities, bark, ep-iphytes) and deadwood diversity. In contrast, beta diversity was shaped by stand structure and inter-stand heterogeneity. Our results highlight the need for conserva-tion strategies that simultaneously maintain tree-level heterogeneity and secure varia-tion across the landscape. Management should therefore combine retention of micro-habitats and diverse deadwood substrates with promotion of structurally diverse, mixed stands to sustain beetle diversity at multiple spatial scales.
Full article
(This article belongs to the Special Issue Species Diversity and Habitat Conservation in Forest)
Open AccessReview
Artificial Intelligence in Forest Pathology: Opportunities and Challenges
by
Pauline Hessenauer
Forests 2025, 16(11), 1714; https://doi.org/10.3390/f16111714 - 11 Nov 2025
Abstract
Forest diseases threaten tree health, biodiversity, and ecosystem services, with impacts amplified by climate change and global trade. Understanding and managing these threats is difficult due to the longevity of trees, the size and inaccessibility of forests, and the often cryptic or delayed
[...] Read more.
Forest diseases threaten tree health, biodiversity, and ecosystem services, with impacts amplified by climate change and global trade. Understanding and managing these threats is difficult due to the longevity of trees, the size and inaccessibility of forests, and the often cryptic or delayed expression of symptoms. This review first introduces the field of forest pathology and the key challenges it faces, including multifactorial declines, root and vascular diseases, and emerging invasive pathogens. We then examine how artificial intelligence (AI) can be applied to biotic, abiotic, and decline-related diseases, integrating remote sensing, imaging, genomics, and ecological data across spatial and temporal scales. Lessons from agricultural systems are discussed, highlighting potential tools and pitfalls for forestry. Finally, we outline future directions, emphasizing the need for interpretable models, incorporation of ecological context, cross-species validation, and coordinated data infrastructures to ensure AI delivers actionable, scalable solutions for complex forest ecosystems.
Full article
(This article belongs to the Special Issue Innovative Techniques for Monitoring and Managing Invasive Forest Pests and Pathogens)
Open AccessArticle
Urban Greening Strategies and Ecosystem Services: The Differential Impact of Street-Level Greening Structures on Housing Prices
by
Qian Ji, Shengbei Zhou, Longhao Zhang, Yankui Yuan, Lunsai Wu, Fengliang Tang, Jun Wu, Yufei Meng and Yuqiao Zhang
Forests 2025, 16(11), 1713; https://doi.org/10.3390/f16111713 - 11 Nov 2025
Abstract
Street greening is widely recognized as influencing resident well-being and housing prices, and street-view imagery provides a fine-grained data source for quantifying urban microenvironments. However, existing research predominantly relies on single indicators such as the Green View Index (GVI) and overall green coverage/volume
[...] Read more.
Street greening is widely recognized as influencing resident well-being and housing prices, and street-view imagery provides a fine-grained data source for quantifying urban microenvironments. However, existing research predominantly relies on single indicators such as the Green View Index (GVI) and overall green coverage/volume lacking a systematic analysis of how the hierarchical structure of trees, shrubs, and grass relates to housing prices. This study examines the high-density block context of Tianjin’s six urban districts. Using the Street Greening Space Structure (SGSS) dataset to construct greening structure configurations, we integrate housing-price data, neighborhood attributes, and 13,280 street-view images from the study area. We quantify how “visibility and hierarchical ratios” are capitalized on in the housing market and identify auditable threshold ranges and contextual gating. We propose an urban–forest structural system centered on visibility and hierarchical ratios that links street-level observability to ecosystem services. Employing an integrated framework combining Geographical-XGBoost (G-XGBoost) and SHapley Additive exPlanations (SHAP), we move beyond average effects to reveal structural detail and contextual heterogeneity in capitalization. Our findings indicate that tree visibility G_TVI is the most robust and readily capitalized price signal: when G_TVI increases from approximately 0.06 to 0.12–0.16, housing prices rise by about 8%–10%. Hierarchical structure is crucial: balanced tree–shrub ratios and moderate shrub–grass ratios translate “visible green” into functional green. Capitalization effects are environmentally conditioned—more pronounced along corridors with high centrality and accessibility—and are likewise common in dense East Asian metropolises (e.g., Beijing, Shanghai, Seoul, and Tokyo) and rapidly motorizing cities (e.g., Bangkok and Jakarta). These patterns suggest parametric prescriptions that prioritize canopy-corridor continuity and keep ratios within actionable threshold bands. We translate these findings into urban greening strategies that prioritize canopy continuity, under-canopy permeability, and maintainability, providing sustainability-oriented, parameterized guidance for converting urban greening structure into ecological capital for sustainable cities.
Full article
(This article belongs to the Special Issue Urban Forests and Greening for Sustainable Cities)
►▼
Show Figures

Figure 1
Open AccessArticle
Reconciling Above- and Below-Ground Perspectives to Understand Ectomycorrhizal Community Diversity and Function
by
Elena Salerni, Debora Barbato, Pamela Leonardi, Claudia Perini and Simona Maccherini
Forests 2025, 16(11), 1712; https://doi.org/10.3390/f16111712 - 10 Nov 2025
Abstract
Forests sustain high levels of biodiversity and essential ecosystem services, yet the impact of management practices on below-ground functioning remains difficult to assess. A comprehensive evaluation of ectomycorrhizal (ECM) fungal diversity is, therefore, required to better understand ecosystem dynamics. This study, conducted within
[...] Read more.
Forests sustain high levels of biodiversity and essential ecosystem services, yet the impact of management practices on below-ground functioning remains difficult to assess. A comprehensive evaluation of ectomycorrhizal (ECM) fungal diversity is, therefore, required to better understand ecosystem dynamics. This study, conducted within the SelpiBioLife project, examined ECM community structure in two Pinus nigra J.F. Arnold forests in central Italy by integrating above- and below-ground sampling. Across 108 plots, ECM fruiting bodies (EMFb) were recorded during one fruiting season, and 54 soil cores were collected to characterize ECM root tips (EMRt) through morpho-anatomical analyses and ITS sequencing. Species richness and community composition were compared using rarefaction, PERMANOVA, NMDS, Mantel tests, and SIMPER analysis. A total of 70 EMFb species and 54 EMRt morphotypes were identified, displaying significant differences between sites and sampling types. EMFb surveys revealed greater richness, whereas EMRt reached sampling saturation only at one site, suggesting additional hidden diversity. Distinct community patterns were detected in ordination space, and weak correlations emerged between EMFb and EMRt dissimilarities, indicating complementary ecological information. These findings show that single-method monitoring underrepresents ECM diversity. Combined above- and below-ground investigations provide a more accurate basis for evaluating silvicultural impacts and maintaining forest ecosystem resilience.
Full article
(This article belongs to the Special Issue Sustainable and Suitable Ecological Management of Forest Plantation)
Open AccessArticle
Intraspecific Leaf Trait Responses to Habitat Heterogeneity in a Tropical Rainforest
by
Shashikala Madhubhani, Mahesha Lakmali, Akshay Surendra, Liza S. Comita and Sisira Ediriweera
Forests 2025, 16(11), 1711; https://doi.org/10.3390/f16111711 - 10 Nov 2025
Abstract
Functional traits provide key insights into plant ecological strategies and responses to environmental heterogeneity, yet the role of intraspecific trait variability (ITV) in tropical rainforests remains underexplored. We examined ITV in six leaf traits—leaf thickness (LT), leaf area (LA), specific leaf area (SLA),
[...] Read more.
Functional traits provide key insights into plant ecological strategies and responses to environmental heterogeneity, yet the role of intraspecific trait variability (ITV) in tropical rainforests remains underexplored. We examined ITV in six leaf traits—leaf thickness (LT), leaf area (LA), specific leaf area (SLA), leaf dry matter content (LDMC), leaf nitrogen content (LNC), and stomatal density (SD)—in saplings of 15 dominant tree species across ridge and valley habitats in a Sri Lankan tropical lowland rainforest. We compared interspecific and intraspecific variation and quantified trait plasticity using the plasticity index. Significant ITV was observed for LT, LA, and SD, with ridge individuals showing smaller, thicker leaves with lower SD. SLA, LDMC, and LNC exhibited no overall habitat-level differences, though species-specific divergent responses were detected. Interspecific variation exceeded ITV for most traits, except for LNC, where ITV accounted for 55% of total variation. Trait plasticity varied among traits, with LNC showing the highest plasticity. These results indicate that individuals adjust leaf traits in response to fine-scale habitat heterogeneity, reflecting shifts in resource-use strategies. Overall, ITV is ecologically meaningful and should be incorporated into community-level studies and ecosystem models to improve predictions of plant community dynamics and ecosystem functioning under environmental change.
Full article
(This article belongs to the Section Forest Ecophysiology and Biology)
►▼
Show Figures

Figure 1
Open AccessArticle
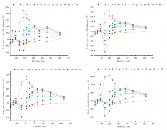
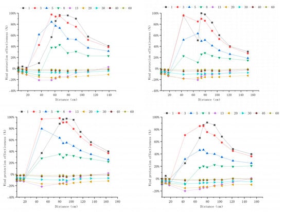
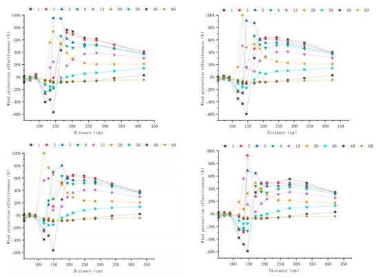
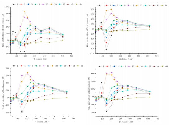
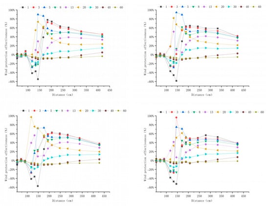
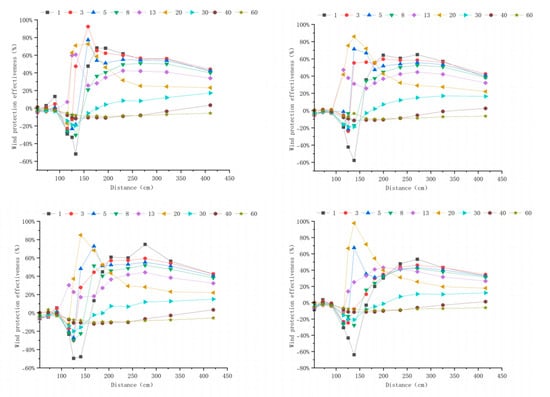
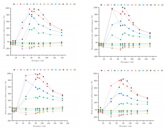
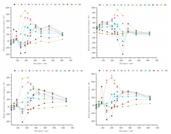
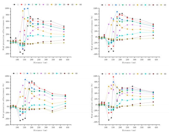
Structural Optimization of Windbreak and Sand-Fixing Forests: A Wind Tunnel Study
by
Feng Li, Jianjun Yang, Rui Chen, Peng Hou, Zhixi Wang, Yao Qin, Miao He and Qinghong Luo
Forests 2025, 16(11), 1710; https://doi.org/10.3390/f16111710 - 10 Nov 2025
Abstract
This study examined the windbreak effects of different tree–shrub configurations through wind tunnel experiments. Using Populus euphratica Oliv. and Tamarix chinensis Lour. as model species, six rows of front-tree–back-shrub arrangements in a triangular layout were tested under varying spacing patterns. Four
[...] Read more.
This study examined the windbreak effects of different tree–shrub configurations through wind tunnel experiments. Using Populus euphratica Oliv. and Tamarix chinensis Lour. as model species, six rows of front-tree–back-shrub arrangements in a triangular layout were tested under varying spacing patterns. Four spacings of P e (7.5 cm × 7.5 cm, 7.5 cm × 10 cm, 7.5 cm × 12.5 cm, 10 cm × 10 cm) and four spacings of T cs (5 cm × 5 cm, 5 cm × 7.5 cm, 5 cm × 10 cm, 7.5 cm × 7.5 cm) were analyzed. Tree–shrub combinations significantly outperformed pure stands. The configuration of P e (7.5 cm × 10 cm) with T c (5 cm × 10 cm) achieved the highest efficiency, with an average of 27.1% and a peak of 47.13% at 7 H. This configuration was effective up to 15 H and showed slower efficiency decline at higher wind speeds. Vertically, most combinations reached maximum efficiency at 20 cm height, while pure T c peaked at 51.96% at 3 cm and pure P e at 36.33% at 20 cm. Overall, the optimal configuration was P e spaced at 7.5 cm × 10 cm and T c at 5 cm × 10 cm, which not only enhanced protective performance but also reduced planting density. These findings provide valuable scientific references for designing windbreak and sand-fixing forests in arid regions, supporting ecological restoration and sustainable land management in desert–oasis transition zones.
Full article
(This article belongs to the Section Forest Ecology and Management)
►▼
Show Figures

Figure 1
Open AccessArticle
Developing Interpretable Deep Learning Model for Subtropical Forest Type Classification Using Beijing-2, Sentinel-1, and Time-Series NDVI Data of Sentinel-2
by
Shudan Chen, Xuefeng Wang, Mengmeng Shi, Guofeng Tao, Shijiao Qiao and Zhulin Chen
Forests 2025, 16(11), 1709; https://doi.org/10.3390/f16111709 - 10 Nov 2025
Abstract
Accurate forest type classification in subtropical regions is essential for ecological monitoring and sustainable management. Multimodal remote sensing data provide rich information support, yet the synergy between network architectures and fusion strategies in deep learning models remains insufficiently explored. This study established a
[...] Read more.
Accurate forest type classification in subtropical regions is essential for ecological monitoring and sustainable management. Multimodal remote sensing data provide rich information support, yet the synergy between network architectures and fusion strategies in deep learning models remains insufficiently explored. This study established a multimodal deep learning framework with integrated interpretability analysis by combining high-resolution Beijing-2 RGB imagery, Sentinel-1 data, and time-series Sentinel-2 NDVI data. Two representative architectures (U-Net and Swin-UNet) were systematically combined with three fusion strategies, including feature concatenation (Concat), gated multimodal fusion (GMU), and Squeeze-and-Excitation (SE). To quantify feature contributions and decision patterns, three complementary interpretability methods were also employed: Shapley Additive Explanations (SHAP), Grad-CAM++, and occlusion sensitivity. Results show that Swin-UNet consistently outperformed U-Net. The SwinUNet-SE model achieved the highest overall accuracy (OA) of 82.76%, exceeding the best U-Net model by 3.34%, with the largest improvement of 5.8% for mixed forest classification. The effectiveness of fusion strategies depended strongly on architecture. In U-Net, SE and Concat improved OA by 0.91% and 0.23% compared with the RGB baseline, while GMU slightly declined. In Swin-UNet, all strategies achieved higher gains between 1.03% and 2.17%, and SE effectively reduced NDVI sensitivity. SHAP analysis showed that RGB features contributed most (values > 0.0015), NDVI features from winter and spring ranked among the top 50%, and Sentinel-1 features contributed less. These findings reveal how architecture and fusion design interact to enhance multimodal forest classification.
Full article
(This article belongs to the Section Forest Inventory, Modeling and Remote Sensing)
►▼
Show Figures

Figure 1
Open AccessArticle
Decoupled Leaf Physiology and Branch-Level BVOC Emissions in Two Tree Species Under Water and Nitrogen Treatments
by
Shuangjiang Li, Diao Yan, Xuemei Liu, Maozi Lin and Zhigang Yi
Forests 2025, 16(11), 1708; https://doi.org/10.3390/f16111708 - 9 Nov 2025
Abstract
Soil water availability and nitrogen (N) deposition critically influence biogenic volatile organic compound (BVOC) emissions, thereby affecting atmospheric chemistry. However, their differential short- and long-term effects remain unclear. Here, Ormosia pinnata and Pinus massoniana seedlings were exposed to three water regimes (moderate drought,
[...] Read more.
Soil water availability and nitrogen (N) deposition critically influence biogenic volatile organic compound (BVOC) emissions, thereby affecting atmospheric chemistry. However, their differential short- and long-term effects remain unclear. Here, Ormosia pinnata and Pinus massoniana seedlings were exposed to three water regimes (moderate drought, MD; normal irrigation, NI; near-saturated irrigation, NSI) and two nitrogen (N0; 0 kg N ha−1 yr−1; N80; 80 kg N ha−1 yr−1) treatments for 20 months. Branch-level BVOC emissions and leaf physiological and biochemical traits were examined after 8 months (short term) and 16 months (long term). In the short term, P. massoniana predominantly emitted α-pinene, β-pinene, and γ-terpinene, whereas O. pinnata emitted isoprene (ISO). After prolonged exposure, ISO became the dominant in both species. Short-term MD and NSI conditions stimulated ISO emissions in O. pinnata, with N80 addition further amplifying this effect. In contrast, long-term treatments tended to suppress ISO emissions in O. pinnata, particularly under N80. Short-term water treatments had no significant effect on monoterpene (MT) emissions in P. massoniana. Under long-term water treatments, N80 suppressed ISO emissions; nevertheless, ISO emission rates (ISOrate) progressively increased with increasing soil water availability. Although leaf intercellular CO2 concentration (Ci), stomatal conductance (gs), and photosynthesis-related enzymes exhibited partial correlations with BVOC emissions, an overall decoupling between leaf traits and emission patterns was evident. Our findings demonstrate the significant changes in both BVOC composition and emission magnitudes under the joint effects of water availability and nitrogen deposition, providing important implications for improving regional air quality modeling and BVOC emission predictions.
Full article
(This article belongs to the Special Issue Impacts of Climate Change and Forest Management on Forest Carbon and Nitrogen Budgets)
►▼
Show Figures

Figure 1
Open AccessArticle
Identification of the 2AP Regulatory Gene CnProDH in Aromatic Coconut and Screening of Its Regulatory Factors
by
Xiwei Sun, Lixia Zhou, Jing Li, Jinyao Yin, Hao Ding, Xiaomei Liu and Yaodong Yang
Forests 2025, 16(11), 1707; https://doi.org/10.3390/f16111707 - 9 Nov 2025
Abstract
Aromatic coconut is a special variety of coconut. Its unique “pandan-like” aroma has won it great popularity among consumers, endowing it with considerable market potential. In our previous study, 2-acetyl-1-pyrroline (2AP), which serves as the main source of the “pandan-like” aroma in aromatic
[...] Read more.
Aromatic coconut is a special variety of coconut. Its unique “pandan-like” aroma has won it great popularity among consumers, endowing it with considerable market potential. In our previous study, 2-acetyl-1-pyrroline (2AP), which serves as the main source of the “pandan-like” aroma in aromatic coconut, was found to exhibit significant variation among distinct aromatic coconut individuals. Now, the regulatory mechanism of 2AP has been clarified in fragrant rice, and the ProDH gene is the key gene for 2AP regulation. To further understand the regulation mechanism of 2AP content in aromatic coconut, we cloned and identified the CnProDH gene, the key gene of 2AP regulation in aromatic coconut. The results showed that the CnProDH gene had the typical ProDH structural domain, and its full-length sequence is 23,667 bp, containing 5 exons and a coding sequence (CDS) of 1599 bp. The CnProDH gene encodes a protein that possesses a β8α8 barrel structure, consisting of 532 amino acids (aa), with a molecular mass of 58,076.63 kDa and an isoelectric point of 7.11. To further understand the regulatory mechanism of CnProDH in aromatic coconut, we also constructed a yeast one-hybrid (Y1H) library for aromatic coconut. Through the Y1H experiment, combined with the prediction and analysis of cis-acting elements in the promoter of the CnProDH gene, three possible regulatory factors, including CnYABBY2, CnSAP8, and CnBRD3, were identified. These findings provide a molecular basis for clarifying and solving the problem of variations in 2AP content across different aromatic coconuts.
Full article
(This article belongs to the Section Genetics and Molecular Biology)
►▼
Show Figures

Figure 1
Open AccessArticle
Interactive Visualizations of Integrated Long-Term Monitoring Data for Forest and Fuels Management on Public Lands
by
Kate Jones and Jelena Vukomanovic
Forests 2025, 16(11), 1706; https://doi.org/10.3390/f16111706 - 9 Nov 2025
Abstract
Adaptive forest and fire management in parks and protected areas is becoming increasingly complex as climate change alters the frequency and intensity of disturbances (wildfires, pest and disease outbreaks, etc.), while park visitation and the number of people living adjacent to publicly managed
[...] Read more.
Adaptive forest and fire management in parks and protected areas is becoming increasingly complex as climate change alters the frequency and intensity of disturbances (wildfires, pest and disease outbreaks, etc.), while park visitation and the number of people living adjacent to publicly managed lands continues to increase. Evidence-based, climate-adaptive forest and fire management practices are critical for the responsible stewardship of public resources and require the continued availability of long-term ecological monitoring data. The US National Park Service has been collecting long-term fire monitoring plot data since 1998, and has continued to add monitoring plots, but these data are housed in databases with limited access and minimal analytic capabilities. To improve the availability and decision support capabilities of this monitoring dataset, we created the Trends in Forest Fuels Dashboard (TFFD), which provides an implementation framework from data collection to web visualization. This easy-to-use and updatable tool incorporates data from multiple years, plot types, and locations. We demonstrate our approach at Rocky Mountain National Park using the ArcGIS Online (AGOL) software platform, which hosts TFFD and allows for efficient data visualizations and analyses customized for the end user. Adopting interactive, web-hosted tools such as TFFD allows the National Park Service to more readily leverage insights from long-term forest monitoring data to support decision making and resource allocation in the context of environmental change. Our approach translates to other data-to-decision workflows where customized visualizations are often the final steps in a pipeline designed to increase the utility and value of collected data and allow easier integration into reporting and decision making. This work provides a template for similar efforts by offering a roadmap for addressing data availability, cleaning, storage, and interactivity that may be adapted or scaled to meet a variety of organizational and management use cases.
Full article
(This article belongs to the Special Issue Long-Term Monitoring and Driving Forces of Forest Cover)
►▼
Show Figures

Figure 1
Open AccessArticle
First Characterization of Megafire Refugia in a South American Subtropical Mountain Forest
by
Daihana Soledad Argibay, Ana María Cingolani, Javier Sparacino, Ricardo Suárez, Isabell Hensen and Daniel Renison
Forests 2025, 16(11), 1705; https://doi.org/10.3390/f16111705 - 8 Nov 2025
Abstract
Fire refugia play an important role in post-fire ecosystem recovery because they preserve areas that represent a persistent legacy in the landscape and serve as propagule sources for forest regeneration. Our objective was to identify the pre-fire topographic and land cover conditions that
[...] Read more.
Fire refugia play an important role in post-fire ecosystem recovery because they preserve areas that represent a persistent legacy in the landscape and serve as propagule sources for forest regeneration. Our objective was to identify the pre-fire topographic and land cover conditions that determine the presence and quality of megafire refugia in the mountains of central Argentina. In 208 1-ha field-based plots, we assessed pre-fire topographic and land cover variables along with post-fire vegetation responses two years after the megafires. Based on these assessments, we developed a fire refugia quality index ranging from 0 (no refugia) to 5 (high-quality refugia). Using ordinal logistic regression and a model selection approach, we found that high-quality fire refugia were associated with the more humid east mountain flank and east- and north-facing slopes, as well as with smooth terrain, high topographic positions, greater rock cover, steep slopes, and higher tree-to-grass cover proportions. Our findings highlight the importance of topographic and land cover variables in shaping fire refugia and provide insights into post-fire management and the conservation of biodiversity in mountain ecosystems.
Full article
(This article belongs to the Special Issue Forest Fire Detection, Prevention and Management)
►▼
Show Figures

Figure 1
Open AccessArticle
In Vitro and Greenhouse Evaluation of Fungicides and Bacillus Antagonists Against Diplodia corticola (Botryosphaeriaceae, Botryosphaeriales) on Quercus suber
by
Hanna Rathod Uppara, Dalmau Albó, Carlos Colinas and Emigdio Jordán Muñoz-Adalia
Forests 2025, 16(11), 1704; https://doi.org/10.3390/f16111704 - 8 Nov 2025
Abstract
Cork oak (Quercus suber) forests are threatened by emergent fungal pathogen Diplodia corticola, which causes significant economic and ecological losses. This study evaluates the efficacy of synthetic and natural fungicides, as well as Bacillus antagonistic agents, against this phytopathogen in
[...] Read more.
Cork oak (Quercus suber) forests are threatened by emergent fungal pathogen Diplodia corticola, which causes significant economic and ecological losses. This study evaluates the efficacy of synthetic and natural fungicides, as well as Bacillus antagonistic agents, against this phytopathogen in vitro and in vivo. Eighteen fungicidal agents were tested across three concentrations, whereas the bacterial antagonistic agents Bacillus amyloliquefaciens and a mixture of B. amyloliquefaciens + Bacillus mojavensis were tested at a fixed concentration. The assayed chemicals, including penconazole, clove oil, vanillin, and belthanol, showed 100 ± 0.0% radial growth inhibition (n = 24) and conidiation (n = 24), highlighting their potential as alternatives to benomyl and methyl thiophanate (Restricted in the European Union). In vivo assays further validated the efficacy of these agents in reducing symptom incidence and seedling mortality in cork oak seedlings. Similarly, the Bacillus-based treatments showed 47.6 ± 0.9% (n = 35) in vitro antagonistic effects and in vivo application on seedlings (n = 470) significantly reduced disease symptoms and supported physiological stability (GLMs with Tukey HSD post hoc). The study aimed to evaluate chemical, natural and biological control agents against this pathogen to identify effective management alternatives for forest nurseries and cork oak.
Full article
(This article belongs to the Special Issue Advances in Biological Control of Forest Diseases and Pests: 2nd Edition)
►▼
Show Figures

Figure 1
Open AccessArticle
Development and Performance Validation of a UWB–IMU Fusion Tree Positioning Device with Dynamic Weighting for Forest Resource Surveys
by
Zongxin Cui, Linhao Sun, Ao Xu, Hongwen Yao and Luming Fang
Forests 2025, 16(11), 1703; https://doi.org/10.3390/f16111703 - 7 Nov 2025
Abstract
In forest resource plot surveys, tree relative positioning is a crucial task with profound silvicultural and ecological significance. However, traditional methods such as compasses and total stations suffer from low efficiency, high costs, or poor environmental adaptability, while single-sensor technologies (e.g., UWB or
[...] Read more.
In forest resource plot surveys, tree relative positioning is a crucial task with profound silvicultural and ecological significance. However, traditional methods such as compasses and total stations suffer from low efficiency, high costs, or poor environmental adaptability, while single-sensor technologies (e.g., UWB or IMU) struggle to balance accuracy and stability in complex forest environments. To address these challenges, this study designed a multi-sensor fusion-based tree positioning device. By integrating the high-precision ranging capability of Ultra-Wideband (UWB) with the dynamic motion perception advantages of an Inertial Measurement Unit (IMU), a dynamic weight fusion algorithm was proposed, effectively mitigating UWB static errors and IMU cumulative errors. Experimental results demonstrate that the device achieves system biases of −1.54 cm (X-axis) and 1.27 cm (Y-axis), with root mean square errors (RMSE) of 21.34 cm and 23.93 cm, respectively, across eight test plots. The average linear distance error was 26.23 cm. Furthermore, in single-operator mode, the average measurement time per tree was only 20.89 s, approximately three times faster than traditional tape measurements. This study confirms that the proposed device offers high positioning accuracy and practical utility in complex forest environments, providing efficient and reliable technical support for forest resource surveys.
Full article
(This article belongs to the Special Issue Smart Forest Inventory, Management and Planning: Intelligent Technologies and Their Applications)
►▼
Show Figures

Figure 1
Open AccessArticle
Bending Properties of Pleated Wood Thermally Treated at 160 °C and 200 °C Temperatures
by
Mátyás Báder, Bíbor Júlia Horváth and Miklós Bak
Forests 2025, 16(11), 1702; https://doi.org/10.3390/f16111702 - 7 Nov 2025
Abstract
This study investigates the combined effects of compression along the grain by 20% after steaming (pleating), and thermal treatment on the mechanical and physical properties of beech (Fagus sylvatica L.) and sessile oak (Quercus petraea (Matt.) Liebl.). Pleating significantly increased plasticity
[...] Read more.
This study investigates the combined effects of compression along the grain by 20% after steaming (pleating), and thermal treatment on the mechanical and physical properties of beech (Fagus sylvatica L.) and sessile oak (Quercus petraea (Matt.) Liebl.). Pleating significantly increased plasticity and maximum deflection, reaching 339% of untreated values in beech and 337% in oak. However, it reduced bending strength and modulus of elasticity to about 50%. Keeping the specimen compressed for 5 h (fixation) during the thermo-hydro-mechanical modification process of pleating further decreased the modulus of elasticity to 26%–29% of untreated levels. Thermal treatment at 160 °C increased bending strength of fixated specimens to 120.5% in beech and 125.3% in oak, partially restoring strength, while at 200 °C, it decreased drastically to 26.7% and 21.5%, respectively. Density was reduced by thermal treatment, with oven-dry values decreasing by 6.2% (beech) and 12.7% (oak) at 160 °C, and by 18.2% and 25.1% at 200 °C. The results indicate that high-temperature treatment (200 °C) leads to wood with brittle properties.
Full article
(This article belongs to the Special Issue Recent Advances in Wood Modification and Wood Functionalization Research)
►▼
Show Figures

Figure 1
Open AccessArticle
Severe Dieback of European Ash Shelterbelts in Northeastern Bulgaria Associated with Diplodia fraxini
by
Aneta Lyubenova and Petya Dimitrova-Mateva
Forests 2025, 16(11), 1701; https://doi.org/10.3390/f16111701 - 7 Nov 2025
Abstract
The Common European ash (Fraxinus excelsior L.) is one of the main species constituting the field protection forest belts in Northeastern Bulgaria. Studies conducted in shelterbelts in Dobrich and Balchik in July 2020 and in Tutrakan and Dulovo in June–July 2022 revealed
[...] Read more.
The Common European ash (Fraxinus excelsior L.) is one of the main species constituting the field protection forest belts in Northeastern Bulgaria. Studies conducted in shelterbelts in Dobrich and Balchik in July 2020 and in Tutrakan and Dulovo in June–July 2022 revealed severe dieback of ash. The observed symptoms included density thinning of the crowns, dieback of branches, presence of sunken necrotic cankers, and light green to yellow foliage and premature defoliation. Parts of the shelterbelts were completely destroyed with 100% tree mortality. To determine whether the invasive Hymenoscyphus fraxineus or other pathogens are present in the ash field protective forest belts in Northeastern Bulgaria, fungal isolation was undertaken. Samples were collected from four locations: Dobrich and Balchik in June 2020, and Tutrakan and Dulovo in June–July 2022. The morphology, temperature–growth rate relationships, and pathogenicity of the two pathogenic fungal species isolated in this study—Diplodia fraxini and Diplodia seriata—were examined. Morphological and physiological studies confirm the molecular identification of the obtained plant pathogens. The Diplodia fraxini isolates (Dobrich 3, Tutrakan 2, and Dulovo 4) showed mycelial growth between 5 °C and 35 °C, with minimal growth at 5 °C (0.20–0.27 mm/day) and an optimum growth rate of 3.9–4.5 mm/day at 20–25 °C. Growth declined sharply above 30 °C, ceasing entirely at 35 °C. In contrast, D. seriata (Dulovo 5) exhibited higher growth rates, showing limited growth above 5 °C (~1 mm/day), and maximum growth of approximately 8 mm/day at 25 °C. Growth in D. seriata remained moderate up to 35 °C and ceased near 40 °C, indicating a broader temperature tolerance and higher upper thermal limit than D. fraxini. The results from the pathogenicity tests show that D. fraxini can cause necrosis on ash—both on leaves and twigs—and is likely involved in the investigated ash decline cases. Further studies of the spread and epidemiology of D. fraxini are needed in order to establish its occurrence on the territory of Bulgaria.
Full article
(This article belongs to the Special Issue Advances in Fungal Diseases in Forests)
►▼
Show Figures

Figure 1
Open AccessArticle
Comparison of the Stem Basal Area Increment of Five Coexisting Tree Species with Different Light Demands Growing in Central European Deciduous Forests with Complex Vertical Structures
by
Leszek Bartkowicz, Jarosław Paluch and Bogdan Wertz
Forests 2025, 16(11), 1700; https://doi.org/10.3390/f16111700 - 7 Nov 2025
Abstract
The diversity of forest tree life strategies is fundamental to species coexistence in mixed stands. Growth rate is one of the most important elements of a species’ life strategy. This aspect has been relatively well recognised in even-aged stands. However, the situation is
[...] Read more.
The diversity of forest tree life strategies is fundamental to species coexistence in mixed stands. Growth rate is one of the most important elements of a species’ life strategy. This aspect has been relatively well recognised in even-aged stands. However, the situation is different in uneven-aged stands, particularly in multi-species stands comprising species with different light demands. In this study, we aimed to compare stem basal area increment (BAI) in regard to five species forming multi-species, uneven-aged deciduous forests in Central Europe as an important element of their growth strategy. Particular attention was paid to the relationship between this feature and tree height and competitive status. These relationships were analysed using a linear mixed model. The BAI was positively correlated with tree height, while a negative correlation was observed between BAI and increasing competitive level. However, the observed variations in the trends of these relationships were not associated with the light demands of the compared species. In general, the majority of the studied species demonstrated similar growth dynamics. This may suggest that the role of this trait in shaping species coexistence is modulated by other life-history strategy components and by specific growth conditions. An exception to this is the most light-demanding species, black alder (Alnus glutinosa (L.) Gaertner), which, contrary to expectations, exhibits a lower basal area increment under uneven-aged conditions.
Full article
(This article belongs to the Special Issue Forest Growth and Regeneration Dynamics)
►▼
Show Figures

Figure 1
Open AccessArticle
Manufacturing Process and Performance Experiment of Natural Arc-Shaped Bamboo Laminated Lumber
by
Guofu Wang, Rui Gao, Hu Miao, Yong Wang, Changhua Fang and Huanrong Liu
Forests 2025, 16(11), 1699; https://doi.org/10.3390/f16111699 - 7 Nov 2025
Abstract
Natural arc-shaped bamboo laminated lumber (ABLL) represents an eco-friendly advanced material. This study introduces an innovative preparation method and manufacturing process to enhance production efficiency and reduce costs. Full-scale processing experiments were conducted to evaluate the feasibility and performance of the innovative integrated
[...] Read more.
Natural arc-shaped bamboo laminated lumber (ABLL) represents an eco-friendly advanced material. This study introduces an innovative preparation method and manufacturing process to enhance production efficiency and reduce costs. Full-scale processing experiments were conducted to evaluate the feasibility and performance of the innovative integrated fixed-arc and drying process. Bonding integrity was assessed through glue-line shear strength and soak-delamination resistance. The maximum dry glue-line shear strength and delamination length achieved were 8.19 MPa (>traditional value of 3.5 MPa) and 21.8 mm (<traditional value of 25 mm), respectively. Comparative analysis of material utilization of eight-layer natural arc-shaped bamboo laminated lumber demonstrated a rate of 77.9% (<traditional value of 60%). This optimized process significantly contributes to elevated production efficiency and material yield in natural arc-shaped laminated lumber manufacturing.
Full article
(This article belongs to the Special Issue Physical and Mechanical Properties of Wood- and Bamboo-Based Materials: 2nd Edition)
►▼
Show Figures

Figure 1
Open AccessArticle
Investigating the Wind Flow Modulation of Tree Crown Morphology and Layout at Different Heights
by
Heyang Qin, Liyu Pan, Xueying Wu, Chun-Ming Hsieh and Shuyi Guo
Forests 2025, 16(11), 1698; https://doi.org/10.3390/f16111698 - 7 Nov 2025
Abstract
Tree planting strategies play a critical role in improving local wind environments. This study investigates the effects of tree crown morphology and planting layout on wind regulation at two vertical levels, pedestrian height (1.5 m) and low-altitude canopy level (5 m), in Macau,
[...] Read more.
Tree planting strategies play a critical role in improving local wind environments. This study investigates the effects of tree crown morphology and planting layout on wind regulation at two vertical levels, pedestrian height (1.5 m) and low-altitude canopy level (5 m), in Macau, a high-density subtropical city. Field microclimate measurements were combined with computational fluid dynamics (CFD) simulations to quantify the performance of three typical crown morphologies (ellipsoidal, cylindrical, and conical) under six planting configurations. Results reveal differentiated impacts across heights; under single trees and opposite tree plantings, ellipsoidal crowns produced the least wind reduction at 1.5 m but the strongest blockage at 5 m, while conical crowns caused substantial attenuation at 1.5 m yet allowed faster wind recovery at 5 m. Planting layouts further modulated these effects; a single-row of ellipsoidal crowns balanced pedestrian ventilation with upper-level wind protection, whereas opposite tree pair planting, enclosure planting and curved planting displayed contrasting performances depending on species morphology. The findings demonstrate that optimizing tree morphology and layout can precisely regulate ventilation and sheltering across height layers. This study provides scientific evidence for vegetation configuration in hot–humid high-density cities, supporting climate-responsive urban planning and design.
Full article
(This article belongs to the Special Issue Microclimate Development in Urban Spaces)
►▼
Show Figures

Figure 1
Open AccessArticle
Integrating Ecological Semantic Encoding and Distribution-Aligned Loss for Multimodal Forest Ecosystem
by
Jing Peng, Zhengjie Fu, Huachen Zhou, Yibin Liu, Yang Zhang, Rui Shi, Jiangfeng Li and Min Dong
Forests 2025, 16(11), 1697; https://doi.org/10.3390/f16111697 - 7 Nov 2025
Abstract
In this study, a cross-hierarchical intelligent modeling framework integrating an ecological semantic encoder, a distribution-aligned contrastive loss, and a disturbance-aware attention mechanism was developed to address the semantic alignment challenge between aboveground vegetation and belowground seed banks within forest ecosystems. The proposed framework
[...] Read more.
In this study, a cross-hierarchical intelligent modeling framework integrating an ecological semantic encoder, a distribution-aligned contrastive loss, and a disturbance-aware attention mechanism was developed to address the semantic alignment challenge between aboveground vegetation and belowground seed banks within forest ecosystems. The proposed framework leverages artificial intelligence and deep learning to characterize the structural and functional coupling between vegetation and soil communities, thereby elucidating the ecological mechanisms that underlie forest regeneration and stability. Experiments using representative forest ecological plot datasets demonstrated that the model achieved a top-1 accuracy of 78.6%, a top-5 accuracy of 89.3%, a mean cosine similarity of 0.784, and a reduced Kullback–Leibler divergence of 0.128, while the Jaccard index increased to 0.512—surpassing traditional statistical and machine-learning baselines such as RDA, CCA, Procrustes, Siamese, and SimCLR. The model also reduced NMDS stress to 0.094 and improved the Sørensen coefficient to 0.713, reflecting high robustness and precision in reconstructing community structure and ecological distributions. Additionally, the integration of distribution alignment and disturbance-aware mechanisms allows the model to capture dynamic vegetation–soil feedbacks across environmental gradients and disturbance regimes. This enables more accurate identification of regeneration potential, resilience thresholds, and restoration trajectories in degraded forests. Overall, the framework provides a novel theoretical foundation and a data-driven pathway for applying artificial intelligence to forest ecosystem monitoring, degradation diagnosis, and adaptive management for sustainable recovery.
Full article
(This article belongs to the Special Issue Artificial Intelligence and Machine Learning Applications in Forestry—Second Edition)
►▼
Show Figures

Figure 1
Open AccessArticle
Trade-Offs in Aboveground and Soil Mangrove Carbon Stocks Under Species Introduction: Remote Sensing Reveals Temporal Divergence in Restoration Trajectories
by
Zongyang Wang, Fen Guo, Xuelan Zeng, Zixun Huang, Honghao Xie, Xiaoguang Ouyang and Yuan Zhang
Forests 2025, 16(11), 1696; https://doi.org/10.3390/f16111696 - 7 Nov 2025
Abstract
Mangrove ecosystems play a critical role in global carbon cycling, serving as significant carbon sinks by storing carbon in both aboveground biomass (ACG) and soil carbon stock (SOC). However, the temporal dynamics of ACG and SOC, as well as their spatial variations across
[...] Read more.
Mangrove ecosystems play a critical role in global carbon cycling, serving as significant carbon sinks by storing carbon in both aboveground biomass (ACG) and soil carbon stock (SOC). However, the temporal dynamics of ACG and SOC, as well as their spatial variations across different mangrove age stages, remain poorly understood, particularly under the influence of introduced species such as Sonneratia apetala Buch.-Ham. To address these gaps, our study used a long-term series of NDVI from Landsat (from 1990 to 2024) and the mangrove product of China (1990, 2000, 2010, and 2018) to estimate the mangrove age stage ( 10–24 years, 24–34 years, and > 34 years). UAV-LiDAR and in-situ surveys were applied to measure mangrove canopy height to calculate ACG and measure the belowground soil carbon stock, respectively. Combined with the mangrove age stage, ACG, and SOC, our results reveal that ACG accumulates rapidly in younger mangroves dominated by Sonneratia apetala, peaking early (<20 years) and then stabilizing as mangroves, indicating that the introduction of Sonneratia apetala changed the increase in ACG with age. In contrast, SOC increases more gradually over time, with only older mangroves (over 30 years) storing significantly higher SOC. Root structure, TN, and TP were sensitive to the SOC. The different root structures (pneumatophore, plank, pop, and knee root) had different SOC results, and the pneumatophore had the lowest SOC. Remote sensing data revealed that the introduction of Sonneratia apetala altered the species composition of younger mangroves, leading to its predominance within these ecosystems. This shift in species composition not only altered the temporal dynamics of aboveground carbon (ACG) but also favored pneumatophore-dominated root structures, which were associated with the lowest soil organic carbon (SOC). Consequently, younger stands may require more time to accumulate SOC to levels comparable to older mangrove forests. These results suggest that restoration targets for vegetation carbon and soil carbon should be set on different timelines, explicitly accounting for stand age, species composition, and root functional types.
Full article
(This article belongs to the Special Issue Mangrove Wetland Restoration and Rehabilitation Under Climate Change and Human Cumulative Impacts in the 21st Century)
►▼
Show Figures

Figure 1
Journal Menu
► ▼ Journal Menu-
- Forests Home
- Aims & Scope
- Editorial Board
- Reviewer Board
- Topical Advisory Panel
- Instructions for Authors
- Special Issues
- Topics
- Sections & Collections
- Article Processing Charge
- Indexing & Archiving
- Editor’s Choice Articles
- Most Cited & Viewed
- Journal Statistics
- Journal History
- Journal Awards
- Conferences
- Editorial Office
Journal Browser
► ▼ Journal BrowserHighly Accessed Articles
Latest Books
E-Mail Alert
News
6 November 2025
MDPI Launches the Michele Parrinello Award for Pioneering Contributions in Computational Physical Science
MDPI Launches the Michele Parrinello Award for Pioneering Contributions in Computational Physical Science
Topics
Topic in
Drones, Forests, Geomatics, IJGI, Land, Remote Sensing, Sensors, Water
Advances in Earth Observation Technologies to Support Water-Related Sustainable Development Goals (SDGs)
Topic Editors: Wei Jiang, Elhadi Adam, Qingke Wen, Teodosio Lacava, Yizhu LuDeadline: 30 November 2025
Topic in
Ecologies, Forests, Water, Conservation, Land, Sustainability
Integrating Approaches Based on Flora and Fauna for Successful Ecological Restoration
Topic Editors: Shengbin Chen, Jing Liu, Changliang Shao, Yi DingDeadline: 25 December 2025
Topic in
Agronomy, Crops, Forests, Horticulturae, Plants
Plants Nutrients, 2nd Volume
Topic Editors: Georgia Ntatsi, Maurizio BadianiDeadline: 31 January 2026
Topic in
Applied Microbiology, Forests, Insects, JoF, Microorganisms
Diversity of Insect-Associated Microorganisms
Topic Editors: Dilnora E. Gouliamova, Teun BoekhoutDeadline: 28 February 2026
Conferences
19–21 October 2026
The 6th International Electronic Conference on Remote Sensing—Global Perspectives for the Next Generation in Earth Observation

Special Issues
Special Issue in
Forests
Unraveling Complex Traits and Developmental Pathways of Forest Trees
Guest Editors: Zhong Chen, Guochun Zhao, Shupei RaoDeadline: 15 November 2025
Special Issue in
Forests
The Relationship Between Forest Biodiversity and Ecosystem Function—2nd Edition
Guest Editors: Shuai Ouyang, Pifeng LeiDeadline: 15 November 2025
Special Issue in
Forests
Sustainable Management of Forests: Ecological Modeling and Growth Dynamics of Trees
Guest Editor: Raptis DimitriosDeadline: 15 November 2025
Special Issue in
Forests
Forest Ecosystem Services and Sustainable Management
Guest Editors: Jang-Hwan Jo, Bixia Chen, Yongwon Mo, Seunguk Shin, Yohan Lee, Chang-Bae LeeDeadline: 20 November 2025
Topical Collections
Topical Collection in
Forests
Forests Carbon Fluxes and Sequestration
Collection Editor: Mark Harmon
Topical Collection in
Forests
Forest Sustainable Management in Europe
Collection Editor: Ignacio Diaz-Maroto
Topical Collection in
Forests
Historical Wood: Structure, Properties and Conservation
Collection Editor: Magdalena Broda
Topical Collection in
Forests
Reviews and Meta-Analyses in Forest Meteorology and Climate Change
Collection Editors: Giacomo Alessandro Gerosa, Riccardo Marzuoli



