cancers-logo

Journal Browser

Journal Browser

Advances in Brachytherapy in the Treatment of Tumors

A special issue of Cancers (ISSN 2072-6694). This special issue belongs to the section "Cancer Therapy".

Deadline for manuscript submissions: closed (30 November 2025) | Viewed by 45950

Special Issue Editor


E-Mail Website
Guest Editor
Department of Radiology, Graduate School of Medical Science, Kyoto Prefectural University of Medicine, Kyoto Kawaramachi Hirokoji, Kamigyo-ku, Kyoto 602-8566, Japan
Interests: radiation oncology
Special Issues, Collections and Topics in MDPI journals

Special Issue Information

Dear Colleagues,

Brachytherapy is the oldest and first successful radiotherapeutic procedure which continues to have the best dose distribution among all radiotherapy techniques even today if adequately used. Brachytherapy enables us to deliver a higher dose of radiation to a tumor than might be possible with conventional external radiation therapy while minimizing damage to the surrounding normal tissue. Therefore, brachytherapy is a fascinating procedure to destroy cancer cells in a broad type of cancers—prostate cancer, breast cancer, head and neck cancer, brain tumor, liver cancer, gynecological tumors such as cervical cancer, etc. With the advent of advanced imaging modality, brachytherapy has attracted increased attention in the 21st century. For instance, the EMBRACE project improved outcomes of cervical cancer using MRI images with the MRI-enabled applicator and interstitial implantation technique. In prostate cancer treatment, in addition to the LDR technique using ultrasound and CT images, the HDR technique widened its applicability using MRI imaging. Recent exploration of dominant intraprostatic lesion (DIL) boost has the potential to improve outcomes without elevating toxicity. Here, we welcome papers enhancing the role of brachytherapy in medicine.  

Prof. Dr. Hideya Yamazaki
Guest Editor

Manuscript Submission Information

Manuscripts should be submitted online at www.mdpi.com by registering and logging in to this website. Once you are registered, click here to go to the submission form. Manuscripts can be submitted until the deadline. All submissions that pass pre-check are peer-reviewed. Accepted papers will be published continuously in the journal (as soon as accepted) and will be listed together on the special issue website. Research articles, review articles as well as communications are invited. For planned papers, a title and short abstract (about 250 words) can be sent to the Editorial Office for assessment.

Submitted manuscripts should not have been published previously, nor be under consideration for publication elsewhere (except conference proceedings papers). All manuscripts are thoroughly refereed through a single-blind peer-review process. A guide for authors and other relevant information for submission of manuscripts is available on the Instructions for Authors page. Cancers is an international peer-reviewed open access semimonthly journal published by MDPI.

Please visit the Instructions for Authors page before submitting a manuscript. The Article Processing Charge (APC) for publication in this open access journal is 2900 CHF (Swiss Francs). Submitted papers should be well formatted and use good English. Authors may use MDPI's English editing service prior to publication or during author revisions.

Keywords

  • brachytherapy
  • LDR
  • HDR
  • PDR
  • cervical cancer
  • prostate cancer
  • breast cancer

Benefits of Publishing in a Special Issue

  • Ease of navigation: Grouping papers by topic helps scholars navigate broad scope journals more efficiently.
  • Greater discoverability: Special Issues support the reach and impact of scientific research. Articles in Special Issues are more discoverable and cited more frequently.
  • Expansion of research network: Special Issues facilitate connections among authors, fostering scientific collaborations.
  • External promotion: Articles in Special Issues are often promoted through the journal's social media, increasing their visibility.
  • Reprint: MDPI Books provides the opportunity to republish successful Special Issues in book format, both online and in print.

Further information on MDPI's Special Issue policies can be found here.

Related Special Issue

Published Papers (13 papers)

Order results
Result details
Select all
Export citation of selected articles as:

Research

Jump to: Review

16 pages, 1487 KB  
Article
Salvage Interstitial Brachytherapy for Isolated Local Recurrence of Cervical and Endometrial Cancer: A Retrospective Analysis Stratified by Type of Pelvic Irradiation History
by Den Fujioka, Takashi Saito, Taisuke Sumiya, Keiichiro Baba, Motohiro Murakami, Haruko Numajiri, Hiroya Itagaki, Ayumi Shikama, Yuri Tenjimbayashi, Azusa Akiyama, Sari Nakao, Masashi Mizumoto, Kei Nakai, Toyomi Satoh and Hideyuki Sakurai
Cancers 2026, 18(2), 252; https://doi.org/10.3390/cancers18020252 - 14 Jan 2026
Viewed by 490
Abstract
Background/Objectives: This study evaluated the efficacy and safety of salvage interstitial brachytherapy (S-ISBT) for isolated local recurrence (ILR) of cervical and endometrial carcinoma, stratifying patients by pelvic irradiation history (PIH). Methods: Patients with ILR treated with S-ISBT were retrospectively reviewed and [...] Read more.
Background/Objectives: This study evaluated the efficacy and safety of salvage interstitial brachytherapy (S-ISBT) for isolated local recurrence (ILR) of cervical and endometrial carcinoma, stratifying patients by pelvic irradiation history (PIH). Methods: Patients with ILR treated with S-ISBT were retrospectively reviewed and categorized by initial treatment: Group A (surgery alone); Group B (surgery + postoperative radiotherapy (RT)); and Group C (definitive RT). Overall survival (OS), progression-free survival (PFS), local control (LC) rates, and the cumulative incidence functions (CIFs) for Grade ≥ 3 late adverse events (AEs) were estimated. Multivariate analysis identified prognostic factors. Results: The study included 70 patients (A: 28, B: 17, C: 25) with a median follow-up of 33.4 months. The 3-year OS, PFS, LC, and CIFs for Grade ≥ 3 late AEs for Groups A, B, and C were 80.8%, 66.7%, and 30.4% (p < 0.001); 56.4%, 41.5%, and 11.6% (p < 0.001); 89.1%, 61.4%, and 43.0% (p = 0.002); and 26.4%, 13.3%, and 32.0% (p = 0.40), respectively. Multivariate analysis suggested the type of PIH, disease-free interval, and tumor volume as independent prognostic factors. While no significant differences were observed between Groups A and B (OS: HR = 0.47, p = 0.19; PFS: HR = 0.60, p = 0.28), Group C exhibited a significantly higher risk than Group B (OS: HR = 3.08, p = 0.018; PFS: HR = 3.41, p = 0.004). Conclusions: S-ISBT could be considered for patients with prior postoperative RT, whose outcomes are significantly better than those with prior definitive RT. Full article
(This article belongs to the Special Issue Advances in Brachytherapy in the Treatment of Tumors)
Show Figures

Figure 1

20 pages, 3509 KB  
Article
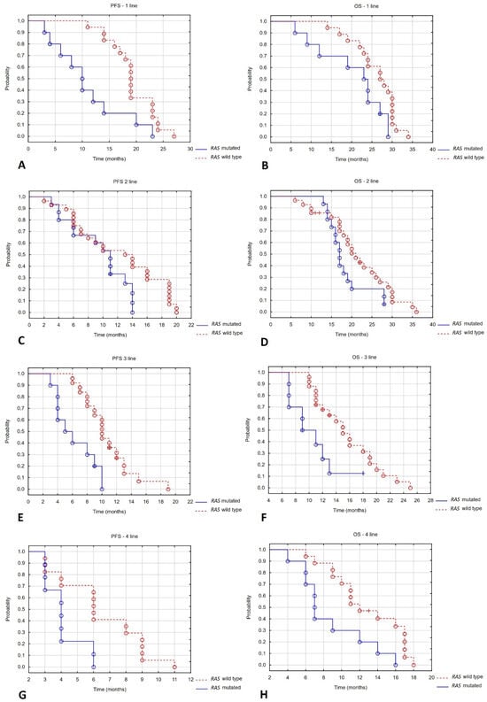
Interventional Radiotherapy (Brachytherapy) Combined with Systemic Treatment—The Influence of RAS Gene Mutations and Combined Therapy on the Results and Toxicity of Colorectal Cancer Liver Metastases
by Paweł Cisek, Aleksandra Kozłowska and Ludmiła Grzybowska-Szatkowska
Cancers 2025, 17(21), 3530; https://doi.org/10.3390/cancers17213530 - 31 Oct 2025
Cited by 1 | Viewed by 742
Abstract
Introduction: The aim of the study was to analyse the results and potential complications of local treatment with HDR (high dose-rate) brachytherapy of liver metastases from colorectal cancer, depending on the targeted therapy used and considering RAS gene mutation and chemotherapy in individual [...] Read more.
Introduction: The aim of the study was to analyse the results and potential complications of local treatment with HDR (high dose-rate) brachytherapy of liver metastases from colorectal cancer, depending on the targeted therapy used and considering RAS gene mutation and chemotherapy in individual treatment lines. Material and methods: The study included 142 patients with oligoprogressive liver metastases who underwent HDR brachytherapy without changing the line of treatment, based on a retrospective analysis of 270 patients treated between 2015 and 2022. The impact of RAS gene mutations, lines of chemotherapy depending on the treatment regimens used, PFS (progression free survival), OS (overall survival), LC (local control) and the degree of radiological response were analysed. The impact of these drugs on hepatotoxicity and the risk of haemorrhagic complications was also analysed. Results: The presence of mutations in KRAS/NRAS genes (exons 2, 3, 4) had a statistically significant impact on PFS in the first, third and fourth lines of treatment, and on OS and LC in the third and fourth lines of treatment. In the third and fourth lines of treatment, patients with a mutation in the RAS gene had a poorer radiological response to treatment regardless of the chemotherapy used. PFS, OS and LC differed depending on the line of treatment and amounted to 17.5, 11, 8.5, 6 and 4 months, 27, 19, 13, 11 and 11 months, and 27, 19, 11, 6 and 6 months, respectively. The greatest benefit in terms of PFS was achieved by patients treated with first-line chemotherapy combined with epidermal growth factor receptor (EGFR) inhibitors, in the absence of RAS gene mutations. In the third line, the greatest benefit was achieved by patients treated with trifluridine/tipiracil in the absence of RAS gene mutations. The greatest percentage reduction in the volume of treated lesions and the highest percentage of control were observed in the first three lines of treatment. The toxicity of the treatment was low; only in the third and fourth lines of treatment were differences in the decrease in albumin levels found depending on the type of treatment used. Conclusions: A mutation in the RAS genes worsens the prognosis, regardless of the line of treatment and the systemic treatment used. The greatest benefit from brachytherapy is seen in patients in the first three lines of treatment without RAS mutations, treated with anti-EGFR chemotherapy in the first line and trifluridine/tipiracil in the third line. Combining brachytherapy of liver metastases with systemic treatment is safe, regardless of the systemic treatment used. Full article
(This article belongs to the Special Issue Advances in Brachytherapy in the Treatment of Tumors)
Show Figures

Figure 1

16 pages, 1673 KB  
Article
Workflow Efficiency in Vaginal Cuff High Dose Rate Brachytherapy Using Artificial Intelligence-Based Organ Segmentation and Multi-Channel Cylinder Modeling
by Yohan A. Walter, Lane Rosen, Olivia Moncrief, Bethany Broekhoven, Troy Jacobs, Joseph Syh, Joseph Dugas, Kelsi Hoffnung, Mitchell Wolden, Heidi Wimberly, Jessica Nash, Melissa Camden, Daniel Speir, Krystal Jeffery, Philip Finley Durham, Kaylee Kallam and Hsinshun Terry Wu
Cancers 2025, 17(17), 2751; https://doi.org/10.3390/cancers17172751 - 23 Aug 2025
Viewed by 2871
Abstract
Background/Objectives: High dose rate brachytherapy (HDR-BT) is resource-intensive. Workflow efficiency and inter-user variability remain prevalent issues in HDR-BT. To improve workflow efficiency and reduce inter-user variability, we introduced artificial intelligence (AI)-based organ contouring (AC) and applicator modeling (AM) into our clinical workflow. [...] Read more.
Background/Objectives: High dose rate brachytherapy (HDR-BT) is resource-intensive. Workflow efficiency and inter-user variability remain prevalent issues in HDR-BT. To improve workflow efficiency and reduce inter-user variability, we introduced artificial intelligence (AI)-based organ contouring (AC) and applicator modeling (AM) into our clinical workflow. Here, we present results on the impact of these tools on workflow efficiency, inter-user variability, and plan quality for vaginal cuff HDR-BT cases. Methods: 260 treated fractions were included in the analysis, half of which were treated before implementing AC and AM. Five different medical physicists performed the treatment planning. Using built-in timestamps, contouring, dose planning, and total treatment planning times were recorded for each fraction. Dosimetric data, including the dose to the highest 2cc (D2cc) of bladder and rectum, and percentage volumes of the target covered by 90–200% isodose lines (V90-200) were recorded. Analysis of variance with post-hoc Tukey tests were used to determine statistical differences between treatment planners before and after implementing AC and AM. Results: Implementing AC and AM resulted in an overall 13.7 ± 1.7-min reduction in planning time. Inter-user variability in organ and target dose metrics was reduced for most structures. Most notably, statistically significant differences in rectum D2cc and target V95 were observed between planners before, but not after, AC and AM implementation. Conclusions: AC and AM significantly improve workflow efficiency while maintaining plan quality. Reductions in inter-user variability and standardization of workflows may facilitate user training and robust outcome assessment. Full article
(This article belongs to the Special Issue Advances in Brachytherapy in the Treatment of Tumors)
Show Figures

Figure 1

13 pages, 2057 KB  
Article
Patient-Reported Functional Outcomes and Quality of Life After Contact X-Ray Brachytherapy (CXB) in Organ-Preserving Management of Rectal Cancer
by Ngu Wah Than, D. Mark Pritchard, David M. Hughes, Carrie A. Duckworth, Muneeb Ul Haq, Thomas Cummings, Charlotte Jardine, Sarah Stead, Rajaram Sripadam and Arthur Sun Myint
Cancers 2025, 17(9), 1560; https://doi.org/10.3390/cancers17091560 - 3 May 2025
Viewed by 1313
Abstract
Background/Objectives: With recent advancements in rectal cancer management leading to longer patient survival, the impact of various treatment approaches on patients’ quality of life (QOL) becomes an important focus of attention. While QOL studies exist for watch-and-wait after (chemo)radiation with/without local excision, data [...] Read more.
Background/Objectives: With recent advancements in rectal cancer management leading to longer patient survival, the impact of various treatment approaches on patients’ quality of life (QOL) becomes an important focus of attention. While QOL studies exist for watch-and-wait after (chemo)radiation with/without local excision, data on health-related QOL (HRQOL) outcomes after contact X-ray brachytherapy (CXB) remain limited. This study evaluated functional and HRQOL outcomes in rectal cancer patients undergoing CXB and (chemo)radiation over one year. Methods: This prospective observational study (enrolment January–October 2023) with one-year follow-up assessed functional and HRQOL outcomes after CXB and (chemo)radiation using EORTC-QLQ-CR29, HADS, and EQ-5D-3L questionnaires. Longitudinal analyses were conducted using linear mixed-effects models, incorporating both fixed and random effects, following data processing based on relevant scoring manuals. Results: QOL was assessed in 53 patients who attended our centre for CXB for various clinical indications, with 51, 47, and 42 remaining at the end of treatment, 6-month, and 12-month follow-ups, respectively. Overall, symptom and functional scores from EORTC-QLQ-CR29 remained stable throughout the follow-up period. Significant improvements were observed in abdominal pain, flatulence, urinary frequency, and body weight at 12 months. HADS and EQ-5D-3L scores remained stable, while EQ-VAS scores showed improvement, indicating a good overall quality of life following CXB treatment. Conclusions: CXB treatment combined with (chemo)radiation maintained stable HRQOL, with some improvements in symptoms and QOL noted during the subsequent year. These findings will help rectal cancer patients understand the benefits and limitations of CXB as a treatment option. Full article
(This article belongs to the Special Issue Advances in Brachytherapy in the Treatment of Tumors)
Show Figures

Figure 1

13 pages, 1706 KB  
Article
MRI-Guided Multi-Catheter High-Dose-Rate Interstitial Brachytherapy for Uterine Cervical Cancer
by Hideya Yamazaki, Koji Masui, Ken Yoshida, Gen Suzuki, Tadashi Takenaka, Kei Yamada, Tadayuki Kotsuma, Yuji Takaoka, Kei Fujiwara, Yutaka Tanaka and Eiichi Tanaka
Cancers 2025, 17(5), 770; https://doi.org/10.3390/cancers17050770 - 24 Feb 2025
Cited by 1 | Viewed by 2197
Abstract
Background/Objectives To evaluate the efficacy and safety of unique magnetic resonance imaging (MRI)-guided interstitial brachytherapy (ISBT) for locally advanced cervical cancer that is unsuitable for intracavitary brachytherapy (ICBT) or intracavitary/interstitial brachytherapy (ICISBT). Methods: We analyzed the clinical outcomes, including toxicity, of 68 [...] Read more.
Background/Objectives To evaluate the efficacy and safety of unique magnetic resonance imaging (MRI)-guided interstitial brachytherapy (ISBT) for locally advanced cervical cancer that is unsuitable for intracavitary brachytherapy (ICBT) or intracavitary/interstitial brachytherapy (ICISBT). Methods: We analyzed the clinical outcomes, including toxicity, of 68 previously untreated patients with cervical cancer treated between 2014 and 2024. Results: The median high-risk clinical target volume (HR-CTV) was 53.20 cc (range, 16.34–147.03 cc) with ISBT. With a median follow-up time of 37.5 months (7–115 months), the three-year local control, progression-free survival, and overall survival rates were 89.8%, 52.4%, and 70.9%, respectively. Multivariate analyses showed significant associations of histology with local control, overall treatment times, HR-CTV volume with overall survival rate, over all treatment times, and HR-CTV volume and M category with progression-free survival. Toxicity grade 3 occurred in 12 patients (17.6%) and consisted of four genitourinary (5.8%) and seven gastrointestinal (10.2%) toxicities. Conclusions: MRI-guided ISBT is an effective treatment strategy for obtaining a favorable local control rate for selected advanced diseases with an acceptable complication rate. Future research is warranted to elucidate who would be good candidates for MRI-guided ISBT. Full article
(This article belongs to the Special Issue Advances in Brachytherapy in the Treatment of Tumors)
Show Figures

Figure 1

10 pages, 1739 KB  
Article
Dose Contribution to the Regional Lymph-Node Metastases and Point B from Intracavity and Interstitial Hybrid Brachytherapy in Locally Advanced Cervical Cancer
by Yoichi Muramoto, Naoya Murakami, Noriyuki Okonogi, Jun Takatsu, Kotaro Iijima, Tatsuya Inoue, Kanade Kato, Tatsuki Karino, Kanako Kojima, Masaki Oshima, Yasuo Kosugi, Terufumi Kawamoto, Takashi Hirayama, Kazunari Fujino, Yasuhisa Terao and Naoto Shikama
Cancers 2024, 16(13), 2384; https://doi.org/10.3390/cancers16132384 - 28 Jun 2024
Cited by 1 | Viewed by 3054
Abstract
Purpose: Analyzing dose distributions to regional lymph-node metastases (RLNMs) in locally advanced cervical cancer (LACC) patients undergoing intracavitary and interstitial hybrid brachytherapy (IC/IS). Methods: Dose distributions of eleven LACC patients with 38 RLNMs, and who received 38 IC/IS sessions were analyzed in EQD [...] Read more.
Purpose: Analyzing dose distributions to regional lymph-node metastases (RLNMs) in locally advanced cervical cancer (LACC) patients undergoing intracavitary and interstitial hybrid brachytherapy (IC/IS). Methods: Dose distributions of eleven LACC patients with 38 RLNMs, and who received 38 IC/IS sessions were analyzed in EQD2, considering RLNM positions and ipsilateral interstitial needles; these RLNMs, excepting the para-aortic region, were classified into four groups. Results: RLNMs had a median of two ipsilateral interstitial needles per session. Significant differences were observed in total RLNM D90, depending on whether the position was cranial or caudal of the uterine base (85.5 vs. 378.9 cGy, p < 0.0001), and whether the RLNM D90 was associated with a number of ipsilateral interstitial needles between 0–1 or 2 or more (68.4 vs. 112.2 cGy, p = 0.006) per session. At each session, Group 1 RLNMs (cranial of the uterine base, 0–1 ipsilateral interstitial needle) had a mean D90 of 21.1 cGy; Group 2 (cranial, 2 or more), 73.8; Group 3 (caudal, 0–1), 94.7; and Group 4 (caudal, 2 or more), 136.1. Conclusion: RLNMs located caudal of the uterine base associated with two or more ipsilateral interstitial needles in IC/IS had a higher dose contribution, which should be considered when calculating the RLNMs’ dose of external beam boost irradiation. Full article
(This article belongs to the Special Issue Advances in Brachytherapy in the Treatment of Tumors)
Show Figures

Figure 1

13 pages, 2505 KB  
Article
Prognostic Factors Analysis of Metastatic Recurrence in Cervical Carcinoma Patients Treated with Definitive Radiotherapy: A Retrospective Study Using Mixture Cure Model
by Xiaxian Ou, Jing You, Baosheng Liang, Xiaofan Li, Jiangjie Zhou, Fengyu Wen, Jingyuan Wang, Zhengkun Dong and Yibao Zhang
Cancers 2023, 15(11), 2913; https://doi.org/10.3390/cancers15112913 - 25 May 2023
Cited by 1 | Viewed by 2814
Abstract
Objectives: This study aims to identify prognostic factors associated with metastatic recurrence-free survival of cervical carcinoma (CC) patients treated with radical radiotherapy and assess the cure probability of radical radiotherapy from metastatic recurrence. Methods: Data were from 446 cervical carcinoma patients with radical [...] Read more.
Objectives: This study aims to identify prognostic factors associated with metastatic recurrence-free survival of cervical carcinoma (CC) patients treated with radical radiotherapy and assess the cure probability of radical radiotherapy from metastatic recurrence. Methods: Data were from 446 cervical carcinoma patients with radical radiotherapy for an average follow up of 3.96 years. We applied a mixture cure model to investigate the association between metastatic recurrence and prognostic factors and the association between noncure probability and factors, respectively. A nonparametric test of cure probability under the framework of a mixture cure model was used to examine the significance of cure probability of the definitive radiotherapy treatment. Propensity-score-matched (PSM) pairs were generated to reduce bias in subgroup analysis. Results: Patients in advanced stages (p = 0.005) and those with worse treatment responses in the 3rd month (p = 0.004) had higher metastatic recurrence rates. Nonparametric tests of the cure probability showed that 3-year cure probability from metastatic recurrence was significantly larger than 0, and 5-year cure probability was significantly larger than 0.7 but no larger than 0.8. The empirical cure probability by mixture cure model was 79.2% (95% CI: 78.6–79.9%) for the entire study population, and the overall median metastatic recurrence time for uncured patients (patients susceptible to metastatic recurrence) was 1.60 (95% CI: 1.51–1.69) years. Locally advanced/advanced stage was a risk factor but non-significant against the cure probability (OR = 1.078, p = 0.088). The interaction of age and activity of radioactive source were statistically significant in the incidence model (OR = 0.839, p = 0.025). In subgroup analysis, compared with high activity of radioactive source (HARS), low activity of radioactive source (LARS) significantly contributed to a 16.1% higher cure probability for patients greater than 53 years old, while cure probability was 12.2% lower for the younger patients. Conclusions: There was statistically significant evidence in the data showing the existence of a large amount of patients cured by the definitive radiotherapy treatment. HARS is a protective factor against metastatic recurrence for uncured patients, and young patients tend to benefit more than the elderly from the HARS treatment. Full article
(This article belongs to the Special Issue Advances in Brachytherapy in the Treatment of Tumors)
Show Figures

Figure 1

14 pages, 2772 KB  
Article
A User-Friendly System for Mailed Dosimetric Audits of 192Ir or 60Co HDR Brachytherapy Sources
by Laura Oliver-Cañamás, Javier Vijande, Cristian Candela-Juan, Jose Gimeno-Olmos, Mª Carmen Pujades-Claumarchirant, Juan J. Rovira-Escutia, Facundo Ballester and Jose Perez-Calatayud
Cancers 2023, 15(9), 2484; https://doi.org/10.3390/cancers15092484 - 26 Apr 2023
Cited by 5 | Viewed by 2375
Abstract
Objectives: The main goal of this work is to design and characterize a user-friendly methodology to perform mailed dosimetric audits in high dose rate (HDR) brachytherapy for systems using either Iridium-192 (192Ir) or Cobalt-60 (60Co) sources. Methods: A solid [...] Read more.
Objectives: The main goal of this work is to design and characterize a user-friendly methodology to perform mailed dosimetric audits in high dose rate (HDR) brachytherapy for systems using either Iridium-192 (192Ir) or Cobalt-60 (60Co) sources. Methods: A solid phantom was designed and manufactured with four catheters and a central slot to place one dosimeter. Irradiations with an Elekta MicroSelectron V2 for 192Ir, and with a BEBIG Multisource for 60Co were performed for its characterization. For the dose measurements, nanoDots, a type of optically stimulated luminescent dosimeters (OSLDs), were characterized. Monte Carlo (MC) simulations were performed to evaluate the scatter conditions of the irradiation set-up and to study differences in the photon spectra of different 192Ir sources (Microselectron V2, Flexisource, BEBIG Ir2.A85-2 and Varisource VS2000) reaching the dosimeter in the irradiation set-up. Results: MC simulations indicate that the surface material on which the phantom is supported during the irradiations does not affect the absorbed dose in the nanoDot. Generally, differences below 5% were found in the photon spectra reaching the detector when comparing the Microselectron V2, the Flexisource and the BEBIG models. However, differences up to 20% are observed between the V2 and the Varisource VS2000 models. The calibration coefficients and the uncertainty in the dose measurement were evaluated. Conclusions: The system described here is able to perform dosimetric audits in HDR brachytherapy for systems using either 192Ir or 60Co sources. No significant differences are observed between the photon spectra reaching the detector for the MicroSelectron V2, the Flexisource and the BEBIG 192Ir sources. For the Varisource VS2000, a higher uncertainty is considered in the dose measurement to allow for the nanoDot response. Full article
(This article belongs to the Special Issue Advances in Brachytherapy in the Treatment of Tumors)
Show Figures

Figure 1

9 pages, 680 KB  
Article
Dose Distribution of High Dose-Rate and Low Dose-Rate Prostate Brachytherapy at Different Intervals—Impact of a Hydrogel Spacer and Prostate Volume
by Hathal Haddad, Horst Hermani, Herbert Hanitzsch, Albert Heidrich and Michael Pinkawa
Cancers 2023, 15(5), 1396; https://doi.org/10.3390/cancers15051396 - 22 Feb 2023
Cited by 2 | Viewed by 3622
Abstract
The study aimed to compare the dose distribution in permanent low-dose-rate brachytherapy (LDR-BT) and high-dose-rate brachytherapy (HDR-BT), specifically focusing on the impact of a spacer and prostate volume. The relative dose distribution of 102 LDR-BT patients (prescription dose 145 Gy) at different intervals [...] Read more.
The study aimed to compare the dose distribution in permanent low-dose-rate brachytherapy (LDR-BT) and high-dose-rate brachytherapy (HDR-BT), specifically focusing on the impact of a spacer and prostate volume. The relative dose distribution of 102 LDR-BT patients (prescription dose 145 Gy) at different intervals was compared with the dose distribution of 105 HDR-BT patients (232 HDR-BT fractions with prescription doses of 9 Gy, n = 151, or 11.5 Gy, n = 81). A hydrogel spacer (10 mL) was only injected before HDR-BT. For the analysis of dose coverage outside the prostate, a 5 mm margin was added to the prostate volume (PV+). Prostate V100 and D90 of HDR-BT and LDR-BT at different intervals were comparable. HDR-BT was characterized by a considerably more homogenous dose distribution and lower doses to the urethra. The minimum dose in 90% of PV+ was higher for larger prostates. As a consequence of the hydrogel spacer in HDR-BT patients, the intraoperative dose at the rectum was considerably lower, especially in smaller prostates. However, prostate volume dose coverage was not improved. The dosimetric results well explain clinical differences between these techniques reported in the literature review, specifically comparable tumor control, higher acute urinary toxicity rates in LDR-BT in comparison to HDR-BT, decreased rectal toxicity after spacer placement, and improved tumor control after HDR-BT in larger prostate volumes. Full article
(This article belongs to the Special Issue Advances in Brachytherapy in the Treatment of Tumors)
Show Figures

Figure 1

14 pages, 3123 KB  
Article
High-Dose-Rate Brachytherapy as an Organ-Sparing Treatment for Early Penile Cancer
by Denisa Pohanková, Igor Sirák, Milan Vošmik, Linda Kašaová, Jakub Grepl, Petr Paluska, Lukáš Holub, Jiří Špaček, Miroslav Hodek, Martin Kopeček and Jiří Petera
Cancers 2022, 14(24), 6248; https://doi.org/10.3390/cancers14246248 - 19 Dec 2022
Cited by 11 | Viewed by 6208
Abstract
Background: Low-dose-rate brachytherapy is an effective organ-sparing treatment for patients with early-stage penile cancer. However, only limited data are available on the role of high-dose-rate brachytherapy (HDR-BT) in this clinical setting. Methods: Between 2002 and 2020, 31 patients with early penile cancer were [...] Read more.
Background: Low-dose-rate brachytherapy is an effective organ-sparing treatment for patients with early-stage penile cancer. However, only limited data are available on the role of high-dose-rate brachytherapy (HDR-BT) in this clinical setting. Methods: Between 2002 and 2020, 31 patients with early penile cancer were treated at our center with interstitial HDR BT at a dose of 18 × 3 Gy twice daily. A breast brachytherapy template was used for the fixation of stainless hollow needles. Results: The median follow-up was 117.5 months (range, 5–210). Eight patients (25.8%) developed a recurrence; of these, seven were salvaged by partial amputation. Six patients died of internal comorbidities or a second cancer. The probability of local control at 5 and 10 years was 80.7% (95% CI: 63.7–97.7%) and 68.3% (95% CI: 44.0–92.6%), respectively. Cause-specific survival was 100%. Only one case of radiation-induced necrosis was observed. The probability of penile sparing at 5 and 10 years was 80.6% (95% CI: 63.45–97.7%) and 62.1% (95% CI: 34.8–89.4%), respectively. Conclusions: These results show that HDR-BT for penile cancer can achieve results comparable to LDR-BT with organ sparing. Despite the relatively large patient cohort—the second largest reported to date in this clinical setting—prospective data from larger samples are needed to confirm the role of HDR-BT in penile cancer. Full article
(This article belongs to the Special Issue Advances in Brachytherapy in the Treatment of Tumors)
Show Figures

Figure 1

Review

Jump to: Research

16 pages, 756 KB  
Review
Plaque Radiotherapy for Ocular Melanoma
by George Naveen Thomas, I-Ling Chou and Lingam Gopal
Cancers 2024, 16(19), 3386; https://doi.org/10.3390/cancers16193386 - 3 Oct 2024
Cited by 11 | Viewed by 6792
Abstract
Plaque radiotherapy is an effective treatment modality for medium-sized ocular tumors such as uveal melanoma. The authors review the available literature and concisely summarize the current state of the art of ophthalmic plaque brachytherapy. The choice of radioisotope, which includes Ruthenium-106 and Iodine-125, [...] Read more.
Plaque radiotherapy is an effective treatment modality for medium-sized ocular tumors such as uveal melanoma. The authors review the available literature and concisely summarize the current state of the art of ophthalmic plaque brachytherapy. The choice of radioisotope, which includes Ruthenium-106 and Iodine-125, depends on the intended treatment duration, tumor characteristics, and side effect profiles. Ophthalmic plaques may be customized to allow for the delivery of a precise radiation dose by adjusting seed placement and plaque shape to minimize collateral tissue radiation. High dose rate (HDR) brachytherapy, using beta (e.g., Yttrium-90) and photon-emitting sources (e.g., Ytterbium-169, Selenium-75), allows for rapid radiation dose delivery, which typically lasts minutes, compared to multiple days with low-dose plaque brachytherapy. The efficacy of Ruthenium-106 brachytherapy for uveal melanoma varies widely, with reported local control rates between 59.0% and 98.0%. Factors influencing outcomes include tumor size, thickness, anatomical location, and radiation dose at the tumor apex, with larger and thicker tumors potentially exhibiting poorer response and a higher rate of complications. Plaque brachytherapy is effective for selected tumors, particularly uveal melanoma, providing comparable survival rates to enucleation for medium-sized tumors. The complications of plaque brachytherapy are well described, and many of these are treatable. Full article
(This article belongs to the Special Issue Advances in Brachytherapy in the Treatment of Tumors)
Show Figures

Figure 1

22 pages, 2350 KB  
Review
Brachytherapy in Brain Metastasis Treatment: A Scoping Review of Advances in Techniques and Clinical Outcomes
by Sandra Leskinen, Netanel Ben-Shalom, Jason Ellis, David Langer, John A. Boockvar, Randy S. D’Amico and A. Gabriella Wernicke
Cancers 2024, 16(15), 2723; https://doi.org/10.3390/cancers16152723 - 31 Jul 2024
Cited by 4 | Viewed by 3560
Abstract
Brain metastases pose a significant therapeutic challenge in the field of oncology, necessitating treatments that effectively control disease progression while preserving neurological and cognitive functions. Among various interventions, brachytherapy, which involves the direct placement of radioactive sources into or near tumors or into [...] Read more.
Brain metastases pose a significant therapeutic challenge in the field of oncology, necessitating treatments that effectively control disease progression while preserving neurological and cognitive functions. Among various interventions, brachytherapy, which involves the direct placement of radioactive sources into or near tumors or into the resected cavity, can play an important role in treatment. Current literature describes brachytherapy’s capacity to deliver targeted, high-dose radiation while minimizing damage to adjacent healthy tissues—a crucial consideration in the choice of treatment modality. Furthermore, advancements in implantation techniques as well as in the development of different isotopes have expanded its efficacy and safety profile. This review delineates the contemporary applications of brachytherapy in managing brain metastases, examining its advantages, constraints, and associated clinical outcomes, and provides a comprehensive understanding of advances in the use of brachytherapy for brain metastasis treatment, with implications for improved patient outcomes and enhanced quality of life. Full article
(This article belongs to the Special Issue Advances in Brachytherapy in the Treatment of Tumors)
Show Figures

Figure 1

16 pages, 3320 KB  
Review
Comparative Analysis of 60Co and 192Ir Sources in High Dose Rate Brachytherapy for Cervical Cancer
by Aiping Wen, Xianliang Wang, Bingjie Wang, Chuanjun Yan, Jingyue Luo, Pei Wang and Jie Li
Cancers 2022, 14(19), 4749; https://doi.org/10.3390/cancers14194749 - 29 Sep 2022
Cited by 14 | Viewed by 6881
Abstract
High-dose-rate (HDR) brachytherapy (BT) is an essential treatment for cervical cancer, one of the most prevalent gynecological malignant tumors. In HDR BT, high radiation doses can be delivered to the tumor target with the minimum radiation doses to organs at risk. Despite the [...] Read more.
High-dose-rate (HDR) brachytherapy (BT) is an essential treatment for cervical cancer, one of the most prevalent gynecological malignant tumors. In HDR BT, high radiation doses can be delivered to the tumor target with the minimum radiation doses to organs at risk. Despite the wide use of the small HDR 192Ir source, as the technique has improved, the HDR 60Co source, which has the same miniaturized geometry, has also been produced and put into clinical practice. Compared with 192Ir (74 days), 60Co has a longer half-life (5.3 years), which gives it a great economic advantage for developing nations. The aim of the study was to compare 60Co and 192Ir sources for HDR BT in terms of both dosimetry and clinical treatment. The results of reports published on the use of HDR BT for cervical cancer over the past few years as well as our own research show that this treatment is safe and it is feasible to use 60Co as an alternative source. Full article
(This article belongs to the Special Issue Advances in Brachytherapy in the Treatment of Tumors)
Show Figures

Figure 1

Back to TopTop