Journal Description
Biosensors
Biosensors
is an international, peer-reviewed, open access journal on the technology and science of biosensors published monthly online by MDPI.
- Open Access— free for readers, with article processing charges (APC) paid by authors or their institutions.
- High Visibility: indexed within Scopus, SCIE (Web of Science), PubMed, MEDLINE, PMC, Embase, CAPlus / SciFinder, Inspec, and other databases.
- Journal Rank: JCR - Q1 (Instruments and Instrumentation) / CiteScore - Q1 (Instrumentation)
- Rapid Publication: manuscripts are peer-reviewed and a first decision is provided to authors approximately 21.8 days after submission; acceptance to publication is undertaken in 2.8 days (median values for papers published in this journal in the first half of 2025).
- Recognition of Reviewers: reviewers who provide timely, thorough peer-review reports receive vouchers entitling them to a discount on the APC of their next publication in any MDPI journal, in appreciation of the work done.
Impact Factor:
5.6 (2024);
5-Year Impact Factor:
5.7 (2024)
Latest Articles
NanoArrayPAD−X: Nanoprobe Array and 3D-µPAD for the Simultaneous Detection of Respiratory Pathogens and Biomarkers at the Point of Care
Biosensors 2025, 15(11), 715; https://doi.org/10.3390/bios15110715 (registering DOI) - 28 Oct 2025
Abstract
Microfluidic paper-based analytical devices (µPADs) are ideal for point-of-care diagnostics due to their low cost, compact size, and ease of use. However, current designs have limited multiplexing capabilities, making it difficult to simultaneously detect pathogens and biomarkers in the same sample. In this
[...] Read more.
Microfluidic paper-based analytical devices (µPADs) are ideal for point-of-care diagnostics due to their low cost, compact size, and ease of use. However, current designs have limited multiplexing capabilities, making it difficult to simultaneously detect pathogens and biomarkers in the same sample. In this work, we introduce NanoArrayPAD−X, a novel µPAD design that combines wax-printed microfluidic networks with an array of nanoprobes for the simultaneous detection of multiple targets. This is achieved by distributing the sample through the microfluidic network containing X detection areas. There, targets are captured through physical interactions and recognized by specific antibody-coated nanoprobes released from the nanoprobe array. This generates X dots whose color depends on the concentration of the targets in the sample. A NanoArrayPAD−5 platform capable of detecting five targets was developed to aid in the diagnosis of ventilator-associated pneumonia (VAP). The sensor array could detect Pseudomonas aeruginosa, Klebsiella pneumoniae, Staphylococcus aureus, Escherichia coli, and the inflammatory biomarker myeloperoxidase (MPO) with a total turnaround time of 25 min, which is faster than waiting for an overnight culture and the results of an ELISA. Notably, our prototype successfully detected the targets in 87 bronchial aspirate (BAS) specimens, thus demonstrating the suitability of the platform for analyzing complex samples with sputum-like qualities. These findings establish NanoArrayPAD−X as a promising tool for the rapid, multiplexed screening of respiratory pathogens and biomarkers, with potential for guiding personalized antimicrobial therapy in suspected cases of nosocomial pneumonia.
Full article
(This article belongs to the Section Biosensors and Healthcare)
►
Show Figures
Open AccessArticle
Visible-Light Hyperspectral Reconstruction and PCA-Based Feature Extraction for Malignant Pleural Effusion Cytology
by
Chun-Liang Lai, Kun-Hua Lee, Hong-Thai Nguyen, Arvind Mukundan, Riya Karmakar, Tsung-Hsien Chen, Wen-Shou Lin and Hsiang-Chen Wang
Biosensors 2025, 15(11), 714; https://doi.org/10.3390/bios15110714 (registering DOI) - 28 Oct 2025
Abstract
Malignant pleural effusion, commonly referred to as MPE, is a prevalent complication associated with individuals diagnosed with neoplastic disorders. The data acquired by pleural fluid cytology is beneficial for diagnostic objectives. Consequently, the initial step in the diagnostic procedure for lung cancer is
[...] Read more.
Malignant pleural effusion, commonly referred to as MPE, is a prevalent complication associated with individuals diagnosed with neoplastic disorders. The data acquired by pleural fluid cytology is beneficial for diagnostic objectives. Consequently, the initial step in the diagnostic procedure for lung cancer is the analysis of pleural effusion fluid. This research aims to provide a cutting-edge model for analyzing PE cytology images. This model utilizes a computer-aided diagnosis (CAD) system that integrates hyperspectral imaging (HSI) technology for the classification of spectral variations. Giemsa, which is one of the most popular microscopic stains, is employed to stain the samples, after which a sensitive CCD mounted on a microscope captures the images. Subsequently, the HSI model is tasked with obtaining the image spectra. Principal Component Analysis (PCA) constitutes the concluding phase in the classification procedure of various cell types. We expect that the suggested technique will enable medical professionals to stage lung cancer more rapidly. In the future, we aspire to develop an extensive data system that utilizes deep learning techniques to facilitate the automatic classification of cells, thereby ensuring the most precise diagnosis. Furthermore, enhancing accuracy and minimizing data dimensions are important priorities to accelerate diagnostics, conserve resources, and reduce computing time.
Full article
(This article belongs to the Special Issue Advanced Optical Imaging Biosensors: Technologies and Biomedical Applications)
►▼
Show Figures

Figure 1
Open AccessArticle
Optimized Aptamer-Conjugated Gold Nanoparticles for Specific Detection of GII.4 Human Norovirus in Feces
by
Chao Cheng, Xiaomeng Zhang, Gaoyang Li, Minjia Sun, Wenjing Zheng, Jingjing Li, Jing Liu, Xuanyi Wang, Youhua Xie, Shouhong Xu and Junqi Zhang
Biosensors 2025, 15(11), 713; https://doi.org/10.3390/bios15110713 (registering DOI) - 28 Oct 2025
Abstract
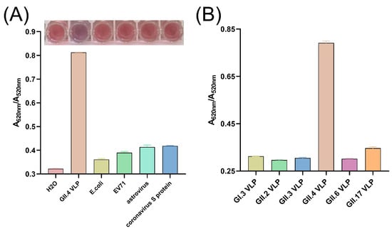
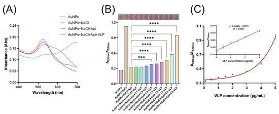
Human norovirus (HuNoV), particularly the GII.4 genotype, is a leading cause of acute gastroenteritis worldwide, posing a significant public health and economic burden due to its low infectious dose. To address the need for rapid and sensitive detection, we developed a colorimetric biosensor
[...] Read more.
Human norovirus (HuNoV), particularly the GII.4 genotype, is a leading cause of acute gastroenteritis worldwide, posing a significant public health and economic burden due to its low infectious dose. To address the need for rapid and sensitive detection, we developed a colorimetric biosensor utilizing a structure-optimized aptamer and gold nanoparticles (AuNPs). Biotin-modified aptamers could protect AuNPs from aggregation in salt solution. Upon specific binding to GII.4 HuNoV virus-like particles (VLPs), this protective effect is disrupted, leading to AuNP aggregation and a measurable color shift quantified by the A620/A520 absorbance ratio. Under optimized conditions, the assay demonstrated a linear response (y = 0.004597x + 0.3277, R2 = 0.9922) to GII.4 HuNoV VLP concentrations ranging from 0.1 to 3.0 μg/mL, with the recovery rates between 91.74% and 106.43%. The biosensor exhibited high specificity for GII.4 HuNoV, showing minimal cross-reactivity with other common diarrheal pathogens, and achieved an exceptional detection limit of 27.2 copies/mL in a fecal matrix. Molecular docking and point mutation confirmed the critical roles of specific nucleotide bases (T20, C22, G31, and G44) in the aptamer and the Asn55 residue in the viral capsid for binding. This work establishes a sensitive, rapid, and cost-effective aptamer-based colorimetric platform suitable for the large-scale monitoring of GII.4 HuNoV.
Full article
(This article belongs to the Special Issue Aptamer-Based Nanosensing Strategy and Applications)
►▼
Show Figures

Graphical abstract
Open AccessReview
Nucleic Acid Nanomaterial-Mediated Single-Cell Encapsulation and Its Application
by
Yue Qiu, Mengyu Huang, Xiaotong Jiang, Peiru Chen, Zhenzhen Guo and Kaixiang Zhang
Biosensors 2025, 15(11), 712; https://doi.org/10.3390/bios15110712 (registering DOI) - 27 Oct 2025
Abstract
Single-cell encapsulation, by constructing cell-scale microenvironments, enables precise protection, regulation, and functional enhancement of individual cells, holding significant importance in biomedical fields such as bioanalysis and cell therapy. Although various materials—including polymers, nanoparticles, hydrogels, polyphenols, and inorganic minerals—have been explored for single-cell encapsulation,
[...] Read more.
Single-cell encapsulation, by constructing cell-scale microenvironments, enables precise protection, regulation, and functional enhancement of individual cells, holding significant importance in biomedical fields such as bioanalysis and cell therapy. Although various materials—including polymers, nanoparticles, hydrogels, polyphenols, and inorganic minerals—have been explored for single-cell encapsulation, limitations in controllability, biocompatibility, and multifunctional integration remain. In contrast, DNA nanomaterials offer unique advantages, including programmable architecture, high biocompatibility, precise spatial control, and modular functionality, making them highly suitable for the development of intelligent single-cell encapsulation systems. In this review, a systematic summary of recent advances in DNA nanomaterial-based single-cell encapsulation is presented. The fundamental encoding and assembly principles underlying the engineered encapsulation of cells at the membrane interface using DNA nanostructures are elucidated. Subsequently, the distinctive merits of DNA-based cell encapsulation and its applications in biomedical research are comprehensively summarized. Finally, the prevailing challenges and future directions in this burgeoning field are critically discussed, aiming to provide novel insights and perspectives for the advancement of advanced functional materials in both academic and clinical research pertaining to single-cell encapsulation.
Full article
(This article belongs to the Special Issue Biosensors for Healthcare and Environment: Current and Future Perspectives)
Open AccessArticle
A Feasibility Study on Noninvasive Blood Glucose Estimation Using Machine Learning Analysis of Near-Infrared Spectroscopy Data
by
Tae Wuk Bae, Byoung Ik Kim, Kee Koo Kwon and Kwang Yong Kim
Biosensors 2025, 15(11), 711; https://doi.org/10.3390/bios15110711 (registering DOI) - 25 Oct 2025
Abstract
This study explored the feasibility of noninvasive blood glucose (BG) estimation using near-infrared (NIR) spectroscopy with dog blood samples. A sensor module employing three representative wavelengths (770 nm, 850 nm, and 970 nm) was tested on an artificial blood vessel (ABV) and a
[...] Read more.
This study explored the feasibility of noninvasive blood glucose (BG) estimation using near-infrared (NIR) spectroscopy with dog blood samples. A sensor module employing three representative wavelengths (770 nm, 850 nm, and 970 nm) was tested on an artificial blood vessel (ABV) and a thin pig skin (TPS) model. BG concentrations were adjusted through dilution and enrichment with injection-grade water and glucose solution, and reference values were obtained from three commercial invasive glucometers. Correlations between NIR spectral responses and glucose variations were quantitatively evaluated using linear, multiple, partial least squares (PLS), logistic regression, regularized linear models, and multilayer perceptron (MLP) analysis. The results revealed distinct negative correlations at 850 nm and 970 nm, identifying these wavelengths as promising candidates for noninvasive glucose sensing. Furthermore, an NIR–glucose database generated from actual dog blood was established, which may serve as a valuable resource for the development of future noninvasive glucose monitoring systems.
Full article
(This article belongs to the Special Issue Artificial Intelligence (AI) and Machine Learning (ML) in Biosensors: Innovation, Application, and Challenge)
►▼
Show Figures

Figure 1
Open AccessArticle
Triple-Model Immunoassays with the Self-Assemblies of Three-in-One Small Molecules as Signaling Labels
by
Zhaojiang Yu, Wenqi Yuan, Mingyi Qiao and Lin Liu
Biosensors 2025, 15(11), 710; https://doi.org/10.3390/bios15110710 (registering DOI) - 24 Oct 2025
Abstract
Multiple-mode immunoassays have the advantages of self-correction, self-validation, and high accuracy and reliability. In this work, we developed a strategy for the design of triple-mode immunoassays with the self-assemblies of three-in-one small molecules as signal reporters. Pyrroloquinoline quinone (PQQ), with a well-defined redox
[...] Read more.
Multiple-mode immunoassays have the advantages of self-correction, self-validation, and high accuracy and reliability. In this work, we developed a strategy for the design of triple-mode immunoassays with the self-assemblies of three-in-one small molecules as signal reporters. Pyrroloquinoline quinone (PQQ), with a well-defined redox peak and excellent spectroscopic and fluorescent signals, was chosen as the signaling molecule. PQQ was coordinated with Cu2+ to form metal–organic nanoparticle as the signal label. Hexahistidine (His6)-tagged recognition element (recombinant streptavidin) was attached to the Cu-PQQ surface through metal coordination interaction between the His6 tag and the unsaturated metal site. The captured Cu-PQQ nanoparticle released a large number of PQQ molecules under an acidic condition, which could be simultaneously monitoring by electrochemical, UV-vis, and fluorescent techniques, thereby allowing for the development of triple-model immunoassays. The three methods were used to determine the concentration of carcinoembryonic antigen (CEA) with the detection limits of 0.01, 0.1, and 0.1 ng/mL, respectively. This strategy opens up a universal route for the preparation of multiple-model signal labels and the oriented immobilization of bioreceptors for molecular recognition.
Full article
(This article belongs to the Special Issue Biosensors Based on Self-Assembly and Molecular Recognition—2nd Edition)
►▼
Show Figures

Figure 1
Open AccessReview
Advancements and Prospects of Metal-Organic Framework-Based Fluorescent Sensors
by
Yuan Zhang, Chen Li, Meifeng Jiang, Yuan Liu and Zongbao Sun
Biosensors 2025, 15(11), 709; https://doi.org/10.3390/bios15110709 (registering DOI) - 24 Oct 2025
Abstract
Metal-organic frameworks (MOFs), a class of crystalline porous materials featuring a high specific surface area, tunable pore structures, and functional surfaces, exhibit remarkable potential in fluorescent sensing. This review systematically summarizes recent advances in the construction strategies, sensing mechanisms, and applications of MOF-based
[...] Read more.
Metal-organic frameworks (MOFs), a class of crystalline porous materials featuring a high specific surface area, tunable pore structures, and functional surfaces, exhibit remarkable potential in fluorescent sensing. This review systematically summarizes recent advances in the construction strategies, sensing mechanisms, and applications of MOF-based fluorescent sensors. It begins by highlighting the diverse degradation pathways that MOFs encounter in practical applications, including hydrolysis, acid/base attack, ligand displacement by coordinating anions, photodegradation, redox processes, and biofouling, followed by a detailed discussion of corresponding stabilization strategies. Subsequently, the review elaborates on the construction of sensors based on individual MOFs and their composites with metal nanomaterials, MOF-on-MOF heterostructures, covalent organic frameworks (COFs), quantum dots (QDs), and fluorescent dyes, emphasizing the synergistic effects of composite structures in enhancing sensor performance. Furthermore, key sensing mechanisms such as fluorescence quenching, fluorescence enhancement, Stokes shift, and multi-mechanism coupling are thoroughly examined, with examples provided of their application in detecting biological analytes, environmental pollutants, and food contaminants. Finally, future directions for MOF-based fluorescent sensors in food safety, environmental monitoring, and clinical diagnostics are outlined, pointing to the development of high-performance, low-cost MOFs; the integration of multi-technology platforms; and the construction of intelligent sensing systems as key to enabling their practical deployment and commercialization.
Full article
(This article belongs to the Section Biosensor Materials)
►▼
Show Figures

Figure 1
Open AccessArticle
Development of CPE/ssDNA-Based Electrochemical Sensor for the Detection of Leucine to Assess Soil Health
by
Stella Girousi, Zoi Banti, Sophia Karastogianni, Rigini Papi, Dilsat Ozkan Ariksoysal and Evangelia E. Golia
Biosensors 2025, 15(11), 708; https://doi.org/10.3390/bios15110708 - 22 Oct 2025
Abstract
For the first time, the interaction between the amino acid leucine (Leu) and thermally denatured single-stranded (ss) DNA has been demonstrated by applying voltammetry. As a result of interaction, the characteristic peak of ssDNA, due to the oxidation of guanine residues, decreased upon
[...] Read more.
For the first time, the interaction between the amino acid leucine (Leu) and thermally denatured single-stranded (ss) DNA has been demonstrated by applying voltammetry. As a result of interaction, the characteristic peak of ssDNA, due to the oxidation of guanine residues, decreased upon interaction time. The interaction behavior between leucine and ssDNA was also studied with UV–vis spectrophotometry; the obtained results are in good agreement with voltammetric ones. The results of the interaction study were exploited in order to develop a SWV method for the determination of leucine at the ssDNA-modified carbon paste electrode (CPE). Different parameters were tested to optimize the conditions of the determination. The peak of guanine was at around +0.86 V. Linearity was observed in the range of 0.213–4.761 μg/L (r = 0.9990) while LOD equals 0.071 μg/L. The method was applied to a spiked soil sample and gave satisfactory results.
Full article
(This article belongs to the Special Issue Electrochemical (Bio)Sensors as Promising Analytical Tools in the Analysis of Soils, Plants and Environmental Monitoring)
►▼
Show Figures

Figure 1
Open AccessArticle
Double-Layer Simplified Complex Interval Neural Network Stacking for Blood Glucose Prediction of Continuous Glucose Monitoring System
by
Shaowei Kong, Yusheng Fu, Jingshan Duan and Jian Yan
Biosensors 2025, 15(11), 707; https://doi.org/10.3390/bios15110707 - 22 Oct 2025
Abstract
Diabetes is a metabolic disorder characterized by persistent hyperglycemia, with its incidence steadily rising worldwide. Blood glucose monitoring is a core measure in diabetes management, and continuous glucose monitoring provides more comprehensive and accurate glucose data compared to traditional fingerstick testing. To collect
[...] Read more.
Diabetes is a metabolic disorder characterized by persistent hyperglycemia, with its incidence steadily rising worldwide. Blood glucose monitoring is a core measure in diabetes management, and continuous glucose monitoring provides more comprehensive and accurate glucose data compared to traditional fingerstick testing. To collect continuous glucose data from patients, precise glucose prediction algorithms can help them better control their blood glucose fluctuations. Therefore, by addressing the issues of low prediction accuracy, complex input features, and poor generalization performance in existing glucose prediction methods, this paper proposes a glucose prediction model based on a double-layer SCINet stack using time-series analysis methods. SCINet effectively captures multi-scale dynamic features in time-series data through recursive down-sampling and convolution operations, making it suitable for glucose prediction tasks. Experimental data were sourced from real-world continuous glucose monitoring records of patients at Yixing People’s Hospital. Model input features were optimized through variable selection and data preprocessing, with predictive performance validated on a test dataset. The results demonstrate that the proposed model outperforms existing time-series prediction models across varying prediction horizons and patient datasets, exhibiting high predictive accuracy and stability.
Full article
(This article belongs to the Special Issue AI-Driven Biosensing)
►▼
Show Figures

Figure 1
Open AccessArticle
Development of an Aptamer-Based Surface Plasmon Resonance Biosensor for Detecting Chloramphenicol in Milk
by
Minyu Qi, Ningqi Xia, Xiying Wang, Xiaofei Wang, Hao Chen, Diya Lv and Yan Cao
Biosensors 2025, 15(11), 706; https://doi.org/10.3390/bios15110706 - 22 Oct 2025
Abstract
Surface plasmon resonance (SPR) biosensors have been applied in various fields with the advantages of being label-free, having high specificity, having high sensitivity, and providing real-time monitoring. With the gradual improvement of SPR technology, SPR biosensors have been used for the detection of
[...] Read more.
Surface plasmon resonance (SPR) biosensors have been applied in various fields with the advantages of being label-free, having high specificity, having high sensitivity, and providing real-time monitoring. With the gradual improvement of SPR technology, SPR biosensors have been used for the detection of macromolecules such as proteins, peptides, and nucleic acids. Antibodies are generally used as the recognition component of SPR biosensors due to the high specificity of antibody–antigen binding. Recently, aptamers have become new choices instead of antibodies for their characteristic of high specificity with target molecules, high stability of chemical synthesis, convenience in storage, and ease of labeling. In this study, an aptamer-based SPR biosensor for chloramphenicol (CAP) detection was established through optimizing the conditions of CAP aptamer immobilization and analysis procedure, including biosensor type, signal enhancement, running buffer, sample diluent, and dissociation time. The results suggested that the optimal immobilization strategy of aptamers on the SPR biosensor was indirect immobilization based on the CM5 chip. The aptamer-based SPR biosensor had good specificity for CAP and could be used to detect CAP in real samples such as milk. Therefore, SPR biosensors have great application prospects in the food safety field, and aptamers deserve further study to improve the performance of the biosensor.
Full article
(This article belongs to the Special Issue Biosensors for Food Safety)
►▼
Show Figures

Figure 1
Open AccessReview
Nanobiosensors for Single-Molecule Diagnostics: Toward Integration with Super-Resolution Imaging
by
Seungah Lee, Sobia Rafiq and Seong Ho Kang
Biosensors 2025, 15(10), 705; https://doi.org/10.3390/bios15100705 - 21 Oct 2025
Abstract
Recent advances in nanotechnology and optical imaging have transformed molecular diagnostics, enabling the detection and analysis of individual biomolecules with unprecedented precision. Nanobiosensors provide ultrasensitive molecular detection, and super-resolution microscopy (SRM) exceeds the diffraction limit of conventional optics to achieve nanometer-scale resolution. Although
[...] Read more.
Recent advances in nanotechnology and optical imaging have transformed molecular diagnostics, enabling the detection and analysis of individual biomolecules with unprecedented precision. Nanobiosensors provide ultrasensitive molecular detection, and super-resolution microscopy (SRM) exceeds the diffraction limit of conventional optics to achieve nanometer-scale resolution. Although their integration remains in its infancy, with only a handful of proof-of-concept studies reported, the convergence of nanobiosensors and SRM holds significant promise for next-generation diagnostics. In this review, we first outline nanobiosensor-based single-molecule detection strategies and highlight representative implementations. These include plasmonic–SRM hybrids, electrochemical–optical correlatives, and SRM-enabled immunoassays, with a focus on their applications in oncology, infectious diseases, and neurodegenerative disorders. Then, we discuss emerging studies at the interface of nanobiosensors and SRM, including nanostructure-assisted SRM. Despite not being true biosensing approaches, these studies provide valuable insights into how engineered nanomaterials can improve imaging performance. Finally, we evaluate current challenges, including reproducibility, multiplexing, and clinical translation, and outline future opportunities, such as the development of photostable probes, artificial intelligence-assisted image reconstruction, microfluidic integration, and regulatory strategies. This review highlights the synergistic potential of nanobiosensors and SRM, outlining a roadmap toward clinically translatable next-generation single-molecule diagnostic platforms.
Full article
(This article belongs to the Special Issue Micro and Nano Optic-Based Biosensing Technologies and Strategies—2nd Edition)
►▼
Show Figures

Figure 1
Open AccessArticle
Development of an Electrochemical Sensor Based on Molecularly Imprinted Polymer Using Functionalized Gold Nanoparticles for Caffeine Quantification
by
Sergio Espinoza-Torres, Astrid Choquehuanca-Azaña, Marcos Rufino, Eleilton da Silva and Lucio Angnes
Biosensors 2025, 15(10), 704; https://doi.org/10.3390/bios15100704 - 18 Oct 2025
Abstract
Caffeine is a natural alkaloid consumed primarily for its stimulant and metabolic effects. Some everyday products, such as coffee, tea, soft drinks, sports supplements, and even pain relievers, contain caffeine. However, excessive caffeine consumption, greater than 400 mg per day, can cause adverse
[...] Read more.
Caffeine is a natural alkaloid consumed primarily for its stimulant and metabolic effects. Some everyday products, such as coffee, tea, soft drinks, sports supplements, and even pain relievers, contain caffeine. However, excessive caffeine consumption, greater than 400 mg per day, can cause adverse effects. Therefore, this work presents an electrochemical sensor based on a molecularly imprinted polymer (MIP) electropolymerized on gold nanoparticles functionalized with p-aminothiophenol (AuNPs-pATP) for caffeine quantification. AuNPs-pATP synthesized show a spherical morphology with an average diameter of 2.54 nm. Stages of MIP formation were monitored by cyclic voltammetry (CV) and electrochemical impedance spectroscopy (EIS) using a potassium ferrocyanide redox probe, where the following were observed: (i) an increase in conductivity upon modification of the GCE with AuNPs-pATP, (ii) the blocking of active sites during the electropolymerization step, and (iii) the release of specific cavities upon template removal, revealing consistent differences between the MIP and the control polymer (NIP). SEM images revealed three-dimensional spherical cavities on MIP surface, while the NIP showed a more compact rough surface. Caffeine quantification was performed using square wave voltammetry (SWV) with LOD of 0.195 µmol L−1 and LOQ of 0.592 µmol L−1. Interference studies indicated high selectivity and a high density of caffeine-specific binding sites in the MIP. Additionally, MIP sensor demonstrated reusability, good reproducibility, and stability, as well as promising results for analysis in soft drink and sports supplement samples.
Full article
(This article belongs to the Special Issue Recent Advances in Molecularly Imprinted-Polymer-Based Biosensors)
►▼
Show Figures

Graphical abstract
Open AccessArticle
Noble-Metal-Free MIL-101(Cr)@rGO for Formaldehyde SERS Detection
by
Harriet Sonia Nalumansi, Fuwei Pi, Jingkun Li and Guoyong Jiang
Biosensors 2025, 15(10), 703; https://doi.org/10.3390/bios15100703 - 18 Oct 2025
Abstract
The detection of volatile organic compounds (VOCs) is critical for ensuring food safety, particularly for identifying spoilage gases and food adulterants. Surface Enhanced Raman Spectroscopy (SERS) has traditionally relied on noble metals such as gold and silver for strong electromagnetic enhancement. However, these
[...] Read more.
The detection of volatile organic compounds (VOCs) is critical for ensuring food safety, particularly for identifying spoilage gases and food adulterants. Surface Enhanced Raman Spectroscopy (SERS) has traditionally relied on noble metals such as gold and silver for strong electromagnetic enhancement. However, these substrates present challenges in terms of cost, stability, and integration into real-world applications. In this study, we explore a hybrid metal–organic framework (MOF) with reduced graphene oxide (rGO) as a SERS active substrate. The developed material showed a good sensitivity for VOC formaldehyde (FA), easily detectable at peak 1452 cm−1 and offering an RSD of 16.95%. Since the substrate did not rely on any noble metals for SERS enhancement, this low cost and easy material could be fine-tuned, creating alternative less-toxic materials for detection in industries such as food safety.
Full article
(This article belongs to the Special Issue Nanomaterial-Based Biosensors for Point-of-Care Testing)
►▼
Show Figures

Figure 1
Open AccessArticle
High-Sensitivity Terahertz Biosensor Based on a Multi-Layer Hybrid Structure Consisting of a Defect Mode and Graphene
by
Hai Hu, Shiying Mo, Yangbao Deng and Zhengchun Zhao
Biosensors 2025, 15(10), 702; https://doi.org/10.3390/bios15100702 - 17 Oct 2025
Abstract
A high-sensitivity terahertz (THz) biosensor is proposed in this paper based on a multi-layer hybrid structure consisting of a defect mode and graphene with a truncation layer. This biosensor is based on symmetrical Bragg reflectors with a defect layer and graphene with a
[...] Read more.
A high-sensitivity terahertz (THz) biosensor is proposed in this paper based on a multi-layer hybrid structure consisting of a defect mode and graphene with a truncation layer. This biosensor is based on symmetrical Bragg reflectors with a defect layer and graphene with a truncation layer, which effectively comprise a multi-layer hybrid resonance excitation structure. The high sensitivity of this biosensor is developed through defect mode resonance, and the resonance reflection peak is made sharper and more sensitive by using graphene with a truncation layer. After testing and analysis, the sensitivity of this biosensor structure is greatly affected by the refractive index and thickness of the sensing medium. By setting parameters appropriately, the composite structure can be used as both a liquid biosensor and a gas biosensor, the maximum sensitivity of which can surpass 2000°/RIU, while an FOM value of 22,500 RIU−1 can be achieved. At the same time, when the refractive index of the liquid sensing medium changes to 0.01 relative to water (the same applies to changes in the gas sensing medium), the sensitivity of this structure still exceeds 600°/RIU, demonstrating that this biosensor has advantages including high sensitivity, a high FOM, wide applicability, and slow sensitivity attenuation. Therefore, the sensing scheme proposed in this paper has potential application prospects in the field of biosensing based on micro/nanostructures due to its simple structure, low requirements for processing conditions, and high sensitivity.
Full article
(This article belongs to the Special Issue Nanophotonics and Surface Waves in Biosensing Applications)
►▼
Show Figures

Figure 1
Open AccessArticle
A Stretchable and Transparent Electrode for Visual Electrophysiological Acquisition
by
Qiwei Dong, Maowen Xie, Mengyao Yuan, Wenhao Lou, Guang Yao and Yuan Lin
Biosensors 2025, 15(10), 701; https://doi.org/10.3390/bios15100701 - 17 Oct 2025
Abstract
Visual impairments pose a significant global health challenge, and visual electrophysiological (EP) acquisition plays a pivotal role in diagnosing ophthalmic diseases. However, traditional electrodes still encounter limitations such as inadequate mechanical adaptability and reusability. This study proposes a stretchable and transparent electrode (STE)
[...] Read more.
Visual impairments pose a significant global health challenge, and visual electrophysiological (EP) acquisition plays a pivotal role in diagnosing ophthalmic diseases. However, traditional electrodes still encounter limitations such as inadequate mechanical adaptability and reusability. This study proposes a stretchable and transparent electrode (STE) consisting of a conductive paste/indium tin oxide layer on a polymethyl methacrylate substrate. Leveraging an island–bridge design, the STE renders reliable performance even after being subjected to 1000 cycles of 25% lateral strain and 18% diagonal strain, exhibiting exceptional mechanical flexibility and realizing seamless attachment to soft tissue. Furthermore, optimized conductive paste layer thickness yields a signal-to-noise ratio comparable to commercial electrodes, achieving equivalent performance to Ag/AgCl electrodes in electroretinogram (ERG), electrooculography (EOG), and visual evoked potential (VEP) acquisition. The STE’s mechanical suitability and inconspicuous features hold significant potential for widespread clinical adoption in ophthalmic diagnostics and personalized eye healthcare, offering improved comfort, reusability, and diagnostic precision.
Full article
(This article belongs to the Special Issue Skin-Interfaced Biosensors and Bioelectronics for Personalized Healthcare)
►▼
Show Figures

Figure 1
Open AccessArticle
CRISPR-Cas12a and DNA Tetrahedron Assemblies Amplified Fluorescence Anisotropy for the Sensitive Detection of Hepatitis B Virus DNA
by
Yu Qin, Jiali Xie and Shujun Zhen
Biosensors 2025, 15(10), 700; https://doi.org/10.3390/bios15100700 - 17 Oct 2025
Abstract
Fluorescence anisotropy (FA) has been widely used for analyzing biomolecules due to its high throughput, homogeneous detection, and strong resistance to photobleaching. However, the traditional FA method suffers from low sensitivity when the target molecules are small and rotate rapidly, often producing insignificant
[...] Read more.
Fluorescence anisotropy (FA) has been widely used for analyzing biomolecules due to its high throughput, homogeneous detection, and strong resistance to photobleaching. However, the traditional FA method suffers from low sensitivity when the target molecules are small and rotate rapidly, often producing insignificant changes in the FA value. In this study, by combining double signal amplification through the trans-cleavage of CRISPR-Cas12a and DNA tetrahedron assemblies with a large molecular size, a new, fast, simple and highly sensitive FA method was constructed to achieve the quantitative detection of hepatitis B virus DNA (HBV-DNA). The experimental results showed that the linear range of this method was 0.5–9 nmol/L, and the detection limit (LOD = 3σ/k) was 48 pmol/L. In addition, the method demonstrated excellent selectivity and anti-interference, and it was successfully applied to detect HBV-DNA in human serum, indicating that this method has the potential for clinical diagnosis.
Full article
(This article belongs to the Special Issue State-of-the-Art Biosensors in China (2nd Edition))
►▼
Show Figures

Figure 1
Open AccessArticle
Plasmonic Nanosensors for EGFR Detection: Optimizing Aptamer-Based Competitive Displacement Assays
by
Alexandra Falamas, Andra-Sorina Tatar, Sanda Boca and Cosmin Farcău
Biosensors 2025, 15(10), 699; https://doi.org/10.3390/bios15100699 - 15 Oct 2025
Abstract
This study presents a comparative investigation of plasmonic sensing platforms based on colloidal gold nanoparticle (AuNP) suspensions and gold film over nanosphere (AuFoN) solid substrates for the detection of epidermal growth factor receptor (EGFR), an essential biomarker and therapeutic target in oncology. The
[...] Read more.
This study presents a comparative investigation of plasmonic sensing platforms based on colloidal gold nanoparticle (AuNP) suspensions and gold film over nanosphere (AuFoN) solid substrates for the detection of epidermal growth factor receptor (EGFR), an essential biomarker and therapeutic target in oncology. The strategy relies on fluorescence emission modulation of an Atto647N-labeled DNA oligomer competitively bound to an EGFR-specific aptamer. Our results demonstrate that the colloidal AuNPs can function as competitive binding sensors, leading to fluorescence quenching upon fluorophore attachment to the surface of the NPs and partial fluorescence recovery due to EGFR-induced displacement of the fluorophore–aptamer complex. This specificity was confirmed by reversed binding experiments. However, the system proved highly sensitive to the experimental design: excessive washing (centrifugation) led to unspecific aggregation and signal loss, while reduced washing steps improved signal retention and revealed EGFR-induced fluorophore displacement into the supernatant. On the contrary, film-based substrates exhibited strong initial fluorescence, but failed to retain the fluorophore–aptamer complex after washing, resulting in fluorescence decay independent of EGFR incubation. This indicates that AuFoN lacked the binding stability necessary for specific displacement-based sensing. These findings highlight that while colloidal AuNPs can support competitive binding detection, their reproducibility is limited by colloidal stability and protocol sensitivity, whereas AuFoN substrates require improved surface functionalization strategies. The study emphasizes the critical role of surface chemistry, aptamer–fluorophore affinity, and washing protocols in determining the success or failure of plasmon-enhanced aptamer-based biosensing systems and suggests opportunities for improving specificity and robustness in future designs.
Full article
(This article belongs to the Special Issue Aptamer-Based Sensing: Designs and Applications)
►▼
Show Figures

Figure 1
Open AccessArticle
Feasibility of IMU-Based Wearable Sonification: Toward Personalized, Real-Time Gait Monitoring and Rehabilitation
by
Toh Yen Pang, Chi-Tsun Cheng, Frank Feltham, Azizur Rahman, Luke McCarney and Carolina Quintero Rodriguez
Biosensors 2025, 15(10), 698; https://doi.org/10.3390/bios15100698 - 15 Oct 2025
Abstract
Wearable auditory feedback systems have demonstrated potential to support gait rehabilitation, yet user experience and engagement remain underexplored. This feasibility study investigated the usability and perceptions of an IMU-based (WT901BLECL, WitMotion) sonification system designed to deliver real-time gait feedback. Twenty healthy participants walked
[...] Read more.
Wearable auditory feedback systems have demonstrated potential to support gait rehabilitation, yet user experience and engagement remain underexplored. This feasibility study investigated the usability and perceptions of an IMU-based (WT901BLECL, WitMotion) sonification system designed to deliver real-time gait feedback. Twenty healthy participants walked on a treadmill at two speeds under three conditions: no feedback, discrete bass tones, and continuous whoosh tones. The proposed system, with an IMU sensor embedded in a flexible garment, combined real-time gait analysis with auditory cues. Participants reported high levels of comfort, with most (90%) indicating that they had a positive overall experience. Discrete bass tones enhanced awareness of specific gait phases, particularly heel strike and initial contact, whereas continuous whoosh sounds extended awareness to the trunk and hips but were occasionally perceived as distracting. Motivation effects were mixed, and no significant correlations were found between subjective ratings and biomechanical measures, reflecting individual variability in auditory cue interpretation. These results emphasized the role of sound modality in influencing gait perception and highlighted the importance of user-centered design in wearable rehabilitation technologies. The study provides foundational evidence for refining personalized auditory feedback systems and supports future investigations with clinical populations, such as stroke survivors and individuals with Parkinson’s Disease.
Full article
(This article belongs to the Special Issue Biomarkers of Disability and Movement Disorders: Insights from Wearable Devices)
►▼
Show Figures

Figure 1
Open AccessArticle
Direct ECL Detection of Fentanyl Drug with Bare Screen-Printed Electrodes
by
David Ibáñez, María Begoña González-García, David Hernández-Santos and Pablo Fanjul-Bolado
Biosensors 2025, 15(10), 697; https://doi.org/10.3390/bios15100697 - 15 Oct 2025
Abstract
Electrogenerated chemiluminescence (ECL) is a powerful analytical technique that combines the best features of both electrochemical and photoluminescence methods. In this work, we present a direct ECL-based method for the detection of fentanyl using unmodified screen-printed electrodes. The analysed system consists of tris(2,2′-bipyridyl)ruthenium(II)
[...] Read more.
Electrogenerated chemiluminescence (ECL) is a powerful analytical technique that combines the best features of both electrochemical and photoluminescence methods. In this work, we present a direct ECL-based method for the detection of fentanyl using unmodified screen-printed electrodes. The analysed system consists of tris(2,2′-bipyridyl)ruthenium(II) (Ru(bpy)32+) as the luminophore and fentanyl as the co-reactant. A comprehensive optimization of the experimental parameters, such as buffer pH, luminophore concentration and working electrode material, was performed in order to maximize the ECL response. The optimal conditions are identified as PBS buffer pH 6, 2.5 × 10−3 M Ru(bpy)32+ and bare gold screen-printed electrodes. Under these conditions, the system exhibited a strong and reproducible ECL signal, with a linear response to fentanyl concentration from 1 × 10−7 to 1 × 10−5 M and a limit of detection of 6.7 × 10−8 M. Notably, the proposed method does not require electrode surface modification, sample pretreatment or complex instrumentation, offering a rapid, sensitive, and cost-effective alternative for fentanyl detection. Furthermore, the storage of bare SPEs at room temperature in a dry place ensures their stability over months or even years, overcoming the limitations offered by ECL systems based on modifications of the working electrode with different nanomaterials. These findings highlight the potential of the proposed ECL approach as a robust and sensitive tool for the detection of synthetic opioids. Its simplicity, portability, and analytical performance make it particularly attractive for forensic and clinical applications where rapid and accurate opioid screening is essential.
Full article
(This article belongs to the Special Issue Recent Developments in Micro/Nano Sensors for Biomedical Applications)
►▼
Show Figures

Graphical abstract
Open AccessReview
Single-Molecule Detection Technologies: Advances in Devices, Transduction Mechanisms, and Functional Materials for Real-World Biomedical and Environmental Applications
by
Sampa Manoranjan Barman, Arpita Parakh, A. Anny Leema, P. Balakrishnan, Ankita Avthankar, Dhiraj P. Tulaskar, Purshottam J. Assudani, Shon Nemane, Prakash Rewatkar, Madhusudan B. Kulkarni and Manish Bhaiyya
Biosensors 2025, 15(10), 696; https://doi.org/10.3390/bios15100696 - 14 Oct 2025
Abstract
Single-molecule detection (SMD) has reformed analytical science by enabling the direct observation of individual molecular events, thus overcoming the limitations of ensemble-averaged measurements. This review presents a comprehensive analysis of the principles, devices, and emerging materials that have shaped the current landscape of
[...] Read more.
Single-molecule detection (SMD) has reformed analytical science by enabling the direct observation of individual molecular events, thus overcoming the limitations of ensemble-averaged measurements. This review presents a comprehensive analysis of the principles, devices, and emerging materials that have shaped the current landscape of SMD. We explore a wide range of sensing mechanisms, including surface plasmon resonance, mechanochemical transduction, transistor-based sensing, optical microfiber platforms, fluorescence-based techniques, Raman scattering, and recognition tunneling, which offer distinct advantages in terms of label-free operation, ultrasensitivity, and real-time responsiveness. Each technique is critically examined through representative case studies, revealing how innovations in device architecture and signal amplification strategies have collectively pushed the detection limits into the femtomolar to attomolar range. Beyond the sensing principles, this review highlights the transformative role of advanced nanomaterials such as graphene, carbon nanotubes, quantum dots, MnO2 nanosheets, upconversion nanocrystals, and magnetic nanoparticles. These materials enable new transduction pathways and augment the signal strength, specificity, and integration into compact and wearable biosensing platforms. We also detail the multifaceted applications of SMD across biomedical diagnostics, environmental monitoring, food safety, neuroscience, materials science, and quantum technologies, underscoring its relevance to global health, safety, and sustainability. Despite significant progress, the field faces several critical challenges, including signal reproducibility, biocompatibility, fabrication scalability, and data interpretation complexity. To address these barriers, we propose future research directions involving multimodal transduction, AI-assisted signal analytics, surface passivation techniques, and modular system design for field-deployable diagnostics. By providing a cross-disciplinary synthesis of device physics, materials science, and real-world applications, this review offers a comprehensive roadmap for the next generation of SMD technologies, poised to impact both fundamental research and translational healthcare.
Full article
(This article belongs to the Special Issue Polymers-Based Biosensors and Bioelectronics: Designs and Applications)
►▼
Show Figures

Figure 1
Journal Menu
► ▼ Journal Menu-
- Biosensors Home
- Aims & Scope
- Editorial Board
- Reviewer Board
- Topical Advisory Panel
- Instructions for Authors
- Special Issues
- Topics
- Sections & Collections
- Article Processing Charge
- Indexing & Archiving
- Editor’s Choice Articles
- Most Cited & Viewed
- Journal Statistics
- Journal History
- Journal Awards
- Conferences
- Editorial Office
Journal Browser
► ▼ Journal BrowserHighly Accessed Articles
Latest Books
E-Mail Alert
News
Topics
Topic in
Applied Sciences, Biosensors, Designs, Electronics, Materials, Micromachines, Applied Biosciences
Wearable Bioelectronics: The Next Generation of Health Insights
Topic Editors: Shuo Gao, Yu Wu, Wenyu WangDeadline: 31 March 2026
Topic in
Applied Nano, Biosensors, Materials, Nanomaterials, Chemosensors, Applied Biosciences, Laboratories
Applications of Nanomaterials in Biosensing: Current Trends and Future Prospects
Topic Editors: Kundan Sivashanmugan, Xianming KongDeadline: 30 April 2026
Topic in
Analytica, Biosensors, Foods, Molecules, Pharmaceuticals, Separations, Environments, Chemosensors
Innovative Analytical Approaches for Natural Products and Pharmaceuticals in Complex Matrices
Topic Editors: Rosanna Ciriello, Filomena Lelario, Carmen TesoroDeadline: 30 June 2027
Topic in
Biosensors, IJMS, Applied Nano, Biophysica, Nanomaterials
Nanomaterials or Bioreceptors Involved in Biosensing Technologies
Topic Editors: Robert Ziółkowski, Seyed R. TabaeiDeadline: 31 August 2027
Conferences
Special Issues
Special Issue in
Biosensors
Surface-Enhanced Raman Scattering Biosensors—2nd Edition
Guest Editor: Nicoleta Elena DinaDeadline: 30 October 2025
Special Issue in
Biosensors
Recent Advances in Biosensor-Integrated Organ-on-a-Chip Technologies for Diagnostics and Therapeutics
Guest Editors: Giuseppe Maruccio, Yangzhi ZhuDeadline: 31 October 2025
Special Issue in
Biosensors
Emerging Innovative Approaches in Magnetic Sensor Development for Biosensing Applications
Guest Editors: Antonio Hernando Grande, Daniel MatataguiDeadline: 31 October 2025
Special Issue in
Biosensors
Application of Nanocomposites for Biosensors
Guest Editor: Paulo A. Raymundo-PereiraDeadline: 31 October 2025
Topical Collections
Topical Collection in
Biosensors
Microsystems for Cell Cultures
Collection Editors: Iordania Constantinou, Thomas E. Winkler






