Protective Effects of Polysaccharides from Pyropia suborbiculata Against UVB-Induced Photodamage in HaCaT Cells
Abstract
1. Introduction
2. Materials and Methods
2.1. Materials and Reagents
2.2. Preparation of Polysaccharides
2.2.1. Single-Factor Experimental Design
2.2.2. Box–Behnken Design
2.2.3. Extraction of Crude Polysaccharides
2.2.4. In Vitro Antioxidant Activity of PSP
2.2.5. Purification of Crude Polysaccharides
2.3. Compositional Characterization
2.3.1. Molecular Weight Determination
2.3.2. Monosaccharide Composition Analysis
2.3.3. Fourier Transform Infrared Spectroscopy (FT-IR) Analysis
2.3.4. Scanning Electron Microscopy (SEM) Analysis
2.4. UVB Photoprotection Activity Evaluation
2.4.1. Cell Culture
2.4.2. Cytotoxicity of PSP-I and UVB Radiation in HaCaT Cells
2.4.3. Protective Effect of PSP-I on Cell Viability
2.4.4. Determination of Reactive Oxygen Species (ROS), Superoxide Dismutase (SOD), and Glutathione Peroxidase (GSH-Px) Levels
2.4.5. Assessment of Apoptosis
2.4.6. Determination of MMP Levels
2.5. Statistical Analysis
3. Results
3.1. Optimization of Polysaccharide Extraction
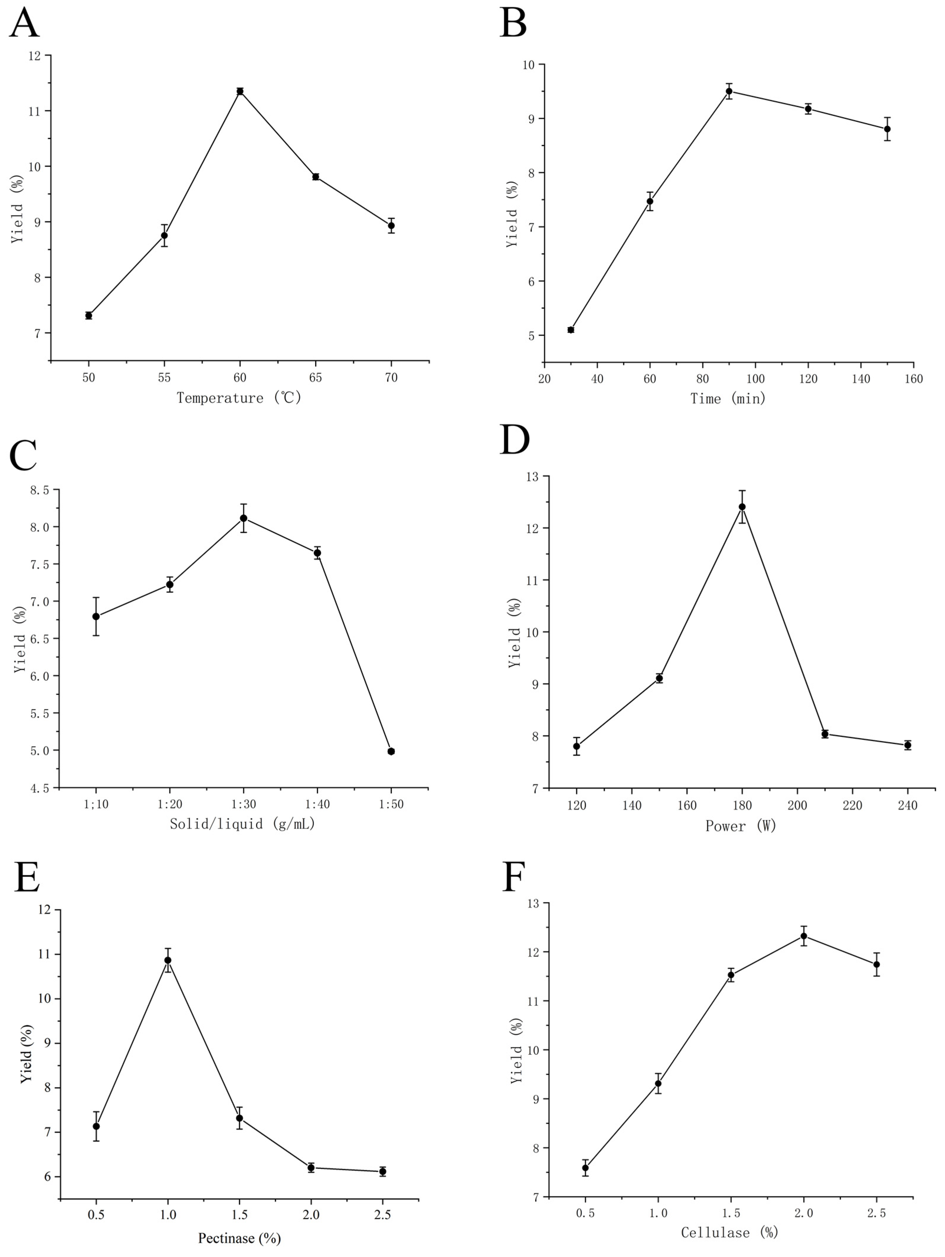
3.1.1. Single-Factor Experiments on Polysaccharide Extraction
3.1.2. Extraction Optimization of Polysaccharides
3.1.3. In Vitro Antioxidant Activity of Crude Polysaccharides
3.2. Purification of Polysaccharides
3.2.1. DEAE Sepharose Fast Flow Anion Exchange Chromatography
3.2.2. Sephadex G-75 Gel Chromatography
3.3. Compositional Characterization of Polysaccharides
3.3.1. Molecular Weight Distribution
3.3.2. Monosaccharide Composition
3.3.3. Fourier Transform Infrared Spectroscopy (FT-IR)
3.3.4. Scanning Electron Microscopy (SEM) Analysis
3.4. Protective Activity of PSP-I Against UVB-Induced Damage
3.4.1. Selection of PSP-I Concentration and UVB Irradiation Dose
3.4.2. Effect of PSP-I on the Viability of UVB-Damaged Cells
3.4.3. Effect of PSP-I on ROS Levels and SOD and GSH-Px Activities in HaCaT Cells
3.4.4. Effect of PSP-I on Apoptosis in HaCaT Cells
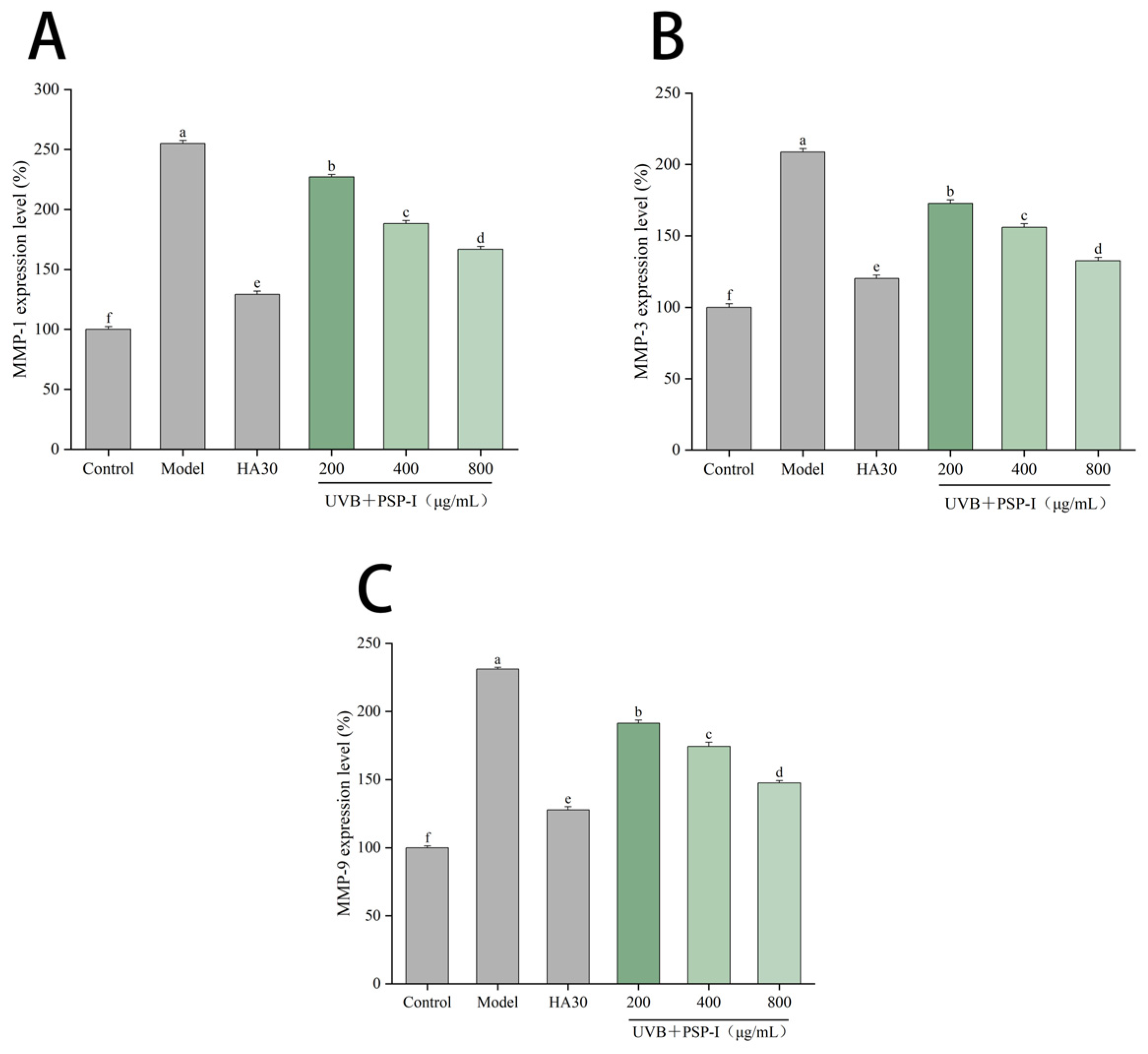
3.4.5. Effect of PSP-I on MMP Expression
4. Discussion
5. Conclusions
Author Contributions
Funding
Institutional Review Board Statement
Informed Consent Statement
Data Availability Statement
Conflicts of Interest
References
- Cheng, W.; Di, F.; Li, L.; Pu, C.; Wang, C.; Zhang, J. Anti-Photodamage Effect of Agaricus Blazei Murill Polysaccharide on UVB-Damaged HaCaT Cells. Int. J. Mol. Sci. 2024, 25, 4676. [Google Scholar] [CrossRef] [PubMed]
- Hao, K.-X.; Zhong, R.-F.; Zhang, J.; Shen, C.-Y.; Xu, X.-L.; Jiang, J.-G. Comparison of Polysaccharides from Stem Barks and Flowers of Magnolia Officinalis: Compositional Characterization, Hypoglycemic and Photoprotection Activities. Int. J. Biol. Macromol. 2024, 283, 137766. [Google Scholar] [CrossRef] [PubMed]
- Sun, Q.; Fang, J.; Wang, Z.; Song, Z.; Geng, J.; Wang, D.; Wang, C.; Li, M. Two Laminaria Japonica Fermentation Broths Alleviate Oxidative Stress and Inflammatory Response Caused by UVB Damage: Photoprotective and Reparative Effects. Mar. Drugs 2022, 20, 100650. [Google Scholar] [CrossRef] [PubMed]
- Park, C.; Park, J.; Kim, W.-J.; Kim, W.; Cheong, H.; Kim, S.-J. Malonic Acid Isolated from Pinus Densiflora Inhibits UVB-Induced Oxidative Stress and Inflammation in HaCaT Keratinocytes. Polymers 2021, 13, 50816. [Google Scholar] [CrossRef]
- Ramachandran, S.; Rajendra Prasad, N.; Karthikeyan, S. Sesamol Inhibits UVB-Induced ROS Generation and Subsequent Oxidative Damage in Cultured Human Skin Dermal Fibroblasts. Arch. Dermatol. Res. 2010, 302, 733–744. [Google Scholar] [CrossRef]
- Kim, H. Protective Effect of Garlic on Cellular Senescence in UVB-Exposed HaCaT Human Keratinocytes. Nutrients 2016, 8, 80464. [Google Scholar] [CrossRef]
- Xu, Y.; Fisher, G.J. Ultraviolet (UV) Light Irradiation Induced Signal Transduction in Skin Photoaging. J. Dermatol. Sci. Suppl. 2005, 1, S1–S8. [Google Scholar] [CrossRef]
- Yao, W.; Chen, X.; Li, X.; Chang, S.; Zhao, M.; You, L. Current Trends in the Anti-Photoaging Activities and Mechanisms of Dietary Non-Starch Polysaccharides from Natural Resources. Crit. Rev. Food Sci. Nutr. 2022, 62, 9021–9035. [Google Scholar] [CrossRef]
- Cheong, K.-L.; Chen, Q.; Aweya, J.J.; Ji, X.L.; Zhong, S.; Tan, K. Trends in Polysaccharide-Based Hydrogels for Skin Anti-Aging and Skin Antioxidant. Int. J. Biol. Macromol. 2025, 319, 145366. [Google Scholar] [CrossRef]
- Figueroa, F.A.; Abdala-Díaz, R.T.; Pérez, C.; Casas-Arrojo, V.; Nesic, A.; Tapia, C.; Durán, C.; Valdes, O.; Parra, C.; Bravo-Arrepol, G.; et al. Sulfated Polysaccharide Extracted from the Green Algae Codium Bernabei: Physicochemical Characterization and Antioxidant, Anticoagulant and Antitumor Activity. Mar. Drugs 2022, 20, 70458. [Google Scholar] [CrossRef]
- Guerreiro, B.M.; Freitas, F.; Lima, J.C.; Silva, J.C.; Reis, M.A.M. Photoprotective Effect of the Fucose-Containing Polysaccharide FucoPol. Carbohydr. Polym. 2021, 259, 117761. [Google Scholar] [CrossRef] [PubMed]
- Wang, M.; Zhang, Y.; Jiao, J.; Pourzand, C.; Yi, L.; Lin, C.; Cui, J.; Zhang, Z.; Zhong, J.L. Bletilla Striata Polysaccharide Protects against UVA-Induced Skin Damage by Activating Nrf2/HO-1 Signaling and Inhibiting Ferroptosis. Carbohydr. Polym. 2025, 370, 124360. [Google Scholar] [CrossRef] [PubMed]
- Gomez-Zavaglia, A.; Prieto Lage, M.A.; Jimenez-Lopez, C.; Mejuto, J.C.; Simal-Gandara, J. The Potential of Seaweeds as a Source of Functional Ingredients of Prebiotic and Antioxidant Value. Antioxidants 2019, 8, 406–436. [Google Scholar] [CrossRef]
- Peng, Z.; Zhong, L.; Li, Y.; Feng, S.; Mou, J.; Miao, Y.; Lin, C.S.K.; Wang, Z.; Li, X. Harnessing Oleaginous Protist Schizochytrium for Docosahexaenoic Acid: Current Technologies in Sustainable Production and Food Applications. Food Res. Int. 2025, 205, 115996. [Google Scholar] [CrossRef]
- Van Doan, H.; Prakash, P.; Hoseinifar, S.H.; Ringø, E.; El-Haroun, E.; Faggio, C.; Olsen, R.E.; Tran, H.Q.; Stejskal, V.; Abdel-Latif, H.M.R.; et al. Marine-Derived Products as Functional Feed Additives in Aquaculture: A Review. Aquac. Rep. 2023, 31, 101679. [Google Scholar] [CrossRef]
- Polamraju, S.M.; Manochkumar, J.; Ganeshbabu, M.; Ramamoorthy, S. Unveiling Astaxanthin: Biotechnological Advances, Delivery Systems and Versatile Applications in Nutraceuticals and Cosmetics. Arch. Microbiol. 2025, 207, 45–85. [Google Scholar] [CrossRef]
- You, L.; Gong, Y.; Li, L.; Hu, X.; Brennan, C.; Kulikouskaya, V. Beneficial Effects of Three Brown Seaweed Polysaccharides on Gut Microbiota and Their Structural Characteristics: An Overview. Int. J. Food Sci. Technol. 2020, 55, 1199–1206. [Google Scholar] [CrossRef]
- Park, H.-B.; Hwang, J.; Zhang, W.; Go, S.; Kim, J.; Choi, I.; You, S.; Jin, J.-O. Polysaccharide from Codium Fragile Induces Anti-Cancer Immunity by Activating Natural Killer Cells. Mar. Drugs 2020, 18, 120626. [Google Scholar] [CrossRef]
- Yan, S.; Pan, C.; Yang, X.; Chen, S.; Qi, B.; Huang, H. Degradation of Codium Cylindricum Polysaccharides by H2O2-Vc-Ultrasonic and H2O2-Fe2+-Ultrasonic Treatment: Structural Characterization and Antioxidant Activity. Int. J. Biol. Macromol. 2021, 182, 129–135. [Google Scholar] [CrossRef]
- Oh, S.; Kim, S.; Jung, K.; Pham, T.N.A.; Yang, S.; Ahn, B. Potential Prebiotic and Anti-Obesity Effects of Codium Fragile Extract. Appl. Sci. 2022, 12, 30959. [Google Scholar] [CrossRef]
- Yan, N.; Ding, H.-C.; Yan, X.-H. Selection and Characterization a New Strain (PS-M4) of Pyropia Suborbiculata with Fast Growth Based on 60Co-γ Ray Irradiation. J. Appl. Phycol. 2024, 36, 2769–2780. [Google Scholar] [CrossRef]
- Gao, D.-H.; Zhang, Y.; Yan, X.-H. Pilot Cultivation of a Long-Type Variety in Pyropia Suborbiculata (Bangiales, Rhodophyta). J. Appl. Phycol. 2025, 37, 3069–3077. [Google Scholar] [CrossRef]
- Tian, S.; Peng, Z.; Zhang, J.; Yan, D.; Liang, J.; Zhao, G.; Zhong, P.; Li, H.; Yang, D.; Zhao, Z. Structural Analysis and Biological Activity of Cell Wall Polysaccharides and Enzyme-Extracted Polysaccharides from Pomelo (Citrus maxima (Burm.) Merr.). Int. J. Biol. Macromol. 2024, 279, 135249. [Google Scholar] [CrossRef] [PubMed]
- Zhang, Y.; Zheng, S.; Si, H.; Liu, Y.; Xie, F.; Wang, X.; Wu, S.; Chen, B.; Zhai, C.; Qiao, Y.; et al. Structure Characterization and Protective Effect against UVB Irradiation of Polysaccharides Isolated from the Peach Gums. Int. J. Biol. Macromol. 2025, 311, 143527. [Google Scholar] [CrossRef]
- Wang, S.; Li, G.; Zhang, X.; Wang, Y.; Qiang, Y.; Wang, B.; Zou, J.; Niu, J.; Wang, Z. Structural Characterization and Antioxidant Activity of Polygonatum sibiricum Polysaccharides. Carbohydr. Polym. 2022, 291, 119524. [Google Scholar] [CrossRef]
- Thambiraj, S.R.; Phillips, M.; Koyyalamudi, S.R.; Reddy, N. Yellow Lupin (Lupinus luteus L.) Polysaccharides: Antioxidant, Immunomodulatory and Prebiotic Activities and Their Structural Characterisation. Food Chem. 2018, 267, 319–328. [Google Scholar] [CrossRef]
- Zhu, Z.; Chen, J.; Chen, Y.; Ma, Y.; Yang, Q.; Fan, Y.; Fu, C.; Limsila, B.; Li, R.; Liao, W. Extraction, Structural Characterization and Antioxidant Activity of Turmeric Polysaccharides. LWT 2022, 154, 112805. [Google Scholar] [CrossRef]
- Li, Y.; Mei, M.; Wang, Q.; Gen, L.; Hao, K.; Zhong, R.; Mo, T.; Jiang, J.; Zhu, W. Structural Characteristics and Anti-Photoaging Effect of Pyracantha fortuneana Fruit Polysaccharides in Vitro and in Vivo. Int. J. Biol. Macromol. 2024, 278, 134123. [Google Scholar] [CrossRef]
- Grcev, S.; Schoenmakers, P.; Iedema, P. Determination of Molecular Weight and Size Distribution and Branching Characteristics of PVAc by Means of Size Exclusion Chromatography/Multi-Angle Laser Light Scattering (SEC/MALLS). Polymer 2004, 45, 39–48. [Google Scholar] [CrossRef]
- Mao, Z.; Yang, L.; Lv, Y.; Chen, Y.; Zhou, M.; Fang, C.; Zhu, B.; Zhou, F.; Ding, Z. A Glucuronogalactomannan Isolated from Tetrastigma Hemsleyanum Diels et Gilg: Structure and Immunomodulatory Activity. Carbohydr. Polym. 2024, 333, 121922. [Google Scholar] [CrossRef]
- Liu, K.; Zhao, C.; Zhang, K.; Yang, X.; Feng, R.; Zong, Y.; He, Z.; Zhao, Y.; Du, R. Pilose Antler Protein Relieves UVB-Induced HaCaT Cells and Skin Damage. Molecules 2024, 29, 4060. [Google Scholar] [CrossRef] [PubMed]
- Jayawardena, T.U.; Wang, L.; Sanjeewa, K.K.A.; Kang, S.I.; Lee, J.-S.; Jeon, Y.-J. Antioxidant Potential of Sulfated Polysaccharides from Padina Boryana; Protective Effect against Oxidative Stress in In Vitro and In Vivo Zebrafish Model. Mar. Drugs 2020, 18, 212. [Google Scholar] [CrossRef] [PubMed]
- Wang, L.; Jayawardena, T.U.; Kim, Y.-S.; Wang, K.; Fu, X.; Ahn, G.; Cha, S.-H.; Kim, J.G.; Lee, J.S.; Jeon, Y.-J. Anti-Melanogenesis and Anti-Photoaging Effects of the Sulfated Polysaccharides Isolated from the Brown Seaweed Padina boryana. Polymers 2023, 15, 3382. [Google Scholar] [CrossRef]
- Li, X.; Wang, J.; Huang, G.; Jia, Z.; Xu, M.; Chen, W. Ultrasonic-Assisted Extraction of Polysaccharides from Schizochytrium limacinum Meal Using Eutectic Solvents: Structural Characterization and Antioxidant Activity. Foods 2025, 14, 1901. [Google Scholar] [CrossRef]
- Maran, J.P.; Swathi, K.; Jeevitha, P.; Jayalakshmi, J.; Ashvini, G. Microwave-Assisted Extraction of Pectic Polysaccharide from Waste Mango Peel. Carbohydr. Polym. 2015, 123, 67–71. [Google Scholar] [CrossRef]
- Thirugnanasambandham, K.; Sivakumar, V.; Maran, J.P. Microwave-Assisted Extraction of Polysaccharides from Mulberry Leaves. Int. J. Biol. Macromol. 2015, 72, 1–5. [Google Scholar] [CrossRef]
- Fishman, M.L.; Chau, H.K.; Cooke, P.H.; Yadav, M.P.; Hotchkiss, A.T. Physico-Chemical Characterization of Alkaline Soluble Polysaccharides from Sugar Beet Pulp. Food Hydrocoll. 2009, 23, 1554–1562. [Google Scholar] [CrossRef]
- Zhang, X.; Shi, C.; Wang, Z.; Dai, J.; Guan, C.; Sheng, J.; Tao, L.; Tian, Y. Separation, Purification, Structural Characterization, and In Vitro Hypoglycemic Activity of Polysaccharides from Panax notoginseng Leaves. Molecules 2025, 30, 40830. [Google Scholar] [CrossRef]
- Qin, X.; Nong, K.; Liu, Z.; Fang, X.; Zhang, B.; Chen, W.; Wang, Z.; Wu, Y.; Shi, H.; Wang, X.; et al. Regulation of the Intestinal Flora Using Polysaccharides from Callicarpa nudiflora Hook to Alleviate Ulcerative Colitis and the Molecular Mechanisms Involved. Int. J. Biol. Macromol. 2024, 258, 128887. [Google Scholar] [CrossRef]
- Li, X.; Su, Q.; Xue, J.; Wei, S. Mechanisms, Structure-Activity Relationships, and Skin Applications of Natural Polysaccharides in Anti-Aging: A Review. Int. J. Biol. Macromol. 2025, 310, 143320. [Google Scholar] [CrossRef]
- Wang, X.; Zhao, X.; Lv, Y.; Hu, M.; Fan, L.; Li, Q.; Cai, C.; Li, G.; Yu, G. Extraction, Isolation and Structural Characterization of a Novel Polysaccharide from Cyclocarya paliurus. Int. J. Biol. Macromol. 2019, 132, 864–870. [Google Scholar] [CrossRef] [PubMed]
- Chen, W.; Zhu, X.; Ma, J.; Zhang, M.; Wu, H. Structural Elucidation of a Novel Pectin-Polysaccharide from the Petal of Saussurea laniceps and the Mechanism of Its Anti-HBV Activity. Carbohydr. Polym. 2019, 223, 115077. [Google Scholar] [CrossRef] [PubMed]
- Huang, L.; Zhao, J.; Wei, Y.; Yu, G.; Li, F.; Li, Q. Structural Characterization and Mechanisms of Macrophage Immunomodulatory Activity of a Pectic Polysaccharide from Cucurbita moschata Duch. Carbohydr. Polym. 2021, 269, 118288. [Google Scholar] [CrossRef] [PubMed]
- Teng, C.; Liu, J.; Li, S.; Ma, K.; Xu, L.; Feng, J.; Chai, Z.; Hu, X.; Lu, Y.; Li, Y. Structural Characterization, Physicochemical Properties and Hypoglycemic Activity of Soluble Dietary Fibers from Salt Stressed Mung Bean Sprouts. Int. J. Biol. Macromol. 2024, 278, 134979. [Google Scholar] [CrossRef]
- Long, Y.; Wang, W.; Zhang, Y.; Du, F.; Zhang, S.; Li, Z.; Deng, J.; Li, J. Photoprotective Effects of Dendrobium Nobile Lindl. Polysaccharides against UVB-Induced Oxidative Stress and Apoptosis in HaCaT Cells. Int. J. Mol. Sci. 2023, 24, 6120. [Google Scholar] [CrossRef]
- Ahn, G.; Lee, W.; Kim, K.-N.; Lee, J.-H.; Heo, S.-J.; Kang, N.; Lee, S.-H.; Ahn, C.-B.; Jeon, Y.-J. A Sulfated Polysaccharide of Ecklonia Cava Inhibits the Growth of Colon Cancer Cells by Inducing Apoptosis. EXCLI J. 2015, 14, 294–306. [Google Scholar] [CrossRef]
- Albuquerque, P.B.S.; De Oliveira, W.F.; Dos Santos Silva, P.M.; Dos Santos Correia, M.T.; Kennedy, J.F.; Coelho, L.C.B.B. Skincare Application of Medicinal Plant Polysaccharides—A Review. Carbohydr. Polym. 2022, 277, 118824. [Google Scholar] [CrossRef]
- Khan, B.M.; Qiu, H.-M.; Xu, S.-Y.; Liu, Y.; Cheong, K.-L. Physicochemical Characterization and Antioxidant Activity of Sulphated Polysaccharides Derived from Porphyra Haitanensis. Int. J. Biol. Macromol. 2020, 145, 1155–1161. [Google Scholar] [CrossRef]
- Isaka, S.; Cho, K.; Nakazono, S.; Abu, R.; Ueno, M.; Kim, D.; Oda, T. Antioxidant and Anti-Inflammatory Activities of Porphyran Isolated from Discolored Nori (Porphyra yezoensis). Int. J. Biol. Macromol. 2015, 74, 68–75. [Google Scholar] [CrossRef]
- Li, J.; Chen, Z.; Shi, H.; Yu, J.; Huang, G.; Huang, H. Ultrasound-Assisted Extraction and Properties of Polysaccharide from Ginkgo Biloba Leaves. Ultrason. Sonochemistry 2023, 93, 106295. [Google Scholar] [CrossRef]
- Brandner, J.; Zorn-Kruppa, M.; Yoshida, T.; Moll, I.; Beck, L.; De Benedetto, A. Epidermal Tight Junctions in Health and Disease. Tissue Barriers 2015, 3, e974451. [Google Scholar] [CrossRef]
- Dai, J.; Ma, H.; Fan, J.; Li, Y.; Wang, J.; Ni, H.; Xia, G.; Chen, S. Crude Polysaccharide from an Anti-UVB Cell Clone of Bupleurum Scorzonerifolium Protect HaCaT Cells against UVB-Induced Oxidative Stress. Cytotechnology 2011, 63, 599–607. [Google Scholar] [CrossRef] [PubMed]
- Black, A.T.; Gray, J.P.; Shakarjian, M.P.; Laskin, D.L.; Heck, D.E.; Laskin, J.D. Distinct Effects of Ultraviolet B Light on Antioxidant Expression in Undifferentiated and Differentiated Mouse Keratinocytes. Carcinogenesis 2007, 29, 219–225. [Google Scholar] [CrossRef] [PubMed][Green Version]
- Sitailo, L.A.; Tibudan, S.S.; Denning, M.F. Activation of Caspase-9 Is Required for UV-Induced Apoptosis of Human Keratinocytes. J. Biol. Chem. 2002, 277, 19346–19352. [Google Scholar] [CrossRef] [PubMed]
- Redza-Dutordoir, M.; Averill-Bates, D.A. Activation of Apoptosis Signalling Pathways by Reactive Oxygen Species. Biochim. Biophys. Acta (BBA) Mol. Cell Res. 2016, 1863, 2977–2992. [Google Scholar] [CrossRef]
- Rittie, L. UV-Light-Induced Signal Cascades and Skin Aging. Ageing Res. Rev. 2002, 1, 705–720. [Google Scholar] [CrossRef]
- Fisher, G.J.; Quan, T.; Purohit, T.; Shao, Y.; Cho, M.K.; He, T.; Varani, J.; Kang, S.; Voorhees, J.J. Collagen Fragmentation Promotes Oxidative Stress and Elevates Matrix Metalloproteinase-1 in Fibroblasts in Aged Human Skin. Am. J. Pathol. 2009, 174, 101–114. [Google Scholar] [CrossRef]
- Kolender, A.A.; Matulewicz, M.C. Sulfated Polysaccharides from the Red Seaweed Georgiella confluens. Carbohydr. Res. 2002, 337, 57–68. [Google Scholar] [CrossRef]
- Yang, L.; Hou, H.; Yan, H.; Deng, H.; Guan, B.; Chen, H. Molecular Mechanism and Structure-Activity Relationships of Natural Source Polysaccharides in Intervening Type 2 Diabetes Mellitus through Antioxidant Effects: A Systematic Review. Carbohydr. Polym. 2026, 377, 124830. [Google Scholar] [CrossRef] [PubMed]
- Akash, G.H.; Mutturi, S.; Harish Prashanth, K.V.; Mazumder, K.; Baskaran, R. Structural and Rheological Properties of Polysaccharide from Sida cordata Leaves for Bio-Functional Food Applications. Int. J. Biol. Macromol. 2025, 332, 148506. [Google Scholar] [CrossRef] [PubMed]
- Liu, Q.; Deng, J.; Liu, T.; Liu, J.; Zhou, B.; Ren, J. Preparation, Structural Characterization and Biological Activities Evaluation of Non-Carboxymethylated Water-Soluble Polysaccharides Derived from Monascus-Fermented Poria Cocos. Int. J. Biol. Macromol. 2025, 333, 148828. [Google Scholar] [CrossRef] [PubMed]
- Wu, B.; Zhu, Y.; Liu, Y.; Wang, Y.; Dong, Y.; Chen, J.; Zhong, T. Study on the Structural Characterization of Premna microphylla Turcz Polysaccharides and Their Improvement Effect on the Properties of Chitosan Composite Gel. Int. J. Biol. Macromol. 2025, 308, 143015. [Google Scholar] [CrossRef]
- Wu, Y.-T.; Huo, Y.-F.; Xu, L.; Xu, Y.-Y.; Wang, X.-L.; Zhou, T. Purification, Characterization and Antioxidant Activity of Polysaccharides from Porphyra yezoensis. Int. J. Biol. Macromol. 2020, 165, 2116–2125. [Google Scholar] [CrossRef]
- Huang, L.-H.; Liu, H.; Chen, J.-Y.; Sun, X.-Y.; Yao, Z.; Han, J.; Ouyang, J.-M. Seaweed Porphyra yezoensis Polysaccharides with Different Molecular Weights Inhibit Hydroxyapatite Damage and Osteoblast Differentiation of A7R5 Cells. Food Funct. 2020, 11, 3393–3409. [Google Scholar] [CrossRef]
- Zhou, C.; Yu, X.; Zhang, Y.; He, R.; Ma, H. Ultrasonic Degradation, Purification and Analysis of Structure and Antioxidant Activity of Polysaccharide from Porphyra yezoensis Udea. Carbohydr. Polym. 2012, 87, 2046–2051. [Google Scholar] [CrossRef]
- Ji, C.; Long, X.; Wang, J.; Qi, B.; Cao, Y.; Hu, X. Rheological Behavior, Textural Properties, and Antioxidant Activity of Porphyra yezoensis Polysaccharide. Molecules 2025, 30, 40882. [Google Scholar] [CrossRef]
- Teng, C.; Li, S.; Xu, L.; Ma, K.; Lu, Y.; Feng, J.; Chai, Z.; Hu, X.; Zhou, W.; Li, Y. Structural Characterization, Physicochemical Properties and Hypoglycemic Activity of Sulfated Polysaccharides from Porphyra yezoensis. Food Biosci. 2024, 62, 105163. [Google Scholar] [CrossRef]
- Wang, H.; Luan, F.; Shi, Y.; Yan, S.; Xin, B.; Zhang, X.; Guo, D.; Sun, J.; Zou, J. Extraction, Structural Features, and Pharmacological Effects of the Polysaccharides from Porphyra yezoensis: A Review. Int. J. Biol. Macromol. 2024, 279, 134745. [Google Scholar] [CrossRef]










| Encodings | A (Power, W) | B (Temperature, °C) | C (Cellulase, %) | D (Pectinase, %) |
|---|---|---|---|---|
| −1 | 150 | 55 | 1 | 0.5 |
| 0 | 180 | 60 | 1.5 | 1 |
| 1 | 210 | 65 | 2 | 1.5 |
| Run | Power (W) | Temperature (°C) | Cellulase (%) | Pectinase (%) | Yield (%) |
|---|---|---|---|---|---|
| 1 | 150 | 60 | 1 | 1 | 7.985 |
| 2 | 210 | 65 | 1.5 | 1 | 8.296 |
| 3 | 180 | 65 | 2 | 1 | 10.044 |
| 4 | 180 | 55 | 1.5 | 0.5 | 8.524 |
| 5 | 180 | 65 | 1.5 | 1.5 | 8.656 |
| 6 | 150 | 60 | 1.5 | 1.5 | 8.204 |
| 7 | 180 | 60 | 1 | 1.5 | 9.343 |
| 8 | 150 | 60 | 1.5 | 0.5 | 7.821 |
| 9 | 180 | 55 | 2 | 1 | 9.201 |
| 10 | 180 | 60 | 1.5 | 1 | 12.547 |
| 11 | 180 | 65 | 1.5 | 0.5 | 8.085 |
| 12 | 180 | 60 | 1.5 | 1 | 11.845 |
| 13 | 210 | 60 | 1.5 | 0.5 | 8.832 |
| 14 | 180 | 60 | 2 | 1.5 | 10.832 |
| 15 | 180 | 60 | 2 | 0.5 | 10.598 |
| 16 | 150 | 60 | 2 | 1 | 8.986 |
| 17 | 180 | 55 | 1.5 | 1.5 | 7.236 |
| 18 | 180 | 60 | 1.5 | 1 | 12.312 |
| 19 | 180 | 65 | 1 | 1 | 8.469 |
| 20 | 150 | 55 | 1.5 | 1 | 7.812 |
| 21 | 210 | 60 | 1.5 | 1.5 | 8.84 |
| 22 | 210 | 60 | 1 | 1 | 9.256 |
| 23 | 180 | 55 | 1 | 1 | 8.943 |
| 24 | 180 | 60 | 1.5 | 1 | 11.975 |
| 25 | 210 | 55 | 1.5 | 1 | 8.045 |
| 26 | 210 | 60 | 2 | 1 | 10.802 |
| 27 | 150 | 65 | 1.5 | 1 | 7.797 |
| 28 | 180 | 60 | 1.5 | 1 | 12.198 |
| 29 | 180 | 60 | 1 | 0.5 | 9.429 |
| Source | Sum of Squares | Mean Square | F-Value | p-Value | |
|---|---|---|---|---|---|
| Model | 66.63 | 4.76 | 36.82 | <0.0001 | Significant |
| A-Power | 2.49 | 2.49 | 19.26 | 0.0006 | ** |
| B-Temperature | 0.2096 | 0.2096 | 1.62 | 0.2236 | |
| C-Cellulase | 4.13 | 4.13 | 31.94 | <0.0001 | ** |
| D-Pectinase | 0.0026 | 0.0026 | 0.0204 | 0.8884 | |
| AB | 0.0177 | 0.0177 | 0.1369 | 0.7170 | |
| AC | 0.0743 | 0.0743 | 0.5745 | 0.4610 | |
| AD | 0.0352 | 0.0352 | 0.2720 | 0.6101 | |
| BC | 0.4336 | 0.4336 | 3.35 | 0.0884 | |
| BD | 0.8064 | 0.8064 | 6.68 | 0.0216 | * |
| CD | 0.0256 | 0.0256 | 0.1981 | 0.6631 | |
| A2 | 28.28 | 28.28 | 218.80 | <0.0001 | ** |
| B2 | 33.84 | 33.84 | 261.81 | <0.0001 | ** |
| C2 | 3.06 | 3.06 | 23.65 | 0.0003 | ** |
| D2 | 17.08 | 17.08 | 132.12 | <0.0001 | ** |
| Residual | 1.81 | 0.1293 | |||
| Lack of fit | 1.50 | 0.1503 | 1.96 | 0.2699 | not significant |
| Pure error | 0.3066 | 0.0766 | |||
| Cor total | 68.44 |
Disclaimer/Publisher’s Note: The statements, opinions and data contained in all publications are solely those of the individual author(s) and contributor(s) and not of MDPI and/or the editor(s). MDPI and/or the editor(s) disclaim responsibility for any injury to people or property resulting from any ideas, methods, instructions or products referred to in the content. |
© 2026 by the authors. Licensee MDPI, Basel, Switzerland. This article is an open access article distributed under the terms and conditions of the Creative Commons Attribution (CC BY) license.
Share and Cite
Chen, K.; Ding, H.; Zhong, J.; Zhou, Q.; Li, Y.; Zhang, L.; Sun, Q.; Peng, Y.; Wu, W.; Wang, X.; et al. Protective Effects of Polysaccharides from Pyropia suborbiculata Against UVB-Induced Photodamage in HaCaT Cells. Foods 2026, 15, 1292. https://doi.org/10.3390/foods15081292
Chen K, Ding H, Zhong J, Zhou Q, Li Y, Zhang L, Sun Q, Peng Y, Wu W, Wang X, et al. Protective Effects of Polysaccharides from Pyropia suborbiculata Against UVB-Induced Photodamage in HaCaT Cells. Foods. 2026; 15(8):1292. https://doi.org/10.3390/foods15081292
Chicago/Turabian StyleChen, Kaiyue, Hongchang Ding, Jiawei Zhong, Qinwen Zhou, Yujia Li, Long Zhang, Quancai Sun, Ye Peng, Wenhui Wu, Xichang Wang, and et al. 2026. "Protective Effects of Polysaccharides from Pyropia suborbiculata Against UVB-Induced Photodamage in HaCaT Cells" Foods 15, no. 8: 1292. https://doi.org/10.3390/foods15081292
APA StyleChen, K., Ding, H., Zhong, J., Zhou, Q., Li, Y., Zhang, L., Sun, Q., Peng, Y., Wu, W., Wang, X., & Wu, W. (2026). Protective Effects of Polysaccharides from Pyropia suborbiculata Against UVB-Induced Photodamage in HaCaT Cells. Foods, 15(8), 1292. https://doi.org/10.3390/foods15081292

