- Article
Portable MOS Electronic Nose Screening of Virgin Olive Oils with HS-SPME-GC–MS Corroboration: Classification and Estimation of Sunflower-Oil Adulteration
- Ramiro Sánchez,
- Fernando Díaz and
- Lina Melo
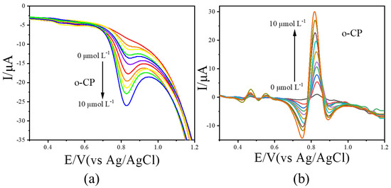
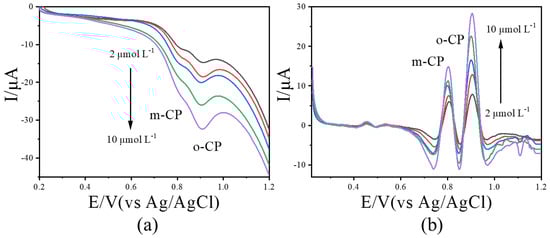
Extra virgin olive oil (EVOO) can degrade during production or storage to virgin olive oil (VOO) or lampante olive oil (LOO). Fraud can also occur during commercialisation through the adulteration of EVOO (Ad-EVOO) with cheaper sunflower oil (SFO). T...

