Abstract
We synthesized emeraldine salts of poly(aniline-co-aniline-2-sulfonic acid) capped with camphorsulfonic acid (CSA), forming spherical nanoparticles (NPs), i.e., CSA-capped P(ANi-co-ASNi), and demonstrated their efficacy as gas sensor elements. The synthesized core–shell spherical NPs, averaging 265 nm in diameter, feature a CSA shell with a porous thin-film morphology, characterized by the uneven distribution of fine particulate domains across the outer surface of the positively charged P(ANi-co-ASNi) cores. This uniquely heterogeneous shell architecture facilitates stable charge transport at the core–shell interface, enhances resistance to ambient humidity, and promotes efficient interaction with organic gas molecules. The CSA-capped P(ANi-co-ASNi) sensors reliably detected low concentrations of acetone (1–5 ppm) and water vapor (1–28% RH) under ambient conditions. Furthermore, the sensors exhibited superior stability across varying temperature, humidity, and cyclic performance, outperforming conventional pure PANiNi.
1. Introduction
Polyaniline (PANi) is one of the most promising π-conjugated conductive polymers because of its remarkable attributes, such as enhanced conductivity, robust environmental stability, ease of doping, and conductivity control, and a wide array of color changes corresponding to various oxidation levels [1,2,3,4,5]. PANi, known for its ability to dynamically and reversibly respond to environmental and external stimuli, has recently garnered significant attention. Moreover, its practical applications across various fields—including the synthesis of hollow micro-/nanostructures [6], chemical sensors [7], energy conversion technologies such as lithium–sulfur batteries [8,9], and ionic actuators [10]—have further elevated its prominence. In particular, PANi-based electrochemical sensors have garnered considerable attention as highly promising materials for gas detection due to their dynamic resistance modulation when exposed to reducing or oxidizing harmful gases. Through chemical doping, charge carriers are introduced into the π-conjugated polymer backbone, influencing electrical conductivity. For instance, when a positively charged, doped PANi-based sensor is exposed to an oxidizing gas, its resistance increases in direct proportion to the concentration of the adsorbed gas. Conversely, upon adsorption of reducing components such as ammonia, the resistance also exhibits a measurable increase. Furthermore, PANi demonstrates intrinsic redox activity, as it facilitates the addition or removal of electrons within its π-conjugated polymer backbone through doping or de-doping processes involving dopants or oxidizing/reducing gaseous species. Regardless, PANi has been widely regarded as a highly promising material for chemical sensing applications, particularly in the detection of various gases such as ammonia (NH3) [11], acetone (C3H6O) [11], hydrogen (H2) [12], carbon dioxide (CO2) [13], and gaseous H2O [14]. Its electrical resistance undergoes significant modulation upon exposure to acidic or basic hazardous gases, making it an exceptionally responsive and adaptable sensing medium. PANi-based sensors possess several advantageous properties for gas detection, as demonstrated by numerous studies [15,16]. Nevertheless, overcoming several key challenges is essential to attaining the performance standards necessary for their effective deployment in real-world applications. Firstly, the sensor must demonstrate stable and efficient operation at ambient or low temperatures, ensuring precise detection of target gas species while minimizing cross-sensitivity to interfering compounds. Secondly, the advancement of sensing materials with exceptional resilience to humidity fluctuations is paramount to sustaining long-term operational reliability and accuracy. Thirdly, the sensor should exhibit superior selectivity for specific gaseous constituents, achieving highly sensitive detection capabilities even at concentrations as low as 1 ppm.
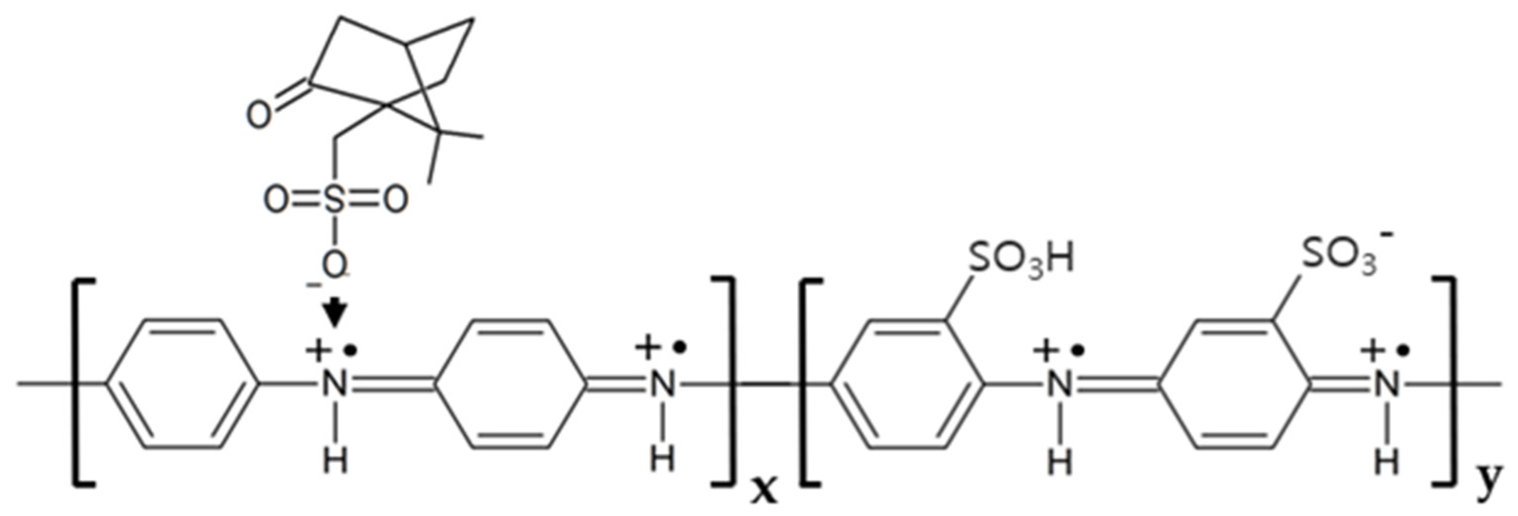
Many studies have been conducted on materials capable of achieving high sensitivity while ensuring moisture stability and maintaining detection at room temperature [17,18,19,20]. Zhang et al. [20] developed an acetone sensor based on a ZnO/S-N graphite quantum dot/PANi composite, which was capable of detecting acetone gas at concentrations as low as 500 ppb at room temperature. Similarly, our research group previously developed an acetone gas sensor based on PANi nanoparticles (NPs) as part of an earlier study. However, the sensor has the challenge of achieving stable performance under variations in temperature, humidity, and repeated cycle evaluations [21]. To mitigate the aforementioned challenges, we designed spherical nanoparticles (NPs) composed of poly (aniline-co-aniline-2-sulfonic acid), capped with camphorsulfonic acid (CSA), herein referred to as CSA-capped P(ANi-co-ASNi), as shown in Figure 1. These engineered NPs, synthesized as emeraldine salts of CSA-capped P(ANi-co-ASNi), were specifically designed for acetone and H2O vapor sensing applications. The copolymer consists of equimolar amounts of aniline (ANi) and aniline-2-sulfonic acid (ASNi) monomers, with a sulfonic acid (-SO3H) group substituted at the 2-carbon position. This -SO3H group functions as a dopant, forming a self-doped conductive polymer known as poly(aniline-2-sulfonic) (PASNi), which facilitates charge carrier generation through direct electron donation to the π-conjugated backbone. The CSA layer, heterogeneously distributed as nanoscale domains on the P(ANi-co-ASNi) NPs surface, induces partial core exposure and forms functional microvoids that facilitate selective vapor diffusion. Its chemical inertness and structural stability enable it to act as an interfacial modulator, enhancing sensor sensitivity and reproducibility. This configuration enhances sensitivity, selectivity, and environmental stability by maintaining consistent electrical resistance and minimizing humidity-induced fluctuations. As a result, the CSA-capped P(ANi-co-ASNi) sensors reliably detected low concentrations of acetone (1–5 ppm) and water vapor (1–28% RH) under ambient conditions. While pure PANI is well known for its high selectivity to NH3, SPANi exhibits distinct sensing behavior due to its sulfonic acid groups. NH3 detection using SPANi alone has been rarely reported, and our preliminary tests showed a detectable response but poor recovery. Therefore, we focused on acetone sensing, where SPANi demonstrated both high sensitivity and stable reversibility.
Figure 1.
Schematic molecular structure of poly(aniline-co-aniline-2-sulfonic acid) capped with CSA; CSA-capped P(ANi-co-ASNi). The variables x and y indicate a 1:1 molar ratio between ANi and ASNi.
2. Experimental and Methods
2.1. Materials
Aniline (ANi, 99.0%), aniline-2-sulfonic acid (ASNi, 99.5%), hydroxypropyl methyl cellulose (HPMC), ammonium persulfate (APS, 98%), and camphorsulfonic acid (CSA) were purchased from Sigma-Aldrich (St. Louis, MO, USA). Hydrochloric acid (HCl, 35%) was obtained from Samchun (Seoul, Republic of Korea). High purity acetone gas with a concentration of 5 ppm was purchased from DK gas (Seoul, Republic of Korea).
2.2. Synthesis of CSA-Doped P(ANi-co-ASNi) Spherical NPs
CSA-capped P(ANi-co-ASNi) spherical NPs were synthesized via chemical oxidative polymerization using a 1:1 molar ratio of aniline (ANi) to sulfonated aniline (ASNi). First, 1.267 g of HPMC was dissolved in 20 mL of deionized (DI) water and stirred at room temperature for 30 min to prepare solution A. Separately, 200 μL each of ANi and ASNi monomers (total 0.39 g) were mixed in a 50 mL flask and stirred vigorously at 50 °C for 1 h to obtain solution B. Solution B was added to solution A, and the mixture was stirred at 0–5 °C for 30 min. Then, 4 mL of 1 M HCl was added and stirred for an additional 10 min. A solution of ammonium persulfate (APS, 0.96 g in 5 mL DI water) was introduced dropwise to initiate polymerization. The reaction was allowed to proceed without stirring at 0 °C for 96 h. During the reaction, the solution color transitioned from dark yellow to blue (within 30 min), then to dark green (after another 30 min), and finally stabilized as green. The resulting nanoparticles were collected by centrifugation, washed, and re-dispersed in 10 mL DI water. To neutralize residual chloride ions and convert the emeraldine salt form of PANi to its base form, 25 μL of 1 M sodium hydroxide (NaOH) was added dropwise, followed by stirring at room temperature for 30 min. Subsequently, 50 μL of 1 M CSA solution was added, and the mixture was stirred for over 12 h. The final product was purified and re-dispersed in water or alcohol to obtain a stable suspension of CSA-capped P(ANi-co-ASNi) spherical nanoparticles.
2.3. Synthesis of CSA-Capped P(ANi-co-ASNi) NPs with Varying Molar Ratios
To investigate the effect of monomer ratio on nanoparticle formation, a series of CSA-capped P(ANi-co-ASNi) nanoparticles were synthesized with varying ANi-to-ASNi molar ratios. CSA-capped P(ANi-co-ASNi) spherical NPs, with ANi-to-ASNi molar ratios of 0.8:0.2, 0.7:0.3, 0.6:0.4, and 0.5:0.5, were also synthesized by adjusting the amounts of ANi and ASNi monomers to match the respective molar ratios. All other conditions remained consistent with those previously described. Additionally, CSA-capped P(ANi-co-ASNi) spherical particles with an ANi-to-ASNi molar ratio of 1:0, i.e., pure CSA-capped PANi, were also synthesized using only 400 μL of the ANi monomer.
2.4. Measurements and Gas Detection Performance Evaluations
Initially, the prepared ink solutions of CSA-capped P(ANi-co-ASNi) spherical NPs were directly applied to a custom-made test substrate (test electrode cell: a silicon or polyimide (PI) substrate with a pair of gold interdigitated microelectrodes (IDE) through drop-casting. The sensor IDE cell has dimensions of 4 mm x 8 mm, with a line width of 0.18 mm and an inter-electrode spacing of 0.64 mm. The coated substrate was subsequently dried in a vacuum oven at 80 °C for 1 h under an inert atmosphere to facilitate solvent evaporation. Next, the CSA-capped P(ANi-co-ASNi) spherical NPs sensor devices were installed within a gas chamber equipped with an electrical feed through and gas inlet and outlet ports. To ensure a dry and impurity-free environment, the chamber was purged with pure nitrogen (N2) gas for 20 min before testing. Figure 2 presents the schematic representation of a gas chamber and measurement system and electrode architecture, which is based on CSA-capped P(ANi-co-ASNi) spherical NPs.
Figure 2.
Sensor cell and measurement setup using CSA-capped P(ANi-co-ASNi) spherical particles. (a) Optical micrograph of the IDE sensor cell (dimensions: 4 mm × 8 mm; line width: 0.18 mm; electrode spacing: 0.64 mm). (b) Cross-sectional schematic of the sensor electrode structure. (c) Dynamic response curve illustrating gas detection and recovery behavior.
Acetone gas at concentrations ranging from 1 to 5 ppm was prepared by blending dry air (0% relative humidity) with a 5ppm acetone stream using a mass flow controller. Target concentrations were achieved by adjusting the flow rates of the component gases. For example, 1 ppm acetone was generated by mixing 5 ppm acetone at 40 sccm with dry air at 160 sccm; similarly, 2 ppm at 80 sccm and 120 sccm, 3 ppm at 120 sccm and 80 sccm, and 4 ppm at 160 sccm and 40 sccm. A total of 5 ppm acetone was injected at a flow rate of 200 sccm as pure 5 ppm acetone gas without any mixture. To achieve a relative humidity (RH) between 1% and 5%, high-purity nitrogen gas was bubbled through ultrapure water to produce saturated water vapor (100% RH). This water vapor was then mixed with dry nitrogen gas at controlled flow rates (sccm) to adjust the humidity level. The RH was continuously monitored using a calibrated hygrometer, and the system was allowed to stabilize before each measurement. Real-time resistance measurements were performed using a current-source meter (Keithley 2000, Keithley Co., Cleveland, OH, USA) under a constant DC voltage of 2 V at room temperature. The morphology, microstructure, and electronic absorption characteristics of the CSA-capped P(ANi-co-ASNi) spherical nanoparticles were analyzed using scanning electron microscopy (SEM, JSM-633F, Jeol), Fourier transform Raman spectroscopy (Renishaw InVia Microscope, Renishaw, Wotton-under-Edge, UK), and standard four-probe conductivity measurements (Loresta, Mitsubishi Chemical, Chiyoda, Japan), respectively.
3. Results and Discussion
The overall synthesis procedure for CSA-capped P(ANi-co-ASNi) spherical NPs, using micelle polymerization with the HPMC surfactant in an aqueous solution, is depicted in Scheme 1. As shown in Scheme 1, the process began with dissolving HPMC, a surfactant essential for micelle formation, in DI water to prepare an aqueous solution. Subsequently, ANi and ASNi, substituted with a sulfonic acid (-SO3H) group at the 2-carbon position, were added in equal molar amounts to the solution, and HCl was introduced into the previously prepared solution. During this step, the co-monomer comprising ANi and ASNi was protonated into positively charged anilinium ions (-NH3+) via HCl. In succession, the polymerization of the co-monomer was triggered by the addition of APS, as an oxidizing agent. Afterwards, the impure ion products were neutralized and eliminated using NaOH solution, resulting in the spherical NPs of blue-colored emeraldine base structure. Finally, CSA was used for re-doping, resulting in a green-colored emeraldine salts structure-based electrically conductive NPs, as shown in the Scheme 1. As depicted in Scheme 1, this process yielded green P(ANi-co-ASNi) spherical NPs with an average diameter of 265 nm. These NPs were chemically capped with CSA, introducing sulfonic acid groups on the outer surface of the positively charged P(ANi-co-ASNi) chains. The P(ANi-co-ASNi) copolymer exhibits p-type semiconducting behavior, attributed to NH+ sites within its backbone that interact with polar molecules such as acetone and H2O via a hydrogen bonding and electrostatic forces. The CSA layer, deposited on the positively charged core, forms a porous thin film with irregularly distributed particulate domains, inducing a doping effect that enhances conductivity while serving as a protective barrier. These structural features facilitate stable adsorption and selective gas detection through both physical and chemical interactions, consistent with prior PANi-based systems [22,23]. Acetone vapor weakly interacts with NH+ sites via its carbonyl group, reducing local charge density and increasing resistance due to limited hydrogen bonding and steric hindrance. In contrast, H2O molecules form stronger hydrogen bonds and act as weak acids, increasing carrier density and lowering resistance. Notably, CSA-free nanoparticles showed ~30% higher reactivity, indicating that while CSA improves structural stability, it may attenuate gas responsiveness. The adsorption or permeation of acetone and H2O through the CSA layer enables interaction with the P(ANi-co-ASNi) chains, providing a plausible mechanism for the observed sensing behavior.
Scheme 1.
Synthetic procedure for CSA-capped P(ANi-co-ASNi) spherical particles, along with their schematic structure and SEM image.
Figure 3 presents SEM images of the P(ANi-co-ASNi) NPs before and after CSA capping. Both uncapped and CSA-capped NPs exhibit well-defined spherical morphologies, with average diameters of approximately 235 nm and 265 nm, respectively. The observed increase in particle size (~30 nm) following CSA treatment is attributed to the formation of a secondary shell layer. SEM analysis reveals that the CSA shell adopts a porous thin-film structure composed of fine particulate domains irregularly distributed across the surface of the positively charged P(ANi-co-ASNi) core, as further illustrated in Figure 1. This heterogeneous shell architecture is expected to enhance charge transport at the core–shell interface, improve resistance to ambient humidity, and facilitate interactions with organic gas molecules. Unlike conventional uniform coatings, the CSA shell in this study adheres in a non-continuous, particulate form, imparting distinct morphological features that may influence sensing performance. Electrical resistance measurements show that the pristine P(ANi-co-ASNi) NPs exhibit a resistance of approximately 1.2 MΩ, which decreases significantly to 0.6–0.8 MΩ after CSA capping. This conductivity enhancement is attributed to the sulfonic acid groups (-SO3H) present in CSA, which are known to withdraw electrons from NH sites on the P(ANi-co-ASNi) surface. While this interaction improves conductivity, it differs from conventional electronic doping and instead reflects a molecular-level modification of charge transport properties. To further investigate the elemental composition, energy-dispersive X-ray spectroscopy (EDS) was performed (Figure 3c,d). The presence of sulfur (S) atoms, originating from the CSA layer, was confirmed, with a measured mass percentage of 3.13% in CSA-capped P(ANi-co-ASNi) NPs. Although EDS indicates a uniform elemental distribution of sulfur, SEM images suggest that the CSA layer adheres in a structurally heterogeneous manner, highlighting the distinction between chemical composition and morphological uniformity. In contrast, the EDS spectrum of P(Ani-co-ASNi) particles without CSA (Figure 3c) reveals only a small quantity of S atoms, amounting to 0.63%. The presence of these S atoms in the P(Ani-co-ASNi) particles is attributed to the -SO3H group, which acts as a substituent in PASNi, a copolymer of PANi.
Figure 3.
(a) SEM images of P(ANi-co-ASNi) sample before doping and (b) CSA-capped P(ANi-co-ASNi) sample after CSA capping. (c,d) show the EDS spectra and correspond-ing elemental analysis data for each sample.
To investigate the changes in charge transport and molecular structure induced by CSA capping, ultraviolet/visible/near-infrared (UV/Vis/NIR) and Raman spectroscopy were employed (Figure 4). Figure 4I illustrates the UV/Vis absorption spectra of P(ANi-co-ASNi) copolymers with varying ANi-to-ASNi molar ratios. In Figure 4I-(a), the spectrum of pure PANi (1:0 molar ratio) exhibits three distinct absorption peaks at 354, 440, and 883 nm. The peaks at 354 and 440 nm are attributed to π–π* transitions in the para-substituted benzenoid segment (-benzene-NH-benzene-), while the 883 nm peak corresponds to π–π* excitation of the quinoid structure (-N=quinone=N-) [24,25]. As the ASNi content increases (ratios of 0.8:0.2, 0.7:0.3, and 0.6:0.4 in Figure 4I-(b), (c), and (d)), the absorbance intensities at 440 and 883 nm progressively decrease. This trend suggests a gradual weakening of the quinoid structure in ANi due to the incorporation of ASNi units. Interestingly, when the molar ratio reaches 0.5:0.5 in CSA-capped P(ANi-co-ASNi) (Figure 4I-(e)), a new absorption peak emerges at 312 nm, and the original 883 nm peak shifts to 905 nm, extending into the NIR region. The peaks at 354 and 440 nm remain largely unchanged. The appearance of the 312 nm peak is attributed to self-doping effects, likely arising from electron donation by the sulfonic acid group of ASNi to the PASNi chain. Additionally, CSA capping appears to promote protonation at the imine nitrogen sites via interaction with the π-conjugated backbone, facilitating the formation of a delocalized π-conjugated system and enhancing charge mobility. Electrical resistance measurements support these spectroscopic findings. The resistance of uncapped P(ANi-co-ASNi) was approximately 1.0 MΩ, whereas CSA-capped samples exhibited reduced resistance in the range of 0.6–0.8 MΩ, indicating a conductivity enhancement of over 20%.
Figure 4.
(I) UV/vis absorption spectra of CSA-capped P(ANi-co-ASNi) samples with various ANi-to-ASNi molar ratios in P(ANi-co-ASNi) copolymers: (a) 1:0, (b) 0.8:0.2, (c) 0.7:0.3, (d) 0.6:0.4, and (e) 0.5:0.5. (II) Raman spectra of CSA-capped P(ANi-co-ASNi) samples with various ANi-to-ASNi molar ratios: (a) 1:0, (b) 0.8:0.2, and (c) 0.5:0.5, respectively.
Raman spectroscopy was employed to elucidate the chemical bonding structures and their influence on charge transport in CSA-capped P(ANi-co-ASNi) copolymers (Figure 4II). Figure 4II-(a) displays the Raman spectrum of pure PANi (ANi-to-ASNi molar ratio of 1:0). A prominent band at 823 cm−1 corresponds to the C–H out-of-plane vibration in the 1,4-distributed benzene ring. Additional peaks observed between 1250 and 1352 cm−1 is attributed to the bending modes of the benzene ring, C–N stretching of the aromatic ring, and the stretching of the charged C–NH+ group. The band at 1175 cm−1 is assigned to the –SO3H group, indicative of CSA presence. Furthermore, the C=C stretching vibrations of the quinoid and benzenoid structures appear at 1624 cm−1 and 1505 cm−1, respectively [26,27,28,29]. The intensity ratio of the 1624 cm−1 and 1505 cm−1 bands serve as a key indicator of the conjugation length and doping level within the PANi chain. A higher intensity at 1624 cm−1 typically reflects extended conjugation and increased doping [30]. Figure 4II-(b) and (c) present the Raman spectra of copolymers with ANi-to-ASNi molar ratios of 0.8:0.2 and 0.5:0.5, respectively. As the ASNi content increases, notable enhancements in the intensities of the bands at 1250, 1352, and 1520 cm−1 are observed. Additionally, the absorbance in the regions around 1175 and 1624 cm−1 becomes significantly stronger compared to pure PANi, indicating structural modifications induced by CSA and ASNi incorporation. Specifically, the peak at 1250 cm−1 is attributed to the –SO3H substitution group within the ASNi structure, while the 1352 cm−1 band corresponds to the stretching of the charged C–NH+ group in the quinoid domain of PASNi. The 1520 cm−1 peak is assigned to the C=C/C–C stretching mode of the benzenoid structure, further confirming the presence of CSA-induced protonation and enhanced π-conjugation.
Acetone is a representative volatile organic compound (VOC) commonly encountered in industrial processes, indoor environments, and various chemical emissions. Its detection is essential for monitoring air quality and ensuring safety in occupational and environmental settings. Although trace levels of acetone (typically <1 ppm) are also known to be present in human exhaled breath due to metabolic activity [31,32,33], this study focuses on general VOC sensing rather than medical breath analysis. In this work, the developed sensor material demonstrated reliable detection of acetone gas concentrations up to 1 ppm at room temperature. Furthermore, the sensor exhibited sensitivity to H2O vapor, with measurable responses observed for concentrations up to 1%. The real-time sensing performance of CSA-capped P(ANi-co-ASNi) samples was systematically evaluated under ambient conditions to assess their responsiveness (S) to acetone and water vapor (Figure 5).
Figure 5.
Continuous dynamic response of CSA-capped P(ANi-co-ASNi) NP-based sensors to various concentrations of [I] acetone gas ranging from 1 to 5 ppm and [II] gaseous H2O ranging from 1 to 5% at 25 °C and 0% RH. The Ani-to-ASNi molar ratio of the P(ANi-co-ASNi) copolymers are as follows: (a) 1:0 and (b) 0.5:0.5.
Figure 5I shows the continuous dynamic response of the CSA-capped P(ANi-co-ASNi) sensors to acetone gas concentrations ranging from 1 to 5 ppm, maintained at a constant temperature of 25 °C and 0% relative humidity (RH). Figure 5I-a and b show the sensor performance of the CSA-capped P(ANi-co-ASNi) copolymers, with ANi-to-ASNi molar ratios of 1:0 and 0.5:0.5, respectively. The responsiveness (S%) of the CSA-capped P(ANi-co-ASNi)-based sensors to acetone gas was measured in real-time using the normalized change in resistance, ΔR/Ri = (Ri -R0)/Ri x 100. Here, Ri denotes the initial resistance before gas exposure, R0 denotes the real-time resistance during gas exposure, and ΔR represents the difference between Ri and R0, which is calculated after gas exposure. Figure 5I-a illustrates the continuous dynamic response (S) of a CSA-capped P(ANi-co-ASNi) sample with an ANi-to-ASNi molar ratio of 1:0 (pure PANi) upon exposure to acetone gas. The sensor response (S value) was quantified at acetone concentrations of 1, 2, 3, 4, and 5 ppm, with an absolute S value of 4.2 recorded at 1 ppm. Notably, increasing acetone concentration resulted in a proportional decrease in the S value, indicating reduced reactivity in the negative direction. This trend is attributed to a decline in charge density within the PANi backbone, caused by acetone adsorption. The interaction between acetone molecules and amine nitrogen (–NH+) sites leads to the formation of hydrogen bonds with the carbonyl group of acetone molecule, thereby impeding charge transfer and increasing electrical resistance. Figure 5I-b presents the response of CSA-capped P(ANi-co-ASNi) copolymers synthesized with an equimolar ANi-to-ASNi ratio. Compared to pure PANi, these copolymers exhibited significantly lower sensitivity to acetone, with an S value of 1.9 at 1 ppm. Despite the reduced magnitude, the sensor maintained consistent reactivity and excellent reproducibility across varying acetone concentrations. The response profile remained stable, showing proportional changes with respect to gas concentration. As defined in Figure 2, the response time refers to the duration required for the sensor conductance to reach 90% of its maximum value, while the recovery time denotes the interval needed for the conductance to return to a level 10% above its baseline upon exposure to ambient condition. These parameters are critical for assessing the dynamic performance and operational reliability of the sensor. CSA-capped P(ANi-co-ASNi) sensors with ANi-to-ASNi molar ratios of 1:0 and 0.5:0.5 exhibited response times of 1200 s and 1700 s, respectively, when exposed to 1 ppm acetone gas at 25 °C and 0% RH. Corresponding recovery times were measured at 1500 s and 2700 s, respectively. As illustrated in Figure 4, the recovery time increased markedly with rising acetone concentrations, which can be attributed to the prolonged desorption process at room temperature. This delay becomes more pronounced as the quantity of adsorbed gas increases. Notably, the recovery time extension was more significant in the copolymer containing PASNi than in pure PANi, underscoring the influence of structural composition on desorption kinetics and sensor reset behavior.
Figure 5II presents the continuous dynamic response (S) of CSA-capped P(ANi-co-ASNi) sensors exposed to gaseous H2O concentrations ranging from 1% to 5%, under controlled conditions of 25 °C and 0% RH. These results demonstrate the sensor’s sensitivity to H2O vapor in the absence of ambient humidity. For the CSA-capped PANi sample (ANi-to-ASNi molar ratio of 1:0), an S value of approximately 5.8 was recorded at 1% H2O vapor (Figure 5II-a), indicating high responsiveness at low concentrations. Unlike acetone, H2O vapor exhibited a positive correlation between concentration and S value, with the response increasing proportionally in the positive direction. This behavior is attributed to the strong interaction between H2O molecules and NH+ functional groups on the P(ANi-co-ASNi) chains, which enhances conduction pathways and reduces electrical resistance.
As shown in Figure 5II-b, the CSA-capped P(ANi-co-ASNi) copolymer exhibited an S value approximately four times higher than that of pure PANi, suggesting that the incorporation of ASNi significantly enhances the material’s reactivity toward H2O vapor. Although both acetone and H2O molecules are capable of forming hydrogen bonds with the –NH+ sites of the P(ANi-co-ASNi) copolymer, the resulting charge transport mechanisms differ significantly. In particular, H2O molecules initiate a proton conduction process governed by the Grotthuss mechanism [34,35], wherein hydrogen bonding with –NH+ groups lead to the formation of hydronium ions (H3O+) and imine sites (–N=). These H3O+ ions undergo self-diffusion through a dynamic hydrogen-bonded network, facilitating efficient proton hopping. This process enhances carrier mobility and reduces electrical resistance. In contrast, acetone molecules interact via dipolar hydrogen bonding, primarily through the carbonyl oxygen (–C=O), without generating mobile ionic species or enabling proton transfer. As a result, acetone exposure may lead to localized charge trapping or reduced carrier mobility, manifesting as an increase in electrical resistance (Figure 5II-a). Therefore, despite the presence of hydrogen bonding in both cases, the distinct molecular interactions and transport pathways account for the opposite trends observed in resistance change.
Figure 6 illustrates the variation in sensor sensitivity (S value) as a function of gas concentration, revealing a linear increase in S with rising acetone levels. This proportional response underscores the sensor’s reliability and suitability for quantitative gas analysis. Sensitivity was quantified by calculating the slope of the S value versus acetone concentration curve, expressed in ppm−1. As shown in Figure 6I, sensors based on pure PANi and P(ANi-co-ASNi) copolymer exhibited sensitivity values of 2.13 and 0.84 ppm−1, respectively. These results indicate that pure PANi offers higher sensitivity to acetone, whereas the copolymer provides more stable but less reactive performance. In contrast, the sensor’s response to H2O vapor was significantly enhanced. As shown in Figure 6II, the CSA-capped P(ANi-co-ASNi) sensor demonstrated a sensitivity of 6.65 ppm−1 to H2O, notably exceeding its response to acetone (2.69 ppm−1). This enhanced sensitivity is attributed to the hydrophilic sulfonic acid (-SO3H) groups in the PASNi backbone, which facilitate strong adsorption of H2O molecules. These groups promote hydrogen bonding and improve charge transfer interactions, thereby amplifying the sensor’s responsiveness to moisture. All measurements were conducted under identical environmental conditions, and each data point represents the average of at least five independent trials. To ensure analytical precision, data points within the experimental error range were excluded from the final analysis.
Figure 6.
Calibration curves showing the variations in sensitivity of CSA-capped P(ANi-co-ASNi) NP-based sensors in response to [I] acetone and [II] H2O concentrations. The Ani-to-ASNi molar ratio of the P(ANi-co-ASNi) copolymers are as follows: (a) 1:0 and (b) 0.5:0.5.
Figure 7 illustrates the sensor’s performance evaluation under a range of operational conditions, including repeated recovery cycles, and variations in temperature, humidity, and gas flow rate. Figure 7I presents the results of cyclic testing performed on CSA-capped P(ANi-co-ASNi)-based acetone sensors to evaluate their performance consistency and long-term stability under repeated exposure. All experiments were conducted under strictly controlled conditions (25 °C, 0% RH, and 1 ppm acetone), ensuring environmental consistency across cycles. As shown in Figure 7I-a, the PANi-based sensor exhibited a ΔS value exceeding 11% over 10 exposure cycles, indicating notable signal fluctuation. In contrast, the P(ANi-co-ASNi)-based sensor (Figure 7I-b) showed a more moderate ΔS variation of approximately 5–6%, while maintaining a relatively high recovery rate. These results suggest that the copolymer formulation offers improved signal stability under repeated operation. Figure 7II–IV further illustrate the sensor’s performance under varying external conditions, including temperature, relative humidity, and gas pressure. Sensor behavior was monitored by tracking changes in electrical resistance, providing a comprehensive assessment of environmental robustness.
Figure 7.
[I] Changes in responsiveness (S%) at acetone gas concentration of 1 ppm as a function of the number of repetitions at 25 °C and 0% RH. [II] Variation in electrical resistance corresponding to temperature changes between 25 °C and 125 °C at 0% RH. [III] Variations in electrical resistance with respect to humidity levels ranging from 0% to 87% RH. [IV] Variations in electrical resistance as a function of gas flow rates ranging from 0 to 200 sccm under dry conditions. The ANi-to-ASNi molar ratio of the P(ANi-co-ASNi) copolymers are as follows: (a) 1:0 and (b) 0.5:0.5.
Figure 7II-a illustrates the temperature-dependent performance of the PANi-based sensor. As the ambient temperature increased to 125 °C, the electrical resistance rose by approximately 40%. In contrast, the CSA-capped P(ANi-co-ASNi) sensor (Figure 7II-b) exhibited a proportional decrease in resistance of roughly 40% under identical conditions. These opposing trends underscore the distinct thermal response characteristics of pure PANi versus P(ANi-co-ASNi) copolymer systems, both capped with CSA. Specifically, while CSA-capped PANi sensors show increased resistance with temperature, CSA-capped P(ANi-co-ASNi) sensors demonstrate enhanced conductivity, suggesting differing charge transport mechanisms influenced by polymer composition. Figure 7III presents the variation in electrical resistance of the sensor under RH levels ranging from 0% to 87%. As widely [36,37], ambient RH significantly affects the performance of gas sensors, and the observed resistance changes further confirm the humidity sensitivity of the CSA-capped P(ANi-co-ASNi) system. As illustrated in Figure 7III-a, the pure PANi-based sensor exhibits a proportional decrease in electrical resistance at low RH levels, particularly below 28%. This behavior is attributed to enhanced charge transport facilitated by H2O vapor molecules interacting with the PANi backbone. However, once RH exceeds 28%, the resistance profile undergoes a distinct transition, marked by an upward trend and signal fluctuations. This inflection point is designated as the critical humidity threshold. Beyond this level, water molecules tend to aggregate on the sensor surface, forming a thin moisture layer that disrupts the interaction between the CSA capping agents and the PANi backbone, thereby increasing resistance. This effect is further amplified under low-temperature conditions, where nanoscale water films form at relatively lower RH levels, indicating a temperature-dependent modulation of humidity response. To further investigate this phenomenon, analogous experiments were conducted using the P(ANi-co-ASNi)-based sensor (Figure 7III-b). Notably, the copolymer sensor exhibited exceptional stability, with resistance variation remaining below 5% even at RH levels exceeding 28%. This enhanced humidity tolerance is attributed to the incorporation of ASNi, which introduces -SO3H groups at the 2-position of the benzene ring. These substituents induce a self-doped configuration within the PANi matrix, enabling the formation of conductive pathways independent of external dopants. Consequently, even under conditions conducive to H2O condensation, the electrical resistance remains largely unaffected. This study demonstrates a clear comparative advantage over previously reported PANi-based acetone sensors operating at room temperature [34,35,38].
As summarized in Table 1, the developed sensor exhibits superior sensitivity (ppm−1), a lower detection limit (ppm), and improved performance in terms of operating temperature, cycling stability, and high-humidity resilience. Collectively, these attributes position the CSA-capped P(ANi-co-ASNi) sensor as a promising candidate for next-generation acetone detection technologies, with potential applications in biomedical diagnostics, environmental monitoring, and industrial safety systems.
Table 1.
Comparison of this study with various PANi-based acetone gas sensor.
Selectivity is a key parameter in the practical application of gas sensors. To evaluate selectivity, responsiveness to various organic gases, including ethanol, methanol, H2O, xylene, toluene, CO2, and cyclohexane, was investigated. The selected gases are commonly encountered in clinical and industrial settings and are relatively simple and readily available compounds. Therefore, they were chosen as reference targets for comparative analysis in this study. According to the experimental results, the CSA-capped P(ANi-co-ASNi) sensor exhibited an S value of −5.2 in response to 5 ppm acetone gas and +9.6 for 5 ppm H2O vapor. The sensor also demonstrated notable responses to other alcohol-based analytes, including ethanol (S = −7.5), methanol (S = −12), and propanol (S = −5.2) at the same concentration. In contrast, exposure to non-polar or less interactive gases such as CO2, xylene, toluene, and cyclohexane yielded significantly lower responses, with S values of +5.5, +0.5, +0.1, and +0.2, respectively, at 5 ppm. These comparative results are summarized in Figure 8, highlighting the sensor’s selective sensitivity toward polar and electron-accepting analytes. Interestingly, the sensor exhibited a negative response to gases such as acetone and alcohols, which function as electron acceptors, resulting in a decrease in electrical resistance. In contrast, gases with strong electron-donating characteristics—such as CO2, toluene, xylene, H2O, and cyclohexane—induced an increase in resistance. This behavior is attributed to the modulation of charge carrier concentration within the sensing material. Electron-accepting gases tend to extract electrons from the sensor surface, thereby reducing the carrier density and consequently lowering the conductivity. Conversely, electron-donating gases inject electrons into the sensing layer, increasing the carrier concentration and enhancing conductivity. These distinct interactions between the sensor and analyte gases underscore the material’s potential for selective gas detection based on electronic properties. While pristine polyaniline (PANI) is well known for its high selectivity toward ammonia (NH3), SPANi alone did not exhibit reliable NH3 sensing performance. Although a response peak was observed during preliminary tests, the sensor showed poor recovery characteristics, suggesting irreversible adsorption or strong chemisorption of NH3 molecules. This behavior is likely attributed to the strong acid–base interactions between the sulfonic acid (–SO3H) groups in SPANi and NH3, which may induce permanent alterations in the conduction pathways or structural deformation of the sensing matrix. Furthermore, the hydrophilic nature of SPANi can facilitate the formation of complex hydrogen-bonding networks in humid environments, thereby impeding effective desorption of NH3. Considering these limitations, detailed NH3 sensing results were not included in this study. Instead, we focused on acetone sensing, where SPANi demonstrated both a pronounced response and excellent reversibility, making it a more suitable analyte for evaluating the sensing performance of SPANi-based materials.
Figure 8.
Evaluation of selective gas responsiveness of the CSA-capped P(ANi-co-ASNi) sensor toward various analytes, including acetone, ethanol, methanol, H2O, xylene, toluene, CO2, and cyclohexane (all at 5 ppm concentration). The figure highlights the sensor’s differential sensitivity based on the electronic properties of the target gases.
4. Conclusions
In this study, we systematically designed and synthesized CSA-capped P(ANi-co-ASNi) NPs as a novel sensing material for acetone gas detection. The spherical NPs exhibited an average diameter of approximately 265 nm, and the hydrophobic CSA capping agent enabled chemical interaction with the positively charged surface of P(ANi-co-ASNi), contributing to enhanced structural stability under humid conditions. The material’s morphology and chemical structure were thoroughly characterized using SEM, TEM, EDS, EUV, and Raman spectroscopy, providing insights into its composition and potential sensing mechanisms. Sensor performance was evaluated under ambient conditions across acetone concentrations ranging from 1 to 5 ppm. Furthermore, it effectively detected gaseous H2O not only within the 1–5% concentration range but also under extended conditions up to 28% RH, indicating robust responsiveness to water vapor across a broad spectrum of environmental moisture levels. These results highlight the superior performance of the CSA-capped P(ANi-co-ASNi) sensors compared to conventional PANi-based systems, underscoring their potential for precise and reliable gas detection in practical applications.
Author Contributions
Conceptualization, K.-H.P. and J.-Y.K.; methodology, K.-H.P. and J.-Y.K.; software, Y.H.J.; validation, K.-H.P. and J.-S.K.; formal analysis, Y.H.J. and J.-S.K.; investigation, J.-Y.K.; resources, K.-H.P.; data curation, K.-H.P. and J.-S.K.; writing—original draft preparation, J.-Y.K.; writing—review and editing, J.-Y.K.; visualization, K.-H.P.; supervision, J.-Y.K.; project administration, J.-Y.K.; funding acquisition, J.-Y.K. All authors have read and agreed to the published version of the manuscript.
Funding
This work was financially supported by National Research Foundation of Korea (NRF) grant funded by the Korea government (Ministry of science and ICT: MIST) (2021R1F1A1105389111).
Institutional Review Board Statement
Not applicable.
Informed Consent Statement
Not applicable.
Data Availability Statement
Data will be made available on request.
Conflicts of Interest
The authors declare that there are no conflicts of interest in the results and content of the study.
References
- Verma, A.; Kumar, T. PANi@Ag nanocomposites gas sensors for rapid detection of ammonia. Polyhedron 2024, 255, 116982. [Google Scholar] [CrossRef]
- Cho, S.; Lee, J.S.; Joo, H.S. Recent Developments of the Solution-Processable and Highly Conductive Polyaniline Composites for Optical and Electrochemical Applications. Polymers 2019, 11, 1965. [Google Scholar] [CrossRef]
- Verma, A.; Kumar, T. Gas sensing properties of a Cu-doped PANI nanocomposite towards ammonia. Mater. Adv. 2024, 5, 7387–7400. [Google Scholar] [CrossRef]
- Varela-Alvarez, A.; Sordo, J.A.; Scuseria, G.E. Doping of Polyaniline by Acid−Base Chemistry: Density Functional Calculations with Periodic Boundary Conditions. J. Am. Chem. Soc. 2005, 127, 11318. [Google Scholar] [CrossRef]
- Cao, X.; Wang, Y.; Zhang, Y.; Qian, Z.; Jiang, G. Preparation and Properties of Polyaniline/Hydroxypropyl Methylcellulose Composite Conductive Thin Films. Materials 2024, 17, 2687. [Google Scholar] [CrossRef] [PubMed]
- Zhang, Z.; Sui, J.; Zhang, L.; Wan, M.; Wei, Y.; Yu, L. Hollow Micro-/Nanostructures: Synthesis and Applications. Adv. Mater. 2005, 17, 2854. [Google Scholar] [CrossRef]
- Kroutil, J.; Laposa, A.; Povolny, V.; Klimsa, L.; Husak, M. Gas Sensor with Different Morphology of PANI Layer. Sensors 2023, 23, 1106. [Google Scholar] [CrossRef]
- He, X.; Yang, W.; Mao, X.; Xu, L.; Zhou, Y.; Chen, Y.; Zhao, Y.; Yang, Y.; Xu, J. All-solid state symmetric supercapacitors based on compressible and flexible free-standing 3D carbon nanotubes (CNTs)/poly(3,4-ethylenedioxythiophene) (PEDOT) sponge electrodes. J. Power Sources 2018, 376, 138–146. [Google Scholar] [CrossRef]
- Moon, S.; Jung, Y.H.; Kim, D.K. Enhanced electrochemical performance of a cross-linked polyaniline-coated graphene oxide-sulfur composite for rechargeable lithium–sulfur batteries. J. Power Sources 2015, 294, 386–392. [Google Scholar] [CrossRef]
- Liu, Q.; Liu, L.; Xie, K.; Meng, Y.; Wu, H.; Wang, G.; Dai, Z.; Wei, Z.; Zhang, Z. Synergistic Effect of r-GO/PANI Nano composite Electrode based Air Working Ionic Actuator with Large Actuation Stroke and Long-Term Durability. J. Mater. Chem. A 2015, 3, 8380–8388. [Google Scholar] [CrossRef]
- Wen, J.; Wang, S.; Li, G.; Feng, J.; Ma, J.; Zhang, H.; Wu, P.; Wu, Z.; Meng, F.; Li, L. Recent progress in polyaniline-based chemiresistive flexible gas sensors: Design, nanostructures, and composite materials. J. Mater. Chem. A 2024, 12, 6190–6290. [Google Scholar] [CrossRef]
- Anisimov, Y.A.; Yang, H.; Kwon, J.; Cree, D.E.; Lee, D.; Wilson, L.D. Chitosan-Polyaniline (Bio)Polymer Hybrids by Two Pathways: A Tale of Two Biocomposites. Polymers 2024, 16, 2663. [Google Scholar] [CrossRef]
- Hua, M.Y.; Lin, Y.C.; Tsai, R.Y.; Chen, H.C.; Liu, Y.C. A hydrogen peroxide sensor based on a horseradish peroxidase/polyaniline/carboxy-functionalized multi-walled carbon nanotube modified gold electrode. Electrochim. Acta 2011, 56, 9488. [Google Scholar] [CrossRef]
- Yureka Imali, D.; Chavin, E.; Perera, J.; Kaumal, M.N.; Dissanayake, D.P. Fabrication and characterization of a flexible and disposable impedance-type humidity sensor based on polyaniline. RSC Adv. 2023, 13, 6396–6411. [Google Scholar] [CrossRef]
- Rydosz, A. Sensors for Enhanced Detection of Acetone as a Potential Tool for Noninvasive Diabetes Monitoring. Sensors 2018, 18, 2298. [Google Scholar] [CrossRef]
- Shukla, S.K.; Kushwaha, C.S.; Singh, N.B. Recent developments in conducting polymer-based composites for sensing devices. Mater. Today Proc. 2017, 4, 5672–5681. [Google Scholar] [CrossRef]
- Kumar, L.; Rawal, I.; Kaur, A.; Annapoorni, S. Flexible room temperature ammonia sensor based on polyaniline. Sens. Actuators B 2017, 240, 408–416. [Google Scholar] [CrossRef]
- Qi, J.; Xu, X.; Liu, X.X.; Lau, K.T. Fabrication of textile based conductometric polyaniline gas sensor. Sens. Actuators B 2014, 202, 732–740. [Google Scholar] [CrossRef]
- Do, J.S.; Liu, W.L.; Tsai, M.L.; Kuo, S.Y. Preparation and Characterization of Polyaniline Thin Films for Ammonia Gas Sensors. Key Eng. Mater. 2014, 605, 202–206. [Google Scholar] [CrossRef]
- Zhang, D.; Wu, Z.; Zong, X. Flexible and highly sensitive H2S gas sensor based on in-situ polymerized SnO2/rGO/PANI ternary nanocomposite with application in halitosis diagnosis. Sens. Actuators B 2019, 289, 32–41. [Google Scholar] [CrossRef]
- Kim, J.S.; Byeon, J.H.; Kang, S.; Kim, J.Y. A high sensitivity acetone gas sensor based on polyaniline–hydroxypropyl methylcellulose core shell-shaped nanoparticles. Nanoscale Adv. 2022, 4, 5312–5319. [Google Scholar] [CrossRef] [PubMed]
- Dong, R.; Yang, M.; Chen, S.; Zuo, Y.; Liang, L.; Xing, H.; Duan, X. Conducting Polymers-Based Gas Sensors: Principles, Materials, and Applications. Sensors 2025, 25, 2724. [Google Scholar] [CrossRef] [PubMed]
- Jun, H.K.; Hoh, Y.S.; Lee, B.S.; Lee, S.T.; Lim, J.O.; Lee, D.D.; Huh, J.S. Electrical properties of polypyrrole gas sensors fabricated under various pretreatment conditions. Sens. Actuators B 2003, 96, 576–581. [Google Scholar] [CrossRef]
- Perizat, A.; Kanzhigitova, D.; Tapkharov, A.; Umbetova, K.; Duisenbekov, S.; Adilov, S.; Nuraje, N. Hydrogen sensors based on polyaniline and its hybrid materials: A mini review. Discover. Nano. 2025, 20, 68. [Google Scholar] [CrossRef]
- Ho, K.S.; Hsieh, T.H.; Kuo, C.W.; Lee, S.W.; Lin, J.J.; Huang, Y.J. Effect of aniline formaldehyde resin on the conjugation length and structure of doped polyaniline: Spectral studies. J. Polym. Sci. Part A Polym. Chem. 2005, 43, 3116. [Google Scholar] [CrossRef]
- Babu, V.J.; Vempati, S.; Ramakrishna, S. Conducting Polyaniline-Electrical Charge Transportation. J. Sci. Res. 2013, 4, 1–10. [Google Scholar] [CrossRef]
- Srinivasan, P.; Gottam, R. Infrared Spectra: Useful Technique to Identify the Conductivity Level of Emeraldine form of Polyaniline and Indication of Conductivity Measurement either Two or Four Probe Technique. Mat. Sci. Res. India 2018, 15, 209–217. [Google Scholar] [CrossRef]
- Jang, J.; Cho, J.; Jang, J. Fabrication of Water-Dispersible Polyaniline-Poly(4-styrenesulfonate) Nanoparticles for Inkjet-Printed Chemical-Sensor Applications. Adv. Mater. 2007, 19, 1772. [Google Scholar] [CrossRef]
- Lenin, R.; Singh, A.; Bera, C. Effect of dopants and morphology on the electrical properties of polyaniline for various applications. J. Mater. Sci. Mater. Electron. 2021, 32, 24710–24725. [Google Scholar] [CrossRef]
- Dharmawat, V.; Gyal, V.; Sutar, J. Experimental study and kinetic Modeling of Aniline Polymerization. Russ. J. Phys. Chem. B 2024, 18, 1166–1176. [Google Scholar] [CrossRef]
- Jang, J.S.; Choi, S.J.; Kim, S.J.; Hakim, M.; Kim, I.D. Rational Design of Highly Porous SnO2 Nanotubes Functionalized with Biomimetic Nanocatalysts for Direct Observation of Simulated Diabetes. Adv. Funct. Mater. 2016, 26, 4740–4748. [Google Scholar] [CrossRef]
- Parkes, J.L.; Slatin, S.L.; Pardo, S.; Ginsberg, B.H.A. New Consensus error grid to evaluate the clinical significance of inaccuracies in the measurement of blood glucose. Diabetes Care 2000, 23, 1143–1148. [Google Scholar] [CrossRef] [PubMed]
- Zhang, D.; Wu, Z.; Zong, X. Metal-organic frameworks-derived zinc oxide nanopolyhedra/S, N: Graphene quantum dots/polyaniline ternary nanohybrid for high-performance acetone sensing. Sens. Actuators B 2019, 288, 232–242. [Google Scholar] [CrossRef]
- Agmon, N. The Grotthuss mechanism. Chem. Phys. Lett. 1995, 244, 13–456. [Google Scholar] [CrossRef]
- Do, J.S.; Wang, S.H. Fabrication and characterization of polyaniline thin films for application in ammonia gas sensors. Sens. Actuators B 2013, 185, 39–46. [Google Scholar] [CrossRef]
- Bahru, R.; Zamri, M.F.M.A.; Shamsuddin, A.H.; Mohamed, M.A. Polyaniline-based ammonia gas sensor: Influence of dopant concentration on sensing performance. J. Mater. Sci. Matter. Electron. 2020, 31, 1574–1584. [Google Scholar] [CrossRef]
- Kreuer, K.D. Proton conductivity: Materials and applications. Chem. Mater. 1996, 8, 610–641. [Google Scholar] [CrossRef]
- Abdulsattar, M.A.; Abduljalil, H.M.; Abed, H.H.; Al-Seady, M.A. Temperature and humidity effects on the acetone gas sensing of pristine and Pd-doped WO3 clusters: A transition state theory study. J. Mol. Model. 2024, 30, 215. [Google Scholar] [CrossRef]
Disclaimer/Publisher’s Note: The statements, opinions and data contained in all publications are solely those of the individual author(s) and contributor(s) and not of MDPI and/or the editor(s). MDPI and/or the editor(s) disclaim responsibility for any injury to people or property resulting from any ideas, methods, instructions or products referred to in the content. |
© 2025 by the authors. Licensee MDPI, Basel, Switzerland. This article is an open access article distributed under the terms and conditions of the Creative Commons Attribution (CC BY) license (https://creativecommons.org/licenses/by/4.0/).








