Journal Description
Magnetochemistry
Magnetochemistry
is an international, peer-reviewed, open access journal on all areas of magnetism and magnetic materials published monthly online by MDPI.
- Open Access— free for readers, with article processing charges (APC) paid by authors or their institutions.
- High Visibility: indexed within Scopus, SCIE (Web of Science), Inspec, CAPlus / SciFinder, and other databases.
- Journal Rank: JCR - Q2 (Chemistry, Inorganic and Nuclear) / CiteScore - Q2 (Electronic, Optical and Magnetic Materials)
- Rapid Publication: manuscripts are peer-reviewed and a first decision is provided to authors approximately 16 days after submission; acceptance to publication is undertaken in 2.9 days (median values for papers published in this journal in the first half of 2025).
- Recognition of Reviewers: reviewers who provide timely, thorough peer-review reports receive vouchers entitling them to a discount on the APC of their next publication in any MDPI journal, in appreciation of the work done.
Impact Factor:
2.5 (2024);
5-Year Impact Factor:
2.6 (2024)
Latest Articles
Magnetocaloric Response of an Eutectic Er69Ni31 Amorphous Alloy
Magnetochemistry 2025, 11(12), 106; https://doi.org/10.3390/magnetochemistry11120106 - 1 Dec 2025
Abstract
►
Show Figures
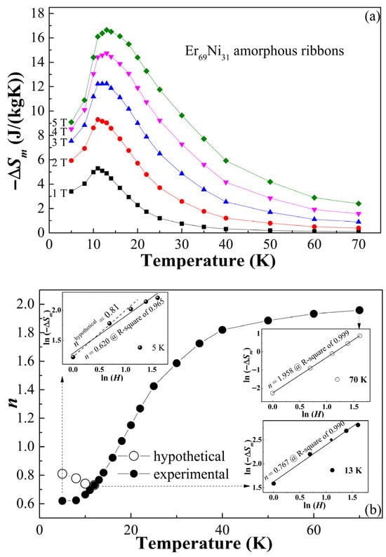
The magnetocaloric response of an amorphous Er69Ni31 alloy was studied in the present work. The eutectic Er69Ni31 alloy was successfully melt-spun into an amorphous ribbon. The formability and magnetocaloric performance of the Er69Ni31 amorphous
[...] Read more.
The magnetocaloric response of an amorphous Er69Ni31 alloy was studied in the present work. The eutectic Er69Ni31 alloy was successfully melt-spun into an amorphous ribbon. The formability and magnetocaloric performance of the Er69Ni31 amorphous alloy were studied. The amorphous sample exhibits good glass formability and a remarkable magnetocaloric effect with a magnetic entropy change peak of ~16.65 J/(kg × K) near 10 K under 5 Tesla. The magnetization and magnetocaloric behaviors were investigated to reveal the effect of spin-glass-like behaviors on the magnetocaloric response of the binary amorphous sample.
Full article
Open AccessArticle
Analytical Modeling of Demagnetization Effects on Magnetic Flux Leakage Signals in Ferromagnetic Pipelines
by
Jiawen Zhang, Nan Liu, Zheng Lian, Guangwen Sun, Bin Liu and Lijian Yang
Magnetochemistry 2025, 11(12), 105; https://doi.org/10.3390/magnetochemistry11120105 - 29 Nov 2025
Abstract
Magnetic flux leakage (MFL) testing is a widely used non-destructive method for detecting defects in ferromagnetic pipelines. However, demagnetizing fields in ferromagnetic materials can distort MFL signals, reducing detection accuracy. This study integrates demagnetizing components into the classical magnetic charge model using magnetic
[...] Read more.
Magnetic flux leakage (MFL) testing is a widely used non-destructive method for detecting defects in ferromagnetic pipelines. However, demagnetizing fields in ferromagnetic materials can distort MFL signals, reducing detection accuracy. This study integrates demagnetizing components into the classical magnetic charge model using magnetic charge and dipole theories to assess the impact of demagnetization on MFL signals. The behavior of MFL signals under demagnetization, particularly for rectangular defects, is analytically characterized. The generation mechanism of the demagnetizing field is examined, and explicit expressions for triaxial demagnetizing components in cylindrical pipelines are derived. The effects of geometric parameters, such as inner and outer diameters and pipeline length, on demagnetizing components are systematically studied. The influence of demagnetization on MFL signal transmission is also explored. MFL scanning experiments on rectangular defects of different sizes validate the theoretical model, revealing that demagnetization attenuates the axial and radial components while enhancing the circumferential component. The proposed model improves prediction accuracy, reducing errors in the axial and radial components by 14.9% and enhancing the circumferential signal by 15%. Experimental MFL waveforms align closely with the model, confirming its validity and effectiveness.
Full article
Open AccessArticle
Electronic Influence of Trifluoromethyl Substituents on Benzoate Ligands in Paddlewheel-Type Diruthenium(II,II) Naphthyridine Complexes
by
Nozomi Tada, Natsumi Yano, Makoto Handa and Yusuke Kataoka
Magnetochemistry 2025, 11(12), 104; https://doi.org/10.3390/magnetochemistry11120104 - 27 Nov 2025
Abstract
Two diruthenium(II,II) naphthyridine complexes coordinated with 4-trifluoromethylbenzoate (O2CPh-4-CF3) and 3,5-bis(trifluoromethyl)benzoate (O2CPh-3,5-diCF3) ligands, formulated as [Ru2(npc)2(O2CPh-4-CF3)2] (4; npc = 1,8-naphthyridine-2-carboxylate) and [Ru2(npc)
[...] Read more.
Two diruthenium(II,II) naphthyridine complexes coordinated with 4-trifluoromethylbenzoate (O2CPh-4-CF3) and 3,5-bis(trifluoromethyl)benzoate (O2CPh-3,5-diCF3) ligands, formulated as [Ru2(npc)2(O2CPh-4-CF3)2] (4; npc = 1,8-naphthyridine-2-carboxylate) and [Ru2(npc)2(O2CPh-3,5-diCF3)2] (5), respectively, were synthesized and structurally characterized. Single-crystal X-ray diffraction analysis revealed that both 4 and 5 form a direct metal–metal bond between the two Ru ions (2.2893(8) and 2.2896(7) Å, respectively) and adopt a paddlewheel-type structure in which two npc and two trifluoromethyl-substituted benzoate ligands are coordinated to a Ru24+ core with a cis-2:2 arrangement. The temperature dependence of the magnetic susceptibility measurements of 4 and 5 exhibited very large zero-field splitting (D = 242 and 246 cm−1, respectively) of the triplet ground state of the Ru24+ core, similar to that of [Ru2(npc)2(O2CPh)2] (3; D = 238 cm−1). Owing to the effects of the trifluoromethyl substituents, compared with 3, 4 and 5 showed (i) a significant blue shift of the absorption bands in the visible region and (ii) a positive shift of the redox potentials, with both shifts becoming more pronounced as the number of trifluoromethyl substituents increased. These experimental results are in good agreement with the electronic structure results obtained from density functional theory calculations.
Full article
(This article belongs to the Special Issue 10th Anniversary of Magnetochemistry: Past, Present and Future)
►▼
Show Figures

Figure 1
Open AccessArticle
Superparamagnetism of Baked Clays Containing Polymorphs of Iron Oxides: Experimental Study and Theoretical Modeling
by
Petr Kharitonskii, Andrei Krasilin, Nadezhda Belskaya, Svetlana Yanson, Nikita Bobrov, Andrey Ralin, Kamil Gareev, Nikita Zolotov, Dmitry Zaytsev and Elena Sergienko
Magnetochemistry 2025, 11(12), 103; https://doi.org/10.3390/magnetochemistry11120103 - 25 Nov 2025
Abstract
A comprehensive study of the magnetic properties of baked clays containing ferrimagnetic particles in various magnetic states, including superparamagnetic, has been carried out in this work. The phase composition of the magnetic fraction of laboratory and industrial samples made from the same clay
[...] Read more.
A comprehensive study of the magnetic properties of baked clays containing ferrimagnetic particles in various magnetic states, including superparamagnetic, has been carried out in this work. The phase composition of the magnetic fraction of laboratory and industrial samples made from the same clay is mainly represented by iron (III) oxide polymorphs and possibly non-stoichiometric magnetite. Experimental methods included magnetic granulometry, Mössbauer spectroscopy, scanning electron microscopy, X-ray phase analysis, and pulsed electromagnetic measurements. A theoretical model of magnetostatically interacting particles with a lognormal volume distribution was used to interpret the experimental data, allowing the contribution of superparamagnetic grains to be taken into consideration. It is shown that the firing mode significantly affects the composition of iron oxide phases and their magnetic characteristics. Laboratory samples are characterized by approximately twice the proportion of superparamagnetic particles. At sufficiently low concentrations of ferrimagnet in samples <0.1%, the concentration of superparamagnetic particles is even two orders of magnitude lower. It is the use of pulse methods that provides a more reliable diagnosis of their presence. The complex application of experimental methods with theoretical modeling makes it possible to reveal and quantitatively describe the microheterogeneous nature of the magnetic state of baked clays, which is applicable to a wide range of magnetic materials, and to analyze more deeply the thermal and phase history of archaeological and geological objects.
Full article
(This article belongs to the Section Magnetic Nanospecies)
►▼
Show Figures

Figure 1
Open AccessArticle
Dysprosium Complexes Incorporating Halogen-Substituted Anthracene: Piezochromism and Single-Molecule Magnet Properties
by
Ye-Hui Qin, Qian-Qian Su, Song-Song Bao and Li-Min Zheng
Magnetochemistry 2025, 11(12), 102; https://doi.org/10.3390/magnetochemistry11120102 - 21 Nov 2025
Abstract
Lanthanide-based single-molecule magnets (Ln-SMMs) showing stimuli-responsive changes in photoluminescence (PL) and magnetic properties are attractive for their potential applications in information storage and molecular devices. In this work, we report two mononuclear complexes, namely, Dy(SCN)2(NO3)(Cl-depma)2(4-hpy)2 (
[...] Read more.
Lanthanide-based single-molecule magnets (Ln-SMMs) showing stimuli-responsive changes in photoluminescence (PL) and magnetic properties are attractive for their potential applications in information storage and molecular devices. In this work, we report two mononuclear complexes, namely, Dy(SCN)2(NO3)(Cl-depma)2(4-hpy)2 (Dy-Cl) and Dy(SCN)2(NO3)(Br-depma)2(4-hpy)2 (Dy-Br), where X-depma represents 10-X-9-diethylphosphinomethylanthracene (X = Cl, Br) and 4-hpy is 4-hydroxypyridine. Both contain face-to-face π-π-interacted anthracene rings and exhibit yellow-green excimer emission. Unlike the other related Dy–anthracene complexes without a halogen substituent, Dy-Cl and Dy-Br cannot undergo photocycloaddition reaction under UV-light irradiation. However, they exhibited remarkable grinding-induced changes in luminescence. Magnetic studies revealed that Dy-Cl and Dy-Br show SMM behavior under zero dc field with the effective energy barriers (Ueff/kB) of 259 K and 264 K, respectively. We also investigated the effect of pressure on the magnetic properties of Dy-Br and observed a reduction in the magnetization value, narrowing of the butterfly-shaped hysteresis loop, and acceleration of the magnetic relaxation under 1.09 GPa. The results demonstrate that introducing a halogen substituent into an anthracene group may pose significant influences on the photophysical and photochemical properties of the complexes. In addition, pressure may be a promising external stimulus to modulate the PL and SMM behaviors of Dy–anthracene complexes.
Full article
(This article belongs to the Special Issue Molecular Magnetism: A Themed Issue in Honor of Professor Dai-Zheng Liao on the Occasion of His 85th Birthday)
►▼
Show Figures

Figure 1
Open AccessArticle
Improved Corrosion Resistance of La0.8Ce0.2Fe9.2Co0.6Si1.2 Magnetocaloric Alloys for Near-Room-Temperature Applications
by
Zhihao Liao, Xichun Zhong, Xuan Huang, Cuilan Liu, Jiaohong Huang, Dongling Jiao and Raju V. Ramanujan
Magnetochemistry 2025, 11(11), 101; https://doi.org/10.3390/magnetochemistry11110101 - 18 Nov 2025
Abstract
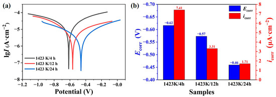
Rare earth-rich NaZn13-type La-Fe-Si-based alloys are promising candidates for near-room-temperature magnetocaloric applications. However, their poor corrosion resistance limits practical applications. The microstructure, corrosion behavior and magnetic entropy change of La0.8Ce0.2Fe9.2Co0.6Si1.2 alloys after
[...] Read more.
Rare earth-rich NaZn13-type La-Fe-Si-based alloys are promising candidates for near-room-temperature magnetocaloric applications. However, their poor corrosion resistance limits practical applications. The microstructure, corrosion behavior and magnetic entropy change of La0.8Ce0.2Fe9.2Co0.6Si1.2 alloys after annealing were systematically investigated. Annealing treatments were conducted at 1423 K for durations of 4–24 h. As annealing time increased, the α-Fe phase content decreased monotonically from ~7.81wt% to ~2.92wt%, accompanied by significant microstructural evolution. For the 4 h-annealed sample, extensive and large corroded spots were observed, attributed to micro-galvanic corrosion where the α-Fe phase (cathode) and 1:13 matrix phase (anode) formed active electrochemical pairs. Prolonged annealing reduced the corrosion current density by ~50%, directly correlating with the α-Fe phase reduction and improved microstructural homogeneity. Notably, corrosion exhibited a negligible effect on the magnetic entropy change of the alloys. This study confirms that optimizing annealing time to decrease α-Fe content and enhance microstructural uniformity represents an effective strategy to improve corrosion resistance without compromising magnetocaloric performance.
Full article
(This article belongs to the Special Issue Advance of Magnetocaloric Effect and Materials)
►▼
Show Figures

Figure 1
Open AccessArticle
Three-Dimensional Look-Locker Method for Free-Breathing T1 Mapping of Oxygen-Enhanced Pulmonary Magnetic Resonance Imaging
by
Pengfei Xu, Jichang Zhang, Jie Zeng, Yulin Wang, Xinyu Dou, Yiling Fan, Thomas Meersmann and Chengbo Wang
Magnetochemistry 2025, 11(11), 100; https://doi.org/10.3390/magnetochemistry11110100 - 18 Nov 2025
Abstract
►▼
Show Figures
Oxygen-enhanced magnetic resonance imaging (OE-MRI) enables non-invasive assessment of lung function by measuring longitudinal relaxation time ( ) changes induced by alternating inhalation of room air and pure oxygen. In this study, the pulmonary and its reduction after breathing
[...] Read more.
Oxygen-enhanced magnetic resonance imaging (OE-MRI) enables non-invasive assessment of lung function by measuring longitudinal relaxation time ( ) changes induced by alternating inhalation of room air and pure oxygen. In this study, the pulmonary and its reduction after breathing pure oxygen were quantified by using the free-breathing three-dimensional (3D) Look-Locker technique based on a stack-of-stars acquisition scheme. This method applied a continuous acquisition model to collect signals during both room-air and pure oxygen conditions without the need for breath-holding or respiratory gating. Comparative evaluations were conducted between the proposed 3D Look-Locker method and the conventional two-dimensional (2D) Look-Locker approach, using both phantom and in vivo experiments. The results demonstrate that the 3D technique yields more pronounced and reproducible reductions between air and oxygen conditions compared to the 2D method. Additionally, the of the average respiratory phase obtained by the 3D approach was compared with the at end-expiration and end-inspiration measured by the 2D approach. A consistent decline in across respiratory phases was demonstrated, from end-expiration to end-inspiration, as well as the average respiratory phase under free-breathing. These findings suggest that the proposed OE-MRI measurement based on the 3D Look-Locker method provides a robust and clinically feasible approach for quantitative lung imaging.
Full article

Figure 1
Open AccessReview
Rare-Earth-Free Exchange-Coupled Nanocomposites Based on M-Type Hexaferrites
by
Simona Gabriela Greculeasa and Ovidiu Crișan
Magnetochemistry 2025, 11(11), 99; https://doi.org/10.3390/magnetochemistry11110099 - 11 Nov 2025
Abstract
Efficient permanent magnets that are concomitantly economically viable are of paramount importance for allowing industrial stakeholders to maintain a growing and competitive advantage. This study provides a comprehensive overview of recent developments in the field of rare-earth-free nanocomposite permanent magnets based on hexaferrites.
[...] Read more.
Efficient permanent magnets that are concomitantly economically viable are of paramount importance for allowing industrial stakeholders to maintain a growing and competitive advantage. This study provides a comprehensive overview of recent developments in the field of rare-earth-free nanocomposite permanent magnets based on hexaferrites. The basic phenomenology of exchange-spring-coupled nanocomposites, comprising hard and soft magnetic components, is thoroughly explained. The use of hexaferrites as a hard phase, serving as a viable alternative to rare-earth-based permanent magnets, is extensively discussed, taking economical, accessibility-related, and environmental aspects into consideration. State-of-the-Art architectures of hard–soft magnetic nanocomposites based on hexaferrites as the hard magnetic phase, ranging from typical nanocomposites to nanowire arrays and special core–shell-like morphologies, are explored in detail. The maximum energy product (BH)max, representing the quality indicator for permanent magnets, is investigated by taking into consideration various degrees of freedom, such as substitutions, geometry, size, shape, preparation, and processing conditions (annealing), volume fraction of magnetic phases, and interfaces. Promising strategies to overcome the present challenges (e.g., size control, coercivity–remanence trade-off, and optimization for large-scale production) are provided within the framework of future permanent magnet design.
Full article
(This article belongs to the Special Issue Fine Tuning of Magnetic Iron Oxide Nanostructures)
►▼
Show Figures

Figure 1
Open AccessArticle
Magnetic Susceptibility of High-Purity Molybdenum: Role of Trace Impurities and Theoretical Modeling
by
Chao Wang, Zheng Tan, Dan Jia, Xin Xin, Li Meng, Tao Liu, Likui Ning, Song Ma and Enze Liu
Magnetochemistry 2025, 11(11), 98; https://doi.org/10.3390/magnetochemistry11110098 - 11 Nov 2025
Abstract
►▼
Show Figures
In this study, a modified Curie–Weiss model was established for the magnetic susceptibility of high-purity molybdenum and Mo–La alloy powders. The elemental composition was analyzed by GDMS, and combined with the M–T and M–H data measured by SQUID, the
[...] Read more.
In this study, a modified Curie–Weiss model was established for the magnetic susceptibility of high-purity molybdenum and Mo–La alloy powders. The elemental composition was analyzed by GDMS, and combined with the M–T and M–H data measured by SQUID, the temperature-independent contributions of weakly magnetic elements such as La and the paramagnetic contributions of impurity ions such as Fe, Co, and Ni were distinguished. Based on the parameters obtained from the nonlinear least squares fitting, the deviation between the magnetic susceptibility at room temperature calculated by the model and the experimental value was within 5%. The results show that this model can reasonably describe the influence of trace impurities on the magnetic susceptibility of the system and provides an effective method for the magnetic prediction of high-purity metal powders.
Full article

Figure 1
Open AccessArticle
Modeling and Experimental Investigation on Rheological Characteristics of Magnetorheological Fluids and Greases Under Steady and Large-Amplitude Oscillatory Shear
by
Ran Deng, Min Sun, Zhou Zhou, Meng Zhou, Lu Han, Jiong Wang, Yiyang Bai, Limeng Peng, Junyu Chen, Guang Zhang, Min Tang and Zhong Zhang
Magnetochemistry 2025, 11(11), 97; https://doi.org/10.3390/magnetochemistry11110097 - 6 Nov 2025
Abstract
►▼
Show Figures
This study systematically investigates the complex nonlinear rheological behavior of magnetorheological fluids (MRFs) and greases (MRGs) through comparative experiments under two shear modes (steady-state shear and large-amplitude oscillatory shear) at room temperature. Results demonstrate that during steady-state shear tests, the apparent viscosity of
[...] Read more.
This study systematically investigates the complex nonlinear rheological behavior of magnetorheological fluids (MRFs) and greases (MRGs) through comparative experiments under two shear modes (steady-state shear and large-amplitude oscillatory shear) at room temperature. Results demonstrate that during steady-state shear tests, the apparent viscosity of both materials decreases with the increasing shear rate, exhibiting shear-thinning behavior at high shear rates that aligns with the Herschel–Bulkley constitutive model. Throughout the logarithmically increasing shear rate range, the viscosity and shear stress of MRF consistently exceed those of MRG. Under low-frequency, large-amplitude oscillatory shear (LAOS) conditions, both materials display pronounced viscoelasticity and hysteresis. At higher current levels, the maximum shear stress of MRF surpasses MRG, but its hysteresis loops exhibit reduced smoothness. The Bouc–Wen model accurately characterizes the nonlinear hysteresis of both materials, with model parameters successfully identified via a genetic algorithm. This work establishes a universal framework for the dynamic mechanical response mechanisms of magnetorheological materials, providing theoretical guidance for designing and predicting the performance of smart damping devices.
Full article

Figure 1
Open AccessArticle
Programmable Magnetic Navigation of Gelatin Microrobots Enhances AB4 Delivery to Inflamed Lung Epithelium
by
Yue Bu, Jianpeng Xu, Chuanhua Li, Zhixi Li, Yongjing Yu and Ziyong Yue
Magnetochemistry 2025, 11(11), 96; https://doi.org/10.3390/magnetochemistry11110096 - 1 Nov 2025
Abstract
►▼
Show Figures
Sepsis-induced acute lung injury (SALI) is characterized by dysregulated inflammation with limited therapeutic options. Although Anemoside B4 (AB4) exhibits anti-inflammatory properties, its clinical application is hindered by poor bioavailability. To address this limitation, we developed magnetically guided gelatin microrobots (MG-AB4) for targeted AB4
[...] Read more.
Sepsis-induced acute lung injury (SALI) is characterized by dysregulated inflammation with limited therapeutic options. Although Anemoside B4 (AB4) exhibits anti-inflammatory properties, its clinical application is hindered by poor bioavailability. To address this limitation, we developed magnetically guided gelatin microrobots (MG-AB4) for targeted AB4 delivery. The MG-AB4 system consists of a Fe3O4-loaded gelatin shell for enabling precise magnetic navigation (velocity: 110 μm/s), an AB4 core for rapid drug release which is advantageous for acute inflammatory responses, and surface modifications to enhance cellular uptake. Compared with free AB4, MG-AB4 significantly suppressed key inflammatory cytokines (Interleukin-6 (IL-6), Interleukin-1 beta (IL-1β), Tumor necrosis factor-alpha (TNF-α); p < 0.01), inhibited NF-κB activation (p < 0.01), and improved cell viability in an inflammatory model (p < 0.05). This study demonstrates that magnetically guided AB4 delivery using rapidly releasing microrobots is a promising strategy for SALI treatment, wherein the synergy of targeted delivery and potent anti-inflammatory action may effectively mitigate disease progression.
Full article

Figure 1
Open AccessArticle
Enhancing the High-Frequency Performance of FeSiAl/2.25 wt.% WS2 Composites Through the Application of a Transverse Magnetic Field
by
Shoujin Zhu, Shuangjiu Feng, Xiansong Liu and Xucai Kan
Magnetochemistry 2025, 11(11), 95; https://doi.org/10.3390/magnetochemistry11110095 - 29 Oct 2025
Abstract
►▼
Show Figures
Herein, we address the challenge of high core losses in soft magnetic composites (SMCs) at high frequencies by developing a FeSiAl/WS2 composite system processed under a transverse magnetic field (TMF). In this study, 200- and 600-mesh FeSiAl powders were used as base
[...] Read more.
Herein, we address the challenge of high core losses in soft magnetic composites (SMCs) at high frequencies by developing a FeSiAl/WS2 composite system processed under a transverse magnetic field (TMF). In this study, 200- and 600-mesh FeSiAl powders were used as base materials and combined with 2.25 wt.% two-dimensional tungsten disulfide (WS2; an insulating agent) to prepare FeSiAl/2.25 wt.%WS2 soft magnetic composites via ultrasonic mixing. The evolution of soft magnetic properties under a transverse magnetic field (TMF) was systematically investigated. The novelty of this work lies in the synergistic combination of fine FeSiAl particles and WS2 nanosheets as an interparticle insulator and the application of a TMF to simultaneously suppress eddy current and hysteresis losses—a challenge that is difficult to address using conventional approaches. Morphological analysis confirmed a uniform and continuous organic coating of WS2 nanosheets on FeSiAl particle surfaces. Permeability measurements revealed a slight decrease in effective permeability after the TMF treatment; however, the high-frequency performance was markedly enhanced. Magnetic loss analysis revealed a substantial reduction in the hysteresis loss and an increase in the quality factor under the TMF. Notably, the FeSiAl (600 mesh)/2.25 wt.% WS2 composite achieved a total magnetic loss of 234 kW/m3 under a TMF of 140 kA/m, magnetic induction of 20 mT, and frequency of 1 MHz, representing a 69% reduction compared with conventional SMCs. These results not only validate the effectiveness of the proposed synergistic approach but also highlight the potential of FeSiAl (600 mesh)/2.25 wt.% WS2 for use in high-power, high-frequency magnetic devices, with improved energy efficiency and thermal performance.
Full article

Figure 1
Open AccessArticle
Synthesis, Structural, and Magnetic Properties of High-Entropy (Fe0.2Co0.2Cu0.2Ni0.2Mn0.2)Nb2O6
by
Maria J. S. Lima, Fernando E. S. Silva, Matheus D. Silva, Kivia F. G. Araujo, Marco A. Morales and Uílame U. Gomes
Magnetochemistry 2025, 11(11), 94; https://doi.org/10.3390/magnetochemistry11110094 - 28 Oct 2025
Abstract
In this work, we present the first report on the synthesis via the sol–gel method of a high-entropy (Fe0.2Co0.2Cu0.2Ni0.2Mn0.2)Nb2O6 with columbite–orthorhombic structure. Polyvinylpyrrolidone (PVP), ammonium niobium oxalate, and equimolar amounts
[...] Read more.
In this work, we present the first report on the synthesis via the sol–gel method of a high-entropy (Fe0.2Co0.2Cu0.2Ni0.2Mn0.2)Nb2O6 with columbite–orthorhombic structure. Polyvinylpyrrolidone (PVP), ammonium niobium oxalate, and equimolar amounts of Fe, Co, Cu, Ni, and Mn ions were used. The refinement of the XRD pattern showed the presence of niobate crystallites with an average size of 48.4 nm and a fraction of 7.6 wt% of a spinel-like phase. At temperatures below 5 K, the DC and AC magnetometry results revealed the presence of a ferromagnetic-like phase due to the niobate phase. The Mössbauer spectrum at 300 K showed a paramagnetic and two magnetically ordered components corresponding to the niobate and the spinel-like phases, respectively. The spectral components were typical of Fe3+, indicating the presence of cation vacancies. The elemental mapping obtained from EDS measurements showed compositional homogeneity. The XRF measurements confirmed a composition consistent with nominal values. These results confirm the feasibility of synthesizing entropy-stabilized columbite oxides via the sol–gel route, opening new opportunities for the design of multifunctional ceramics with tunable structural and magnetic properties for high-performance thermal barrier coatings and energy conversion applications.
Full article
(This article belongs to the Special Issue Magnetic Materials and Composites: Synthesis, Properties, and Applications)
►▼
Show Figures

Figure 1
Open AccessArticle
Core Loss Prediction Model of High-Frequency Sinusoidal Excitation Based on Artificial Neural Network
by
Cunhao Lu, Fanjie Meng, Jiajie Zhang and Zeyuan Zhang
Magnetochemistry 2025, 11(11), 93; https://doi.org/10.3390/magnetochemistry11110093 - 25 Oct 2025
Abstract
►▼
Show Figures
The magnitude of core loss is a crucial factor affecting the efficiency of power converters. Due to the complex mechanism of core loss, diverse influencing factors, and the strong coupling characteristics between materials and operating conditions, traditional core loss prediction models struggle to
[...] Read more.
The magnitude of core loss is a crucial factor affecting the efficiency of power converters. Due to the complex mechanism of core loss, diverse influencing factors, and the strong coupling characteristics between materials and operating conditions, traditional core loss prediction models struggle to achieve high-precision prediction of core loss. Based on the Artificial Neural Network (ANN), this paper investigates core loss under high-frequency sinusoidal excitation. The core loss training data is processed using a logarithmic transformation method, and an ANN core loss prediction model is established with temperature, frequency, and magnetic flux density as features. The results show that, compared with non-logarithmic processing, logarithmic transformation of the data can effectively improve the prediction accuracy (PA) of the ANN model. Within the ±10% error range, the maximum PA of the ANN prediction model reaches 98.48%, and the minimum Mean Absolute Percentage Error (MAPE) can be as low as 2.58%. In addition, a comparison with the Steinmetz Equation (SE) and K-nearest neighbor (KNN) prediction models reveals that, for four materials, within the ±10% error range of the true core loss values, the minimum PA of the ANN model is 93.33% with an average of 95.38%; the minimum PA of the KNN model is 43.94% with an average of 62.07%; and the minimum PA of the SE model is 14.91% with an average of 19.83%. Furthermore, the MAPE of the ANN model is within 5%.
Full article

Figure 1
Open AccessArticle
Effect of Magnetic Field on Electrochemical Corrosion Behavior of H62 Brass Alloy
by
Hexiang Huang, Dazhao Yu, Hongjun Zhao, Aiguo Gao, Yanan Li and Jiantao Qi
Magnetochemistry 2025, 11(11), 92; https://doi.org/10.3390/magnetochemistry11110092 - 24 Oct 2025
Abstract
►▼
Show Figures
This study investigates the influence of magnetic fields on the electrochemical corrosion behavior of aerospace-grade H62 brass alloy in 3.5 wt% NaCl solution and its underlying 10 mechanisms. Employing electrochemical testing techniques combined with surface characterization methods, we explored the effects of magnetic
[...] Read more.
This study investigates the influence of magnetic fields on the electrochemical corrosion behavior of aerospace-grade H62 brass alloy in 3.5 wt% NaCl solution and its underlying 10 mechanisms. Employing electrochemical testing techniques combined with surface characterization methods, we explored the effects of magnetic field intensity (25–100 mT) and orientation (parallel and perpendicular to electrode surface) on the corrosion kinetics and corrosion product evolution of H62 brass alloy. Results demonstrate that magnetic fields significantly accelerate the corrosion process of H62 brass alloy. Under parallel magnetic field (100 mT), the corrosion current density increased from 0.49 μA/cm2 to 3.66 μA/cm2, approximately 7.5 times that of the non-magnetic condition, while perpendicular magnetic field increased it to 1.73 μA/cm2, approximately 3.5 times the baseline value. The charge transfer resistance decreased from 3382 Ω·cm2 to 1335 Ω·cm2. Magnetic field orientation determines the fundamental differences in corrosion acceleration mechanisms. Parallel magnetic fields primarily enhance mass transfer processes through Lorentz force-driven magnetohydrodynamic (MHD) effects, resulting in intensified uniform corrosion; perpendicular magnetic fields alter interfacial ion distribution through magnetic gradient forces, inducing localized corrosion tendencies. Magnetic fields promote the transformation of protective Cu2O films into porous Cu2(OH)3Cl, reducing the protective capability of corrosion product layers.
Full article

Figure 1
Open AccessArticle
Investigating Magnetic Nanoparticle–Induced Field Inhomogeneity via Monte Carlo Simulation and NMR Spectroscopy
by
Song Hu, Yapeng Zhang and Bin Zhang
Magnetochemistry 2025, 11(11), 91; https://doi.org/10.3390/magnetochemistry11110091 - 23 Oct 2025
Abstract
Magnetic nanoparticles (MNPs) perturb magnetic field homogeneity, influencing transverse relaxation and the full width at half maximum (FWHM) of nuclear magnetic resonance (NMR) spectra. In Nuclear Magnetic Resonance (NMR), this appears as decay of the free induction decay (FID) signal, whose relaxation rate
[...] Read more.
Magnetic nanoparticles (MNPs) perturb magnetic field homogeneity, influencing transverse relaxation and the full width at half maximum (FWHM) of nuclear magnetic resonance (NMR) spectra. In Nuclear Magnetic Resonance (NMR), this appears as decay of the free induction decay (FID) signal, whose relaxation rate determines spectral FWHM. In D2O containing MNPs, both nanoparticles and solvent molecules undergo Brownian motion and diffusion. Under a vertical main field ( ), MNPs respond to their magnetization behavior, evolving toward a dynamic steady state in which the time-averaged distribution of local field fluctuations remains stable. The resulting spatial magnetic field can thus characterize field homogeneity. Within this framework, Monte Carlo simulations of spatial field distributions approximate the dynamic environment experienced by nuclear spins. NMR experiments confirm that increasing MNP concentration and particle size significantly broadens FWHM, while stronger enhances sensitivity to MNP-induced inhomogeneities.
Full article
(This article belongs to the Section Magnetic Nanospecies)
►▼
Show Figures

Figure 1
Open AccessCommunication
Skyrmion Pair Racetrack Utilizing Hall Motion
by
Shan Qiu, Tianle Zhang, Xiaotong Han, Jiahao Liu, Liang Fang and Yun Cheng
Magnetochemistry 2025, 11(10), 90; https://doi.org/10.3390/magnetochemistry11100090 - 20 Oct 2025
Abstract
The skyrmion racetrack is a promising concept for future information technology. The primary issues with skyrmion racetrack memory are now error codes and Hall motion. Here, we propose a skyrmion pair racetrack memory. The Oersted fields generated by the non-contact current-carrying wire in
[...] Read more.
The skyrmion racetrack is a promising concept for future information technology. The primary issues with skyrmion racetrack memory are now error codes and Hall motion. Here, we propose a skyrmion pair racetrack memory. The Oersted fields generated by the non-contact current-carrying wire in the middle of the magnetic nanostrip stabilize the skyrmion pairs in the nanostrip, which are separated by a naturally formed domain wall. Through numerical models and micromagnetic simulations, we demonstrate that such a skyrmion pair can produce linear Hall motion along the nanostrip under the linear control of the Oersted field gradient. These findings offer a high-reliability method for skyrmion racetrack memory and a more efficient approach to designing devices that use the skyrmion Hall effect.
Full article
(This article belongs to the Special Issue Magnetic Materials and Composites: Synthesis, Properties, and Applications)
►▼
Show Figures

Figure 1
Open AccessReview
Magnetic Fields as Biophysical Modulators of Anticancer Drug Action
by
Xin Yu and Yue Lv
Magnetochemistry 2025, 11(10), 89; https://doi.org/10.3390/magnetochemistry11100089 - 16 Oct 2025
Cited by 1
Abstract
►▼
Show Figures
Magnetic fields (MFs), including static (SMFs) and extremely low-frequency electromagnetic fields (ELF-EMFs), have recently emerged as potential modulators of anticancer drug responses. Evidence indicates that MFs can influence membrane transport, oxidative stress, DNA damage, apoptosis, and cell cycle regulation, thereby altering the efficacy
[...] Read more.
Magnetic fields (MFs), including static (SMFs) and extremely low-frequency electromagnetic fields (ELF-EMFs), have recently emerged as potential modulators of anticancer drug responses. Evidence indicates that MFs can influence membrane transport, oxidative stress, DNA damage, apoptosis, and cell cycle regulation, thereby altering the efficacy of chemotherapeutics and targeted agents. These effects are strongly dependent on MFs’ parameters and biological context, leading to synergistic, antagonistic and no-effect outcomes. However, inconsistent exposure protocols, limited reproducibility, and scarce clinical validation remain major obstacles. This review highlights current experimental findings, proposes mechanistic links between MFs and drug action, and outlines key challenges for advancing MF-based adjuvant strategies in oncology.
Full article

Figure 1
Open AccessArticle
Artificial Neural Network-Based Heat Transfer Analysis of Sutterby Magnetohydrodynamic Nanofluid with Microorganism Effects
by
Fateh Ali, Mujahid Islam, Farooq Ahmad, Muhammad Usman and Sana Ullah Asif
Magnetochemistry 2025, 11(10), 88; https://doi.org/10.3390/magnetochemistry11100088 - 10 Oct 2025
Abstract
►▼
Show Figures
Background: The study of non-Newtonian fluids in thin channels is crucial for advancing technologies in microfluidic systems and targeted industrial coating processes. Nanofluids, which exhibit enhanced thermal properties, are of particular interest. This paper investigates the complex flow and heat transfer characteristics of
[...] Read more.
Background: The study of non-Newtonian fluids in thin channels is crucial for advancing technologies in microfluidic systems and targeted industrial coating processes. Nanofluids, which exhibit enhanced thermal properties, are of particular interest. This paper investigates the complex flow and heat transfer characteristics of a Sutterby nanofluid (SNF) within a thin channel, considering the combined effects of magnetohydrodynamics (MHD), Brownian motion, and bioconvection of microorganisms. Analyzing such systems is essential for optimizing design and performance in relevant engineering applications. Method: The governing non-linear partial differential equations (PDEs) for the flow, heat, concentration, and bioconvection are derived. Using lubrication theory and appropriate dimensionless variables, this system of PDEs is simplified into a more simplified system of ordinary differential equations (ODEs). The resulting nonlinear ODEs are solved numerically using the boundary value problem (BVP) Midrich method in Maple software to ensure accuracy. Furthermore, data for the Nusselt number, extracted from the numerical solutions, are used to train an artificial neural network (ANN) model based on the Levenberg–Marquardt algorithm. The performance and predictive capability of this ANN model are rigorously evaluated to confirm its robustness for capturing the system’s non-linear behavior. Results: The numerical solutions are analyzed to understand the variations in velocity, temperature, concentration, and microorganism profiles under the influence of various physical parameters. The results demonstrate that the non-Newtonian rheology of the Sutterby nanofluid is significantly influenced by Brownian motion, thermophoresis, bioconvection parameters, and magnetic field effects. The developed ANN model demonstrates strong predictive capability for the Nusselt number, validating its use for this complex system. These findings provide valuable insights for the design and optimization of microfluidic devices and specialized coating applications in industrial engineering.
Full article

Figure 1
Open AccessEditorial
Advances in Soft Magnetic Materials
by
Kaixuan Li and Zhaoyang Wu
Magnetochemistry 2025, 11(10), 87; https://doi.org/10.3390/magnetochemistry11100087 - 9 Oct 2025
Abstract
Soft magnetic materials have emerged as promising candidates due to their high power density in diverse magnetic components utilized for energy conversion, filtering, resonance, and isolation [...]
Full article
(This article belongs to the Special Issue Advances in Soft Magnetic Materials)
Journal Menu
► ▼ Journal Menu-
- Magnetochemistry Home
- Aims & Scope
- Editorial Board
- Reviewer Board
- Topical Advisory Panel
- Instructions for Authors
- Special Issues
- Topics
- Sections
- Article Processing Charge
- Indexing & Archiving
- Editor’s Choice Articles
- Most Cited & Viewed
- Journal Statistics
- Journal History
- Journal Awards
- Editorial Office
- 10th Anniversary
Journal Browser
► ▼ Journal BrowserHighly Accessed Articles
Latest Books
E-Mail Alert
News
Topics
Topic in
Chemistry, IJMS, Molecules, Quantum Reports, Symmetry, Magnetochemistry
Theoretical, Quantum and Computational Chemistry—2nd Edition
Topic Editors: Jorge Garza, Andrei L. TchougréeffDeadline: 31 July 2026
Topic in
Electronic Materials, IJMS, Magnetochemistry, Materials, Nanomaterials
Magnetic Nanoparticles and Thin Films
Topic Editors: Renat F. Sabirianov, Ahmad AlsaadDeadline: 31 December 2026
Special Issues
Special Issue in
Magnetochemistry
Magnetic Nano- and Microparticles in Biotechnology
Guest Editors: Ângela Leão Andrade, Rosangela María Costa SilvaDeadline: 30 December 2025
Special Issue in
Magnetochemistry
Magnetic Nanoscale Materials and Exotic Spin Structures: A 65th Birthday Gift to Annie K. Powell
Guest Editors: Masooma Ibrahim, Jonas BraunDeadline: 31 December 2025
Special Issue in
Magnetochemistry
Fundamentals and Applications of Magnetic Nanospecies—Educational Aspects
Guest Editor: Evgeny KatzDeadline: 31 December 2025
Special Issue in
Magnetochemistry
Advances in Magnetic Metal–Organic Frameworks
Guest Editor: Jakub HrubýDeadline: 31 December 2025


