Multifaceted Analysis of Pr2Fe16.75Ni0.25 Intermetallic Compound: Crystallographic Insights, Critical Phenomena, and Thermomagnetic Behavior near Room Temperature
Abstract
1. Introduction
2. Experimental Techniques
3. Results and Discussion
3.1. SEM-EDX Analysis
3.2. Crystal Structure and Rietveld Refinement
3.3. Intrinsic Magnetic Properties
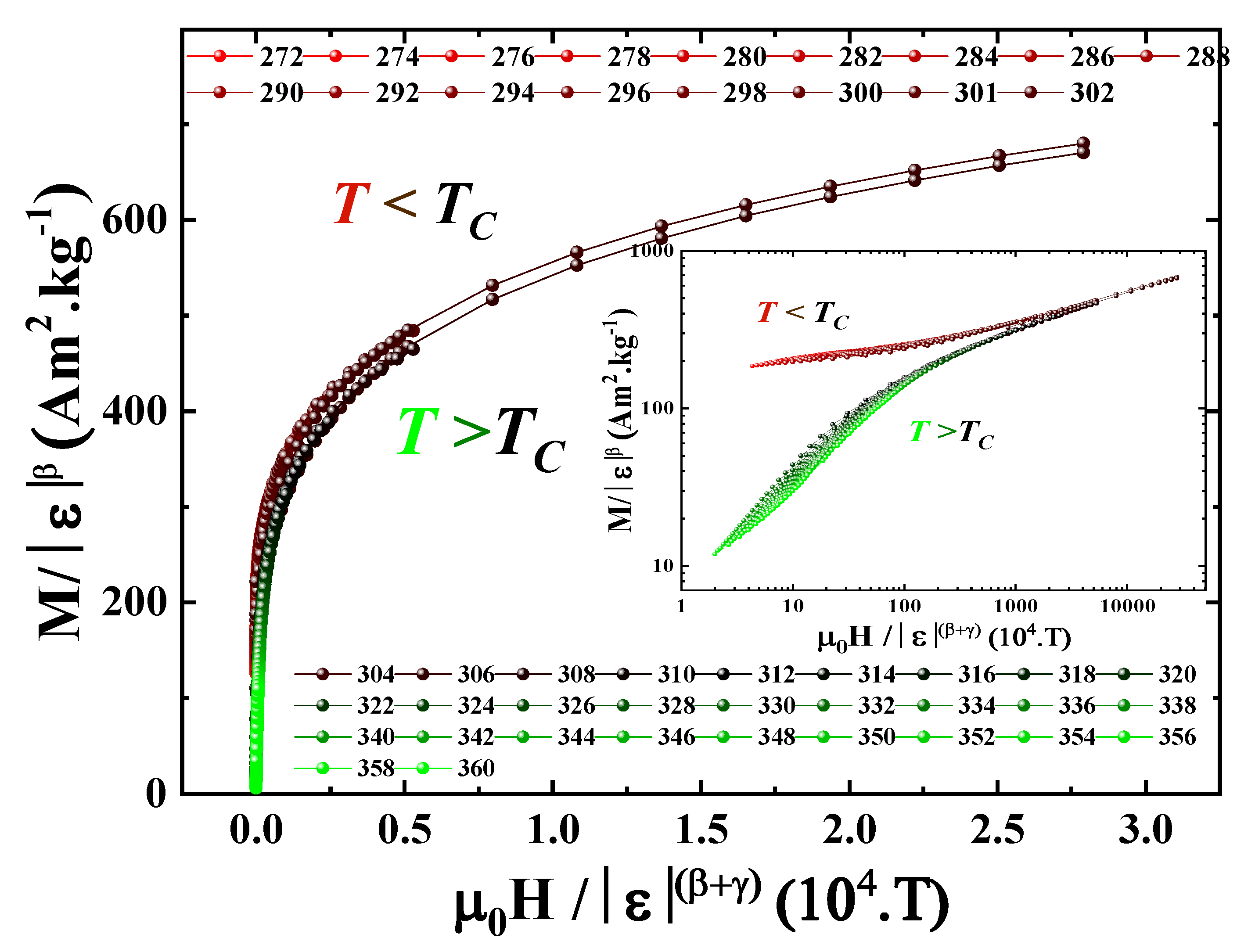
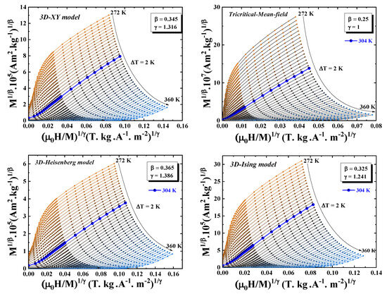
3.4. Arrot Plots and Critical Phenomena
- For temperatures below the Curie point (), the spontaneous magnetization , defined as , follows a power-law behavior governed by the exponent :
- Above , the inverse of the initial magnetic susceptibility varies with temperature according to the exponent :
- At the critical temperature (), the relationship between magnetization M and applied field follows a power law defined by the critical exponent :
- The scaling hypothesis further provides a generalized magnetic equation of state relating M, , and as:where and represent regular analytic functions for and , respectively.
3.5. Magnetocaloric Properties
4. Conclusions
Author Contributions
Funding
Institutional Review Board Statement
Informed Consent Statement
Data Availability Statement
Acknowledgments
Conflicts of Interest
References
- Gschneidner, K.A.; Pecharsky, V.K.; Tsokol, A.O. Recent developments in magnetocaloric materials. Rep. Prog. Phys. 2005, 68, 1479. [Google Scholar] [CrossRef]
- Pecharsky, V.K.; Gschneidner, K.A. Giant Magnetocaloric Effect in Gd5(Si2Ge2). Phys. Rev. Lett. 1997, 78, 4494. [Google Scholar] [CrossRef]
- Gutfleisch, O.; Willard, M.A.; Brück, E.; Chen, C.H.; Sankar, S.G.; Liu, J.P. Magnetic Materials and Devices for the 21st Century: Stronger, Lighter, and More Energy Efficient. Adv. Mat. 2011, 23, 821–842. [Google Scholar] [CrossRef]
- Morrison, K.; Lyubina, J.; Moore, J.D.; Sandeman, K.G.; Gutfleisch, O.; Cohen, L.F.; Caplin, A.D. Magnetic refrigeration: Phase transitions, itinerant magnetism and spin fluctuations. Philos. Mag. 2012, 92, 292–303. [Google Scholar] [CrossRef]
- Chen, Y.F.; Wang, F.; Shen, B.G.; Hu, F.X.; Sun, J.R.; Wang, G.J.; Cheng, Z.H. Magnetic properties and magnetic entropy change of LaFe11.5Si1.5Hy interstitial compounds. J. Phys. Condens. Matter 2003, 15, L161. [Google Scholar] [CrossRef]
- Wada, H.; Tanabe, Y. Giant magnetocaloric effect of MnAs1−xSbx. Appl. Phys. Lett. 2001, 79, 3302–3304. [Google Scholar] [CrossRef]
- Manekar, M.; Roy, S.B. Reproducible room temperature giant magnetocaloric effect in Fe–Rh. J. Phys. D Appl. Phys. 2008, 41, 192004. [Google Scholar] [CrossRef]
- Guo, Z.B.; Du, Y.W.; Zhu, J.S.; Huang, H.; Ding, W.P.; Feng, D. Large Magnetic Entropy Change in Perovskite-Type Manganese Oxides. Phys. Rev. Lett. 1997, 78, 1142–1145. [Google Scholar] [CrossRef]
- Phan, M.H.; Yu, S.C. Review of the magnetocaloric effect in manganite materials. J. Magn. Magn. Mater. 2007, 308, 325–340. [Google Scholar] [CrossRef]
- Skini, R.; Khlifi, M.; Dhahri, E.; Hlil, E.K. Magnetocaloric-Transport Properties Correlation in La0.8Ca0.2MnO3-Doped Manganites. J. Supercond. Nov. Magn. 2017, 30, 3091–3095. [Google Scholar] [CrossRef]
- Gharbi, S.; Marouani, Y.; Issaoui, F.; Dhahri, E.; Hlil, E.K.; Barille, R.; Costa, B.F.O. Assessment of structural, optical, magnetic, magnetocaloric properties and critical phenomena of La0.57Nd0.1Sr0.18Ag0.15MnO3 system at room temperature. J. Mater. Sci. Mater. Electron. 2020, 31, 11983–11996. [Google Scholar] [CrossRef]
- Pecharsky, V.K.; Gschneidner, K.A. Magnetocaloric effect from indirect measurements: Magnetization and heat capacity. J. Appl. Phys. 1999, 86, 565–575. [Google Scholar] [CrossRef]
- Gschneidner, K.A. The magnetocaloric effect, magnetic refrigeration and ductile intermetallic compounds. Acta Mater. 2009, 57, 18–28. [Google Scholar] [CrossRef]
- Lyubina, J.; Schäfer, R.; Martin, N.; Schultz, L. Novel Design of La(Fe,Si)13 Alloys Towards High Magnetic Refrigeration Performance. Adv. Matter 2010, 22, 3735–3739. [Google Scholar] [CrossRef]
- Alvarez, P.; Gorria, P.; Sanchez-Llamazares, J.; Perez, M.J.; Franco, V.; Reiffers, M.; Curlik, I.; Gazo, E.; Kovac, J.; Blanco, J.A. Magnetic properties and magneto-caloric effect in pseudo-binary intermetallic (Ce,R)2Fe17 compounds (R = Y, Pr and Dy). Intermetallics 2011, 19, 982–987. [Google Scholar] [CrossRef]
- Guetari, R.; Bez, R.; Belhadj, A.; Zehani, K.; Bezergheanu, A.; Mliki, N.; Bessais, L.; Cizmas, C.B. Influence of Al substitution on magnetocaloric effect of Pr2Fe17−xAlx. J. Alloys Compd. 2014, 588, 64–69. [Google Scholar] [CrossRef]
- Zhong, X.C.; Liu, Z.W.; Zeng, D.C.; Gschneidner, K.A.; Pecharsky, V.K. Magnetocaloric effect of Pr2Fe17−xMnx alloys. Rare Met. 2014, 33, 552–555. [Google Scholar] [CrossRef]
- Cengiz, N.E.; Pektas, M.; Kaya, A.O.; Bayri, N.; Izgi, T.; Gencer, H.; Kolat, V.S.; Atalay, S. Influence of Ti substitution on magnetic and magnetocaloric properties of Pr2Fe17−xTix intermetallic compounds. J. Mater. Sci. Mater. Electron. 2023, 34, 346. [Google Scholar] [CrossRef]
- Charfeddine, S.; Zehani, K.; Bessais, L.; Korchef, A. Structural, magnetic, magneto-caloric and Mössbauer spectral study of Tb2Fe17 compound synthesized by arc melting. J. Solid State Chem. 2016, 238, 15–20. [Google Scholar] [CrossRef]
- Bouchaala, N.; Jemmali, M.; Bartoli, T.; Nouri, K.; Hentech, I.; Walha, S.; Bessais, L.; Ben Salah, A. Influence of Fe-substitution on structural, magnetic and magnetocaloric properties of Nd2Fe17−xCox solid solutions. J. Solid State Chem. 2018, 258, 501–509. [Google Scholar] [CrossRef]
- Dahal, B.; Kharel, P.; Ott, T.; Zhang, W.; Valloppilly, S.; Skomski, R.; Sellmyer, D. Magnetic and magnetocaloric properties of Pr2−xNdxFe17 ribbons. AIP Adv. 2019, 9, 035211. [Google Scholar] [CrossRef]
- Bouzidi, W.; Nouri, K.; Bartoli, T.; Sedek, R.; Lassri, H.; Moscovici, J.; Bessais, L. Study of the magnetic and magnetocaloric properties at low-field in Nd2Fe17−xSix intermetallics. J. Magn. Magn. Mater. 2020, 497, 166018. [Google Scholar] [CrossRef]
- Nouri, K.; Saidi, M.; Bessais, L.; Jemmali, M. Structural, magnetic and magnetocaloric study of Sm2Fe17−xNix (x = 0, 0.25, 0.35 and 0.5) compounds. Appl. Phys. A 2021, 127, 442. [Google Scholar] [CrossRef]
- Jaballah, H.; Bouzidi, W.; Fersi, R.; Mliki, N.; Bessais, L. Structural, magnetic and magnetocaloric properties of (Pr,Sm)2Fe17 compound at room temperature. J. Phys. Chem. Solids 2022, 161, 110438. [Google Scholar] [CrossRef]
- Sanchez-Llamazares, J.; Perez, M.J.; Alvarez, P.; Santos, J.D.; Sanchez, M.L.; Hernando, B.; Blanco, J.A.; Marcos, J.S.; Gorria, P. The effect of ball milling in the microstructure and magnetic properties of Pr2Fe17 compound. J. Alloys Compd. 2009, 483, 682–685. [Google Scholar] [CrossRef]
- Nouri, K.; Bartoli, T.; Chrobak, A.; Moscovici, J.; Bessais, L. Magnetism and Hyperfine Parameters in Iron Rich Gd2Fe17−xSix Intermetallics. J. Electron. Mater. 2018, 47, 3836–3846. [Google Scholar] [CrossRef]
- Rietveld, H. A profile refinement method for nuclear and magnetic structures. J. Appl. Crystallogr. 1969, 2, 65–71. [Google Scholar] [CrossRef]
- Rodríguez-Carvajal, J. Recent advances in magnetic structure determination by neutron powder diffraction. Physica. B 1993, 192, 55–59. [Google Scholar] [CrossRef]
- Cullity, B.D.; Graham, C.D. Introduction to Magnetic Materials; John Wiley & Sons: Hoboken, NJ, USA, 2011. [Google Scholar]
- Khelifi, J.; Tozri, A.; Issaoui, F.; Dhahri, E.; Hlil, E. The influence of disorder on critical behavior near the paramagnetic to ferromagnetic phase transition temperature in (La1−xNdx)2/3(Ca1−ySry)1/3MnO3 doped manganite. J. Alloys Compd. 2014, 584, 617–624. [Google Scholar] [CrossRef]
- Kou, X.C.; de Boer, F.R.; Grössinger, R.; Wiesinger, G.; Suzuki, H.; Kitazawa, H.; Takamasu, T.; Kido, G. Magnetic anisotropy and magnetic phase transitions in R2Fe17 with R = Y, Ce, Pr, Nd, Sm, Gd, Tb, Dy, Ho, Er, Tm and Lu. J. Magn. Magn. Mater. 1998, 177–181, 1002–1007. [Google Scholar] [CrossRef]
- Zehani, K.; Bez, R.; Boutahar, A.; Hlil, E.; Lassri, H.; Mliki, J.M.N.; Bessais, L. Structural, magnetic, and electronic properties of high moment FeCo nanoparticles. J. Alloys Compd. 2014, 591, 58–64. [Google Scholar] [CrossRef]
- Grandjean, F.; Ezekwenna, P.C.; Long, G.J.; Pringle, O.A.; l’Heritier, P.; Ellouze, M.; Luo, H.P.; Yelon, W.B. Neutron diffraction and Mössbauer spectral study of Nd2Fe16Ti and its nitride. J. Appl. Phys. 1998, 84, 1893–1900. [Google Scholar] [CrossRef]
- Hao, S.Q.; Chen, N.X.; Shen, J. Atomistic study on the structure and Curie temperature for Nd2Fe17−xCrx. J. Magn. Magn. Mater. 2002, 246, 115–123. [Google Scholar] [CrossRef]
- Hao, S.Q.; Chen, N.X.; Shen, J. Phase stability and site preference of Nd2Fe17−xTx (T V, Ti, Nb) and Nd2−xZrxFe17. J. Alloys Compd. 2002, 343, 53–59. [Google Scholar] [CrossRef]
- Khazzan, S.; Mliki, N.; Bessais, L.; Djega-Mariadassou, C. Rare-earth iron-based intermetallic compounds and their carbides: Structure and magnetic behaviors. J. Magn. Magn. Mater. 2010, 322, 224–229. [Google Scholar] [CrossRef]
- Bartoli, T.; Joubert, J.; Provost, K.; Elkaim, E.; Paul-Boncour, V.; Monnier, J.; Moscovici, J.; Bessais, L. Site Occupancy Determination in Th2Zn17- and TbCu7-types Sm2Fe17−xCox Compounds using Synchrotron Resonant Diffraction. Inorg. Chem. 2021, 60, 1533–1541. [Google Scholar]
- Givord, D.; Lemaire, R. Magnetic transition and anomalous thermal expansion in R2Fe17compounds. IEEE Trans. Magn. 1974, 10, 109–113. [Google Scholar] [CrossRef]
- Li, Z.; Morrish, A. Negative exchange interactions and Curie temperatures for Sm2Fe17 and Sm2Fe17Ny. Phys. Rev. B 1997, 55, 3670–3676. [Google Scholar] [CrossRef]
- Bessais, L.; Younsi, K.; Khazzan, S.; Mliki, N. X-ray and intrinsic magnetic properties of nanocrystalline Sm2(Fe,M)17 (M = Si, Ga, Co, Cr, Zr or Mo). Intermetallics 2011, 19, 997–1004. [Google Scholar] [CrossRef]
- Horcheni, J.; Nouri, K.; Dhahri, E.; Bessais, L. Crystal structure, critical phenomena and magnetocaloric properties of Ni-substituted ferromagnetic Pr2Fe17 intermetallic compound around room temperature. J. Solid State Chem. 2023, 326, 124219. [Google Scholar] [CrossRef]
- Banerjee, B.K. On a generalised approach to first and second order magnetic transitions. Phys. Lett. 1964, 2, 16–17. [Google Scholar] [CrossRef]
- Moutis, N.; Panagiotopoulos, I.; Pissas, M.; Niarchos, D. Structural and magnetic properties of La0.67(BaxCa1−x)0.33MnO3 perovskites (0 < x < 1). Phys. Rev. B 1999, 59, 1129–1133. [Google Scholar]
- Arrott, A.; Noakes, J.E. Approximate Equation of State For Nickel Near its Critical Temperature. Phys. Rev. Lett. 1967, 19, 786–789. [Google Scholar] [CrossRef]
- Dhahri, K.; Dhahri, N.; Dhahri, J.; Taibi, K.; Hlil, E.K.; Belmabrouk, H.; Zaidi, M. Magnetic, magnetocaloric and critical behavior investigation of La0.7Ca0.1Pb0.2Mn1−x−yAlxSnyO3 (x, y = 0.0, 0.05 and 0.075) prepared by a sol–gel method. RSC Adv. 2017, 7, 43410–43423. [Google Scholar] [CrossRef]
- Kouvel, J.S.; Fisher, M.E. Detailed Magnetic Behavior of Nickel Near its Curie Point. Phys. Rev. 1964, 136, A1626–A1632. [Google Scholar] [CrossRef]
- Jaballah, H.; Guetari, R.; Mliki, N.; Bessais, L. Magnetic properties, critical behavior and magnetocaloric effect in the nanocrystalline Pr2Fe16Al. J. Phys. Chem. Solids 2022, 169, 110752. [Google Scholar] [CrossRef]
- Zhang, L.; Menzel, D.; Jin, C.; Du, H.; Ge, M.; Zhang, C.; Pi, L.; Tian, M.; Zhang, Y. Critical behavior of the single-crystal helimagnet MnSi. Phys. Rev. B 2015, 91, 024403. [Google Scholar] [CrossRef]
- Jaballah, H.; Greneche, J.-M.; Mliki, N.; Bessais, L. Magnetic phase transition and critical behavior in (Pr,Sm)2Fe17 compounds: A comprehensive study using macroscopic and local experimental approaches. Mater. Res. Bull. 2024, 180, 113022. [Google Scholar] [CrossRef]
- Fisher, M.E.; Ma, S.k.; Nickel, B. Critical Exponents for Long-Range Interactions. Phys. Rev. Lett. 1972, 29, 917–920. [Google Scholar] [CrossRef]
- Pramanik, A.; Banerjee, A. Critical behavior at paramagnetic to ferromagnetic phase transition in Pr0.5Sr0.5MnO3: A bulk magnetization study. Phys. Rev. B 2009, 79, 214426. [Google Scholar] [CrossRef]
- Horcheni, J.; Nouri, K.; Jaballah, H.; Bessais, L.; Dhahri, E.; Jemmali, M. Magnetocaloric Properties and Critical Behaviour of the Sm2Ni17 Compound. Appl. Sci. 2023, 13, 6575. [Google Scholar]
- Zhong, W.; Chen, W.; Ding, W.P.; Zhang, N.; Hu, A.; Du, Y.W.; Yan, Q.J. Structure, composition and magnetocaloric properties in polycrystalline La1−xAxMnO3+δ (A = Na, K). J. Eur. Phys. B 1998, 3, 169–174. [Google Scholar] [CrossRef]
- Pecharsky, V.K.; Gschneidner, K.A. Effect of alloying on the giant magnetocaloric effect of Gd5(Si2Ge2). J. Magn. Magn. Mater. 1997, 167, L179–L184. [Google Scholar] [CrossRef]
- Habiba, U.e.; Khattak, K.S.; Ali, S.; Khan, Z.H. MnAs and MnFeP1−xAsx-based magnetic refrigerants: A review. Mater. Res. Express 2020, 7, 046106. [Google Scholar] [CrossRef]
- Fujita, A.; Fujieda, S.; Fukamichi, K. Influence of hydrogenation on the electronic structure and the itinerant-electron metamagnetic transition in strong magnetocaloric compound La(Fe0.88Si0.12)13. J. Magn. Magn. Mater. 2009, 321, 3553–3558. [Google Scholar] [CrossRef]
- Jasinski, M.; Liu, J.; Jacobs, S.; Zimm, C. La(Fe, Co, Si)13 bulk alloys and ribbons with high temperature magnetocaloric effect. Appl. Phys. 2010, 107, 09A902. [Google Scholar] [CrossRef]













| Pr2Fe16.75Ni0.25 | ||
|---|---|---|
| Element | Weight % | Atomic % |
| Pr | 28.47 | 13.63 |
| Fe | 70.80 | 85.53 |
| Ni | 0.73 | 0.84 |
| Total | 100 | 100 |
| Sample | Pr2Fe16.75Ni0.25 |
|---|---|
| Space group | |
| a (Å) | 8.5896(1) |
| c (Å) | 12.4742(2) |
| 1.452 | |
| V (Å3) | 797.06(2) |
| 0.288(1) | |
| 0.502(1) | |
| 0.155(1) | |
| (Pr) | 0.343(1) |
| (Fe/Ni) | 0.095(1) |
| 6.56 | |
| 6.03 | |
| 1.96 |
| Sites | /Coupled Type (FM/AFM) | Number | |||||
|---|---|---|---|---|---|---|---|
| Pr2Fe17 [16] | Pr2Fe16.9Ni0.1 [41] | Pr2Fe16.75Ni0.25 | Fe/Ni | ||||
| 2.31 | AFM | 2.364(5) | AFM | 2.375(7) | AFM | 1 | |
| 2.64 | FM | 2.635(1) | FM | 2.635(1) | FM | 3 | |
| 2.69 | FM | 2.734(2) | FM | 2.742(3) | FM | 6 | |
| 2.68 | FM | 2.647(3) | FM | 2.663(3) | FM | 3 | |
| 2.43 | AFM | 2.4401(9) | AFM | 2.442(1) | AFM | 4 | |
| 2.44 | AFM | 2.464(2) | FM | 2.470(1) | FM | 4 | |
| 2.63 | FM | 2.635(1) | FM | 2.635(1) | FM | 2 | |
| 2.43 | AFM | 2.465(1) | FM | 2.471(2) | FM | 2 | |
| 2.55 | FM | 2.542(2) | FM | 2.566(3) | FM | 2 | |
| 2.675(3) | FM | 2.656(3) | FM | 2 | |||
| 2.69 | FM | 2.734(2) | FM | 2.742(3) | FM | 2 | |
| 2.43 | AFM | 2.4401(2) | AFM | 2.442(1) | AFM | 2 | |
| 2.48 | FM | 2.526(2) | FM | 2.525(2) | FM | 2 | |
| 2.67 | FM | 2.647(3) | FM | 2.663(3) | FM | 1 | |
| 2.44 | AFM | 2.464(2) | FM | 2.470(1) | FM | 2 | |
| 2.56 | FM | 2.542(2) | FM | 2.566(3) | FM | 2 | |
| 2.675(2) | FM | 2.656(3) | FM | 2 | |||
| Method | ||||||
|---|---|---|---|---|---|---|
| Mean-field | Theory | - | 1 | 3 | [48] | |
| 3D-Heisenberg | Theory | - | [48] | |||
| 3D-Ising | Theory | - | [48] | |||
| Tricritical mean-field | Theory | - | 1 | 5 | [48] | |
| Pr2Fe16.9Ni0.1 | MAP | [41] | ||||
| KF | ||||||
| CI | 300 | |||||
| Pr2Fe16.75Ni0.25 | MAP | This work | ||||
| KF | ||||||
| CI | 305 | |||||
| Pr2Fe16Al | MAP | [47] | ||||
| KF | ||||||
| CI | 358 | |||||
| Pr2Fe17 | MAP | - | [49] | |||
| KF | - | |||||
| CI | - | - | - |
| Sample | (T) | (K) | (J/kg.K) | (K) | RCP (J/kg) | Ref |
|---|---|---|---|---|---|---|
| Pr2Fe16.75Ni0.25 | 0.5 | 304 | 1.147 | 25 | 28.7 | This work |
| 1 | 1.98 | 38 | 75.24 | |||
| 2 | 3.2 | 55.2 | 176.64 | |||
| 3 | 4.25 | 69.4 | 295 | |||
| 4 | 5.16 | 76.8 | 396 | |||
| 5 | 5.92 | 88 | 521.5 | |||
| Pr2Fe17 | 2 | 285 | 2.8 | 65 | 182 | [16] |
| 5 | 5.5 | 540 | ||||
| Pr2Fe16.75Al0.25 | 2 | 299 | 2.6 | 60 | 156 | [16] |
| 5 | 4.5 | 100 | 451 | |||
| Pr2Fe16Mn | 2 | 295 | 2.6 | 60 | 156 | [17] |
| 5 | 5.07 | 80 | 405 | |||
| Pr2Fe16.8Ti0.2 | 2 | 304 | 2.5 | 50 | 125 | [18] |
| 5 | 4.75 | 87.4 | 415.2 | |||
| Pr1.5Nd0.5Fe17 | 2 | 302 | 1.3 | 93 | 121 | [21] |
| 5 | 3.01 | 114 | 345 | |||
| Pr1.67Sm0.36Fe17 | 2 | 299 | 2.5 | 63.76 | 159.4 | [24] |
| 3 | 3.24 | 78 | 247.26 | |||
| Gd | 2 | 293 | 5 | 39.2 | 196 | [3] |
| 5 | 9.2 | 65 | 603 |
Disclaimer/Publisher’s Note: The statements, opinions and data contained in all publications are solely those of the individual author(s) and contributor(s) and not of MDPI and/or the editor(s). MDPI and/or the editor(s) disclaim responsibility for any injury to people or property resulting from any ideas, methods, instructions or products referred to in the content. |
© 2025 by the authors. Licensee MDPI, Basel, Switzerland. This article is an open access article distributed under the terms and conditions of the Creative Commons Attribution (CC BY) license (https://creativecommons.org/licenses/by/4.0/).
Share and Cite
Horcheni, J.; Jaballah, H.; Gharbi, S.; Dhahri, E.; Bessais, L. Multifaceted Analysis of Pr2Fe16.75Ni0.25 Intermetallic Compound: Crystallographic Insights, Critical Phenomena, and Thermomagnetic Behavior near Room Temperature. Magnetochemistry 2025, 11, 65. https://doi.org/10.3390/magnetochemistry11080065
Horcheni J, Jaballah H, Gharbi S, Dhahri E, Bessais L. Multifaceted Analysis of Pr2Fe16.75Ni0.25 Intermetallic Compound: Crystallographic Insights, Critical Phenomena, and Thermomagnetic Behavior near Room Temperature. Magnetochemistry. 2025; 11(8):65. https://doi.org/10.3390/magnetochemistry11080065
Chicago/Turabian StyleHorcheni, Jihed, Hamdi Jaballah, Sirine Gharbi, Essebti Dhahri, and Lotfi Bessais. 2025. "Multifaceted Analysis of Pr2Fe16.75Ni0.25 Intermetallic Compound: Crystallographic Insights, Critical Phenomena, and Thermomagnetic Behavior near Room Temperature" Magnetochemistry 11, no. 8: 65. https://doi.org/10.3390/magnetochemistry11080065
APA StyleHorcheni, J., Jaballah, H., Gharbi, S., Dhahri, E., & Bessais, L. (2025). Multifaceted Analysis of Pr2Fe16.75Ni0.25 Intermetallic Compound: Crystallographic Insights, Critical Phenomena, and Thermomagnetic Behavior near Room Temperature. Magnetochemistry, 11(8), 65. https://doi.org/10.3390/magnetochemistry11080065

