- Article
Cognitive and Affective-Emotional Factors in Math Achievement: The Mediating Role of Intelligence
- Yoshifumi Ikeda,
- Lorenzo Esposito and
- David Giofrè
- + 8 authors
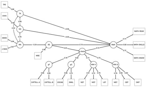
In this study, we aimed to investigate the cognitive and affective-emotional factors underlying math achievement in a sample of 169 Japanese elementary school children. Using structural equation modeling, we examined the contributions of fluid and crystallized intelligence, verbal and spatial working memory, and affective-emotional variables, including general anxiety, test anxiety, math anxiety, and math self-efficacy. We found intelligence to be a strong positive predictor of math achievement, while among the affective-emotional variables, math self-efficacy emerged as the only significant predictor of math achievement. Interestingly, intelligence mediated the association between affective-emotional factors, such as math anxiety and self-efficacy, highlighting its central role in children’s math achievement. These findings underscore the strong relationship between intelligence and self-efficacy in educational contexts, suggesting that self-efficacy is closely linked to cognitive abilities to support children’s success in math. Educational implications are discussed, emphasizing the need to strengthen math self-efficacy alongside cognitive abilities.
4 February 2026







