Physiological and Molecular Mechanisms of Abiotic Stress Tolerance in Grass Species
A special issue of Agronomy (ISSN 2073-4395). This special issue belongs to the section "Grassland and Pasture Science".
Deadline for manuscript submissions: 10 June 2026 | Viewed by 9185
Special Issue Editors
Interests: forage or ground-cover plant in response to abiotic stresses such as heat or cold stress, drought, and ionic stress (salt, aluminum, or cadmium); turf management; stress-defensive gene and protein; omics study; signal transduction; gene function; phytohormone; plant growth regulator
Special Issues, Collections and Topics in MDPI journals
Interests: GWAS or QTL to identify key gens for Agronomy trait; forage and turfgrass in response to abiotic stresses such as heat or cold stress, drought, and ionic stress (salt, aluminum, or cadmium); omics study; gene function; phytohormone; perennial ryegrass; white clover; miscanthus sinensis
Special Issue Information
Dear Colleagues,
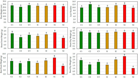
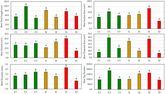
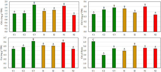
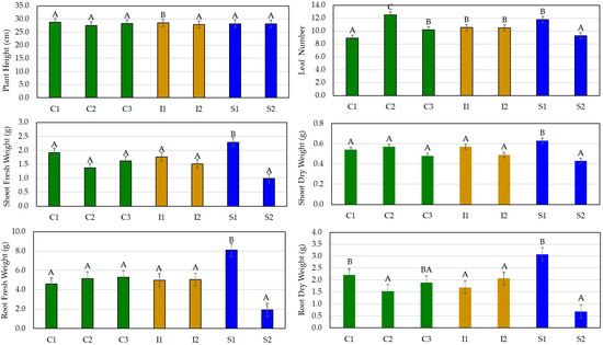
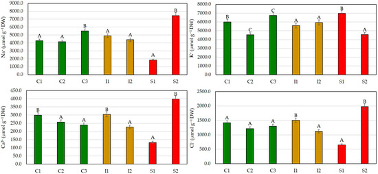
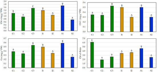
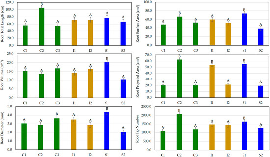
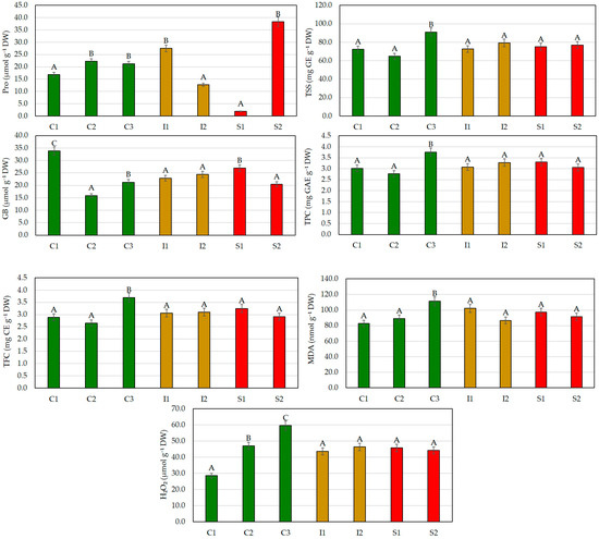
Abiotic stresses such as drought, high temperature, salinity stress, and heavy metal stress have become problems all over the world due to global warming. Grass species, the third most abundant flowering plants, have been widely used as forage, bioenergy plants, turfgrass, ornamental grass, and ground-cover plants for landscaping and ecological rehabilitation. Grass species have developed multiple adaptive strategies to counter complex environmental stresses during the long process of evolution. An in-depth understanding of adaptive strategies for dealing with various abiotic stresses in grass species will be beneficial to better utilize these grasses in different ecoregions and in the breeding of new cultivars with stronger stress tolerance. This Special Issue aims to reveal the physiological and molecular mechanisms of abiotic stress tolerance in grass species responding to complex environmental stresses based on changes in phenotype, physiology, metabolic pathway, and molecular level. Transgenic technology and omics studies, including transcriptomics, proteomics, ionomics, metabolomics, genomics, or phenomics, are important approaches to reveal plant adaptation to complex environmental stresses. Research papers and up-to-date review articles are welcome to be submitted.
Prof. Dr. Zhou Li
Prof. Dr. Gang Nie
Guest Editors
Manuscript Submission Information
Manuscripts should be submitted online at www.mdpi.com by registering and logging in to this website. Once you are registered, click here to go to the submission form. Manuscripts can be submitted until the deadline. All submissions that pass pre-check are peer-reviewed. Accepted papers will be published continuously in the journal (as soon as accepted) and will be listed together on the special issue website. Research articles, review articles as well as short communications are invited. For planned papers, a title and short abstract (about 250 words) can be sent to the Editorial Office for assessment.
Submitted manuscripts should not have been published previously, nor be under consideration for publication elsewhere (except conference proceedings papers). All manuscripts are thoroughly refereed through a single-blind peer-review process. A guide for authors and other relevant information for submission of manuscripts is available on the Instructions for Authors page. Agronomy is an international peer-reviewed open access semimonthly journal published by MDPI.
Please visit the Instructions for Authors page before submitting a manuscript. The Article Processing Charge (APC) for publication in this open access journal is 2600 CHF (Swiss Francs). Submitted papers should be well formatted and use good English. Authors may use MDPI's English editing service prior to publication or during author revisions.
Keywords
- turfgrass
- forage
- ground-cover plant
- gene function
- stress physiology
- metabolic pathway
- omics
- plant growth regulator
Benefits of Publishing in a Special Issue
- Ease of navigation: Grouping papers by topic helps scholars navigate broad scope journals more efficiently.
- Greater discoverability: Special Issues support the reach and impact of scientific research. Articles in Special Issues are more discoverable and cited more frequently.
- Expansion of research network: Special Issues facilitate connections among authors, fostering scientific collaborations.
- External promotion: Articles in Special Issues are often promoted through the journal's social media, increasing their visibility.
- Reprint: MDPI Books provides the opportunity to republish successful Special Issues in book format, both online and in print.
Further information on MDPI's Special Issue policies can be found here.

