Next Issue
Volume 7, June
Previous Issue
Volume 6, December
 
 

Polysaccharides, Volume 7, Issue 1 (March 2026) – 37 articles

Cover Story (view full-size image): This study explores a sustainable strategy to valorise strawberry lignocellulosic agro-industrial byproducts by optimising the extraction of antioxidant and antimicrobial bioactive compounds for edible active coatings. Using subcritical water extraction and response surface methodology, phenolic-rich extracts were obtained and incorporated into chitosan-based coatings. Antioxidants recovered from plant waste can protect treated fruits by reducing oxidative degradation and microbial spoilage, thereby extending shelf life while promoting circular use of agricultural residues. View this paper
  • Issues are regarded as officially published after their release is announced to the table of contents alert mailing list.
  • You may sign up for e-mail alerts to receive table of contents of newly released issues.
  • PDF is the official format for papers published in both, html and pdf forms. To view the papers in pdf format, click on the "PDF Full-text" link, and use the free Adobe Reader to open them.
Order results
Result details
Select all
Export citation of selected articles as:
24 pages, 6227 KB  
Article
Dual Modification of Red Lentil Starch: Enhancing Functionality for Environmental and Pharmaceutical Applications
by Abhijeet Puri, Popat Mohite, Aakansha Ramole, Sagar Pardeshi, Krutika Bhoir, Sonali Verma and Sudarshan Singh
Polysaccharides 2026, 7(1), 37; https://doi.org/10.3390/polysaccharides7010037 - 20 Mar 2026
Viewed by 501
Abstract
This study explored the dual chemical modification of starch isolated from red lentils (Lens culinaris) to develop a biodegradable polymer with enhanced functionality for multifaceted applications. Native starch was isolated via combined salt–alkali treatment and sequentially modified through epichlorohydrin-mediated crosslinking, followed [...] Read more.
This study explored the dual chemical modification of starch isolated from red lentils (Lens culinaris) to develop a biodegradable polymer with enhanced functionality for multifaceted applications. Native starch was isolated via combined salt–alkali treatment and sequentially modified through epichlorohydrin-mediated crosslinking, followed by cationization using glycidyl trimethylammonium chloride (GTAC). Utilizing a Quality by Design (QbD) strategy through Response Surface Methodology (RSM), the cationization endured fine-tuning to reach an optimal degree of substitution (DS = 0.572) under foremost conditions (GTAC: 2.1 mol, NaOH: 0.09 mol, reaction time: 18 h). Structural and functional characterization using FTIR, XRD, TGA, SEM, and zeta potential analysis confirmed the successful modification, indicating enhanced thermal stability, a transition to a more amorphous structure, and a moderately positive surface charge (+7.24 mV). The dual modified cationic lentil starch (CLS) demonstrated effective flocculation of kaolin suspensions, achieving a transmittance of up to 94%. Additionally, CLS showed significantly improved emulsion stability, maintaining over 70% stability after 24 h, compared to native starch, which dropped below 30%. These results emphasize the promising potential of CLS as an eco-friendly and high-performance alternative to synthetic polymers for water treatment and stabilization of emulsion-based formulations. Full article
Show Figures

Graphical abstract

20 pages, 2573 KB  
Article
Cassava (Manihot esculenta) Hydrocolloids as a Partial Egg Substitute in Sponge Cakes: Rheological, Physicochemical, and Sensory Evaluation
by Anabela Rodriguez-Mulett, Somaris E. Quintana and Luis A. García-Zapateiro
Polysaccharides 2026, 7(1), 36; https://doi.org/10.3390/polysaccharides7010036 - 20 Mar 2026
Viewed by 458
Abstract
The rising demand for sustainable and functional ingredients necessitates the development of novel replacers for traditional food components, such as eggs, which are critical for structure and aeration in baked goods. This study investigated hydrocolloids derived from cassava (Manihot esculenta) as [...] Read more.
The rising demand for sustainable and functional ingredients necessitates the development of novel replacers for traditional food components, such as eggs, which are critical for structure and aeration in baked goods. This study investigated hydrocolloids derived from cassava (Manihot esculenta) as a partial egg substitute in sponge cakes, evaluating their effect on rheological, physicochemical, nutritional, and sensory properties. The resulting cake batter exhibited characteristic non-Newtonian, pseudoplastic, and viscoelastic fluid behavior. A microstructural analysis confirmed that the stabilized, higher-viscosity doughs successfully facilitated the formation of larger, more stable air bubbles, effectively mimicking the structural role of the egg. Physicochemical assessments demonstrated a high product equivalence; the fat content showed no significant difference (p < 0.05) compared to the control, while pH and carbohydrate levels decreased. Crucially, the optimized formula, CK-S50-H2.5 (50% egg and 2.5% hydrocolloids substitutions), exhibited a minimal color difference (ΔE) consistent with the control, preserving product appearance. Sensory evaluation confirmed that hydrocolloid substitution did not compromise consumer acceptance. Panelists preferred cakes utilizing lower egg substitution levels for their enhanced flavor and texture. These findings establish that cassava hydrocolloids serve as an effective and functional partial egg replacer, yielding a high-quality and well-accepted product and offering a valuable, sustainable solution for the food industry. Full article
Show Figures

Figure 1

22 pages, 2802 KB  
Article
Exploring the Potential of Post-Consumer Agroindustrial Subproducts for Nanocellulose-Biobased Adhesives
by Consuelo Fritz, Bastián Muñoz, Juan Francisco Olivera and Paulo Díaz-Calderón
Polysaccharides 2026, 7(1), 35; https://doi.org/10.3390/polysaccharides7010035 - 13 Mar 2026
Viewed by 659
Abstract
The valorization of agro-industrial byproducts as sources of functional polysaccharides is a promising strategy for developing sustainable materials. In this study, cellulose was extracted and purified from rice husk and apple pomace through sequential alkaline and bleaching treatments. Then it was chemically modified [...] Read more.
The valorization of agro-industrial byproducts as sources of functional polysaccharides is a promising strategy for developing sustainable materials. In this study, cellulose was extracted and purified from rice husk and apple pomace through sequential alkaline and bleaching treatments. Then it was chemically modified via TEMPO-mediated oxidation to obtain cellulose nanofibers (TOCNFs) with cellulose yields ranging from 23.8 to 32.4% for rice husk and 9.3–13.8% for apple pomace. Owing to its higher recovery and structural regularity, rice husk was selected for surface modification with 3-aminopropyltriethoxysilane (APTES). The resulting TOCNFs exhibited an average width of 8 nm and a carboxyl content of 0.48 mmol g−1. Fourier-transform infrared spectroscopy (FTIR), X-ray diffraction (XRD), and nitrogen determination (1.72 mg g−1) confirmed the presence of aminosilane functionalities. APTES-modified TOCNFs were incorporated as active components to develop hybrid poly(vinyl acetate) (PVA) adhesives synthesized via in situ heterogeneous water-based polymerization. The influence of TOCNF surface chemistry and sodium dodecyl sulfate (SDS) on latex particle size, rheological behavior, and adhesive performance was systematically investigated. Latex particle size increased from 193 nm (PVA-SDS) to 625 nm with TOCNF-APTES and decreased to 247 nm upon SDS addition. Rheological analysis revealed pronounced shear-thinning behavior associated with the formation of percolated nanofibrillar networks, with low-shear viscosity increasing up to 477 Pa·s for TOCNF–APTES and decreasing to 370 Pa·s with SDS. Lap-shear testing (ASTM D905) showed substantial improvements in adhesive strength, reaching up to 250 kPa compared to PVA-SDS. These results demonstrate that surface-modified CNFs act not only as mechanical reinforcements but also as interfacially active components governing polymerization behavior, rheology, and adhesive performance. This exploratory study provides a proof-of-concept for the development of sustainable wood adhesives from agro-industrial byproducts. Full article
Show Figures

Figure 1

24 pages, 6252 KB  
Article
Self-Assembly Multilayers Alginate/Chitosan Film Loaded with Alginate-Capped Silver Nanoparticles: A Promising Scaffold in Infected Skin Wound Scenarios
by Nadina Aimé Usseglio, Renée Onnainty, Priscila Schilrreff, Laura Valenti, Juan Cruz Bonafé Allende, Carla Giacomelli, Dolores Carrer and Gladys Ester Granero
Polysaccharides 2026, 7(1), 34; https://doi.org/10.3390/polysaccharides7010034 - 12 Mar 2026
Viewed by 725
Abstract
Cutaneous wound healing is a complex biological process often impaired by bacterial infections, especially by Staphylococcus aureus. To address this, alginate (ALG)/chitosan (CS) polyelectrolyte multilayer (PEM) films incorporating alginate-coated silver nanoparticles (ALG–AgNPs) were fabricated by layer-by-layer self-assembly. The films exhibited a porous, [...] Read more.
Cutaneous wound healing is a complex biological process often impaired by bacterial infections, especially by Staphylococcus aureus. To address this, alginate (ALG)/chitosan (CS) polyelectrolyte multilayer (PEM) films incorporating alginate-coated silver nanoparticles (ALG–AgNPs) were fabricated by layer-by-layer self-assembly. The films exhibited a porous, layered morphology with homogeneous distribution of ALG–AgNPs, hydrophilic surfaces (contact angle ≈ 55°), a high swelling degree (~175%), and a water vapor transmission rate of 1830 g m−2·day−1. Thermal analyses showed similar degradation profiles up to 600 °C, with the ALG–AgNP film displaying lower moisture loss and higher dehydration temperature, consistent with enhanced ionic and coordination crosslinking (–NH3+/–COO and Ag–O–C bonds). The release of Ag+ in PBS (pH 7.4) was ~3% after 24 h, following a Korsmeyer–Peppas mechanism (R2 = 0.97, n < 0.5), and degradation, with ~40% mass loss in 6 days, indicated gradual matrix disintegration. Cytocompatibility studies revealed >80% viability for fibroblasts, keratinocytes, macrophages, and <2% hemolysis of red blood cells. Immune assays showed a tendency towards reduced TNF-α and IL-1β and regulated IL-6/IL-8 release. Antibacterial evaluations demonstrated a 5-log reduction in planktonic bacterial viability and >2-log reduction in adhesion, and an 11 ± 1 mm inhibition zone for S. aureus. These results demonstrate that ALG/CS–AgNP PEM films combine biocompatibility, antibacterial efficacy, controlled degradation, and structural stability, making them promising multifunctional scaffolds for the regeneration of infected skin wounds. Full article
Show Figures

Graphical abstract

22 pages, 5109 KB  
Article
Neuroregenerative Potential of Conductive Alginate-Graphene Oxide Scaffolds
by Andreea-Isabela Lazăr, Aida Șelaru, Alexa-Maria Croitoru, Ludmila Motelica, Roxana-Doina Trușcă, Denisa Ficai, Ovidiu-Cristian Oprea, Dănuț-Ionel Văireanu, Anton Ficai and Sorina Dinescu
Polysaccharides 2026, 7(1), 33; https://doi.org/10.3390/polysaccharides7010033 - 11 Mar 2026
Viewed by 577
Abstract
Neural regeneration requires an optimal environment, including structural, chemical, mechanical, and electrical properties. Alginate (Alg) and graphene oxide (GO) are promising biomaterials for nerve tissue engineering, as Alg provides biocompatibility and hydrogel formation, while GO enhances mechanical strength and conductivity. For this study, [...] Read more.
Neural regeneration requires an optimal environment, including structural, chemical, mechanical, and electrical properties. Alginate (Alg) and graphene oxide (GO) are promising biomaterials for nerve tissue engineering, as Alg provides biocompatibility and hydrogel formation, while GO enhances mechanical strength and conductivity. For this study, GO was synthesized using the modified Hummer’s method, and Alg–GO scaffolds with varying GO concentrations were developed. FTIR spectroscopy confirmed the successful incorporation of GO into the Alg matrix, while UV–Vis and photoluminescence analyses demonstrated GO-induced modifications of the optical properties. Thermal analysis revealed improved stability with increasing GO content, whereas swelling tests showed enhanced water uptake and retention. Conductivity measurements indicated a clear improvement in electrical conductivity, particularly at moderate GO concentrations. SEM imaging confirmed a homogeneous distribution of GO within the Alg matrix, with structural uniformity across all samples. Cytocompatibility was assessed using SH–SY5Y neuroblastoma cells through MTT, LDH, and LIVE/DEAD assays. All composites supported cell attachment, viability, and proliferation, with GO concentrations up to 6% promoting optimal cell growth without inducing cytotoxicity. In contrast, excessive GO content (9%) resulted in reduced proliferation, although biocompatibility was maintained. These results highlight the potential of Alg–GO scaffolds as promising candidates for neural tissue engineering. The findings demonstrate the potential of Alg–GO scaffolds as advanced biomaterials for regenerative medicine. Future research should focus on in vivo evaluations to confirm their therapeutic applicability. Full article
Show Figures

Figure 1

20 pages, 4004 KB  
Article
Hydrolyzed Karaya Gum–Chitosan Complex Coacervates for Controlled Release of Ginger Essential Oil
by Que-Anh Nguyen-Ngoc, Thi Nga Vo, Khanh Son Trinh, Hoan Pham-Thi and Vinh Tien Nguyen
Polysaccharides 2026, 7(1), 32; https://doi.org/10.3390/polysaccharides7010032 - 11 Mar 2026
Viewed by 417
Abstract
This study aimed to develop a pH-responsive microencapsulation system using complex coacervation with chitosan (CS) and hydrolyzed karaya gum (HKG) as natural wall materials to encapsulate ginger essential oil (GEO) as a core material. Key parameters influencing coacervate formation and encapsulation efficiency were [...] Read more.
This study aimed to develop a pH-responsive microencapsulation system using complex coacervation with chitosan (CS) and hydrolyzed karaya gum (HKG) as natural wall materials to encapsulate ginger essential oil (GEO) as a core material. Key parameters influencing coacervate formation and encapsulation efficiency were studied and optimized. The results indicated that the maximum complexation yield (77.3%) was achieved at a pH of 4.6 with a CS:HKG mass ratio of 1:2. Under these optimal conditions, microcapsules were fabricated at various wall-to-core ratios, with the 3:1 ratio demonstrating the highest encapsulation efficiency (65.73%) and process yield (75.7%). Physicochemical characterization revealed that the microcapsules possessed low hygroscopicity and a pH-dependent solubility profile. Scanning electron microscopy (SEM) showed that freeze-dried microcapsules had a more porous, amorphous structure compared to the denser, irregular particles produced by oven-drying. Crucially, in vitro release studies demonstrated a pronounced pH-responsive behavior: GEO release was significantly faster and more extensive in simulated gastric fluid (pH 2.0) than in neutral or simulated intestinal fluid (pH 7.4). These findings highlight the successful fabrication of a stable CS-HKG micro-delivery system that effectively protects GEO and facilitates its controlled, targeted release in acidic environments, indicating strong potential for applications in gastric targeted functional food and pharmaceutical products. Full article
Show Figures

Graphical abstract

29 pages, 3900 KB  
Article
Identification of Radiolytic and Hydrolytic Degradation Products from Cellulosic Materials in Radioactive Waste Disposal Environments
by Enida Nushi, Jerome Kretzschmar, Delphine Durce, Felice Mastroleo, Göran Verpoucke, Katja Schmeide and Nele Bleyen
Polysaccharides 2026, 7(1), 31; https://doi.org/10.3390/polysaccharides7010031 - 10 Mar 2026
Viewed by 579
Abstract
Cellulose and hemicellulose, both widely present in radioactive waste, undergo combined radiolytic and hydrolytic degradation during disposal under the highly alkaline conditions imposed by the cementitious waste matrices and engineered barriers. This combined process generates water-soluble organic compounds that can complex with radionuclides, [...] Read more.
Cellulose and hemicellulose, both widely present in radioactive waste, undergo combined radiolytic and hydrolytic degradation during disposal under the highly alkaline conditions imposed by the cementitious waste matrices and engineered barriers. This combined process generates water-soluble organic compounds that can complex with radionuclides, thereby potentially enhancing their migration from the waste to the biosphere. Identification of these degradation products formed by cellulosic materials is essential for assessing their complexation potential and predicting their impact on radionuclide mobility. In this work, degradation products resulting from sequential radiolytic and alkaline degradation of cellulosic tissues, realistically present in radioactive waste, were identified using multiple advanced techniques, i.e., Electrospray Ionization Time-of-Flight Mass Spectrometry, Ion Chromatography Mass Spectrometry, and Nuclear Magnetic Resonance spectroscopy. Our results confirm that isosaccharinic acid (α-ISA and β-ISA) is the major end product from cellulose degradation, while xylo-isosaccharinic acid (XISA) indicates hemicellulose degradation. Furthermore, significant concentrations of formic and lactic acid were detected, alongside minor products including glycolic, acetic, propionic, malonic, and oxalic acids, with malonic and oxalic acids appearing only after irradiation at high irradiation doses and under air (malonic) or argon (oxalic). Additional unquantified compounds, such as glutaric acid, 2-hydroxybutyric acid, and oligosaccharides, were observed as well. These findings advance our insight into the degradation of end products of cellulosic materials in radioactive waste and establish a foundation for future research on their complexation potential and impact on radionuclide mobility, especially for compounds where data are lacking. Full article
Show Figures

Graphical abstract

22 pages, 2453 KB  
Article
Chitosan/Cellulose Functional Composite Hydrogel as Adsorbent for the Removal of Cu(II) from Aqueous Solutions in Dynamic Adsorption System
by Katarina Stanković, Igor Telečki, Danijela Smiljanić, Danica Bajuk-Bogdanović, Jelena Potočnik, Ljiljana Veselinović and Ksenija Kumrić
Polysaccharides 2026, 7(1), 30; https://doi.org/10.3390/polysaccharides7010030 - 9 Mar 2026
Viewed by 712
Abstract
Water contamination by heavy metals remains a major global challenge, requiring efficient, sustainable, and low-cost remediation materials. Chitosan and cellulose are recognized as effective biosorbents due to their high affinity toward metal ions, biodegradability, and availability. However, their individual limitations motivate the design [...] Read more.
Water contamination by heavy metals remains a major global challenge, requiring efficient, sustainable, and low-cost remediation materials. Chitosan and cellulose are recognized as effective biosorbents due to their high affinity toward metal ions, biodegradability, and availability. However, their individual limitations motivate the design of composite with enhanced properties. In this study, chitosan/cellulose composite hydrogel beads crosslinked with glutaraldehyde (CHB-CF-GLA) were synthesized and evaluated for Cu(II) removal under batch and dynamic conditions. The composite was characterized by FESEM-EDS, ATR-FTIR, XRD, swelling analysis, and determination of pHpzc to elucidate its structural and physicochemical features. Batch experiments optimized pH, initial Cu(II) concentration, and adsorption capacity, while non-linear kinetic and isotherm models described the adsorption mechanism. The adsorbent exhibited good stability and reusability over multiple cycles. Fixed-bed column studies demonstrated that increasing bed height prolonged breakthrough and exhaustion times, while higher influent concentrations and flow rates led to earlier column saturation. The experimental breakthrough curves were well described by the Thomas and Yoon–Nelson models, whereas the Adams–Bohart model showed limited applicability. COMSOL Multiphysics 3.5 simulations validated the experimental data and predicted column performance. Overall, CHB-CF-GLA is an efficient and functional adsorbent with strong potential for continuous Cu(II) removal in water treatment applications. Full article
Show Figures

Graphical abstract

14 pages, 2396 KB  
Article
Alginate–Chitosan Nanoparticles Improve the Stability and Biocompatibility of Olive Leaf Polyphenols
by Salam M. Habib, Rawabi Alqadi, Sarah Jaradat, Hakem Al-Soufi, Maria Gazouli and Imad Hamadneh
Polysaccharides 2026, 7(1), 29; https://doi.org/10.3390/polysaccharides7010029 - 6 Mar 2026
Cited by 1 | Viewed by 784
Abstract
Polysaccharide-based nanocarriers offer a novel delivery system for improving the stability, controlled release, and biological functionality of plant-derived bioactive materials. Olive leaf extract (OLE), rich in polyphenolic compounds with antioxidant and other bioactive properties, is limited by low stability and bioavailability. In this [...] Read more.
Polysaccharide-based nanocarriers offer a novel delivery system for improving the stability, controlled release, and biological functionality of plant-derived bioactive materials. Olive leaf extract (OLE), rich in polyphenolic compounds with antioxidant and other bioactive properties, is limited by low stability and bioavailability. In this study, OLE-loaded alginate–chitosan nanoparticles were prepared using ionotropic gelation–polyelectrolyte complexation (IG-PEC) method, and their physicochemical properties, cytotoxic behavior, and potential prebiotic effects were evaluated. The resulting nanoparticles (232–237 nm) exhibited uniform spherical morphology, negative zeta potentials, and improved colloidal stability. Free OLE demonstrated concentration-dependent and selective cytotoxicity toward A549 and MCF-7 cancer cells, while exhibiting lower toxicity toward normal fibroblasts. In contrast, unloaded and OLE-loaded nanoparticles (1X, 2X) showed low cytotoxicity, suggesting superior biocompatibility of the polysaccharide nanocarrier. Notably, cultures supplemented with OLE-loaded nanoparticles showed a trend toward higher probiotic growth compared to free OLE, indicating a potential prebiotic effect and improved microbial tolerance to polyphenols during extended exposure. These findings highlight the advantages of polysaccharide-based nanoencapsulation for both stabilizing bioactive materials and supporting favorable microbial responses. The developed OLE nanocarriers may serve as a promising platform for nutraceutical, biomedical, and functional food applications. Full article
Show Figures

Figure 1

18 pages, 726 KB  
Review
Starch Nanoparticles by Sonochemical Protocols: Food Industry, Nutraceutical, and Drug Delivery Applications
by Adriana García-Gurrola, Abraham Wall-Medrano and Alberto A. Escobar-Puentes
Polysaccharides 2026, 7(1), 28; https://doi.org/10.3390/polysaccharides7010028 - 3 Mar 2026
Viewed by 773
Abstract
This review summarizes scientific advances about the sonochemical synthesis of starch nanoparticles (St-NPs) for the food industry, as well as nutraceutical and drug delivery applications. High-intensity ultrasonication (HIU) has been explored as a versatile and environmentally friendly alternative to conventional methods for synthesizing [...] Read more.
This review summarizes scientific advances about the sonochemical synthesis of starch nanoparticles (St-NPs) for the food industry, as well as nutraceutical and drug delivery applications. High-intensity ultrasonication (HIU) has been explored as a versatile and environmentally friendly alternative to conventional methods for synthesizing St-NPs with high yields (>90%), controlled size (~100 nm), and minimal effluent generation. Thus, HIU has been explored (pre- or post-treatment) to mitigate the inherent disadvantages (high-cost, low yields, and environmental impact) of hydrothermal gelatinization, acid/alkaline hydrolysis, enzymatic hydrolysis, enzyme branching, water-in-oil and oil-in-water emulsions, non-solvent nanoprecipitation, extrusion, high-pressure homogenization, high-energy milling, and cold plasma. Conventional sources of starch (corn [normal, waxy, high-amylose] and potato) and other unconventional sources (tubers [cassava, yam, malanga], seeds and grains [sorghum, barley, quinoa, lotus], breadfruit, pinhao seed, Araucaria angustifolia) have been subjected to single or assisted sonochemical protocols to obtain St-NPS with unique structural, physicochemical, and technological properties. The physical–mechanical effects of ultrasonication (cavitation, heat, and pressure) directly promote surface functionalization (i.e., esterification, pore formation) and impact the St-NPS’s particle size, double-helix structure, enzymatic-resistance properties, crystallinity, and intra- and intermolecular arrangements. Pickering additives in food systems, colloids in beverages, nanocomposites in biofilms for food packaging, and nanocarriers for drug and nutraceutical delivery (oral and transdermal) have been the most reported applications. Full article
Show Figures

Figure 1

26 pages, 4653 KB  
Review
Polysaccharide-Modified Liposomes: Advances in Surface Engineering for Targeted Drug Delivery
by Plamen Simeonov, Stanislava Ivanova, Raina Ardasheva and Plamen Katsarov
Polysaccharides 2026, 7(1), 27; https://doi.org/10.3390/polysaccharides7010027 - 3 Mar 2026
Viewed by 1249
Abstract
Liposomes remain one of the most utilized drug delivery systems due to their numerous advantages. However, they face significant challenges primarily due to their low colloidal stability as well as their rapid clearance by the reticuloendothelial and mononuclear phagocyte systems. Surface modifications have [...] Read more.
Liposomes remain one of the most utilized drug delivery systems due to their numerous advantages. However, they face significant challenges primarily due to their low colloidal stability as well as their rapid clearance by the reticuloendothelial and mononuclear phagocyte systems. Surface modifications have been identified as a highly effective approach to address these challenges. Various molecules can be utilized as surface modifiers. However, polysaccharides are widely employed in this regard, due to their unique characteristics, such as biocompatibility, biodegradability, and non-toxicity, as well as their ability to interact with the liposomal surface through different mechanisms. The aim of the present review is to provide a thorough analysis of polysaccharide-modified liposomes, highlighting recent advancements in their design, synthesis, and therapeutic applications. The utilization of polysaccharides as surface modifiers has been demonstrated to have several notable effects on liposomes. These effects include the enhancement of liposome properties, the provision of “stealth” properties, and the augmentation of colloidal stability. This review provides a comprehensive, polysaccharide-oriented analysis of liposomal surface modification strategies, along with a novel focus on the correlation between polysaccharide structure, modification method, and the resulting physicochemical and biological performance of the designed hybrid liposomes across a wide range of applications. Full article
Show Figures

Graphical abstract

21 pages, 2452 KB  
Article
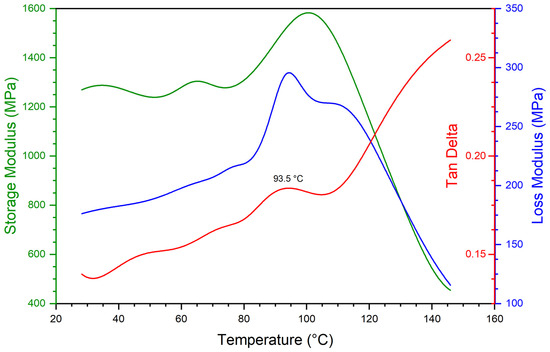
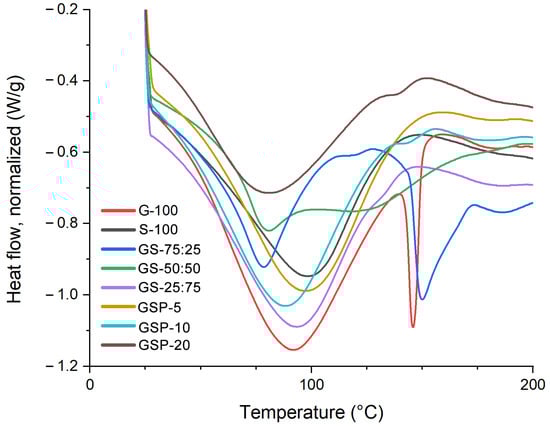
Effects of Starch on the Improvement of Mechanical, Thermal, and Water-Solubility Properties of Films Developed with Gelatin/Starch/Procyanidins Blends
by Italia Castañeda-Lugo, Ana María Mendoza-Wilson, René Renato Balandrán-Quintana and José Antonio Azamar-Barrios
Polysaccharides 2026, 7(1), 26; https://doi.org/10.3390/polysaccharides7010026 - 3 Mar 2026
Viewed by 855
Abstract
Sorghum-derived biopolymers, such as starch and procyanidins, combined with gelatin, are promising candidates for the development of sustainable, biodegradable, non-toxic, and functional films for various applications. This study aimed to evaluate the effects of starch on the improvement of mechanical, thermal, and water-solubility [...] Read more.
Sorghum-derived biopolymers, such as starch and procyanidins, combined with gelatin, are promising candidates for the development of sustainable, biodegradable, non-toxic, and functional films for various applications. This study aimed to evaluate the effects of starch on the improvement of mechanical, thermal, and water-solubility properties of films developed with gelatin/starch/procyanidins blends. Films were prepared using various gelatin (G)–starch (S) ratios (G-100, GS-75:25, GS-50:50, GS-25:75, S-100) and procyanidin concentrations (5–20 mg/mL), being plasticized with glycerol. Subsequently, the films were characterized using scanning electron microscopy (SEM), X-ray diffraction (XRD), Fourier transform infrared spectroscopy (FTIR), molecular docking, thermogravimetric analysis (TGA), differential scanning calorimetry (DSC), dynamic mechanical analysis (DMA), and measurements of thickness, opacity, and water solubility. SEM, XRD, and FTIR analyses confirmed the compatibility among the film components, while molecular docking analysis supported these experimental findings. TGA and DSC analyses showed that most films maintained thermal stability up to 150 °C. The GS-25:75 formulation, in which starch predominated, exhibited the most favorable balance of mechanical and thermal properties. All the films obtained can be considered ultra-thin; opacity increased with the starch and procyanidin content, while maintaining low water solubility levels. In conclusion, the GS-25:75 formulation with 10–20 mg/mL procyanidins is particularly promising for applications that require films with structurally stable properties, as well as enhanced mechanical, thermal, and water-solubility properties. Full article
Show Figures

Figure 1

24 pages, 3622 KB  
Article
Optimised Extraction of Bioactives from Strawberry Lignocellulosic Byproducts for Edible Active Coatings in Fresh Fruits Preservation
by Christian Cravotto, Marco Santin, Sunny Uchechukwu, Abdouramane Dosso, Patrizia Falabella, Maria-Beatrice Coltelli, Antonella Castagna and Morad Chadni
Polysaccharides 2026, 7(1), 25; https://doi.org/10.3390/polysaccharides7010025 - 24 Feb 2026
Cited by 1 | Viewed by 1207
Abstract
This study proposes a sustainable strategy to valorise strawberry lignocellulosic agro-industrial byproducts through the recovery of antioxidant and antimicrobial compounds (AOM) for use in active edible coatings. Subcritical water extraction (SWE), optimised using response surface methodology, was applied to maximise phenolic content and [...] Read more.
This study proposes a sustainable strategy to valorise strawberry lignocellulosic agro-industrial byproducts through the recovery of antioxidant and antimicrobial compounds (AOM) for use in active edible coatings. Subcritical water extraction (SWE), optimised using response surface methodology, was applied to maximise phenolic content and antioxidant capacity while minimising sugars’ co-extraction. Optimal SWE conditions (120 °C, 5 min, and S/L ratio 40) yielded a total phenolic content (TPC) of 146.9 mg GAE/g DM and an antioxidant activity of 24.8 mg TE/g DM, comparable to ethanolic reflux extraction (138.4 mg GAE/g DM and 23.4 mg TE/g DM). Scale-up in a Parr pressurised reactor achieved 91.2% polyphenol recovery relative to accelerated solvent extraction (ASE). Purification using Amberlite® XAD 7 resin enhanced TPC purity and antioxidant activity more than 2.5-fold, producing a desorbed fraction with a polyphenol purity of 93.9% (w/w, dry basis) and no detectable sugars. The purified AOM was incorporated (1% w/v) into a 1.5% (w) chitosan solution obtained from Hermetia illucens pupal exuviae to produce a biopolymeric active coating. Application to strawberries was associated with a reduction in fungal infection severity (−72%) and incidence (−66.7%) under natural infection conditions. Although fruit firmness declined during storage, coated samples showed significantly better firmness retention. These results demonstrate the effectiveness of combining chitosan with phenolic extracts obtained by SWE to enhance microbial stability and maintain fruit quality. Full article
Show Figures

Graphical abstract

24 pages, 1189 KB  
Review
The Interactions of Carbohydrate-Based Biostimulants with Roots: From Perception to Response
by Fatima-Zahra Ahchouch, Aldo Borjas, Aurélia Boulaflous-Stevens, Céline Dupuits, Said Mouzeyar, Jane Roche and Cédric Delattre
Polysaccharides 2026, 7(1), 24; https://doi.org/10.3390/polysaccharides7010024 - 24 Feb 2026
Viewed by 1170
Abstract
In the current context of environmental sustainability and reduced agricultural inputs, biostimulants represent one of the most efficient, eco-friendly and innovative strategies to preserve plants from biotic and abiotic stresses and to ensure sustainable agriculture. Ranging from benefic microorganisms, seaweed extracts, and humic [...] Read more.
In the current context of environmental sustainability and reduced agricultural inputs, biostimulants represent one of the most efficient, eco-friendly and innovative strategies to preserve plants from biotic and abiotic stresses and to ensure sustainable agriculture. Ranging from benefic microorganisms, seaweed extracts, and humic acids to complex carbohydrates such as polysaccharides and oligosaccharides, these biostimulants are able to increase plant growth, photosynthetic efficiency, root development and nutrient uptake when they are applied during seed priming as foliar sprays or as liquid and solid soil amendments. The mechanisms underlying their effective action on plants are mainly related to the enhancement of antioxidant defenses and the regulation of hormonal pathways, particularly auxin homeostasis and transport. Several studies reported the relevance of biostimulant application in promoting root growth. In plants, roots play crucial roles, performing a variety of functions such as nutrients and water uptake, mediating stress perception and adaptation, influencing the rhizosphere microbiome, and providing structural support. The effectiveness and perception of polysaccharide-based biostimulants (PBs) are highly dependent on crucial factors, including the degree of depolymerization and the chemical modifications such as acetylation, methylation, sulfation, and oxidation. Furthermore, not all receptors and co-receptors involved in the recognition of PBs have yet been identified. However, there remain many gaps in our understanding regarding the interaction between biostimulants and roots, which is still far from fully elucidated. For these reasons, the present review provides a comprehensive overview of current research on biostimulants–root interactions, with a particular focus on polysaccharide-based biostimulants. It highlights the mechanisms involved in their recognition by plants roots, from perception to response, and the subsequent signaling cascades and the molecular pathways activated, with special emphasis on existing knowledge gaps and future research perspectives. Full article
(This article belongs to the Collection Bioactive Polysaccharides)
Show Figures

Graphical abstract

16 pages, 1778 KB  
Article
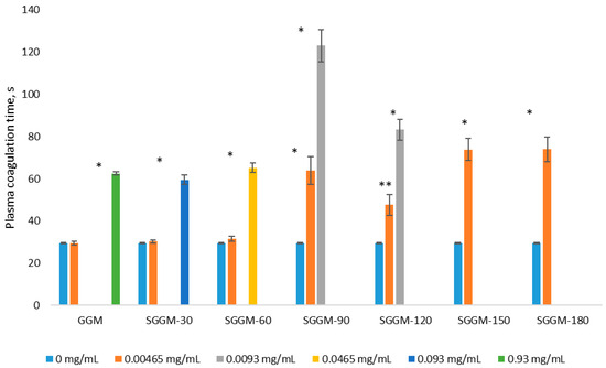
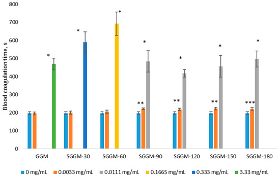
Controlled Non-Degradable Sulfation of Galactoglucomannan and the Effect of Modified Polysaccharides on Anticoagulant and Antioxidant Activity
by Valentina S. Borovkova, Yuriy N. Malyar, Natalia N. Drozd and Maria V. Sereda
Polysaccharides 2026, 7(1), 23; https://doi.org/10.3390/polysaccharides7010023 - 16 Feb 2026
Viewed by 736
Abstract
The application of natural polysaccharides and their sulfated derivatives have already been successfully implemented in the pharmaceutical and food industries, in particular. The present study is concerned with modifying a predominant polysaccharide in the composition of spruce wood, galactoglucomannan (GGM), by sulfation via [...] Read more.
The application of natural polysaccharides and their sulfated derivatives have already been successfully implemented in the pharmaceutical and food industries, in particular. The present study is concerned with modifying a predominant polysaccharide in the composition of spruce wood, galactoglucomannan (GGM), by sulfation via a urea-sulfamic acid complex in a 1,4-dioxane medium. By varying the sulfation process duration from 30 to 180 min, six novel GGM sulfate samples with different degrees of substitution (DS) of 0.4–1.2 were obtained and studied with a combination of modern physicochemical methods: elemental analysis, Fourier transform infrared (FTIR) spectroscopy, and gel permeation chromatography (GPC). It has been revealed that the sulfation of GGM proceeds without degradation of the main polymer chain, as evidenced by the shift in the main peak toward the high-molecular-weight region in the GPC curves. Moreover, modification of the polysaccharide leads to a significant transformation of the molecular conformation from a dense sphere to a random coil (α from 0.30 to 0.76). Furthermore, it has been determined that sulfate-substituted groups of the GGM tended to decrease the scavenging capacity of the 1,1-diphenyl-2-picrylhydrazyl (DPPH) free radicals. However, the 2,2′-azino-bis(3-ethylbenzothiazoline-6-sulfonic acid) diammonium salt (ABTS) assay showed an increase in the free radical inhibitory capacity of sulfated polysaccharides. This is attributed to the structural and conformational properties of the polysaccharide sulfate derivatives. The maximum anticoagulant activity (ACA) of sulfated GGM (SGGM) is 21.19 ± 2.89 IU/mg and increases with increasing sulfation duration. Full article
Show Figures

Figure 1

20 pages, 4253 KB  
Article
Synergistic Integration of Cobalt Ferrite and Carvacrol in a Chitosan Scaffold: Multimodal Antimicrobial Activity and Magnetic Responsiveness
by Hermano Vasconcelos Pina, Danyelle Garcia Guedes, Jessé de Oliveira da Silva, Gabryella Garcia Guedes, Andreza Josiany Aires de Farias Pina, Carlos Bruno Barreto Luna, Adriano Lima Silva, Renate Maria Ramos Wellen, Ana Cristina Figueiredo de Melo Costa and Marcelo Jorge Cavalcanti de Sá
Polysaccharides 2026, 7(1), 22; https://doi.org/10.3390/polysaccharides7010022 - 10 Feb 2026
Viewed by 685
Abstract
This study developed multifunctional chitosan–hydroxyapatite (CH–HAp) scaffolds incorporating cobalt ferrite (CoFe2O4, CFO) nanoparticles and carvacrol to combine bone regeneration potential with magnetic responsiveness and antimicrobial activity. Scaffolds containing 5 wt% CFO and 10–30 wt% carvacrol (free or Tween 80-emulsified) [...] Read more.
This study developed multifunctional chitosan–hydroxyapatite (CH–HAp) scaffolds incorporating cobalt ferrite (CoFe2O4, CFO) nanoparticles and carvacrol to combine bone regeneration potential with magnetic responsiveness and antimicrobial activity. Scaffolds containing 5 wt% CFO and 10–30 wt% carvacrol (free or Tween 80-emulsified) were fabricated via freeze-drying. The inclusion of CFO provided ferrimagnetic behavior, while carvacrol reduced chitosan crystallinity and increased scaffold porosity. Formulations with 30 wt% carvacrol demonstrated the strongest antimicrobial effect, showing inhibition halos against Staphylococcus aureus, Escherichia coli, Candida albicans, and Candida glabrata. The scaffold combining emulsified carvacrol and CFO exhibited a highly porous (≈90%) structure, preserved magnetic response, and mild cytotoxicity toward L929 fibroblasts, indicating cytocompatibility. The synergistic integration of CFO and carvacrol in a CH–HAp matrix yielded a multifunctional platform that simultaneously provides structural support, magnetic responsiveness, and antimicrobial performance, showing great promise for advanced bone tissue engineering applications. Full article
(This article belongs to the Collection Bioactive Polysaccharides)
Show Figures

Figure 1

16 pages, 5956 KB  
Article
Functional Properties and Rheological Performance of Cassava (Manihot esculenta) Hydrocolloids: Influence of Extraction pH on Technological Characteristics
by Valentina Osorio-Comendador, Luis A. García-Zapateiro and Somaris E. Quintana
Polysaccharides 2026, 7(1), 21; https://doi.org/10.3390/polysaccharides7010021 - 7 Feb 2026
Viewed by 488
Abstract
This research focused on the systematic engineering of processing parameters to obtain novel hydrocolloids from cassava (Manihot esculenta), specifically investigating how extraction pH controls their functional and physicochemical properties. Hydrocolloids were obtained across a range of pH conditions, followed by rigorous [...] Read more.
This research focused on the systematic engineering of processing parameters to obtain novel hydrocolloids from cassava (Manihot esculenta), specifically investigating how extraction pH controls their functional and physicochemical properties. Hydrocolloids were obtained across a range of pH conditions, followed by rigorous analysis of their chemical composition, flow behavior, viscoelasticity, and technological capacity, including water and oil holding capacity (WHC and OHC). The study established that hydrocolloids yield can be decoupled from extreme pH constraints, as high yields were successfully attained in both acidic and alkaline environments, thereby identifying a critical and flexible processing window for scalable production. Compositionally, the extracts confirmed their potential as functional additives due to a high carbohydrate content and minimal fat. Crucially, the extracted hydrocolloids exhibited strong structural performance, displaying high water and oil retention capacity—metrics essential for emulsion stability and shelf life—while consistently confirming desirable shear-thinning behavior across all effective extraction conditions. In conclusion, these results demonstrate that hydrocolloids derived from cassava are versatile stabilizers whose robust structural performance is maintained across varying processing pH levels, positioning them as promising, cost-effective alternatives for developing resilient, stable food matrices. Full article
Show Figures

Figure 1

17 pages, 2519 KB  
Article
Structural Characteristics and Antibacterial Assessment of Chitosan–Frankincense Oil Coatings on Strawberries
by Rahma Al-Mamari, Laila Al-Naamani, Nasser Al-Habsi, Mohammad Shafiur Rahman and Sergey Dobretsov
Polysaccharides 2026, 7(1), 20; https://doi.org/10.3390/polysaccharides7010020 - 6 Feb 2026
Viewed by 687
Abstract
This study evaluated the effects of chitosan composite edible coatings with frankincense essential oil on microbial growth and strawberry quality. Four coatings were prepared using 1% and 3% chitosan aqueous solutions, with or without 1% (v/v) frankincense essential oil [...] Read more.
This study evaluated the effects of chitosan composite edible coatings with frankincense essential oil on microbial growth and strawberry quality. Four coatings were prepared using 1% and 3% chitosan aqueous solutions, with or without 1% (v/v) frankincense essential oil derived from Boswellia sacra. Fresh strawberries were coated with chitosan and chitosan–frankincense solutions and stored under controlled conditions for eight days. The physical properties of strawberries, such as color, texture, moisture content, pH, and total soluble solids, were evaluated throughout the storage period. Results indicated that neither chitosan nor chitosan–frankincense oil coatings significantly altered the physical properties of the strawberries, such as the color, pH, moisture content, total soluble solids, and hardness at each time point. However, a significant effect of time (2-way ANOVA, p < 0.05) was observed on pH, TSS, color and hardness characteristics of strawberries. All tested coatings effectively inhibited bacterial growth. The strawberries covered with 3% chitosan–frankincense oil coating had the lowest bacterial count (74 CFU/mL). The addition of frankincense to 1% of chitosan significantly reduced the number of bacteria by 1.6-fold. Additionally, chitosan–frankincense oil films significantly reduced the growth of E. coli compared to both the chitosan film and the control. These findings suggest that chitosan combined with frankincense oil can serve as an effective natural alternative for edible coating in food preservation, offering both antimicrobial benefits and quality retention during storage. Full article
Show Figures

Graphical abstract

19 pages, 1813 KB  
Systematic Review
Systematic Review of Preclinical Evidence on Antifibrotic Potential of Natural Polysaccharides
by Juan Wang, Yun Ye, Weiwei Jiang, Hanhang Yang, Jun Xu, Quanbin Han, Aiping Lyu and Hiu Yee Kwan
Polysaccharides 2026, 7(1), 19; https://doi.org/10.3390/polysaccharides7010019 - 5 Feb 2026
Viewed by 875
Abstract
Background: Liver fibrosis drives mortality in chronic liver disease, with effective and approved targeted therapies being an urgent unmet medical need. Natural polysaccharides are promising multitarget candidates, but a critical appraisal of the preclinical evidence for their translatability is lacking. Objective: [...] Read more.
Background: Liver fibrosis drives mortality in chronic liver disease, with effective and approved targeted therapies being an urgent unmet medical need. Natural polysaccharides are promising multitarget candidates, but a critical appraisal of the preclinical evidence for their translatability is lacking. Objective: This review systematically synthesizes the evidence on the efficacy, mechanisms, and methodological quality of preclinical studies investigating the antifibrotic potential of natural polysaccharides. Methods: Six databases were searched (inception to February 2025) for studies in experimental liver fibrosis models. The review followed PRISMA guidelines. Risk of bias and reporting quality were assessed using the SYRCLE (Systematic Review Centre for Laboratory Animal Experimentation) and ARRIVE (Animal Research: Reporting of In Vivo Experiments) guidelines, respectively. Results: Eighty-eight studies on 44 polysaccharides were included. A major limitation was the predominant use of the carbon tetrachloride (CCl4) rat model (54.5%). Despite this, polysaccharides showed consistent efficacy: collagen deposition was suppressed in 92.0% of studies, and serum alanine/aspartate aminotransferase (ALT/AST) were reduced in 100%. Mechanistically, inhibition of the transforming growth factor-beta (TGF-β)/Smad pathway (implicated in 60.2% of studies) and modulation of the toll-like receptor 4 (TLR4)/nuclear factor kappa B (NF-κB) pathway (15.9%) were the most common findings. However, methodological quality was low, with unclear allocation concealment (92.0%) and absent blinding (86.4%) being pervasive issues. Conclusions: This review confirms that natural polysaccharides consistently attenuate experimental fibrosis by modulating key pathways like TGF-β/Smad. Our key contribution is highlighting a critical disconnect: demonstrated efficacy is undermined by poor methodological rigor and the use of simplistic models. This gap represents a major barrier to clinical translation. Advancing these promising agents requires prioritizing chemical standardization, employing more relevant disease models, and adhering to rigorous reporting standards. Full article
Show Figures

Figure 1

14 pages, 2283 KB  
Article
Development of Chitosan-Based Films with Enhanced Hydrophobic and Antimicrobial Properties by Incorporating Piper betle L. Leaf Extract in β-Cyclodextrin with Beeswax Coating
by Hermawan Dwi Ariyanto, Vita Paramita, Ireng Sigit Atmanto, Nur Alim Bahmid, Daffa Ikhlasul Amal, Salza Medina Putri, Wikalimma Ningsih and Fatimah Hapsari
Polysaccharides 2026, 7(1), 18; https://doi.org/10.3390/polysaccharides7010018 - 4 Feb 2026
Viewed by 901
Abstract
This study focused on the incorporation of Piper betle L. essential oil (EO) into β-cyclodextrin (β-CD) and the subsequent incorporation of this complex into chitosan-based films with a beeswax coating. The objective of this study was to develop a hydrophobic, antibacterial bio-based film [...] Read more.
This study focused on the incorporation of Piper betle L. essential oil (EO) into β-cyclodextrin (β-CD) and the subsequent incorporation of this complex into chitosan-based films with a beeswax coating. The objective of this study was to develop a hydrophobic, antibacterial bio-based film suitable for preservation applications. A total of four formulations were prepared: (1) chitosan film with no EO or β-CD, (2) chitosan film with β-CD only, (3) chitosan film with EO only, and (4) chitosan film with both EO and β-CD. The EO concentration was varied between 0, 0.5 and 1% (v/v) in the formulation, while β-CD was used at a concentration of 5% (w/v). The films were characterized using FTIR to analyze functional groups, SEM for surface morphology, contact angle to assess hydrophobicity, and tensile tests for mechanical properties. The results indicated significant changes in functional group characteristics and surface morphology across the different formulations. Beeswax coating enhanced the water impermeability and increased the hydrophobicity of the films, improving the contact angle from 59.93 ± 1.79° to 97.84 ± 0.77° and the mechanical strength from 0.28 ± 0.07 MPa to 24.49 ± 0.04 MPa. The antibacterial activity, assessed using the Kirby–Bauer method, showed that the EO concentration significantly inhibited the growth of Escherichia coli, with a maximum inhibition zone of 7.43 ± 0.60 mm observed at the highest EO concentration. These findings demonstrate that chitosan-based film modifications, incorporating both EO and β-CD, significantly improve the material properties and antibacterial activity, indicating its potential for food preservation applications. Full article
Show Figures

Graphical abstract

12 pages, 4420 KB  
Article
Synthesis and Thermo-Responsive Performance of Chitosan-Based UCST-Type Superplasticizers for Cement Composites
by Zhilong Quan, Huijin Zhan, Lang Ye, Xiaoqing Zhang, Shuanghua Zhou and Hongwei Chen
Polysaccharides 2026, 7(1), 17; https://doi.org/10.3390/polysaccharides7010017 - 1 Feb 2026
Viewed by 532
Abstract
Conventional polycarboxylate superplasticizers (PCEs) suffer from uncontrollable adsorption, characterized by rapid initial uptake and limited subsequent release, which causes pronounced slump loss, particularly at elevated temperatures where hydration accelerates and dispersion efficiency declines. To overcome these limitations, we developed a series of chitosan-based [...] Read more.
Conventional polycarboxylate superplasticizers (PCEs) suffer from uncontrollable adsorption, characterized by rapid initial uptake and limited subsequent release, which causes pronounced slump loss, particularly at elevated temperatures where hydration accelerates and dispersion efficiency declines. To overcome these limitations, we developed a series of chitosan-based upper critical solution temperature (UCST) responsive superplasticizers (Thermo-PCEx, UCST = 40–42 °C) capable of temperature -adaptive dispersion during cement hydration. A vinyl-functionalized chitosan macromonomer (uCS-g-T8) was synthesized by reacting cetyl polyoxyethylene glycidyl ether with chitosan, followed by methacrylate modification, and then copolymerized with acrylic acid and isopentenol polyoxyethylene ether to yield Thermo-PCEx with tunable sugar-to-acid ratios. The polymers exhibited clear UCST-type phase-transition behavior in aqueous solution. When incorporated into cement paste, Thermo-PCEx enabled continuous fluidity enhancement at 25 °C (<UCST), with increases of 43.6%, 52.9%, 62.3% and 63.6%, after 180 min for x = 0.5, 1, 1.5 and 2, respectively. Adjusting dosage and composition further regulated setting time, improved rheological stability, and enhanced mechanical strength. These findings demonstrate a viable pathway for designing bio-based, temperature-responsive superplasticizers with self-adaptive dispersibility for sustainable cement technologies. Full article
Show Figures

Graphical abstract

20 pages, 2684 KB  
Article
Influence of Powdered Lignocellulose from Alfalfa Straw and Its Carboxymethylated Derivative on the Properties of Water-Swelling Rubbers
by Abdirakym Nakyp, Elena Cherezova, Yulia Karaseva, Nurgali Akylbekov, Rakhymzhan Turmanov and Akbota Kuandykova
Polysaccharides 2026, 7(1), 16; https://doi.org/10.3390/polysaccharides7010016 - 1 Feb 2026
Viewed by 473
Abstract
The present work investigates the effect of powdered lignocellulose from alfalfa straw obtained by a chemo-extrusion method, as well as its carboxymethylated derivative, on the physicomechanical properties and swelling behavior of vulcanizates based on nitrile butadiene rubber (NBR, BNKS-28 AMN grade). Carboxymethylation of [...] Read more.
The present work investigates the effect of powdered lignocellulose from alfalfa straw obtained by a chemo-extrusion method, as well as its carboxymethylated derivative, on the physicomechanical properties and swelling behavior of vulcanizates based on nitrile butadiene rubber (NBR, BNKS-28 AMN grade). Carboxymethylation of lignocellulose was performed using microwave activation. The functional group composition of the modified lignocellulose was characterized by Fourier-transform infrared (FTIR) spectroscopy, which confirmed successful carboxymethylation and revealed a reduction in crystallinity. Thermogravimetric analysis (TGA) was used to determine the thermal stability of the swelling carboxymethylated fillers. The degree of crystallinity of the carboxymethylated swelling fillers was evaluated by X-ray diffraction (XRD). It was shown that the introduction of powdered lignocellulose and its carboxymethylated derivative into the rubber compounds lead to an increase in compound viscosity and prolong the optimum cure time, while having no effect on the scorch time, in a manner similar to that observed for the commercial product sodium carboxymethylcellulose (NaCMC). It has been shown that the introduction of powdered lignocellulose and its carboxymethylated derivative increases the tensile strength of the rubber and improves its resistance to the action of mineralized water compared with the samples containing NaCMC. It was also demonstrated that carboxymethylated lignocellulose exhibits enhanced sorption capacity comparable to that of NaCMC. Overall, carboxymethylation of lignocellulose derived from alfalfa straw significantly improves the stability and sorption characteristics of nitrile butadiene rubber composites. These findings indicate that carboxymethylated lignocellulose is a sustainable and effective alternative to industrial NaCMC for use as a functional filler in elastomeric materials. Full article
(This article belongs to the Special Issue Recent Progress on Lignocellulosic-Based Materials)
Show Figures

Graphical abstract

14 pages, 384 KB  
Article
Upcycling Pineapple Waste Polysaccharides for Producing Reduced-Fat Sausage and Casings: A Circular Economy Approach
by Nattanin Ueasin, Natcharee Jirukkakul, Nachayut Chanshotikul and Bung-Orn Hemung
Polysaccharides 2026, 7(1), 15; https://doi.org/10.3390/polysaccharides7010015 - 1 Feb 2026
Viewed by 576
Abstract
Pineapple processing generates substantial waste, which has the potential to be valorized according to circular economy principles. This study aimed to estimate the amount of waste generation from the pineapple industry and demonstrate its valorization by producing pectin-based hydrogels for fat replacement in [...] Read more.
Pineapple processing generates substantial waste, which has the potential to be valorized according to circular economy principles. This study aimed to estimate the amount of waste generation from the pineapple industry and demonstrate its valorization by producing pectin-based hydrogels for fat replacement in reduced-fat sausages, in addition to cellulose-derived edible films for sausage casings. An analysis of the pineapple sector in Thailand, covering 2015–2024, revealed an average annual pineapple waste generation of 670,698 tons. The crude fiber content in pineapple waste was found to be 15–33%. In this study, pectin was successfully extracted using citric acid under microwave digestion for 10 min. Through the combination of extracted and commercial pectins, a hydrogel (fat replacer) could be formed following the incorporation of calcium residue in fish bone powder. Substituting this hydrogel for 25% fat in sausage recipes reduced fat content while improving textural properties and water-holding capacities. The reduced-fat sausage, wrapped with edible film made from gelatin and carboxymethyl cellulose (CMC) derived from pineapple waste, exhibited physicochemical stability, as evidenced by its unchanged color and pH during cold storage for 5 days. Storing this type of sausage within films containing CMC from pineapple waste exhibited superior antioxidative properties compared to those wrapped with commercial films. Our results indicated that polysaccharide residues in pineapple waste can be valorized to produce reduced-fat sausages and casings, supporting upcycling policies and waste management strategies. Full article
Show Figures

Graphical abstract

19 pages, 3314 KB  
Article
Exploration of Bamboo-Derived Nanocellulose Paper for Versatile Colorimetric Detection of Bio Compounds
by Fitri Rahmah, Farah Nita Adila, Ruri Agung Wahyuono and Agus Muhamad Hatta
Polysaccharides 2026, 7(1), 14; https://doi.org/10.3390/polysaccharides7010014 - 31 Jan 2026
Viewed by 661
Abstract
Paper-based analytical devices (PADs) were developed as low-cost tools for detecting chemical and biological compounds, commonly fabricated from cellulose derived from plant biomass. Bamboo, a fast-growing and abundant plant with high cellulose content (40–50%), was investigated as a substrate source. In this study, [...] Read more.
Paper-based analytical devices (PADs) were developed as low-cost tools for detecting chemical and biological compounds, commonly fabricated from cellulose derived from plant biomass. Bamboo, a fast-growing and abundant plant with high cellulose content (40–50%), was investigated as a substrate source. In this study, the selection of bamboo was based on its rapid growth cycle and the abundance of parenchyma cells that facilitated nanofibrillation compared to cellulose fibers from softwood or hardwood. Cellulose fibers were extracted from black bamboo (30 and 60 mesh) using mechanical and acid hydrolysis methods. The mechanical method employed ultrasonication to obtain nanocellulose, while the acid hydrolysis method used strong acids, i.e., H2SO4. The resulting nanocellulose papers exhibited variations in contact angle, porosity, and transmittance that directly affected their permeability and fluid flow behavior. The results indicated that the mechanical method, which extracted nanocellulose from parenchyma cells, yielded more consistent thermophysical and mechanical properties suitable for paper-based biosensors. The fabricated nanocellulose papers were tested as PADs for colorimetric detection of dopamine and hydrogen peroxide. Based on the literature comparison, their sensing performance, including sensitivity, linearity, limit of detection (LOD), and limit of quantification (LOQ), was comparable to other nanocellulose-based papers, indicating the potential of bamboo-derived nanocellulose as a sustainable substrate for PADs. Full article
Show Figures

Figure 1

22 pages, 1662 KB  
Article
Comparative Assessment of Edible Oil Plant Lignocellulosic Biomass as Raw Material for a Fiber-Based Integrated Fractionation
by Adrian Cătălin Puițel, Cătălin Dumitrel Balan and Mircea Teodor Nechita
Polysaccharides 2026, 7(1), 13; https://doi.org/10.3390/polysaccharides7010013 - 31 Jan 2026
Cited by 1 | Viewed by 780
Abstract
Agricultural leftovers from oilseed crops represent an underutilized lignocellulosic resource for integrated biorefinery. In this work, rapeseed straw (RS) and sunflower stalk (SS) were evaluated as raw materials for the simultaneous recovery of hemicelluloses, lignin, and cellulose-rich fibers. Direct soda pulping (20% NaOH, [...] Read more.
Agricultural leftovers from oilseed crops represent an underutilized lignocellulosic resource for integrated biorefinery. In this work, rapeseed straw (RS) and sunflower stalk (SS) were evaluated as raw materials for the simultaneous recovery of hemicelluloses, lignin, and cellulose-rich fibers. Direct soda pulping (20% NaOH, 160 °C, 45 min) or a combination of soda pulping with water pretreatment or alkaline extraction (water or 2% NaOH, 110 °C, 40 min) were the methods used in the process. Acid precipitation was used to remove lignin from the process fluids, whereas ethanol was used to separate hemicelluloses. FTIR spectroscopy, HPLC of acidic hydrolysates, and chemical composition analysis were used to analyze solid fractions and recovered biopolymers. The combination alkaline extraction–soda pulping produced the greatest material removal: 55% for RS and 70% for SS. Xylan was the main component of the isolated hemicellulose fraction: 44.86% for RS and 40.09% for SS. Paper sheets produced from the resulting pulps exhibited tensile strength indices of 35–55 N·m/g and burst indices of 1.1–2.4 kPa·m2/g, meeting requirements for hygiene and fluting packaging papers. These results prove that RS and SS are suitable feedstocks for integrated, multi-stream biorefinery, enabling the concurrent production of paper-making fibers and value-added biopolymers. Full article
(This article belongs to the Special Issue Recent Progress on Lignocellulosic-Based Materials)
Show Figures

Figure 1

24 pages, 868 KB  
Review
Polymeric Biocoatings for Postharvest Fruit Preservation: Advances, Challenges, and Future Perspectives
by Carlos Culqui-Arce, Luz Maria Paucar-Menacho, Efraín M. Castro-Alayo, Diner Mori-Mestanza, Marleni Medina-Mendoza, Roberto Carlos Mori-Zabarburú, Robert J. Cruzalegui, Alex J. Vergara, William Vera, César Samaniego-Rafaele, César R. Balcázar-Zumaeta and Marcio Schmiele
Polysaccharides 2026, 7(1), 12; https://doi.org/10.3390/polysaccharides7010012 - 22 Jan 2026
Cited by 1 | Viewed by 1140
Abstract
The growing demand for fresh fruit, coupled with high postharvest losses, highlights the need for sustainable and effective preservation technologies. In this context, polymeric biocoatings are emerging as a promising alternative to conventional synthetic packaging, thanks to their biodegradability, film-forming capacity, and potential [...] Read more.
The growing demand for fresh fruit, coupled with high postharvest losses, highlights the need for sustainable and effective preservation technologies. In this context, polymeric biocoatings are emerging as a promising alternative to conventional synthetic packaging, thanks to their biodegradability, film-forming capacity, and potential to incorporate bioactive compounds. This review article summarizes recent advances in the development of coatings based on polysaccharides, proteins, and nanomaterials, analyzing their physicochemical, functional, and sensory properties, and the main conventional and emerging application methods used in fresh fruit. It also highlights the role of phenolic compounds and essential oils as antioxidant and antimicrobial agents, along with the valorization of agro-industrial by-products under circular economy schemes. Finally, it discusses the challenges associated with standardization, industrial scaling, and consumer acceptance, proposing future perspectives aimed at designing multifunctional systems that extend the shelf life and improve the quality of fresh products, in line with environmental sustainability objectives. Unlike recent reviews, this work unifies structure–function relationships with quantitative comparisons of coating performance across fruits. It further contributes a critical evaluation of emerging application technologies and their technological and regulatory readiness, offering a distinctly more integrated perspective. Full article
Show Figures

Graphical abstract

15 pages, 1603 KB  
Article
Semi-Synthesis of Chondroitin 6-Phosphate Assisted by Microwave Irradiation
by Fabiana Esposito, Sabrina Cuomo, Serena Traboni, Alfonso Iadonisi, Donatella Cimini, Annalisa La Gatta, Chiara Schiraldi and Emiliano Bedini
Polysaccharides 2026, 7(1), 11; https://doi.org/10.3390/polysaccharides7010011 - 19 Jan 2026
Viewed by 560
Abstract
Chondroitin sulfate is a glycosaminoglycan polysaccharide, playing key roles in a plethora of physiopathological processes typical of higher animals. The position of sulfate groups within CS disaccharide subunits composing the polysaccharide chain is able to encode specific functional information. In order to expand [...] Read more.
Chondroitin sulfate is a glycosaminoglycan polysaccharide, playing key roles in a plethora of physiopathological processes typical of higher animals. The position of sulfate groups within CS disaccharide subunits composing the polysaccharide chain is able to encode specific functional information. In order to expand such a “sulfation code”, access to non-natural CS variants and mimics thereof can be pursued. In this context, an interesting topic concerns phosphorylated analogs of CS polysaccharides, as the replacement of sulfate groups with phosphates can lead to unreported activities of phosphorylated CS. In light of this, the phosphorylation reaction of a microbial-sourced, unsulfated chondroitin polysaccharide with phosphoric acid is reported in the present study, testing different microwave irradiation conditions and comparing them with conventional heating procedures. The obtained products were subjected to a detailed characterization, in terms of chemical structure and hydrodynamic properties, by 1D- and 2D-NMR spectroscopy and HP-SEC-TDA analysis, respectively. The characterization study showed how different reaction conditions can not only influence the regioselectivity and degree of phosphorylation but also trigger the formation of phosphate diester functionalities acting as cross-linkers between polysaccharide chains. The results from the screening presented in this work could be interesting for any research devoted to the regioselective phosphorylation of a polysaccharide. Full article
(This article belongs to the Collection Bioactive Polysaccharides)
Show Figures

Graphical abstract

32 pages, 2245 KB  
Review
Brown Algae-Derived Polysaccharides: From Sustainable Bioprocessing to Industrial Applications
by Houssem Khammassi, Taheni Bouaziz, Mariam Dammak, Pascal Dubesay, Guillaume Pierre, Philippe Michaud and Slim Abdelkafi
Polysaccharides 2026, 7(1), 10; https://doi.org/10.3390/polysaccharides7010010 - 16 Jan 2026
Cited by 1 | Viewed by 1586
Abstract
Brown seaweeds are marine bioresources rich in bioactive compounds such as carbohydrates, proteins, pigments, fatty acids, polyphenols, vitamins, and minerals. Among these substances, brown algae-derived polysaccharides (alginate, fucoidan, and laminarin) have promising industrial prospects owing to their distinctive structural features and diverse biological [...] Read more.
Brown seaweeds are marine bioresources rich in bioactive compounds such as carbohydrates, proteins, pigments, fatty acids, polyphenols, vitamins, and minerals. Among these substances, brown algae-derived polysaccharides (alginate, fucoidan, and laminarin) have promising industrial prospects owing to their distinctive structural features and diverse biological activities. Consequently, processing technologies have advanced substantially to address industrial requirements for biopolymer quality, cost-effectiveness, and sustainability. Over the years, significant progress has been made in developing various advanced methods for the sake of extracting, purifying, and structurally characterizing polysaccharides. Aside from that, numerous studies reported their broad spectrum of biological activities, such as antioxidant, anti-inflammatory, anticoagulant, and antimicrobial properties. Furthermore, these substances have various industrial, pharmaceutical, bioenergy, food, and other biotechnology applications. The present review systematically outlines the brown algae-derived polysaccharides treatment process, covering the entire value chain from seaweed harvesting to advanced extraction methods, while highlighting their biological activities and industrial potential as well. Full article
Show Figures

Graphical abstract

13 pages, 2621 KB  
Article
Elaboration and Characterization of New Polyurethane-Based Biocomposites from Jojoba Oil and Alfa Cellulose Fibers
by Ahmed Ramdani, Tarik Harit, Chakib Mokhtari and Fouad Malek
Polysaccharides 2026, 7(1), 9; https://doi.org/10.3390/polysaccharides7010009 - 13 Jan 2026
Viewed by 722
Abstract
A series of biocomposites were elaborated by incorporating cellulose fibers, obtained from raw alfa plant, into a new polyurethane (PU) matrix synthesized from jojoba oil. The cellulose content was adjusted between 0% and 50%. To examine their properties, several characterization methods were employed. [...] Read more.
A series of biocomposites were elaborated by incorporating cellulose fibers, obtained from raw alfa plant, into a new polyurethane (PU) matrix synthesized from jojoba oil. The cellulose content was adjusted between 0% and 50%. To examine their properties, several characterization methods were employed. Fourier-transform infrared spectroscopy (FTIR) and scanning electron microscopy (SEM) analyses confirmed that the extracted cellulose and the polyurethane matrix have high interfacial adhesion. Thermal stability was assessed using thermogravimetric analysis (TGA) and differential scanning calorimetry (DSC). They indicate that the composites remained thermally stable in air up to 265 °C and exhibited glass transition temperatures (Tg) in the range of −38 to −7 °C, depending on the fiber percentage inside the polyurethane-based biocomposite. The corresponding mechanical properties increased with the addition of cellulose, reaching optimal improvement at 40% fiber content. Full article
(This article belongs to the Special Issue Recent Progress on Lignocellulosic-Based Materials)
Show Figures

Graphical abstract

19 pages, 4774 KB  
Article
Valorization of Orange Peels for Pectin Extraction from BARI Malta-1 (Sweet Orange): A Green Approach for Sustainable Utilization of Citrus Waste
by M. A. A. Shofi Uddin Sarkar, Md Murshed Bhuyan and Sharmeen Nishat
Polysaccharides 2026, 7(1), 8; https://doi.org/10.3390/polysaccharides7010008 - 12 Jan 2026
Viewed by 1357
Abstract
The agro-industrial valorization of citrus waste represents a promising avenue to employ underutilized bioresources. This research investigated the potential of the peels of BARI malta 1 (sweet orange), a widely grown variety in Bangladesh, as a viable and new source for pectin extraction. [...] Read more.
The agro-industrial valorization of citrus waste represents a promising avenue to employ underutilized bioresources. This research investigated the potential of the peels of BARI malta 1 (sweet orange), a widely grown variety in Bangladesh, as a viable and new source for pectin extraction. Pectin is a polysaccharide, having extensive applications in the pharmaceuticals, cosmetics, and food business as a thickening, texturizer, emulsifier, gelling agent, and stabilizer. This study investigated the optimum extraction conditions for maximum yield, characterization, and physicochemical properties of the obtained pectin and compared the results with the pectin obtained from other sources. Comprehensive characterization through Fourier-Transform Infrared Spectroscopy (FTIR), Nuclear Magnetic Resonance (NMR) spectroscopy, X-ray diffraction (XRD), thermogravimetric analysis (TGA), Differential Scanning Calorimetry (DSC), and Field Emission Scanning Electron Microscopy (FESEM) confirmed the structural identity, crystallinity, thermal stability, and morphological features of the extracted pectin. Physicochemical properties, including moisture content, ash content, equivalent weight, methoxyl content, and degree of esterification, indicate the suitability and superiority of the extracted pectin for industrial applications. This research approach not only supports eco-friendly processing of citrus waste but also opens avenue for circular economy initiatives in Bangladesh. Full article
Show Figures

Figure 1

Previous Issue
Next Issue
Back to TopTop