Elaboration and Characterization of New Polyurethane-Based Biocomposites from Jojoba Oil and Alfa Cellulose Fibers
Abstract
1. Introduction
2. Materials and Methods
2.1. Reagents and Instruments
2.2. Extraction of Cellulose from Alfa Stems
2.3. Calculation of the Alfa Stem Moisture Content
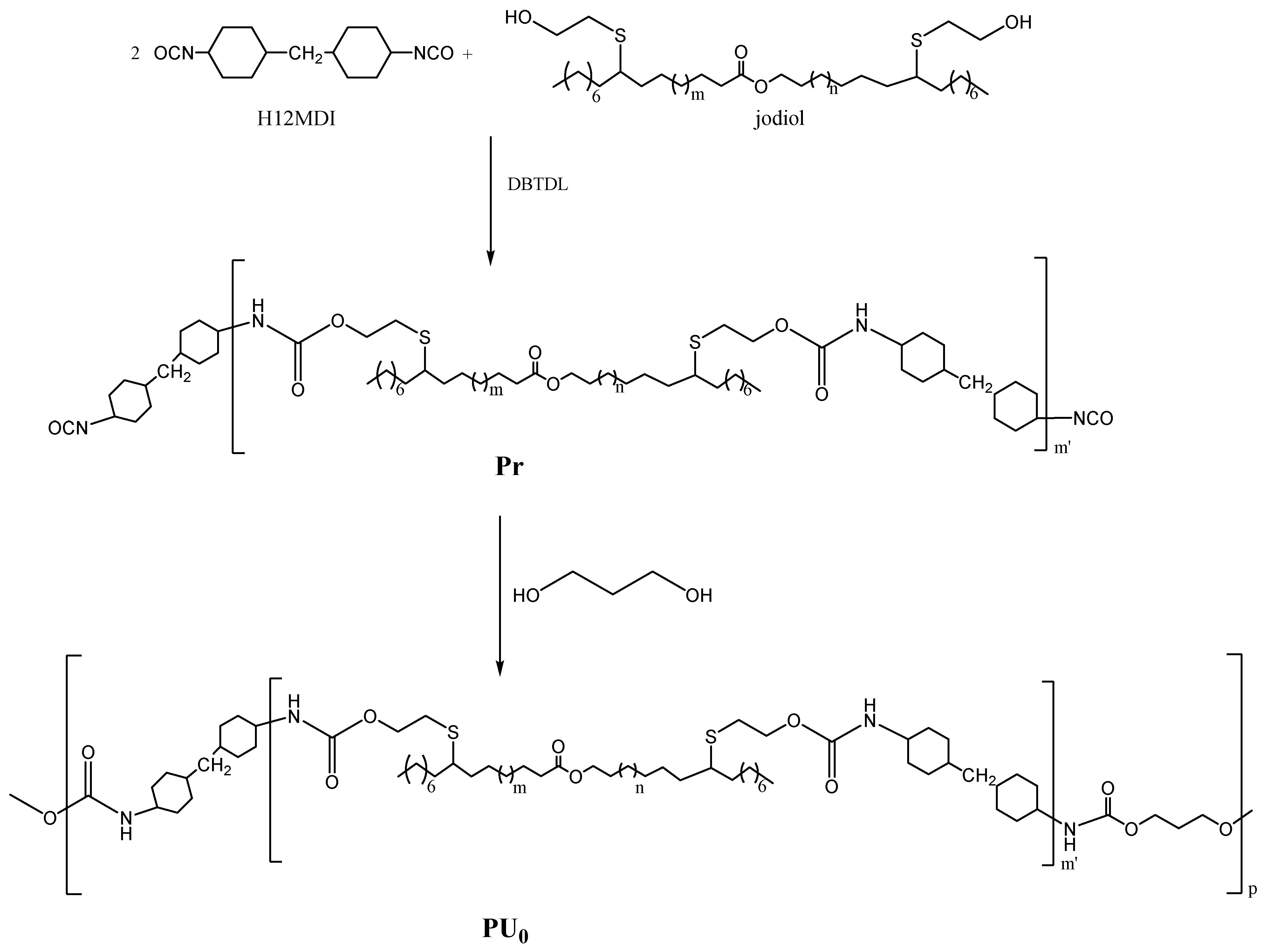
2.4. Synthesis of Polyurethane PU0
2.5. Elaboration of Biocomposite Films PU10–PU50
2.6. Statistical Analysis
3. Results and Discussion
3.1. Synthesis of Polyurethane-Based Biomatrix PU0
3.2. Cellulose Extraction from Alfa Stems
3.3. Elaboration of Polyurethane-Based Biocomposites
3.4. Thermal Characteristics of the Polyurethane-Based Biocomposites PUi
3.4.1. DSC Analysis
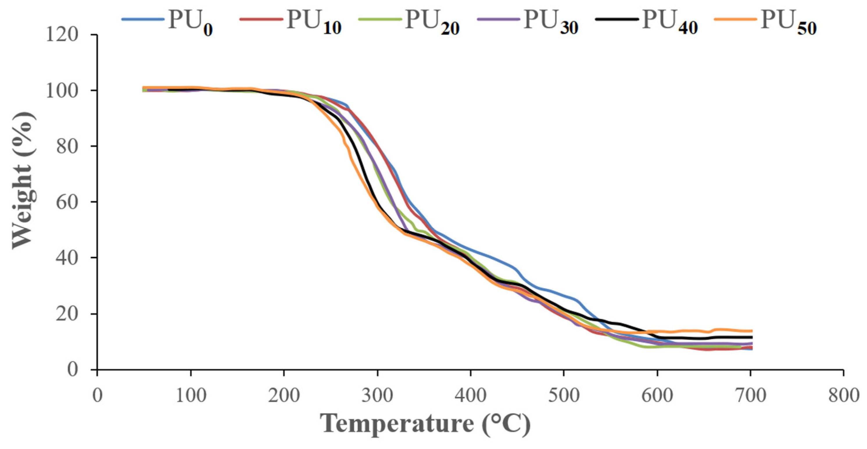
3.4.2. Thermogravimetrical Analysis
3.5. Mechanical Characteristics of the Polyurethane-Based Biocomposites PUi
4. Conclusions
Supplementary Materials
Author Contributions
Funding
Data Availability Statement
Acknowledgments
Conflicts of Interest
References
- Ganewatta, M.S.; Wang, Z.; Tang, C. Chemical syntheses of bioinspired and biomimetic polymers toward biobased materials. Nat. Rev. Chem. 2021, 5, 753–772. [Google Scholar] [CrossRef] [PubMed]
- Falua, K.J.; Pokharel, A.; Babaei-Ghazvini, A.; Ai, Y.; Acharya, B. Valorization of starch to biobased materials: A review. Polymers 2022, 14, 2215. [Google Scholar] [CrossRef] [PubMed]
- Mokhtari, C.; Malek, F.; Caillol, S.; Negrell, C. Synthesis of Bio-Based Polyurethanes from Jojoba Oil. Eur. J. Lipid Sci. Technol. 2018, 120, 1700414. [Google Scholar] [CrossRef]
- Fan, Q.; Lu, T.; Deng, Y.; Zhang, Y.; Ma, W.; Xiong, R.; Huang, C. Bio-based materials with special wettability for oil-water separation. Sep. Purif. Technol. 2022, 297, 121445. [Google Scholar] [CrossRef]
- Mokhtari, C.; Malek, F.; Halila, S.; Belgacem, M.N.; Khiari, R. New Biobased Polyurethane Materials from Modified Vegetable Oil. J. Renew. Mater. 2021, 9, 1213–1223. [Google Scholar] [CrossRef]
- Yaradoddi, J.S.; Banapurmath, N.R.; Ganachari, S.V.; Soudagar, M.E.M.; Sajjan, A.M.; Kamat, S.; Mujtaba, M.A.; Shettar, A.S.; Anqi, A.E.; Safaei, M.R.; et al. Bio-based material from fruit waste of orange peel for industrial applications. J. Mater. Res. Technol. 2022, 17, 3186–3197. [Google Scholar] [CrossRef]
- Mokhtari, C.; Malek, F.; Manseri, A.; Caillol, S.; Negrell, C. Reactive jojoba and castor oils-based cyclic carbonates for biobased polyhydroxyurethanes. Eur. Polym. J. 2019, 113, 18–28. [Google Scholar] [CrossRef]
- Hadjadj, A.; Jbara, O.; Tara, A.; Gilliot, M.; Malek, F.; Maafi, E.M.; Tighzert, L. Effects of cellulose fiber content on physical properties of polyurethane based composites. Compos. Struct. 2015, 135, 217–223. [Google Scholar] [CrossRef]
- Akter, M.; Uddin, M.H.; Tania, I.S. Biocomposites based on natural fibers and polymers: A review on properties and potential applications. J. Reinf. Plast. Compos. 2022, 41, 705–742. [Google Scholar] [CrossRef]
- Baley, C.; Bourmaud, A.; Davies, P. Eighty years of composites reinforced by flax fibres: A historical review. Compos. Part A Appl. Sci. Manuf. 2021, 144, 106333. [Google Scholar] [CrossRef]
- Tiuc, A.E.; Nemeş, O.; Vermeşan, H.; Toma, A.C. New sound absorbent composite materials based on sawdust and polyurethane foam. Compos. Part B Eng. 2019, 165, 120–130. [Google Scholar] [CrossRef]
- Godavarti, S. Thermoplastic wood fibre composites. In Natural Fibers, Biopolymers, and Biocomposites; Mohanty, A.K., Misra, M., Drzal, L.T., Eds.; CRC Press: Boca Raton, FL, USA, 2005; pp. 348–386. [Google Scholar]
- Boudjellal, A.; Trache, D.; Bekhouche, S.; Khimeche, K.; Razali, M.S.; Guettiche, D. Preparation and characterization of Alfa fibers/graphene nanoplatelets hybrid for advanced applications. Mater. Lett. 2021, 289, 129379. [Google Scholar] [CrossRef]
- Faruk, O.; Bledzki, A.K.; Fink, H.P.; Sain, M. Biocomposites reinforced with natural fibers: 2000–2010. Prog. Polym. Sci. 2012, 37, 1552–1596. [Google Scholar] [CrossRef]
- Saba, N.; Jawaid, M.; Alothman, O.Y.; Paridah, M.T. A review on dynamic mechanical properties of natural fibre reinforced polymer composites. Constr. Build. Mater. 2016, 106, 149–159. [Google Scholar] [CrossRef]
- Shibata, M.; Teramoto, N.; Makino, K. Preparation and Properties of Biocomposites Composed of Epoxidized Soybean Oil, Tannic Acid, and Microfibrillated Cellulose. J. Appl. Polym. Sci. 2011, 120, 273–278. [Google Scholar] [CrossRef]
- Mosiewicki, M.A.; Rojek, P.; Michalowski, S.; Aranguren, M.I.; Prociak, A. Rapeseed oil-based polyurethane foams modified with glycerol and cellulose micro/nanocrystals. J. Appl. Polym. Sci. 2015, 132, 41602. [Google Scholar] [CrossRef]
- Maafi, E.M.; Malek, F.; Tighzert, L.; Dony, P. Synthesis of polyurethane and characterization of its composites based on Alfa cellulose fibers. J. Polym. Environ. 2010, 18, 638–646. [Google Scholar] [CrossRef]
- TAPPI T204-cm-07; Solvent Extractives of Wood and Pulp. TAPPI Press: Atlanta, GA, USA, 2007.
- Mokhtari, C.; Harit, T.; Khiari, R.; Malek, F. Biobased Composites from jojoba oil and fibers from alfa stems: Elaboration and characterization. Ind. Crops Prod. 2022, 176, 114294. [Google Scholar] [CrossRef]
- Tejuosho, T.; Kollipara, S.; Patankar, S.; Sampath, J. Dynamics of Polymer Chains in Disperse Melts: Insights from Coarse-Grained Molecular Dynamics Simulations. J. Phys. Chem. B 2024, 128, 11846–11854. [Google Scholar] [CrossRef]
- Jabli, M.; Tka, N.; Khiari, R.; Saleh, T.A. Physicochemical characteristics and dyeing properties of lignin-cellulosic fibers derived from Nerium oleander. J. Mol. Liq. 2018, 249, 1138–1144. [Google Scholar] [CrossRef]
- Khiari, R.; Belgacem, M.N. 21-Potential for Using Multiscale Posidonia Oceanica Waste: Current Status and Prospects in Material Science. In Woodhead Publishing Series in Composites Science and Engineering, Lignocellulosic Fibre and Biomass-Based Composite Materials; Jawaid, M., Tahir, M.P., Saba, N., Eds.; Woodhead Publishing: Cambridge, UK, 2017; pp. 447–471. [Google Scholar] [CrossRef]
- Khiari, R.; Belgacem, M.N. Date Palm Nanofibers and Composites. In Date Palm Fiber Composites: Processing, Properties and Applications; Composites Science and Technology; Midani, M., Saba, N., Alothman, O.Y., Eds.; Springer: Singapore, 2020; pp. 185–206. [Google Scholar] [CrossRef]
- Alemdar, A.; Sain, M. Isolation and characterization of nanofibers from agricultural residues–Wheat straw and soy hulls. Bioresour. Technol. 2008, 99, 1664–1671. [Google Scholar] [CrossRef] [PubMed]
- Pappas, C.; Tarantilis, P.A.; Daliani, I.; Mavromoustakos, T.; Polissiou, M. Comparison of classical and ultrasound-assisted isolation procedures of cellulose from kenaf (Hibiscus cannabinus L.) and eucalyptus (Eucalyptus rodustrus Sm.). Ultrason. Sonochem. 2002, 9, 19–23. [Google Scholar] [CrossRef] [PubMed]
- Kostryukov, S.G.; Matyakubov, H.B.; Masterova, Y.Y.; Kozlov, A.S.; Pryanichnikova, M.K.; Pynenkov, A.A.; Khluchina, N.A. Determination of lignin, cellulose, and hemicellulose in plant materials by FTIR spectroscopy. J. Anal. Chem. 2023, 78, 718–727. [Google Scholar] [CrossRef]
- Vârban, R.; Crișan, I.; Vârban, D.; Ona, A.; Olar, L.; Stoie, A.; Ștefan, R. Comparative FT-IR prospecting for cellulose in stems of some fiber plants: Flax, velvet leaf, hemp and jute. Appl. Sci. 2021, 11, 8570. [Google Scholar] [CrossRef]
- Mottershead, B.; Eichhorn, S.J. Deformation micromechanics of model regenerated cellulose fibre-epoxy/polyester composites. Compos. Sci. Technol. 2007, 67, 2150–2159. [Google Scholar] [CrossRef]
- Auad, M.L.; Contos, V.S.; Nutt, S.; Aranguren, M.I.; Marcovich, N.E. Characterization of nanocellulose-reinforced shape memory polyurethanes. Polym. Int. 2007, 57, 651–659. [Google Scholar] [CrossRef]
- Puglia, D.; Tomassucci, A.; Kenny, J.M. Processing, properties and stability of biodegradable composites based on Mater- Bi® and cellulose fibres. Polym. Adv. Technol. 2003, 14, 749–756. [Google Scholar] [CrossRef]
- Klason, C.; Kubat, J.; Strömvall, H.E. The efficiency of cellulosic fillers in common thermoplastics. Part 1. Filling without processing aids or coupling agents. Int. J. Polym. Mater. Polym. Biomater. 1984, 10, 159–187. [Google Scholar] [CrossRef]
- Sair, S.; Mansouri, S.; Tanane, O.; Abboud, Y.; El Bouari, A. Alfa fiber-polyurethane composite as a thermal and acoustic insulation material for building applications. SN Appl. Sci. 2019, 1, 667. [Google Scholar] [CrossRef]









| Composites | Fibers/Matrix (Weight Fractions) |
|---|---|
| PU0 | 0/100 |
| PU10 | 10/90 |
| PU20 | 20/80 |
| PU30 | 30/70 |
| PU40 | 40/60 |
| PU50 | 50/50 |
| PUi | PU0 | PU10 | PU20 | PU30 | PU40 | PU50 |
|---|---|---|---|---|---|---|
| Tg (°C) | −38.3 ± 1.5 | −30.3 ± 1.5 | −22.3 ± 1.1 | −14 ± 1.5 | −7.6 ± 0.57 | −7 ± 1.5 |
| Biocomposite | Temperature (°C) | |
|---|---|---|
| T5% | T50% | |
| PU0 | 265 | 360 |
| PU10 | 256 | 355 |
| PU20 | 247 | 342 |
| PU30 | 240 | 332 |
| PU40 | 238 | 324 |
| PU50 | 232 | 325 |
| Biocomposite | Elongation at Break (%) | Stress at Break (×106 Pa) | Young’s Modulus (×106 Pa) |
|---|---|---|---|
| PU0 | 137 ± 3.5 | 10.5 ± 1.5 | 32.3 ± 0.4 |
| PU10 | 128 ± 2.8 ** | 11.4 ± 2.0 NS | 70.1 ± 1.4 *** |
| PU20 | 94 ± 2.4 *** | 14.1 ± 1.6 NS | 117.5 ± 5.1 *** |
| PU30 | 61 ± 1.9 *** | 15.9 ± 1.3 ** | 140.9 ± 3.2 *** |
| PU40 | 40 ± 1.5 *** | 16.9 ± 2.5 ** | 157.2 ± 3.3 *** |
| PU50 | 36 ± 1.0 *** | 6.6 ± 0.9 *** | 29.3 ± 1.9 NS |
Disclaimer/Publisher’s Note: The statements, opinions and data contained in all publications are solely those of the individual author(s) and contributor(s) and not of MDPI and/or the editor(s). MDPI and/or the editor(s) disclaim responsibility for any injury to people or property resulting from any ideas, methods, instructions or products referred to in the content. |
© 2026 by the authors. Licensee MDPI, Basel, Switzerland. This article is an open access article distributed under the terms and conditions of the Creative Commons Attribution (CC BY) license.
Share and Cite
Ramdani, A.; Harit, T.; Mokhtari, C.; Malek, F. Elaboration and Characterization of New Polyurethane-Based Biocomposites from Jojoba Oil and Alfa Cellulose Fibers. Polysaccharides 2026, 7, 9. https://doi.org/10.3390/polysaccharides7010009
Ramdani A, Harit T, Mokhtari C, Malek F. Elaboration and Characterization of New Polyurethane-Based Biocomposites from Jojoba Oil and Alfa Cellulose Fibers. Polysaccharides. 2026; 7(1):9. https://doi.org/10.3390/polysaccharides7010009
Chicago/Turabian StyleRamdani, Ahmed, Tarik Harit, Chakib Mokhtari, and Fouad Malek. 2026. "Elaboration and Characterization of New Polyurethane-Based Biocomposites from Jojoba Oil and Alfa Cellulose Fibers" Polysaccharides 7, no. 1: 9. https://doi.org/10.3390/polysaccharides7010009
APA StyleRamdani, A., Harit, T., Mokhtari, C., & Malek, F. (2026). Elaboration and Characterization of New Polyurethane-Based Biocomposites from Jojoba Oil and Alfa Cellulose Fibers. Polysaccharides, 7(1), 9. https://doi.org/10.3390/polysaccharides7010009

