Next Issue
Volume 11, December
Previous Issue
Volume 11, August
 
 

Beverages, Volume 11, Issue 5 (October 2025) – 30 articles

Cover Story (view full-size image): Coffee is the world’s most traded commodity, whose quality relies on characteristics such as color, moisture content, absence of visible defects and insect infestation, and bean size and density. However, among the factors affecting the final quality of a cup of coffee, a central role is played by the brewing method, with parameters related to water (temperature volume, hardness), ground coffee (amount, particle size distribution, compaction), extraction (pressure, flow rate and time), and cup (volume, water to ground coffee ratio). The aim of the manuscript was to provide a comprehensive overview on the impact of brewing methods on the final quality of a cup of coffee through the discussion of differences in parameters such as pH, total dissolved solids, lipid and fatty acid content, acidity, and the formation of crema. View this paper
  • Issues are regarded as officially published after their release is announced to the table of contents alert mailing list.
  • You may sign up for e-mail alerts to receive table of contents of newly released issues.
  • PDF is the official format for papers published in both, html and pdf forms. To view the papers in pdf format, click on the "PDF Full-text" link, and use the free Adobe Reader to open them.
Order results
Result details
Section
Select all
Export citation of selected articles as:
19 pages, 2155 KB  
Article
The Addition of Plantain Peel (Musa paradisiaca) to Fermented Milk as a Strategy for Enriching the Product and Reusing Agro-Industrial Waste
by Ana Rosa de Souza Silva, Andrea Pissatto Peres, Rafael Alexandre dos Santos Martins, Karina Teixeira Magalhães, Claudia Puerari, Maressa Caldeira Morzelle and Juliana Aparecida Correia Bento
Beverages 2025, 11(5), 153; https://doi.org/10.3390/beverages11050153 - 21 Oct 2025
Cited by 3 | Viewed by 2066
Abstract
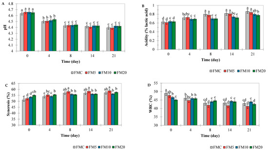
The present study investigates the hypothesis that green plantain peel (GPP) could be used as a functional ingredient to enrich fermented milk, thus improving its nutritional profile and bioactive content. The objective of the present study was to develop a fermented milk product [...] Read more.
The present study investigates the hypothesis that green plantain peel (GPP) could be used as a functional ingredient to enrich fermented milk, thus improving its nutritional profile and bioactive content. The objective of the present study was to develop a fermented milk product with added GPP and to evaluate its physical–chemical, technological, microbiological, and sensory characteristics, as well as the bioaccessibility of bioactive compounds after in vitro digestion (INFOGEST). The methodological strategy involved the formulation of four treatments: one control (Fermented Milk Control, FMC) and three with different concentrations of cooked plantain peel (5%—FM5, 10%—FM10, and 20%—FM20). The results demonstrated that the incorporation of peel had a significant impact on the technological properties, resulting in increased syneresis and color change. In contrast, pH and acidity were more influenced by storage duration. Lactic acid bacteria demonstrated viability at probiotic concentrations (≥106 CFU/mL) for a duration of up to 11 days. The incorporation of GPP resulted in a substantial increase in the phenolic compound content and antioxidant activity of the product, with the FM20 treatment showing the highest antioxidant activity (DPPH: 1555 ± 16 µmol TE/mL, ABTS: 576 ± 29 µmol TE/mL, FRAP: 2427 ± 58 µmol Fe2+/mL) compared to FMC. Sensory analysis revealed that texture and color were the most influential attributes, with formulations FM5 and FM10 being the most accepted, as indicated by an acceptability index above 82%. The simulated in vitro digestion led to an increase in the measurable phenolic content and a corresponding enhancement of antioxidant activity. This suggests that the digestive process enhances the release of these compounds from the food matrix, thereby increasing their bioaccessibility. Full article
Show Figures

Graphical abstract

29 pages, 2851 KB  
Review
Fermented Beverages from Amazonian Fruits: Nutritional Characteristics and Bioactive Compounds
by Bárbara N. Batista, Ana Cristina Correia, António M. Jordão and Patrícia M. Albuquerque
Beverages 2025, 11(5), 152; https://doi.org/10.3390/beverages11050152 - 21 Oct 2025
Cited by 2 | Viewed by 3678
Abstract
Fermented beverages are drinks that undergo a fermentation process involving yeasts, bacteria, or other microbial groups, leading to the conversion of natural sugars into alcohol, acids, and gases. Beer, wine, kombucha, kefir, and cider are examples of fermented beverages produced and consumed worldwide, [...] Read more.
Fermented beverages are drinks that undergo a fermentation process involving yeasts, bacteria, or other microbial groups, leading to the conversion of natural sugars into alcohol, acids, and gases. Beer, wine, kombucha, kefir, and cider are examples of fermented beverages produced and consumed worldwide, representing a rapidly growing market. However, demands for these products have expanded beyond aspects such as size, shape, and storage conditions. There is an increasing demand for eco-sustainable, fresh products tailored to individuals with dietary restrictions and/or enriched with nutrients and health-promoting compounds. In this context, the market has witnessed a surge in alternative fermented beverages made from nutrient-rich or exotic-flavored raw materials, highlighting their versatility. A noteworthy example is the application of Amazonian fruits, which, despite being primarily consumed fresh by local populations, have been extensively characterized in scientific studies for their abundance of molecules with beneficial effects and their use in products like juices, ice creams, and fermented beverages. Thus, this review aims to explore the nutritional composition and microbiological aspects of different fermented beverages produced from several Amazonian fruits. Full article
(This article belongs to the Special Issue Bioactive Compounds in Fermented Beverages)
Show Figures

Figure 1

20 pages, 1849 KB  
Review
A Bibliometric Review of Willingness to Pay for and Consume Sustainably Produced Beers
by Iris Salgado-Valverde, María Pache-Durán, Elena Muñoz-Muñoz and Carlos Díaz-Caro
Beverages 2025, 11(5), 151; https://doi.org/10.3390/beverages11050151 - 21 Oct 2025
Viewed by 1874
Abstract
This study conducts a systematic literature review and bibliometric analysis of scientific publications examining the relationship between consumer behaviour toward sustainably produced beer and the consumption and production context of their countries. Based on a sample of 112 articles (1991–2025) indexed in the [...] Read more.
This study conducts a systematic literature review and bibliometric analysis of scientific publications examining the relationship between consumer behaviour toward sustainably produced beer and the consumption and production context of their countries. Based on a sample of 112 articles (1991–2025) indexed in the Web of Science database, the main research lines, influential authors, applied methodologies, and emerging trends are identified. The analysis shows a growing interest in understanding how sustainable beer attributes influence consumer purchasing decisions, alongside notable thematic and methodological dispersion. Using tools such as VOSviewer 1.16.19 and SciMAT 1.1.06, the study maps the driving themes in the field, highlighting the centrality of concepts such as preferences and consumer behaviour. The results reveal both recent advances and existing gaps in the literature, especially with regard to beer in comparison to other beverages. This work contributes to the existing body of research and proposes future directions to enhance sustainability in the brewing sector from a consumer perspective, adding value to the beer industry and paving the way for more sustainable consumption. Full article
Show Figures

Figure 1

14 pages, 1691 KB  
Article
Effect of the Flash Vacuum Expansion (FVE) Process on the Response of Limosilactobacillus fermentum J24 to the Metabolism of Sugars and Organic Acids During the Development of a Papaya-Based Drink
by María de Jesús Torres-Llanez, José Isidro Méndez-Romero, Jesús Ayala-Zavala, Aarón Fernando González-Córdova, Belinda Vallejo-Cordoba, Marco Antonio Salgado-Cervantes, Manuel Vargas-Ortiz and Teresita de Jesús Castillo-Romero
Beverages 2025, 11(5), 150; https://doi.org/10.3390/beverages11050150 - 17 Oct 2025
Viewed by 1287
Abstract
The flash vacuum expansion (FVE) process is an unconventional technology that enables the generation of fruit purees by altering the state of the water stored in the vacuoles. The plant tissue is subjected to an increase in temperature (from 25 to 54 °C) [...] Read more.
The flash vacuum expansion (FVE) process is an unconventional technology that enables the generation of fruit purees by altering the state of the water stored in the vacuoles. The plant tissue is subjected to an increase in temperature (from 25 to 54 °C) while maintaining a constant pressure (101.3 kPa). The temperature and pressure are then rapidly reduced (25 °C and 5 kPa, respectively). This promotes the conversion of water from liquid to gas, increasing its volume, which causes cell rupture and efficiently releases cellular components, including compounds stored in the vacuole. Furthermore, fermentation with lactic acid bacteria (LAB) is a biotechnological strategy that allows the generation of beverages with specific characteristics derived from the metabolism of LAB. LAB are capable of consuming sugars as an energy source and producing organic acids as a means of defense against microbial competitors. This research analyzes the effect of the FVE process and the genetics of Limosilactobacillus fermentum J24 on sugars and organic acids in a papaya-based beverage. During the production of papaya puree, FVE affects the concentration of sugars and organic acids, leading the bacteria to a different metabolic response than when FVE is not used for papaya puree production. Limosilactobacillus fermentum J24 was found to activate genes that confer high potential for use in the fermentation of plant-based matrices, although it was isolated from cheese. Full article
Show Figures

Figure 1

18 pages, 2737 KB  
Article
Whole Wheat Bread Improves the Nutritional Composition and Quality of Beer During Long-Term Storage
by Carlos Martin-Lobera, Carlos A. Blanco and Isabel Caballero
Beverages 2025, 11(5), 149; https://doi.org/10.3390/beverages11050149 - 16 Oct 2025
Viewed by 1674
Abstract
Beer is one of the most widely consumed alcoholic beverages worldwide, whereas surplus bread constitutes a significant environmental burden; repurposing this bread as a brewing adjunct offers a sustainable mitigation strategy. In this study, we replaced 50% of the malt grist in American [...] Read more.
Beer is one of the most widely consumed alcoholic beverages worldwide, whereas surplus bread constitutes a significant environmental burden; repurposing this bread as a brewing adjunct offers a sustainable mitigation strategy. In this study, we replaced 50% of the malt grist in American Lager, India Pale Ale and Bavarian Weiss with stale whole wheat bread, brewed each beer and its malt control in duplicate, and stored them for 12 months at 15 °C. Bread addition raised turbidity and soluble protein at bottling; however, after 12 months, the bread lagers clarified to 101 NTU while the controls stayed above 600 NTU. Alcohol content, pH and titratable acidity were unaffected. All bread beers retained more total polyphenols and showed stronger DPPH radical-scavenging activity than controls, especially in lager and IPA. Lactobacillus (<100 CFU mL−1) and Enterobacteriaceae (<10 CFU mL−1) remained below detection limits in bread samples, whereas the malt-only Weiss displayed Lactobacillus spoilage. Sensory panels noted fuller body, livelier carbonation and enhanced toasted-malt aroma in bread beers, with no sensory off-flavour defects detected. Repurposing surplus bread therefore improves clarity, preserves bioactive compounds and yields distinctive, shelf-stable beers while advancing circular-economy goals. Full article
Show Figures

Graphical abstract

16 pages, 880 KB  
Review
Biological Activities of Tea: Benefits, Risks, and Critical Overview of Their Consumption in Children
by Mario Castillo-Ruiz, Juan Pablo Espinoza, Lisette Benavides and María Carolina Otero
Beverages 2025, 11(5), 148; https://doi.org/10.3390/beverages11050148 - 14 Oct 2025
Viewed by 10976
Abstract
Tea, derived from the leaves of Camellia sinensis is globally recognized for its cultural significance and potential health benefits. While extensively studied in adults, the effects of tea consumption in children remain underexplored. This review examines tea′s bioactive compounds, such as catechins, flavonoids, [...] Read more.
Tea, derived from the leaves of Camellia sinensis is globally recognized for its cultural significance and potential health benefits. While extensively studied in adults, the effects of tea consumption in children remain underexplored. This review examines tea′s bioactive compounds, such as catechins, flavonoids, and L-theanine, and their cognitive, cardiovascular, metabolic, oral, and hepatoprotective benefits with a critical overview of its consumption in pediatric populations. Additionally, the review addresses potential risks, including caffeine-related effects, interference with iron absorption, and hepatotoxicity at high doses. Emerging evidence suggests that tea is a beneficial alternative to sugar-sweetened beverages for children when consumed in moderation. However, caution is warranted regarding caffeine content and the balance of bioactive components. This analysis underscores the importance of further research to establish safe and effective guidelines for tea consumption in children. Full article
Show Figures

Figure 1

22 pages, 5806 KB  
Article
Investigation of the Combined Impact of Location and Processing on the Quality Characteristics of Commercial Malagousia Wines from Northern Greece
by Adriana Skendi, Elisavet Bouloumpasi, Ioanna Kontopou, Stefanos Stefanou, Vasileios Greveniotis and Aikaterini Karampatea
Beverages 2025, 11(5), 147; https://doi.org/10.3390/beverages11050147 - 14 Oct 2025
Viewed by 1562
Abstract
Malagousia represents one of the most promising white native Greek grapevine varieties, producing wines of excellent quality. This study aimed to explore the quality characteristics of Malagousia wines from Northern Greece (Macedonia and Thessaly regions) and evaluate the impact of location and processing. [...] Read more.
Malagousia represents one of the most promising white native Greek grapevine varieties, producing wines of excellent quality. This study aimed to explore the quality characteristics of Malagousia wines from Northern Greece (Macedonia and Thessaly regions) and evaluate the impact of location and processing. We hypothesized that processing can exceed the terroir effect on most compositional traits. To verify this hypothesis, 28 commercial single-varietal Malagousia wines were chosen, varying in location, processing, and vintage. Wines were examined for alcohol content, pH, color, phenolic content, antioxidant activity, elemental composition, and sensory attributes. There was a significant variation in the parameters measured among the wine samples depending on the processing applied, such as skin contact, lees aging, and barrel maturation. While aging on lees affected antioxidant activity and aroma complexity, wines aged in oak or acacia barrels displayed higher phenolic content. Common sensory descriptors included citrus (such as lemon and lime), chamomile, and peach, with some wines exhibiting unique notes like caramel or peppermint. Cluster and Principal Component analyses showed distinct clusters based on winemaking methods and, to a lesser degree, place of origin. The results highlight Malagousia’s varietal potential and the significance of carefully managed processing in expressing stylistic and terroir-driven complexity. Full article
(This article belongs to the Section Wine, Spirits and Oenological Products)
Show Figures

Graphical abstract

15 pages, 1567 KB  
Article
Chemical and Sensory Attributes of Different Ethanol Reduction Methods in Muscadine Wine Production
by Alexandra A. Escalera, Patricia C. Patricio Morillo, Drew Budner, Katherine A. Thompson-Witrick and Andrew J. MacIntosh
Beverages 2025, 11(5), 146; https://doi.org/10.3390/beverages11050146 - 9 Oct 2025
Cited by 1 | Viewed by 1529
Abstract
There has been a recent shift in the global wine market towards reduced-alcohol wines. Muscadine grapes (Vitis rotundifolia) have become a popular choice in many emerging markets; however, their suitability in reduced-alcohol wine production has not been extensively tested. In this [...] Read more.
There has been a recent shift in the global wine market towards reduced-alcohol wines. Muscadine grapes (Vitis rotundifolia) have become a popular choice in many emerging markets; however, their suitability in reduced-alcohol wine production has not been extensively tested. In this study, methods to reduce ethanol in muscadine wine were compared to determine differences in chemical and sensory attributes and consumer preference. The methods evaluated included full fermentation time with Saccharomyces cerevisiae (control), reduced fermentation time with Saccharomyces cerevisiae (stopped fermentation), fermentation with Saccharomycodes ludwigii yeast (instead of Saccharomyces cerevisiae), and vacuum distillation. The control and distilled wines were fermented for 121 h, Saccharomycodes ludwigii for 45 h, and the stopped fermentation wine for 3 h. Yeast and sugar levels were monitored throughout the fermentation processes using brix measurements and yeast counts. After the fermentation, the color, pH, volatiles, and titratable acidity (TA) were measured. The results showed that Saccharomycodes ludwigii fermented more slowly than Saccharomyces cerevisiae, and that both the stopped fermentation and Saccharomycodes ludwigii wines had lower titratable acidity with a more intense color. The total concentration of volatile compounds for the Saccharomycodes ludwigii wine and the stopped wine were lower than for the distilled and control wines. A consumer panel (n = 92) judged the wine samples on chemical qualities and overall preference. The distilled wine was perceived as more alcoholic compared to the other reduced-alcohol wines. The results showed that the stopped fermentation and Saccharomycodes ludwigii wines were preferred by consumers over the control and vacuum-distilled wines. Full article
Show Figures

Graphical abstract

29 pages, 1446 KB  
Article
Advanced Multimodeling for Isotopic and Elemental Content of Fruit Juices
by Ioana Feher, Adriana Dehelean, Romulus Puscas, Dana Alina Magdas, Viorel Tamas and Gabriela Cristea
Beverages 2025, 11(5), 145; https://doi.org/10.3390/beverages11050145 - 9 Oct 2025
Cited by 1 | Viewed by 1673
Abstract
The aim of the present study was to test the prediction ability of three different supervised chemometric algorithms, such as linear discriminant analysis (LDA), k-nearest Neighbor (k-NN) and artificial neural networks (ANNs), for fruit juice classification and differentiation, based on isotopic and multielemental [...] Read more.
The aim of the present study was to test the prediction ability of three different supervised chemometric algorithms, such as linear discriminant analysis (LDA), k-nearest Neighbor (k-NN) and artificial neural networks (ANNs), for fruit juice classification and differentiation, based on isotopic and multielemental content. To accomplish this, a large experimental dataset was analyzed using inductively coupled plasma mass spectrometry (ICP-MS) together with isotope ratio mass spectrometry (IRMS), and a low data fusion approach was applied. Three classifications were tested, namely the following: (i) fruit differentiation of different juice types; (ii) apple and orange juice differentiation; and (iii) distinguishing between processed versus directly pressed apple juices. The results demonstrated that ANNs can offer the most accurate results, compared with LDA and k-NN, for all three cases of classification, highlighting once again the advantages of deep learning models for modeling complex data. The work revealed the higher potential of advanced chemometric methods for accurate classification of fruit juices, compared with traditional approaches. This approach could represent a realistic tool for ensuring the juice’s quality and safety, along with complying with regulations and combating fraud. Full article
Show Figures

Graphical abstract

32 pages, 921 KB  
Review
An Overview of the Microbiological, Nutritional, Sensory and Potential Health Aspects of Tree Nut-Based Beverages
by Tiziana Di Renzo, Antonela G. Garzón, Stefania Nazzaro, Pasquale Marena, Angela Daniela Carboni, Maria Cecilia Puppo, Silvina Rosa Drago and Anna Reale
Beverages 2025, 11(5), 144; https://doi.org/10.3390/beverages11050144 - 1 Oct 2025
Cited by 4 | Viewed by 3714
Abstract
In recent years, the rise in food allergies and intolerances, combined with the increasing consumer preference for healthier, plant-based alternatives to traditional dairy products, has driven the development of a diverse range of plant-based beverages. Among these, tree nut-based beverages, “ready-to-drink” products made [...] Read more.
In recent years, the rise in food allergies and intolerances, combined with the increasing consumer preference for healthier, plant-based alternatives to traditional dairy products, has driven the development of a diverse range of plant-based beverages. Among these, tree nut-based beverages, “ready-to-drink” products made from nuts such as almonds, hazelnuts, pistachios, walnuts, brazil nut, macadamia, cashew nut, coconut, pine nut, have gained significant popularity. This review offers a comprehensive analysis of the microbiological, nutritional, and sensory properties of tree nut-based beverages, highlighting their ability to deliver essential nutrients such as healthy fats, proteins, fiber, vitamins, and minerals. Additionally, these beverages provide a rich source of bioactive compounds (e.g., antioxidants, polyphenols) that can contribute to health benefits such as reducing oxidative stress, supporting cardiovascular health, and promoting overall well-being. The review also highlights the ability of different species of lactic acid bacteria to enhance flavour profiles and increase the bioavailability of certain bioactive compounds. Nevertheless, further research is essential to optimize the production methods, improve sensory characteristics, and address challenges related to cost, scalability, and consumer acceptance. Continued innovation in this area may position tree nut beverages as a key component of plant-based food models, contributing to the promotion of healthier eating patterns. Full article
(This article belongs to the Special Issue Recent Research in Plant-Based Drinks)
Show Figures

Figure 1

23 pages, 1535 KB  
Article
Investigating the Volatiles of Kombucha During Storage Under Refrigerated Conditions
by Massimo Mozzon, Luigi Rinaldi, Abdelhakam Esmaeil Mohamed Ahmed, Béla Kovács and Roberta Foligni
Beverages 2025, 11(5), 143; https://doi.org/10.3390/beverages11050143 - 1 Oct 2025
Cited by 5 | Viewed by 2614
Abstract
This study investigates the evolution of the chemical components of kombucha aroma during refrigerated storage. Two preparation methods (MT1 and MT2) were used to produce kombucha from a 1:1 mixture of black and green tea. The bottled beverages were stored at 4 °C [...] Read more.
This study investigates the evolution of the chemical components of kombucha aroma during refrigerated storage. Two preparation methods (MT1 and MT2) were used to produce kombucha from a 1:1 mixture of black and green tea. The bottled beverages were stored at 4 °C for three months, and changes in headspace (HS) volatiles were monitored at different time points using solid-phase microextraction (SPME) and GC-MS. A total of 68 volatile substances were identified, with alcohols, acids, and esters dominating the aroma profile. The study revealed significant changes in flavor composition during cold storage, particularly in the first two weeks, with an increase in the number of esters, acids, ketones and terpenoids, as well as the total amount of esters and alkanols. While some changes contribute to the desirable “cider-like” characteristics, others, like certain volatile acids, aliphatic aldehydes and ketones, are associated with off-flavors. These findings suggest that refrigeration alone is not sufficient to completely inhibit microbial activity in freshly prepared kombucha, highlighting the need for further research to correlate chemical changes with sensory properties to establish optimal organoleptic standards and shelf life. Full article
Show Figures

Figure 1

18 pages, 1555 KB  
Article
Alternative Yeast Strains in Beer Production: Impacts on Quality and Nutritional Value
by Loránd Alexa, Hajnalka Csoma, Diána Ungai, Béla Kovács, Nikolett Czipa, Ida Miklós, Zoltán Kállai, László Attila Papp and Szonja Takács
Beverages 2025, 11(5), 142; https://doi.org/10.3390/beverages11050142 - 1 Oct 2025
Cited by 3 | Viewed by 2006
Abstract
Discovering new yeast species can be crucial for creating new types of beers. In this study, we investigated three new yeast species, Saccharomyces bayanus, Schizosaccharomyces japonicus and Schizosaccharomyces pombe var. malidevorans, which have not been previously used in the brewing industry. [...] Read more.
Discovering new yeast species can be crucial for creating new types of beers. In this study, we investigated three new yeast species, Saccharomyces bayanus, Schizosaccharomyces japonicus and Schizosaccharomyces pombe var. malidevorans, which have not been previously used in the brewing industry. Colour, total acidity, bitterness, aroma profile, total phenolic, flavonoid, mineral content and organoleptic characteristics of beers fermented by these strains were analysed to discover their applicability in the brewing industry. They did not significantly affect the nutritional value and colour of the beers, but showed increased acidity compared to the control Saccharomyces cerevisiae. GC-MS (Gas Chromatography-Mass Spectrometry) analysis revealed 33 aroma compounds, some of which were identical and some unique. S. cerevisiae and S. bayanus produced a similar number (19–20) of aroma compounds, while S. japonicus produced the fewest, including some undesirable compounds. Isobutyl alcohol, isoamyl alcohol, acetol, dimethylpyrazine, acetic acid, 4-cyclopentene-1,3-dione, butyrolactone, 2-furanmethanol, phenylethyl alcohol, maltol and pyranone that provide desired aromas in beers could be found in every sample. The new yeasts significantly increased polyphenols and decreased flavonoid content. Based on the results above and the taste scores, the strains S. bayanus and S. pombe var. malidevorans may be suitable for brewing, while S. japonicus is less or only suitable for combined fermentation. Full article
Show Figures

Graphical abstract

10 pages, 298 KB  
Article
Exploring Visualization of Beverage Consistency Through 2D and 3D Imaging Methods
by Jane Mertz Garcia, Edgar Chambers IV, Madison Ukele, Abby Brey Althauser and David Rehfeld
Beverages 2025, 11(5), 141; https://doi.org/10.3390/beverages11050141 - 1 Oct 2025
Viewed by 1328
Abstract
Modification to a thin beverage consistency is frequently recommended when swallowing is impaired, but proper thickening during preparation is essential. Contemporary technologies provide innovative ways of addressing quality control due to ongoing challenges in the accuracy of beverage preparation. This study explored two-dimensional [...] Read more.
Modification to a thin beverage consistency is frequently recommended when swallowing is impaired, but proper thickening during preparation is essential. Contemporary technologies provide innovative ways of addressing quality control due to ongoing challenges in the accuracy of beverage preparation. This study explored two-dimensional (2D) and three-dimensional (3D) methods for visualizing beverages representing different levels of consistency (thin, mildly thick, or moderately thick). A total of 48 adults with limited knowledge about swallowing and no experience with thickened beverages participated. They learned about levels of modification and then viewed 2D images (photos) and 3D virtual models of beverage content. Results showed that their ability to recognize beverage consistency and their decision confidence was generally similar across dimensions even though study participants conveyed a strong preference for viewing 3D models. Qualitative findings underscored the importance of beverage attributes, especially color. Participants differed in their perceptions in using a constant (2D) or multiple angles (3D) when evaluating visualizations. Results help inform about the potential role of visual content in developing instructional resources about thickened beverages prescribed for patients with special medical needs. Full article
(This article belongs to the Section Quality, Nutrition, and Chemistry of Beverages)
Show Figures

Figure 1

14 pages, 543 KB  
Article
Functional Non-Alcoholic Beer Fermented with Potential Probiotic Yeasts
by Peter Vaštík, Ján Brunner, Rudolf Jung, Tatiana Klempová, Katarína Furdíková, Daniela Šmogrovičová and Pavel Dostálek
Beverages 2025, 11(5), 140; https://doi.org/10.3390/beverages11050140 - 22 Sep 2025
Cited by 1 | Viewed by 3381
Abstract
The development of non-alcoholic beer (NAB) with health benefits, using non-conventional potential probiotic yeasts, offers an interesting alternative to standard NAB brewing strategies. In this study, potential probiotic non-Saccharomyces yeasts Pichia manshurica, Kluyveromyces lactis, and Kluyveromyces marxianus, along with [...] Read more.
The development of non-alcoholic beer (NAB) with health benefits, using non-conventional potential probiotic yeasts, offers an interesting alternative to standard NAB brewing strategies. In this study, potential probiotic non-Saccharomyces yeasts Pichia manshurica, Kluyveromyces lactis, and Kluyveromyces marxianus, along with commercial probiotic yeast Saccharomyces boulardii, were characterised and tested for functional NAB production, whereas P. manshurica was used in NAB production for the first time. Growth and viability were assessed across a range of temperatures, pH, and iso-α-bitter acids. The tested yeasts withstood conditions typical of the beer matrix and human digestive tract and had a positive phenolic off-flavour phenotype. Two strains, K. lactis and K. marxianus, showed strong β-glucosidase activity, which may enhance beverage aroma complexity. Ethanol levels in beers fermented with non-Saccharomyces yeasts remained below the NAB limit (≤0.5% v/v). An analysis of volatile organic compound profiles revealed the potential of these yeasts to produce higher alcohols and esters valuable from a brewer’s perspective. This study provides valuable insight into novel probiotic fermentations and the potential application of unconventional yeasts in functional, aromatic, and health-oriented non-alcoholic beverages. Full article
(This article belongs to the Section Malting, Brewing and Beer)
Show Figures

Graphical abstract

12 pages, 2255 KB  
Article
Photodegradation of Retsina Wine: Does Pine Resin Protect Against Light-Induced Changes?
by George Polymeros, Silvia Carlin, Francesco Reale, Evangelos Nikolou, Vasilios Nikolou, Urska Vrhovsek and Panagiotis Arapitsas
Beverages 2025, 11(5), 139; https://doi.org/10.3390/beverages11050139 - 22 Sep 2025
Viewed by 2093
Abstract
Retsina is a wine deeply rooted in Greek tradition, often misunderstood, and exclusively produced in Greece by adding pine resin to the must. Typically, it is bottled in flint glass bottles, although it is known that light can damage wine aroma compounds. However, [...] Read more.
Retsina is a wine deeply rooted in Greek tradition, often misunderstood, and exclusively produced in Greece by adding pine resin to the must. Typically, it is bottled in flint glass bottles, although it is known that light can damage wine aroma compounds. However, the effect of light exposure in Retsina wines has never been studied. It remains unknown whether the enrichment with resin-derived compounds can protect Retsina from photodegradation. The main aim of this work was to study the behavior of Retsina’s volatile components when stored in flint glass bottles, and so 12 Retsina wines, prepared with three levels of resin addition, were stored for four weeks under light exposure in flint (clear) glass bottles or protected by light in a box, and then they were analyzed by a GC-MS/MS method. Some compounds were influenced by resin addition, others by light exposure and a few by both conditions. Several terpenes increased with resin addition but decreased due to light exposure, while norisoprenoids decreased under light exposure. Some esters were reduced due to resin addition, and 2-aminoacetophenone was increased by light exposure. The study demonstrated that flint glass bottles should be avoided, as resin does not provide sufficient protection against photodegradation. Full article
(This article belongs to the Special Issue Recent Research in Wine Aroma)
Show Figures

Graphical abstract

27 pages, 1795 KB  
Article
Leaf Infusion of Ribes magellanicum Poir.: A Traditional Beverage from Southern Patagonia with Strong Inhibitory Effects on α-Glucosidase
by Alberto Burgos-Edwards, Cristina Theoduloz, Crister Ramírez, Sophia Miño, Debasish Ghosh, Ricardo Rozzi, Vladimir Shulaev and Guillermo Schmeda-Hirschmann
Beverages 2025, 11(5), 138; https://doi.org/10.3390/beverages11050138 - 19 Sep 2025
Viewed by 1655
Abstract
Infusions of the leaves of Ribes magellanicum (Grossulariaceae) are used as a digestive in southernmost South America. This work aimed to assess the composition and activity of infusions and MeOH:H2O 7:3 extracts of R. magellanicum leaves on enzymes related to metabolic [...] Read more.
Infusions of the leaves of Ribes magellanicum (Grossulariaceae) are used as a digestive in southernmost South America. This work aimed to assess the composition and activity of infusions and MeOH:H2O 7:3 extracts of R. magellanicum leaves on enzymes related to metabolic syndrome (α-glucosidase, α-amylase, and pancreatic lipase), as well as their antioxidant capacity. Samples from a longitudinal gradient from central southern Chile to the islands in the Beagle Channel were investigated. Lyophilized infusions and extracts were used for all determinations, including inhibition of the selected enzymes, total phenolic (TP), total flavonoid (TF), total procyanidins (TPC), and antioxidant capacity (DPPH, FRAP, TEAC, and ORAC). The composition of the samples was assessed by HPLC-DAD. Some 99 compounds were tentatively identified by HPLC-MSn. The main phenolics were quantified using calibration curves with reference compounds. Relevant differences exist in the ratio of constituents in infusions compared to hydroalcoholic extracts. The samples were inactive towards α-amylase and pancreatic lipase at 100 and 50 µg/mL, respectively. Assay-guided isolation of α-glucosidase inhibitors led to fractions with high activity (IC50: 0.02–0.05 µg/mL). The strong inhibition of α-glucosidase and antioxidant capacity of the infusion and extracts of R. magellanicum leaves support its traditional use in southern Patagonia. Full article
(This article belongs to the Section Quality, Nutrition, and Chemistry of Beverages)
Show Figures

Graphical abstract

20 pages, 627 KB  
Review
Childhood Obesity and Its Physiological Association with Sugar-Sweetened, Free-Sugar Juice, and Artificially Sweetened Beverages
by Meryem El Ouardi, Guillem Garcia-Llorens and Victoria Valls-Belles
Beverages 2025, 11(5), 137; https://doi.org/10.3390/beverages11050137 - 19 Sep 2025
Cited by 2 | Viewed by 8185
Abstract
Childhood obesity represents a growing global public health crisis, strongly driven by the widespread consumption of sugar-sweetened beverages (SSBs) and, increasingly, artificially sweetened beverages (ASBs). SSB intake drives excessive calorie consumption, reduces satiety, and disrupts hormones, leading to metabolic dysfunction such as insulin [...] Read more.
Childhood obesity represents a growing global public health crisis, strongly driven by the widespread consumption of sugar-sweetened beverages (SSBs) and, increasingly, artificially sweetened beverages (ASBs). SSB intake drives excessive calorie consumption, reduces satiety, and disrupts hormones, leading to metabolic dysfunction such as insulin resistance and type 2 diabetes. Despite some regional declines, global consumption of SSBs remains high, with persistent socioeconomic disparities. Concurrently, ASBs, marketed as healthier alternatives, pose emerging metabolic and behavioral risks, such as gut microbiota disruption and altered appetite regulation, raising concerns about their long-term safety. Both beverage types displace nutritionally balanced food options in children’s diets and foster enduring preferences for sweetness, exacerbating poor dietary quality. Public health interventions targeting SSB reduction have demonstrated modest success; however, rising ASB use complicates prevention strategies. Effective mitigation of childhood obesity requires comprehensive approaches that emphasize reducing all sweetened beverage consumption, promoting water and whole-food hydration, and addressing the behavioral and environmental factors underlying unhealthy beverage choices to improve lifelong health outcomes. Full article
Show Figures

Figure 1

25 pages, 1399 KB  
Article
How Wine Reaches Consumers: Channel Relevance and a Typology of Multichannel Strategies
by Marc Dressler and Katharina Kleiner
Beverages 2025, 11(5), 136; https://doi.org/10.3390/beverages11050136 - 10 Sep 2025
Viewed by 4361
Abstract
The beverage industry is undergoing a dynamic transition in terms of how and where consumers buy products. In an era of rapid digitalization and shifting consumer behaviors, this study investigates how Germany’s wine producers reach consumers and how the distribution landscape of German [...] Read more.
The beverage industry is undergoing a dynamic transition in terms of how and where consumers buy products. In an era of rapid digitalization and shifting consumer behaviors, this study investigates how Germany’s wine producers reach consumers and how the distribution landscape of German wine has transformed. A survey of more than 1000 German wine producers allowed us to explore multichannel strategies. Home-country distribution stands for 84% of the production, while export represents 16% of sales. Indirect sales via food retail safeguard a large portion of distribution, but direct sales to consumers matter in value-driven sales. The findings confirm the continued dominance of indirect retail, particularly food retail, while also highlighting a rebound in direct-to-consumer sales, value market approaches, and on-premises distribution. The results of this study contribute to closing data gaps by underlining that gastronomy has been re-established as a relevant distribution channel and that German wine has not profited from global growth in wine trading. Multichannel strategies are increasingly common, but they vary significantly in their depth and reach depending on different business models. We conducted a cluster analysis and identified three strategic groups: (1) consumer-centric, predominantly direct-to-consumer-oriented estates (63%); (2) industrial, multichannel producers with a strong presence in food retail and export (8%); and (3) hybrid operators balancing value and volume strategies (29%). This study contributes to the development of a more nuanced understanding of multichannel distribution in the wine sector and provides empirical insights into the strategic implications of firm heterogeneity. Full article
(This article belongs to the Section Wine, Spirits and Oenological Products)
Show Figures

Graphical abstract

22 pages, 3244 KB  
Article
Assessing the Potential of Distinctive Greek White Cultivars in Winemaking: Relationship Between Sensory Sorting Tasks and GC-MS Data
by Evangelia Anastasia Tsapou, George Ntourtoglou, Vassilis Dourtoglou and Elisabeth Koussissi
Beverages 2025, 11(5), 135; https://doi.org/10.3390/beverages11050135 - 10 Sep 2025
Viewed by 1287
Abstract
This study explores the chemical and sensory differentiation of Greek white wines produced from five indigenous grape varieties—Savvatiano, Vidiano, Moschofilero, Assyrtiko, and Malagouzia—across diverse terroirs in Greece. A targeted analytical approach was employed to quantify 12 key volatile aroma compounds derived primarily from [...] Read more.
This study explores the chemical and sensory differentiation of Greek white wines produced from five indigenous grape varieties—Savvatiano, Vidiano, Moschofilero, Assyrtiko, and Malagouzia—across diverse terroirs in Greece. A targeted analytical approach was employed to quantify 12 key volatile aroma compounds derived primarily from amino acid metabolism and lipid degradation, using GC-MS and GC-FID. The selected volatiles, including isoamyl alcohol, phenylethyl alcohol, tyrosol, and hexanoic acid ethyl ester, were chosen for their sensory relevance and their biosynthetic linkage to nitrogenous precursors. Principal Component Analysis (PCA) of wines from the 2019 and 2020 vintages revealed clear varietal clustering, under standardized winemaking conditions. Malagouzia wines were characterized by rich and diverse volatile profiles, particularly long-chain fatty acids and esters, while Vidiano exhibited a consistently restrained aromatic expression. Sensory analysis using sorting and ultra-flash profiling confirmed the chemical clustering, with Moschofilero, Vidiano and Malagouzia wines forming distinct sensory groups. The findings demonstrate that key amino acid-derived volatiles can serve as biochemical markers of varietal typicity and support the use of volatile profiling as a tool for terroir-driven wine classification and quality assessment in Greek white wines. Full article
Show Figures

Graphical abstract

27 pages, 2402 KB  
Article
Sea Grape (Caulerpa racemosa) Kombucha: A Comprehensive Study of Metagenomic and Metabolomic Profiling, Its Molecular Mechanism of Action as an Antioxidative Agent, and the Impact of Fermentation Time
by Dian Aruni Kumalawati, Reza Sukma Dewi, Noor Rezky Fitriani, Scheirana Zahira Muchtar, Juan Leonardo, Nurpudji Astuti Taslim, Raffaele Romano, Antonello Santini and Fahrul Nurkolis
Beverages 2025, 11(5), 134; https://doi.org/10.3390/beverages11050134 - 5 Sep 2025
Cited by 2 | Viewed by 2983
Abstract
Sea grape kombucha has been known to exhibit high antioxidant activity due to its elevated total polyphenol content. This study aims to identify and characterize the active microbial community involved in the fermentation of kombucha using sea grapes (C. racemosa) as [...] Read more.
Sea grape kombucha has been known to exhibit high antioxidant activity due to its elevated total polyphenol content. This study aims to identify and characterize the active microbial community involved in the fermentation of kombucha using sea grapes (C. racemosa) as the primary substrate. Furthermore, it evaluates the effects of different Symbiotic Culture of Bacteria and Yeast (SCOBY) starter concentrations on the physicochemical properties and antioxidant activity of sea grape kombucha. Our results showed that the pH of the kombucha was higher after 7 days of fermentation compared to later time points. The microbial community was composed of 97.08% bacteria and 2.92% eukaryotes, divided into 10 phyla and 69 genera. The dominant genus in all samples was Komagataeibacter. Functional profiling based on 16S rRNA data revealed that metabolic functions accounted for 77.04% of predicted microbial activities during fermentation. The most enriched functional categories were carbohydrate metabolism (15.70%), cofactor and vitamin metabolism (15.54%), and amino acid metabolism (14.24%). At KEGG Level 3, amino acid-associated pathways, particularly alanine, aspartate, and glutamate metabolism (4.24%), were predominant. The fermentation process in sea grape kombucha is primarily driven by carbohydrate and amino acid metabolism, supported by energy-generating and cofactor biosynthesis pathways. Our findings indicate that different metabolic pathways lead to variations in kombucha components, and distinct fermentation stages result in different metabolic reactions. For instance, early fermentation stages (Day 7) are dominated by amino acid metabolism, whereas the late stages (Day 21) show increased activity in carbohydrate and sulfur metabolism. Metabolomic analysis revealed that increasing the SCOBY starter concentration significantly influenced pH, soluble solid content, vitamin C, tannin, and flavonoid content. These variations suggest that fermentation duration and microbial composition significantly influence the spectrum of bioactive metabolites, which synergistically provide functional benefits such as antimicrobial, antioxidant, and metabolic health-promoting activities. For example, sample K1 produced more fatty acids and simple sugar alcohols, sample K2 enriched complex lipid compounds and phytosterols, while sample K3 dominated the production of polyols and terpenoid compounds. Full article
Show Figures

Graphical abstract

21 pages, 1341 KB  
Article
Effects of Enzymatic Hydrolysis Combined with Ultrasonic Treatment on the Properties of an Apple Juice Enriched with Apple Bagasse
by Alina Manthei, Pedro Elez-Martínez, Olga Martín-Belloso and Robert Soliva-Fortuny
Beverages 2025, 11(5), 133; https://doi.org/10.3390/beverages11050133 - 4 Sep 2025
Viewed by 2215
Abstract
The incorporation of apple bagasse (AB), a by-product of juice extraction, into apple juice can enhance its nutritional value while reducing food waste. This study investigated the effects of enzymatic hydrolysis (EH) and ultrasonic pre-treatment (US) on AB-enriched apple juice, focusing on its [...] Read more.
The incorporation of apple bagasse (AB), a by-product of juice extraction, into apple juice can enhance its nutritional value while reducing food waste. This study investigated the effects of enzymatic hydrolysis (EH) and ultrasonic pre-treatment (US) on AB-enriched apple juice, focusing on its physicochemical, functional, and health-promoting properties. Apple juice was fortified with AB (1.5%, 3%, 4.5%) and subjected to EH using a cellulase-pectinase mixture for different durations (2, 6, 24 h). Optimal EH conditions (2 h, 3% AB) were combined with US (400 W, 8 min). Key parameters were analyzed, including total phenolic content, antioxidant activity, and glycemic response, alongside sensory evaluation. EH reduced particle size (D50), viscosity, and pH, while increasing GalA content, with effects intensifying over time. US further decreased D50 by 25.4% and viscosity by 39.7% but had no impact on other properties. Juices with 3% and 4.5% AB had over twice the phenolic content and 2.5–3× higher antioxidant activity. They also exhibited a potential hypoglycemic effect, with enhanced in vitro glucose retardationand lower blood glucose levels in 10 individuals. In conclusion, AB-enriched apple juice, treated with US and EH, showed higher nutritional value while maintaining acceptable sensory properties. Full article
Show Figures

Figure 1

16 pages, 449 KB  
Article
Total Water Intake and Beverage Variety in Older Adults: A Cross-Sectional Study on Social Capital and Quality of Life in Greece
by Aleks Pepa, Olga Malisova, Ioanna Apostolaki, Emmanuella Magriplis, Chrysavgi Galanaki, Alexandros Chamos, Maria G. Grammatikopoulou and Maria Kapsokefalou
Beverages 2025, 11(5), 132; https://doi.org/10.3390/beverages11050132 - 4 Sep 2025
Cited by 2 | Viewed by 2950
Abstract
Older adults face unique challenges related to hydration, particularly within the context of psychosocial determinants. This study aimed to examine the associations between total water intake (TWI), beverage variety, social capital, and health-related quality of life. We hypothesized that their ability to access, [...] Read more.
Older adults face unique challenges related to hydration, particularly within the context of psychosocial determinants. This study aimed to examine the associations between total water intake (TWI), beverage variety, social capital, and health-related quality of life. We hypothesized that their ability to access, purchase, prepare, and drink a variety of beverages towards optimal TWI is affected by their physical/mental health and social support. To test the hypothesis, a cross-sectional design was implemented. We evaluated TWI, social capital, and Health-Related Quality Of Life, using the Water Balance Questionnaire, Social Capital Questionnaire, and SF-36, respectively, in 890 free-living participants (49.6% male), aged >65 years, recruited in Metropolitan Athens and Crete, Greece. TWI, 80% from beverages, was 2.6 ± 0.7 L in men and 2.4 ± 0.8 L in women and was associated with beverage variety (4.1 ± 1.0 in men, 3.9 ± 1.1 in women). Social capital, mental health, and variety of beverages were significant predictors of TWI; for each increased unit of the aforementioned predictors, TWI increased to 9.1, 6.8, and 183.5 mL, respectively. Spatial and gender differences were observed in social capital score and its components and in Health-Related Quality Of Life and its components, thus reflecting differences in social support and in functional health, plausibly linked to barriers/enablers to TWI. These findings highlight the potential importance of addressing psychosocial factors to support hydration in older adults. Full article
Show Figures

Figure 1

16 pages, 1332 KB  
Review
Neuroprotective Effects of Wine Polyphenols in Alzheimer’s and Parkinson’s Diseases: A Review of Risks and Benefits
by Aleksandra Zięba, Aleksandra Wiśniowska, Patrycja Bronowicka-Adamska, Beata Kuśnierz-Cabala, Paweł Zagrodzki and Malgorzata Tyszka-Czochara
Beverages 2025, 11(5), 131; https://doi.org/10.3390/beverages11050131 - 2 Sep 2025
Cited by 1 | Viewed by 5047
Abstract
Neurodegenerative diseases are characterized by the irreversible and progressive loss of nerve cell function, leading to gradual cognitive decline. These diseases often result in a deterioration in quality of life and a shortened lifespan. The most common neurodegenerative diseases in humans are Alzheimer’s, [...] Read more.
Neurodegenerative diseases are characterized by the irreversible and progressive loss of nerve cell function, leading to gradual cognitive decline. These diseases often result in a deterioration in quality of life and a shortened lifespan. The most common neurodegenerative diseases in humans are Alzheimer’s, Parkinson’s, and amyotrophic lateral sclerosis. The recent growing interest is due to the increasing incidence of these diseases and the lack of effective therapeutic methods that could prevent them. However, bioactive compounds contained in foods and beverages have been found to play a significant role in this respect. In particular, a growing body of reports suggests the inverse relationship between wine consumption and the development of such diseases. The main components of wine include ethyl alcohol and polyphenolic compounds (obviously, on a different scale). Wine polyphenols exhibit antioxidant and anti-inflammatory effects. Some of them may cross the blood–brain barrier and then affect the functioning of neurons and other cells. Such activity is considered to be an important factor in the prevention of neurodegenerative diseases related to inflammation, oxidative stress, and mitochondrial dysfunctions. The review presents the current knowledge on the impact of wine consumption and its components on the development of neurodegenerative diseases. Full article
(This article belongs to the Section Wine, Spirits and Oenological Products)
Show Figures

Figure 1

20 pages, 4558 KB  
Article
Characterization of Volatile Compounds in Traditional Mexican Cocoa-Based Beverages and Their Application in Flavored Milks
by Lucía Abadía-García, Edgar Ayala-Padilla, Pedro A. Vázquez-Landaverde, María del Carmen Cortez-Trejo and Silvia L. Amaya-Llano
Beverages 2025, 11(5), 130; https://doi.org/10.3390/beverages11050130 - 2 Sep 2025
Viewed by 2791
Abstract
Traditional Mexican non-alcoholic, cocoa-based beverages are a relevant part of the gastronomy of the country. This study aimed to identify the volatile compound profile of three traditional beverages from Mexican gastronomy, including Pozol, Chilate, and Cacahuatole, and evaluate the acceptability of milks incorporating [...] Read more.
Traditional Mexican non-alcoholic, cocoa-based beverages are a relevant part of the gastronomy of the country. This study aimed to identify the volatile compound profile of three traditional beverages from Mexican gastronomy, including Pozol, Chilate, and Cacahuatole, and evaluate the acceptability of milks incorporating their traditional flavors. Chemical composition was determined, and volatile compounds were analyzed using gas chromatography–mass spectrometry (GC-MS). The results showed the Mexican beverages are rich in carbohydrates (70.3–78.2% d.b.), proteins (9.3–16% d.b.), and fat (8.8–11.7% d.b.) due to corn, rice, broad beans, and cocoa ingredients. GC revealed volatile profiles, with Pozol containing 148, Chilate 104, and Cacahuatole 109 compounds, mainly terpenes, pyrazines, aldehydes, and phenolics. Nixtamalization, cocoa roasting, and ingredient variations influenced the volatile composition and sensory attributes. Multivariate analysis distinguished the beverages based on their volatile composition, revealing ingredient-dependent variations. Artificial flavors replicating these profiles were developed and incorporated into milks, which were evaluated by a trained sensory panel using the Check-All-That-Apply (CATA) method. Sensory analysis confirmed that key aromatic compounds contributed to flavor perception. This work identified for the first time the volatile compounds of traditional Mexican cocoa-based beverages, namely, Pozol, Chilate, and Cacahuatole, and provides insight into the role of traditional preparation methods in the development of flavor profiles. On the other hand, this study highlights the potential for incorporating traditional Mexican beverage flavors into commercial milk for novel product development. Full article
(This article belongs to the Special Issue New Insights into Artisanal and Traditional Beverages)
Show Figures

Graphical abstract

3 pages, 212 KB  
Correction
Correction: Abdi et al. Formulation Design and Functional Characterization of a Novel Fermented Beverage with Antioxidant, Anti-Inflammatory and Antibacterial Properties. Beverages 2025, 11, 27
by Ameni Abdi, Emna Gatri, Pasquale Filannino, Sana M’Hir and Lamia Ayed
Beverages 2025, 11(5), 129; https://doi.org/10.3390/beverages11050129 - 2 Sep 2025
Viewed by 963
Abstract
In the original publication [...] Full article
18 pages, 378 KB  
Article
Assessment of Sour Taste Quality and Its Relationship with Chemical Parameters in White Wine: A Case of Koshu Wine
by Fumie Watanabe-Saito, Anna Suzudo, Masashi Hisamoto and Tohru Okuda
Beverages 2025, 11(5), 128; https://doi.org/10.3390/beverages11050128 - 1 Sep 2025
Cited by 1 | Viewed by 2251
Abstract
This study aimed to clarify the sensory characteristics of Koshu wine, which is the most popular white wine produced in Japan, by identifying descriptive terms for sour taste, a primary aspect of wine flavor. A sensory evaluation generated 56 terms related to sour [...] Read more.
This study aimed to clarify the sensory characteristics of Koshu wine, which is the most popular white wine produced in Japan, by identifying descriptive terms for sour taste, a primary aspect of wine flavor. A sensory evaluation generated 56 terms related to sour taste quality. Some terms were categorized on the basis of the timing of perception— immediately after sipping, holding in the mouth, and after swallowing—while others were classified as expressing “temporal change”, “overall impression terms”, or “metaphorical terms”. From these, 12 terms—“fresh”, “stand out”, “sharp”, “soft”, “round”, “gentle”, “bright”, “duration”, “crisp”, “intensity”, “mild”, and “calm”—were selected, with definitions and reference standards (materials or examples that represent each characteristic) established. A trained sensory panel evaluated 16 Koshu wines, revealing significant differences in all sour taste quality terms except “duration”. The evaluation of “duration” may require improvement. Correlation analysis indicated that pH was strongly associated with “sharp” sour taste immediately after sipping, while titratable acidity and pH correlated with “round” and “gentle” sour taste when the wine was held in the mouth. Total acidity was linked to the duration of sour taste. Applying the sour taste quality terms determined from this study will enable the quantification of the sour taste quality of wines. Full article
(This article belongs to the Section Wine, Spirits and Oenological Products)
Show Figures

Figure 1

20 pages, 766 KB  
Article
Elderly People’s Evaluation and Understanding of Vegetable Beverages Based on Brazil Nuts (Betholletia excelsa)
by Victor Jonas da Rocha Esperança, Isabelle Paes Leme de Castro, Cinthia de Carvalho Couto, Aline Vieira de Matos Macedo, Daniela de Grandi Castro Freitas de Sá, Janine Passos Lima and Otniel Freitas-Silva
Beverages 2025, 11(5), 127; https://doi.org/10.3390/beverages11050127 - 1 Sep 2025
Cited by 1 | Viewed by 1803
Abstract
Plant-based beverages are a viable alternative for elderly consumers because of their practicality and sustainable appeal. The use of Brazil nuts for these beverages is relevant because of the added value given to the country’s agrobiodiversity and the nuts’ nutritional quality, including their [...] Read more.
Plant-based beverages are a viable alternative for elderly consumers because of their practicality and sustainable appeal. The use of Brazil nuts for these beverages is relevant because of the added value given to the country’s agrobiodiversity and the nuts’ nutritional quality, including their high selenium content. This study aimed for the understanding and acceptance by elderly people of a vegetable beverage made from Brazil nuts and fruit. The investigation was divided into two parts: (1) development and sensory analysis of Brazil nut beverages, and (2) consumers’ perception, choice, and influencing factors for these beverages. In the first stage, four beverages were formulated with different fruit pulps. A total of 100 elderly individuals (>60 years; 69% female) evaluated the sensory acceptance and purchase intention of the beverages. In the second stage, an online questionnaire was applied to 220 elderly individuals (>60 years-old; 52.7% female), which consisted of a choice test of nut beverage packages, a food neophobia scale, and questions about vegetable beverage consumption. The study showed that the selenium claim was one of the most relevant factors in the choice, demonstrating that using Brazil nuts can boost beverage purchases. Further tests are still needed to improve the attributes, such as sweet taste and appearance. Despite this, the blend of Brazil nuts with fruits positively influenced the choice and acceptance of these products by elderly individuals. Full article
Show Figures

Figure 1

18 pages, 492 KB  
Review
Consumer Psychology in Functional Beverages: From Nutritional Awareness to Habit Formation
by Tariq A. Alalwan
Beverages 2025, 11(5), 126; https://doi.org/10.3390/beverages11050126 - 1 Sep 2025
Cited by 1 | Viewed by 9518
Abstract
The functional beverage sector has experienced a remarkable transformation driven by evolving consumer decision-making patterns emphasizing therapeutic benefits alongside taste preferences. This comprehensive narrative review investigates how consumer psychology, neurobiological processes, and scientific product development converge through a hierarchical framework illustrating their dynamic [...] Read more.
The functional beverage sector has experienced a remarkable transformation driven by evolving consumer decision-making patterns emphasizing therapeutic benefits alongside taste preferences. This comprehensive narrative review investigates how consumer psychology, neurobiological processes, and scientific product development converge through a hierarchical framework illustrating their dynamic interactions. Today’s consumers exhibit unprecedented sophistication when assessing bioactive ingredients, conducting independent research using scientific databases rather than relying on conventional marketing. Our analysis explores mechanisms underlying habit development, behavioral adaptation, and social proof factors driving functional beverage integration into daily routines. We trace evolution from broad-spectrum wellness drinks toward personalized nutrition solutions, recognizing individual metabolic requirements, with consumers viewing these products as preventive health investments requiring evidence-based validation. Key findings underscore the importance of clinically validated formulations at therapeutic dosages, nutritional transparency, and understanding consumer psychology for fostering lasting consumption behaviors driven by cost–benefit analysis. Results indicate future innovations must merge sophisticated bioactive delivery technologies with insights into consumer information-seeking patterns, social validation processes, and evidence-driven decision-making mechanisms. Full article
Show Figures

Figure 1

55 pages, 2972 KB  
Review
The Impact of Brewing Methods on the Quality of a Cup of Coffee
by Alessandro Genovese, Nicola Caporaso and Antonietta Baiano
Beverages 2025, 11(5), 125; https://doi.org/10.3390/beverages11050125 - 25 Aug 2025
Cited by 3 | Viewed by 16459
Abstract
A comprehensive overview is provided on factors and processes influencing the final quality of a cup of coffee, with an emphasis on the brewing method’s central role. Coffee quality assessment, both at the bean and cup level, combines objective parameters (color, moisture, bean [...] Read more.
A comprehensive overview is provided on factors and processes influencing the final quality of a cup of coffee, with an emphasis on the brewing method’s central role. Coffee quality assessment, both at the bean and cup level, combines objective parameters (color, moisture, bean defects, density) with a notable degree of subjectivity, as consumer sensory perception is ultimately decisive. The brewing technique is described as a critical determinant of the final chemical, physical, and sensory attributes. Key parameters such as aroma profile, pH, titratable acidity, total and filtered solids, lipid and fatty acid content, viscosity, foam (crema), and colorimetric indices are detailed as essential metrics in coffee quality evaluation. Roasting creates most of coffee’s key aroma compounds. The brewing method further shapes the extraction of both volatile and other bioactive compounds like caffeine, chlorogenic acids, and lipids. Brewing methods significantly affect acidity, “body,” and crema stability, while water quality, temperature, and pressure are shown to impact extraction results and sensory properties. Attention is paid to how methods such as Espresso, filter, French press, and cold brew yield distinct physicochemical and sensory profiles in the cup. Overall, the review highlights the multifaceted nature of coffee cup quality and the interplay between raw material, processing, and preparation, ultimately shaping the coffee sensory experience and market value. Full article
Show Figures

Graphical abstract

14 pages, 772 KB  
Article
Development and Validation of a Fast UHPLC–HRMS Method for the Analysis of Amino Acids and Biogenic Amines in Fermented Beverages
by Simone Delaiti, Roberto Larcher, Stefano Pedò and Tiziana Nardin
Beverages 2025, 11(5), 124; https://doi.org/10.3390/beverages11050124 - 22 Aug 2025
Cited by 1 | Viewed by 2470
Abstract
Considering the importance of free amino acids (FAAs) and biogenic amines (BAs) in the production of fermented beverages (FB), the interest in the quantification of these compounds has been growing. So far, most of the analytical methods developed entail a derivatization step. While [...] Read more.
Considering the importance of free amino acids (FAAs) and biogenic amines (BAs) in the production of fermented beverages (FB), the interest in the quantification of these compounds has been growing. So far, most of the analytical methods developed entail a derivatization step. While this technique allows for the detection of several compounds, it is often associated with scarce accuracy and poor resolution. To counteract the drawbacks, in this study, we aimed to develop a fast, simple, and effective method that combines the use of ultra-high-performance liquid chromatography (UHPLC) and high-resolution mass spectrometry (HRMS) to quantify underivatized FAAs and BAs in FBs. The method was successfully developed and validated: it allowed for the accurate and precise quantification of 20 FAAs—including leucine and isoleucine—and 12 BAs in just 12 min. Its applicability was demonstrated on commercial samples of wines, beers, ciders, saké, and vinegars. Full article
(This article belongs to the Section Beverage Technology Fermentation and Microbiology)
Show Figures

Figure 1

Previous Issue
Next Issue
Back to TopTop