Investigation of the Combined Impact of Location and Processing on the Quality Characteristics of Commercial Malagousia Wines from Northern Greece
Abstract
1. Introduction
2. Materials and Methods
2.1. Chemicals and Reagents
2.2. Sample Collection
2.3. Determination of Elemental Composition of Wine
2.4. Determination of Color and pH
2.5. Determination of Total Phenolic Content and Antioxidant Activity
2.6. Sensory Tests
2.7. Statistical Analysis
3. Results and Discussion
3.1. Color, Phenolic Content, and Antioxidant Capacity of Wines
3.2. Elemental Composition of Wines
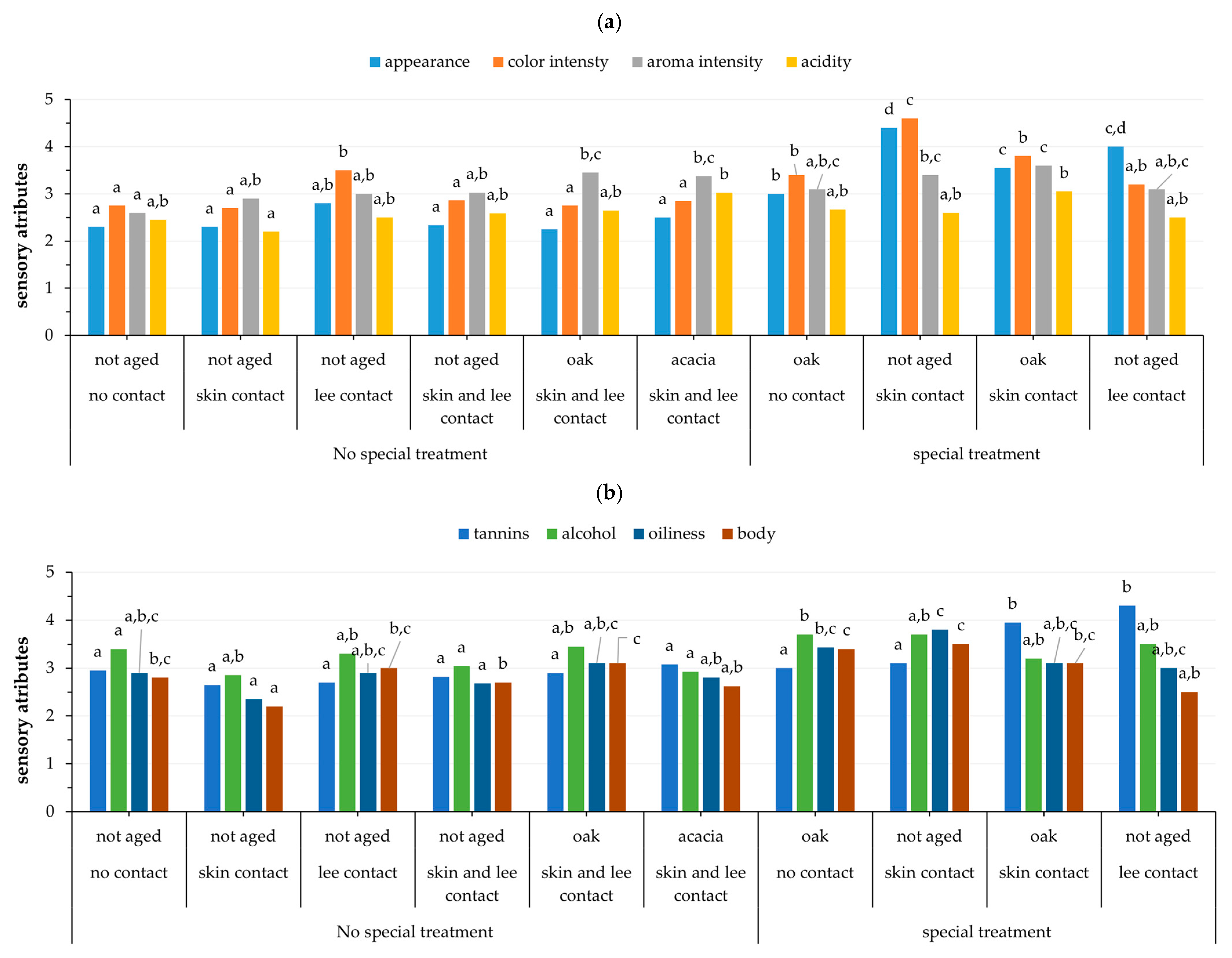
3.3. Sensory Evaluation of Wines by Panellists
3.4. PCA Analysis
4. Conclusions
Author Contributions
Funding
Institutional Review Board Statement
Informed Consent Statement
Data Availability Statement
Acknowledgments
Conflicts of Interest
Appendix A

References
- Strati, I.F.; Tataridis, P.; Shehadeh, A.; Chatzilazarou, A.; Bartzis, V.; Batrinou, A.; Sinanoglou, V.J. Impact of tannin addition on the antioxidant activity and sensory character of Malagousia white wine. Curr. Res. Food Sci. 2021, 4, 937–945. [Google Scholar] [CrossRef] [PubMed]
- Karadimou, C.; Kalogiouri, N.P.; Chatzidimitriou, E.; Ouroumi, N.-A.; Gkrimpizis, T.; Theocharis, S.; Menkissoglu-Spiroudi, U.; Koundouras, S. Non-targeted analysis using gas chromatography mass spectrometry to assess the free and bound aroma fingerprints of the emblematic Greek white winegrape varieties and guarantee varietal authenticity using multivariate chemometrics. Food Chem. 2025, 472, 142968. [Google Scholar] [CrossRef] [PubMed]
- Nanou, E.; Mavridou, E.; Milienos, F.S.; Papadopoulos, G.; Tempère, S.; Kotseridis, Y. Odor Characterization of White Wines Produced from Indigenous Greek Grape Varieties Using the Frequency of Attribute Citation Method with Trained Assessors. Foods 2020, 9, 1396. [Google Scholar] [CrossRef]
- Karampatea, A.; Vrhovsek, U.; Tsakiris, A.; Dimopoulou, M.; Kourkoutas, Y.; Skavdis, G. Organoleptic and Quality Characteristics of Malagousia Variety Grapes Fermented with Selected Indigenous Yeast Strains. S. Afr. J. Enol. Vitic. 2022, 43, 133–145. [Google Scholar] [CrossRef]
- Roldán, A.M.; Sánchez-García, F.; Pérez-Rodríguez, L.; Palacios, V.M. Influence of Different Vinification Techniques on Volatile Compounds and the Aromatic Profile of Palomino Fino Wines. Foods 2021, 10, 453. [Google Scholar] [CrossRef] [PubMed]
- Radeka, S.; Bestulić, E.; Rossi, S.; Orbanić, F.; Bubola, M.; Plavša, T.; Lukić, I.; Jeromel, A. Effect of Different Vinification Techniques on the Concentration of Volatile Aroma Compounds and Sensory Profile of Malvazija Istarska Wines. Fermentation 2023, 9, 676. [Google Scholar] [CrossRef]
- dos Santos, J.R.M.; Kempka, A.P. White wine vinification and an expanded insight into pellicular macerations: Bibliometric and bibliographic review. J. Sci. Food Agric. 2025, 105, 19–41. [Google Scholar] [CrossRef]
- Bestulić, E.; Rossi, S.; Plavša, T.; Horvat, I.; Lukić, I.; Bubola, M.; Ilak Peršurić, A.S.; Jeromel, A.; Radeka, S. Comparison of different maceration and non-maceration treatments for enhancement of phenolic composition, colour intensity, and taste attributes of Malvazija istarska (Vitis vinifera L.) white wines. J. Food Compos. Anal. 2022, 109, 104472. [Google Scholar] [CrossRef]
- Pérez-Juan, P.M.; Luque de Castro, M.D. Chapter 57—Use of Oak Wood to Enrich Wine with Volatile Compounds. In Processing and Impact on Active Components in Food; Preedy, V., Ed.; Academic Press: San Diego, CA, USA, 2015; pp. 471–481. [Google Scholar]
- Liberatore, M.T.; Pati, S.; Nobile, M.A.D.; Notte, E.L. Aroma quality improvement of Chardonnay white wine by fermentation and ageing in barrique on lees. Food Res. Int. 2010, 43, 996–1002. [Google Scholar] [CrossRef]
- Martínez-Gil, A.M.; del Alamo-Sanza, M.; del Barrio-Galán, R.; Nevares, I. Alternative Woods in Oenology: Volatile Compounds Characterisation of Woods with Respect to Traditional Oak and Effect on Aroma in Wine, a Review. Appl. Sci. 2022, 12, 2101. [Google Scholar] [CrossRef]
- Lopez-Velez, M.; Martinez-Martinez, F.; Del Valle-Ribes, C. The study of phenolic compounds as natural antioxidants in wine. Crit. Rev. Food Sci. Nutr. 2003, 43, 233–244. [Google Scholar] [CrossRef]
- Lachman, J.; Šulc, M.; Faitová, K.; Pivec, V. Major factors influencing antioxidant contents and antioxidant activity in grapes and wines. Int. J. Wine Res. 2009, 1, 101–121. [Google Scholar] [CrossRef]
- Jackson, R.S. Chapter 12—Wine, food, and health. In Wine Science, 5th ed.; Jackson, R.S., Ed.; Academic Press: Cambridge, MA, USA, 2020; pp. 947–978. [Google Scholar]
- Tourtoglou, C.; Nenadis, N.; Paraskevopoulou, A. Phenolic composition and radical scavenging activity of commercial Greek white wines from Vitis vinifera L. cv. Malagousia. J. Food Compos. Anal. 2014, 33, 166–174. [Google Scholar] [CrossRef]
- Soares, F.; Anzanello, M.J.; Fogliatto, F.S.; Marcelo, M.C.; Ferrão, M.F.; Manfroi, V.; Pozebon, D.J.C. Element selection and concentration analysis for classifying South America wine samples according to the country of origin. Comput. Electron. Agric. 2018, 150, 33–40. [Google Scholar] [CrossRef]
- Pyrzyńska, K. Analytical Methods for the Determination of Trace Metals in Wine. Crit. Rev. Anal. Chem. 2004, 34, 69–83. [Google Scholar] [CrossRef]
- Versari, A.; Laurie, V.F.; Ricci, A.; Laghi, L.; Parpinello, G.P. Progress in authentication, typification and traceability of grapes and wines by chemometric approaches. Food Res. Int. 2014, 60, 2–18. [Google Scholar] [CrossRef]
- Rocha, S.; Pinto, E.; Almeida, A.; Fernandes, E. Multi-elemental analysis as a tool for characterization and differentiation of Portuguese wines according to their Protected Geographical Indication. Food Control 2019, 103, 27–35. [Google Scholar] [CrossRef]
- Styger, G.; Prior, B.; Bauer, F.F. Wine flavor and aroma. J. Ind. Microbiol. Biotechnol. 2011, 38, 1145. [Google Scholar] [CrossRef]
- Metafa, M.; Economou, A. Chemometrical development and comprehensive validation of a solid phase microextraction/gas chromatography–mass spectrometry methodology for the determination of important free and bound primary aromatics in Greek wines. J. Chromatogr. A 2013, 1305, 244–258. [Google Scholar] [CrossRef]
- Soufleros, E.H.; Bouloumpasi, E.; Zotou, A.; Loukou, Z. Determination of biogenic amines in Greek wines by HPLC and ultraviolet detection after dansylation and examination of factors affecting their presence and concentration. Food Chem. 2007, 101, 704–716. [Google Scholar] [CrossRef]
- Drava, G.; Minganti, V. Mineral composition of organic and conventional white wines from Italy. Heliyon 2019, 5, e02464. [Google Scholar] [CrossRef]
- Skendi, A.; Papageorgiou, M.; Stefanou, S. Preliminary Study of Microelements, Phenolics as well as Antioxidant Activity in Local, Homemade Wines from North-East Greece. Foods 2020, 9, 1607. [Google Scholar] [CrossRef]
- IUPAC. International Union of Pure and Applied Chemistry. Nomenclature in Evaluation of Analytical Methods Including Detection and Quantification Capabilities. Pure Appl. Chem. 1995, 67, 1699–1723. [Google Scholar] [CrossRef]
- Ribéreau-Gayon, P.; Glories, Y.; Maujean, A.; Dubourdieu, D. Handbook of Enology; John Wileys Sons, Ltd.: New York, NY, USA, 2006; Volume 2. [Google Scholar]
- OIV. Compendium of International Methods of Wine and Must Analysis; International Organisation of Vine and Wine: Paris, France, 2021; Volume 1 & 2. [Google Scholar]
- ISO 3591:1977; Sensory Analysis-Apparatus: Wine Tasting Glass. International Organization for Standarization: Geneva, Switzerland, 1977.
- ISO 4121:2003; Sensory analysis—Guidelines for the Use of Quantitative Response Scales. International Organization for Standarization: Geneva, Switzerland, 2003.
- Ribéreau-Gayon, P.; Glories, Y.; Maujean, A.; Dubourdieu, D. Phenolic Compounds. In Handbook of Enology; John Wiley & Sons Ltd: Chichester, UK, 2006; pp. 141–203. [Google Scholar]
- Singleton, V.L. Oxygen with Phenols and Related Reactions in Musts, Wines, and Model Systems: Observations and Practical Implications. Am. J. Enol. Vitic. 1987, 38, 69. [Google Scholar] [CrossRef]
- Sioumis, N.; Kallithraka, S.; Makris, D.P.; Kefalas, P. Kinetics of browning onset in white wines: Influence of principal redox-active polyphenols and impact on the reducing capacity. Food Chem. 2006, 94, 98–104. [Google Scholar] [CrossRef]
- Giménez, P.; Anguela, S.; Just-Borras, A.; Pons-Mercadé, P.; Vignault, A.; Canals, J.M.; Teissedre, P.-L.; Zamora, F. Development of a synthetic model to study browning caused by laccase activity from Botrytis cinerea. LWT 2022, 154, 112871. [Google Scholar] [CrossRef]
- Li, H.; Guo, A.; Wang, H. Mechanisms of oxidative browning of wine. Food Chem. 2008, 108, 1–13. [Google Scholar] [CrossRef]
- Fornairon-Bonnefond, C.; Camarasa, C.; Moutounet, M.; Salmon, J.-M. New trends on yeast autolysis and wine ageing on lees: A bibliographic review. OENO One 2002, 36, 49–69. [Google Scholar] [CrossRef]
- Lukić, I.; Jedrejčić, N.; Ganić, K.K.; Staver, M.; Peršurić, Đ. Phenolic and Aroma Composition of White Wines Produced by Prolonged Maceration and Maturation in Wooden Barrels. Food Technol. Biotechnol. 2015, 53, 407–418. [Google Scholar] [CrossRef]
- Darias-Martín, J.J.; Rodríguez, O.; Díaz, E.; Lamuela-Raventós, R.M. Effect of skin contact on the antioxidant phenolics in white wine. Food Chem. 2000, 71, 483–487. [Google Scholar] [CrossRef]
- Moon, K.M.; Kwon, E.B.; Lee, B.; Kim, C.Y. Recent Trends in Controlling the Enzymatic Browning of Fruit and Vegetable Products. Molecules 2020, 25, 2754. [Google Scholar] [CrossRef] [PubMed]
- Mazauric, J.P.; Salmon, J.M. Interactions between yeast lees and wine polyphenols during simulation of wine aging: I. Analysis of remnant polyphenolic compounds in the resulting wines. J. Agric. Food Chem. 2005, 53, 5647–5653. [Google Scholar] [CrossRef] [PubMed]
- Jackson, R.S. Wine Science, 5th ed.; Academic Press: Cambridge, MA, USA, 2020; pp. 1–20. [Google Scholar]
- Ribéreau-Gayon, P.; Glories, Y.; Maujean, A.; Dubourdieu, D. Handbook of Enology, Volume 2: The Chemistry of Wine Stabilization and Treatments; John Wiley & Sons: Hoboken, NJ, USA, 2021. [Google Scholar]
- Nikolantonaki, M.; Daoud, S.; Noret, L.; Coelho, C.; Badet-Murat, M.L.; Schmitt-Kopplin, P.; Gougeon, R.D. Impact of Oak Wood Barrel Tannin Potential and Toasting on White Wine Antioxidant Stability. J. Agric. Food Chem. 2019, 67, 8402–8410. [Google Scholar] [CrossRef]
- Hernandez, J.; Teissedre, P.-L.; Chira, K. Evolution of oak barrels C-glucosidic ellagitannins in model wine solution. In Proceedings of the IVES Conference Series, Macrowine 2025, Bolzano, Italy, 24–27 June 2025; Available online: https://ives–openscience.eu/52899/ (accessed on 8 August 2025).
- Pohl, P. What do metals tell us about wine? TrAC Trends Anal. Chem. 2007, 26, 941–949. [Google Scholar] [CrossRef]
- Catarino, S.; Madeira, M.; Monteiro, F.; Caldeira, I.; Bruno de Sousa, R.; Curvelo-Garcia, A. Mineral Composition through Soil-Wine System of Portuguese Vineyards and Its Potential for Wine Traceability. Beverages 2018, 4, 85. [Google Scholar] [CrossRef]
- Waterhouse, A.L.; Sacks, G.L.; Jeffery, D.W. Understanding Wine Chemistry; John Wiley & Sons: Hoboken, NJ, USA, 2024. [Google Scholar]
- Skendi, A.; Stefanou, S.; Papageorgiou, M. Characterization of Semisweet and Sweet Wines from Kos Island Produced Traditionally and Conventionally. Foods 2023, 12, 3762. [Google Scholar] [CrossRef]
- Pérez-Álvarez, E.P.; Garcia, R.; Barrulas, P.; Dias, C.; Cabrita, M.J.; Garde-Cerdán, T. Classification of wines according to several factors by ICP-MS multi-element analysis. Food Chem. 2019, 270, 273–280. [Google Scholar] [CrossRef]
- Voltea, S.; Karabagias, I.K.; Roussis, I.G. Use of Fe (II) and H2O2 along with Heating for the Estimation of the Browning Susceptibility of White Wine. Appl. Sci. 2022, 12, 4422. [Google Scholar] [CrossRef]
- Charnock, H.M.; Cairns, G.; Pickering, G.J.; Kemp, B.S. Production Method and Wine Style Influence Metal Profiles in Sparkling Wines. Am. J. Enol. Vitic. 2022, 73, 170. [Google Scholar] [CrossRef]
- Gajek, M.; Pawlaczyk, A.; Szynkowska-Jozwik, M.I. Multi-Elemental Analysis of Wine Samples in Relation to Their Type, Origin, and Grape Variety. Molecules 2021, 26, 214. [Google Scholar] [CrossRef]
- Morozova, K.; Schmidt, O.; Schwack, W. Impact of headspace oxygen and copper and iron addition on oxygen consumption rate, sulphur dioxide loss, colour and sensory properties of Riesling wine. Eur. Food Res. Technol. 2014, 238, 653–663. [Google Scholar] [CrossRef]
- Wang, G.; Kumar, Y. Mechanisms of the initial stage of non-enzymatic oxidation of wine: A mini review. J. Food Sci. 2024, 89, 2530–2545. [Google Scholar] [CrossRef]
- Office International du Vigne et du Vin (OIV). International Code of Oenological Practices. 2022. Available online: www.oiv.int/public/medias/8630/code-2022-en.pdf (accessed on 1 August 2025).
- Bekker, M.Z.; Day, M.P.; Smith, P.A. Changes in Metal Ion Concentrations in a Chardonnay Wine Related to Oxygen Exposure during Vinification. Molecules 2019, 24, 1523. [Google Scholar] [CrossRef] [PubMed]
- Castiñeira, M.d.M.; Brandt, R.; Jakubowski, N.; Andersson, J.T. Changes of the Metal Composition in German White Wines through the Winemaking Process. A Study of 63 Elements by Inductively Coupled Plasma−Mass Spectrometry. J. Agric. Food Chem. 2004, 52, 2953–2961. [Google Scholar] [CrossRef] [PubMed]
- EDOAO. EDOAO (Wines of Greece). Available online: https://winesofgreece.org/varieties/malagousia/ (accessed on 31 May 2025).
- Jordão, A.M.; Cosme, F. The Application of Wood Species in Enology: Chemical Wood Composition and Effect on Wine Quality. Appl. Sci. 2022, 12, 3179. [Google Scholar] [CrossRef]









| Sample | Vintage | Sub-Region | Location | Producer | Winemaking Technique | Winemaking Process *** | Alcohol Content (% vol) **** | pH | Classification Based on Sugar Content | ||
|---|---|---|---|---|---|---|---|---|---|---|---|
| Special Winemaking | Contact with Skin and Lees * | Aged in Barrels ** | |||||||||
| S1 | 2020 | West Macedonia | 1 | 1 | 0 | 3 | 0 | 6 | 13.0 | 3.38 ± 0.01 | dry |
| S2 | 2020 | Central Macedonia | 2 | 2 | 0 | 1 | 0 | 3 | 12.5 | 2.82 ± 0.02 | dry |
| S3 | 2020 | Central Macedonia | 3 | 3 | 0 | 1 | 0 | 3 | 13.0 | 3.25 ± 0.01 | dry |
| S4 | 2020 | Central Macedonia | 4 | 4 | 0 | 3 | 1 | 7 | 13.5 | 3.11 ± 0.01 | dry |
| S5 | 2019 | Central Macedonia | 4 | 4 | 0 | 3 | 1 | 7 | 13.5 | 3.11 ± 0.01 | dry |
| S6 | 2020 | Central Macedonia | 5 | 5 | 0 | 3 | 0 | 6 | 13.5 | 3.14 ± 0.01 | dry |
| S7 | 2019 | Central Macedonia | 5 | 5 | 0 | 3 | 0 | 6 | 13.5 | 3.37 ± 0.01 | dry |
| S8 | 2020 | East Macedonia | 6 | 6 | 0 | 3 | 0 | 6 | 13.5 | 2.87 ± 0.01 | dry |
| S9 | 2019 | East Macedonia | 6 | 6 | 0 | 3 | 0 | 6 | 13.0 | 2.87 ± 0.01 | dry |
| S10 | 2020 | East Macedonia | 6 | 7 | 0 | 3 | 2 | 8 | 12.0 | 2.84 ± 0.01 | dry |
| S11 | 2019 | East Macedonia | 6 | 7 | 0 | 3 | 2 | 8 | 12.5 | 2.84 ± 0.01 | dry |
| S12 | 2020 | East Macedonia | 7 | 8 | 0 | 0 | 0 | 1 | 13.5 | 3.47 ± 0.01 | dry |
| S13 | 2019 | East Macedonia | 7 | 8 | 0 | 0 | 0 | 1 | 13.0 | 3.68 ± 0.01 | dry |
| S14 | 2019 | Central Macedonia | 4 | 9 | 0 | 2 | 0 | 5 | 11.8 | 3.19 ± 0.01 | dry |
| S15 | 2019 | East Macedonia | 7 | 10 | 0 | 3 | 0 | 5 | 13.0 | 3.37 ± 0.01 | dry |
| S16 | 2020 | Central Macedonia | 3 | 11 | 0 | 3 | 0 | 6 | 13.8 | 3.17 ± 0.01 | dry |
| S17 | 2019 | Central Macedonia | 3 | 11 | 0 | 3 | 0 | 6 | 13.9 | 3.38 ± 0.01 | dry |
| S18 | 2018 | Central Macedonia | 3 | 11 | 0 | 3 | 0 | 6 | 13.5 | 3.27 ± 0.01 | dry |
| S19 | 2017 | Central Macedonia | 5 | 11 | 0 | 3 | 0 | 6 | 13.0 | 3.38 ± 0.01 | dry |
| S20 | 2018 | Central Macedonia | 4 | 12 | 0 | 3 | 2 | 8 | 12.5 | 3.19 ± 0.01 | dry |
| S21 | 2019 | Central Macedonia | 3 | 11 | 0 | 3 | 2 | 8 | 12.5 | 3.19 ± 0.01 | dry |
| S22 | 2018 | Thessaly | 8 | 13 | 1 | 0 | 1 | 2 | 12.6 | 3.34 ± 0.01 | dry |
| S23 | 2016 | Thessaly | 8 | 13 | 1 | 0 | 1 | 2 | 12.5 | 3.44 ± 0.01 | dry |
| S24 | 2018 | Central Macedonia | 9 | 14 | 1 | 1 | 1 | 4 | 13.5 | 3.19 ± 0.01 | dry |
| S25 | 2018 | Central Macedonia | 9 | 14 | 1 | 1 | 1 | 4 | 12.0 | 3.83 ± 0.01 | dry |
| S26 | 2020 | Central Macedonia | 9 | 15 | 1 | 2 | 0 | 10 | 12.5 | 3.62 ± 0.01 | dry |
| S27 | 2011 | Central Macedonia | 2 | 2 | 1 | 3 | 0 | 9 | 14.5 | 3.88 ± 0.01 | dry |
| S28 | 2016 | Central Macedonia | 3 | 4 | 1 | 0 | 1 | 2 | 13.5 | 3.20 ± 0.01 | sweet |
| K | Ca | Mg | Na | |||
|---|---|---|---|---|---|---|
| Special Winemaking | Contact with Skin and Lees | Aged in Barrels | Mean ± SD | Mean ± SD | Mean ± SD | Mean ± SD |
| No special treatment | no contact | not aged | 972.3 b ± 199.8 | 20.3 a ± 1.4 | 82.07 a ± 6.02 | 32.3 b,c ± 0.5 |
| skin contact | not aged | 658.5 a,b ± 137.0 | 34.6 b ± 10.2 | 78.05 a ± 21.16 | 41.6 b,c ± 22.0 | |
| lees contact | not aged | 494.5 a ± 5.0 | 27.7 a,b ± 0.2 | 48.90 a ± 1.43 | 33.1 b,c ± 0.8 | |
| skin and lees contact | not aged | 463.9 a ± 156.2 | 27.2 a,b ± 7.3 | 84.18 a ± 20.21 | 37.5 b,c ± 17.6 | |
| skin and lees contact | oak | 511.4 a ± 18.1 | 25.7 a,b ± 0.7 | 86.31 a ± 2.20 | 41.4 b,c ± 1.6 | |
| skin and lees contact | acacia | 418.0 a ± 169.8 | 31.4 b ± 5.0 | 80.95 a ± 15.53 | 53.1 c ± 20.5 | |
| Special treatment | no contact | oak | 628.8 a ± 203.1 | 26.3 a,b ± 5.3 | 89.47 a ± 19.20 | 27.7 b,c ± 7.3 |
| skin contact | not aged | 971.9 b ± 5.4 | 20.3 a ± 0.2 | 90.91 a ± 1.65 | 17.3 a,b,c ± 0.1 | |
| skin contact | oak | 526.2 a ± 205.8 | 29.5 a,b ± 2.6 | 69.48 a ± 2.71 | 12.6 a ± 3.0 | |
| lees contact | not aged | 950.3 a,b ± 7.2 | 23.7 a,b ± 0.01 | 47.65 a ± 0.25 | 13.5 a,b ± 0.4 | |
| Fe | Cu | Zn | Mn | |||
| No special treatment | no contact | not aged | 0.653 a ± 0.322 | 0.079 a ± 0.062 | 0.448 a,b ± 0.373 | 1.034 c,d ± 0.066 |
| skin contact | not aged | 0.716 a ± 0.179 | 0.112 a ± 0.023 | 0.373 a,b ± 0.271 | 0.817 c,d ± 0.072 | |
| lees contact | not aged | 0.281 a ± 0.006 | 0.271 a ± 0.006 | 0.215 a,b ± 0.012 | 1.027 b,c,d ± 0.027 | |
| skin and lees contact | not aged | 0.703 a ± 0.418 | 0.111 a ± 0.090 | 0.248 a,b ± 0.069 | 0.742 a,b ± 0.228 | |
| skin and lees contact | oak | 0.687 a ± 0.060 | 0.079 a ± 0.025 | 0.250 a,b ± 0.011 | 0.671 a ± 0.025 | |
| skin and lees contact | acacia | 0.531 a ± 0.178 | 0.176 a ± 0.109 | 0.613 a,b ± 0.350 | 1.007 b,c,d ± 0.301 | |
| Special treatment | no contact | oak | 0.512 a ± 0.222 | 0.124 a ± 0.050 | 0.187 a ± 0.060 | 0.630 a ± 0.102 |
| skin contact | not aged | 0.664 a ± 0.023 | 0.397 a ± 0.002 | 0.406 b ± 0.011 | 1.147 a,b,c ± 0.023 | |
| skin contact | oak | 1.062 a ± 0.148 | 0.112 a ± 0.053 | 0.206 a,b ± 0.091 | 1.865 d ± 0.167 | |
| lees contact | not aged | 1.363 a ± 0.013 | 0.058 a ± 0.002 | 0.169 a ± 0.005 | 1.204 c,d ± 0.001 |
| Aroma 1 | Aroma 2 | Aroma 3 | Aroma 4 | ||||||
|---|---|---|---|---|---|---|---|---|---|
| Process | Sample | Scent Note | Proportion (%) | Scent Note | Proportion (%) | Scent Note | Proportion (%) | Scent Note | Proportion (%) |
| 6 | S1 | peach | 70 | pineapple | 60 | grapefruit | 50 | mango | 40 |
| 3 | S2 | peppermint | 60 | chamomile | 40 | spearmint | 40 | grass/herbal | 40 |
| 3 | S3 | peach | 50 | grapefruit | 40 | lime | 40 | chamomile | 20 |
| 7 | S4 | peach | 60 | jasmine | 50 | grapefruit | 40 | lime | 40 |
| 7 | S5 | chamomile | 80 | jasmine | 60 | lemon | 50 | honey | 50 |
| 6 | S6 | lemon | 60 | lime | 60 | chamomile | 50 | grapefruit | 50 |
| 6 | S7 | chamomile | 60 | lemon | 40 | peach | 30 | mango | 30 |
| 6 | S8 | lime | 50 | lemon | 40 | peach | 40 | chamomile | 30 |
| 6 | S9 | lime | 40 | jasmine | 40 | peach | 30 | chamomile | 30 |
| 8 | S10 | off-aroma | 70 | jasmine | 20 | chamomile | 20 | peppermint | 20 |
| 8 | S11 | peppermint | 70 | honey | 50 | chamomile | 30 | spearmint | 30 |
| 1 | S12 | lime | 60 | chamomile | 30 | off-aroma | 30 | grapefruit | 30 |
| 1 | S13 | caramel | 60 | apricot | 30 | honey | 30 | chamomile | 20 |
| 5 | S14 | nuts | 40 | chamomile | 20 | apple | 20 | off-aroma | 20 |
| 6 | S15 | chamomile | 50 | apple | 50 | pineapple | 40 | peach | 40 |
| 6 | S16 | peach | 70 | lime | 50 | mango | 50 | jasmine | 40 |
| 6 | S17 | lemon | 50 | lime | 40 | peach | 30 | chamomile | 30 |
| 6 | S18 | apple | 40 | off-aroma | 40 | lemon | 20 | chamomile | 20 |
| 6 | S19 | off-aroma | 70 | lemon | 30 | peppermint | 30 | chamomile | 20 |
| 8 | S20 | jasmine | 50 | lemon | 30 | lime | 30 | lychee | 30 |
| 8 | S21 | chamomile | 70 | peach | 50 | jasmine | 20 | lychee | 10 |
| 2 | S22 | peach | 60 | jasmine | 40 | chamomile | 20 | lychee | 20 |
| 2 | S23 | chamomile | 70 | lime | 40 | apricot | 30 | spearmint | 20 |
| 4 | S24 | apple | 40 | apricot | 40 | peach | 30 | chamomile | 30 |
| 4 | S25 | apricot | 80 | peach | 30 | bergamot | 30 | mango | 20 |
| 10 | S26 | off-aroma | 30 | peach | 20 | grapefruit | 20 | kumquat | 20 |
| 9 | S27 | apricot | 80 | nuts | 60 | lemon | 20 | jasmine | 20 |
| 2 | S28 | peach | 80 | apricot | 70 | floral | 40 | lemon | 40 |
Disclaimer/Publisher’s Note: The statements, opinions and data contained in all publications are solely those of the individual author(s) and contributor(s) and not of MDPI and/or the editor(s). MDPI and/or the editor(s) disclaim responsibility for any injury to people or property resulting from any ideas, methods, instructions or products referred to in the content. |
© 2025 by the authors. Licensee MDPI, Basel, Switzerland. This article is an open access article distributed under the terms and conditions of the Creative Commons Attribution (CC BY) license (https://creativecommons.org/licenses/by/4.0/).
Share and Cite
Skendi, A.; Bouloumpasi, E.; Kontopou, I.; Stefanou, S.; Greveniotis, V.; Karampatea, A. Investigation of the Combined Impact of Location and Processing on the Quality Characteristics of Commercial Malagousia Wines from Northern Greece. Beverages 2025, 11, 147. https://doi.org/10.3390/beverages11050147
Skendi A, Bouloumpasi E, Kontopou I, Stefanou S, Greveniotis V, Karampatea A. Investigation of the Combined Impact of Location and Processing on the Quality Characteristics of Commercial Malagousia Wines from Northern Greece. Beverages. 2025; 11(5):147. https://doi.org/10.3390/beverages11050147
Chicago/Turabian StyleSkendi, Adriana, Elisavet Bouloumpasi, Ioanna Kontopou, Stefanos Stefanou, Vasileios Greveniotis, and Aikaterini Karampatea. 2025. "Investigation of the Combined Impact of Location and Processing on the Quality Characteristics of Commercial Malagousia Wines from Northern Greece" Beverages 11, no. 5: 147. https://doi.org/10.3390/beverages11050147
APA StyleSkendi, A., Bouloumpasi, E., Kontopou, I., Stefanou, S., Greveniotis, V., & Karampatea, A. (2025). Investigation of the Combined Impact of Location and Processing on the Quality Characteristics of Commercial Malagousia Wines from Northern Greece. Beverages, 11(5), 147. https://doi.org/10.3390/beverages11050147

