- Article
An Optimized Position Control via Reinforcement-Learning-Based Hybrid Structure Strategy
- Nebiyeleul Daniel Amare,
- Sun Jick Yang and
- Young Ik Son
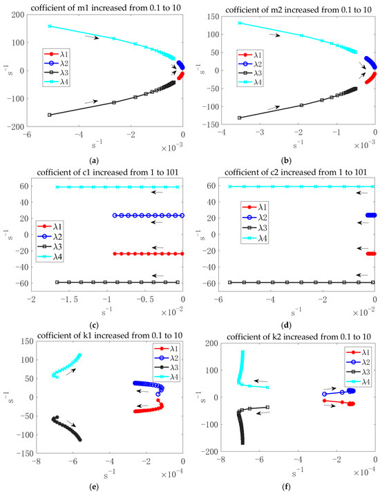
Most control system implementations rely on single structures optimized for specific performance criteria through rigorous derivation. While effective for their intended purpose, such controllers often underperform in areas outside their primary opti...

