Previous Issue
Volume 18, January-1
 
 
polymers-logo

Journal Browser

Journal Browser

Polymers, Volume 18, Issue 2 (January-2 2026) – 38 articles

  • Issues are regarded as officially published after their release is announced to the table of contents alert mailing list.
  • You may sign up for e-mail alerts to receive table of contents of newly released issues.
  • PDF is the official format for papers published in both, html and pdf forms. To view the papers in pdf format, click on the "PDF Full-text" link, and use the free Adobe Reader to open them.
Order results
Result details
Section
Select all
Export citation of selected articles as:
39 pages, 1959 KB  
Article
Data-Driven AI Approach for Optimizing Processes and Predicting Mechanical Properties of Boron Nitride Nanoplatelet-Reinforced PLA Nanocomposites
by Sundarasetty Harishbabu, Joy Djuansjah, P. S. Rama Sreekanth, A. Praveen Kumar, Borhen Louhichi, Santosh Kumar Sahu, It Ee Lee and Qamar Wali
Polymers 2026, 18(2), 185; https://doi.org/10.3390/polym18020185 - 9 Jan 2026
Abstract
This research explores the optimization of mechanical properties and predictive modeling of polylactic acid (PLA) reinforced with boron nitride nanoplatelets (BNNPs) using data-driven machine learning (ML) models. PLA-BNNP composites were fabricated through injection molding, with a focus on how key processing parameters influence [...] Read more.
This research explores the optimization of mechanical properties and predictive modeling of polylactic acid (PLA) reinforced with boron nitride nanoplatelets (BNNPs) using data-driven machine learning (ML) models. PLA-BNNP composites were fabricated through injection molding, with a focus on how key processing parameters influence their mechanical performance. A Taguchi L27 orthogonal array was applied to assess the effects of BNNP composition (0.02 wt.% and 0.04 wt.%), injection temperature (135–155 °C), injection speed (50–70 mm/s), and pressure (30–50 bar) on properties such as tensile strength, Young’s modulus, and hardness. The results indicated that a 0.04 wt.% BNNP loading improved tensile strength, Young’s modulus, and hardness by 18.6%, 32.7%, and 20.5%, respectively, compared to pure PLA. Taguchi analysis highlighted that higher BNNP concentrations, along with optimal injection temperatures, improved all mechanical properties, although excessive temperatures compromised tensile strength and modulus, while enhancing hardness. Analysis of variance (ANOVA) revealed that injection temperature was the dominant factor for tensile strength (68.88%) and Young’s modulus (86.39%), while BNNP composition played a more significant role in influencing hardness (78.83%). Predictive models were built using machine learning (ML) models such as Random Forest Regression (RFR), Gradient Boosting Regression (GBR), and Extreme Gradient Boosting (XGBoost). Among the ML models, XGBoost demonstrated the highest predictive accuracy, achieving R2 values above 98% for tensile strength, 92–93% for Young’s modulus, and 96% for hardness, with low error metrics i.e., Root Mean Square Error (RMSE), Mean Absolute Error (MAE), Mean Absolute Percentage Error (MAPE). These findings underscore the potential of using BNNP reinforcement and machine learning-driven property prediction to enhance PLA nanocomposites’ mechanical performance, making them viable for applications in lightweight packaging, biomedical implants, consumer electronics, and automotive components, offering sustainable alternatives to petroleum-based plastics. Full article
(This article belongs to the Special Issue Emerging Trends in Polymer Engineering: Polymer Connect-2024)
21 pages, 11335 KB  
Article
Enhanced Mechanical and Thermal Properties of Epoxy Resins Through Hard–Soft Biphasic Synergistic Toughening with Modified POSS/Polysulfide Rubber
by Xi Yuan, Zhineng Tan, Shengwen Liu, Hang Luo, Zhuo Chen and Dou Zhang
Polymers 2026, 18(2), 184; https://doi.org/10.3390/polym18020184 - 9 Jan 2026
Abstract
Toughening modification of epoxy resin (EP) matrices is important for advancing high-performance fiber-reinforced composites. A promising strategy involves the use of multi-component additive systems. However, synergistic effects in such additive systems are difficult to achieve for multidimensional performance optimization due to insufficient interfacial [...] Read more.
Toughening modification of epoxy resin (EP) matrices is important for advancing high-performance fiber-reinforced composites. A promising strategy involves the use of multi-component additive systems. However, synergistic effects in such additive systems are difficult to achieve for multidimensional performance optimization due to insufficient interfacial interactions and competing toughening mechanisms. Herein, a “hard–soft” biphasic synergistic toughening system was engineered for epoxy resin, composed of furan-ring-grafted polyhedral oligomeric silsesquioxane (FPOSS) and liquid polysulfide rubber. The hybrid toughening agent significantly enhanced the integrated performance of the epoxy system: Young’s modulus, tensile strength, and elongation at break increased by 13%, 56%, and 101%, respectively. These improvements are attributed to the formation of enriched molecular chain entanglement sites and optimized dispersion, facilitated by nucleophilic addition reactions between flexible rubber segments and rigid FPOSS units with the epoxy matrix. The marked enhancement in toughness primarily stems from the synergistic toughening mechanism involving “crazing pinning” and “crazing-shear band”. Concurrently, FPOSS incorporation effectively modulated the curing reaction kinetics, rendering the process more gradual while substantially elevating the glass transition temperature (Tg) of the cured system by 16.82 °C and endowing it with superior thermal degradation stability. This work provides a simple and unique strategy to leverage multi-scale mechanisms for the construction of epoxy-based composites with good toughness and strength, and enhanced heat resistance. Full article
(This article belongs to the Special Issue Advances in Polymer-Based Electronic Materials)
Show Figures

Graphical abstract

18 pages, 2523 KB  
Article
Antibacterial and Hydrophobic PLA Biocomposites Enabled by Geraniol-Modified Flax Fibres
by Alona Pawłowska, Magdalena Stepczyńska, Volodymyr Krasinskyi and Joanna Pach
Polymers 2026, 18(2), 183; https://doi.org/10.3390/polym18020183 (registering DOI) - 9 Jan 2026
Abstract
In the medical industry, strong disinfectants are used to limit bacterial proliferation on the surface of polymer-based materials; however, they may leave hazardous residues. To prevent potential harm to human health, safer disinfection substitutes are continuously searched. This study evaluates the effect of [...] Read more.
In the medical industry, strong disinfectants are used to limit bacterial proliferation on the surface of polymer-based materials; however, they may leave hazardous residues. To prevent potential harm to human health, safer disinfection substitutes are continuously searched. This study evaluates the effect of a natural biocidal modifier, geraniol (GR), on the properties of flax-reinforced biocomposites. Biocomposites containing 80 wt% polylactide (PLA) and 20 wt% flax fibres were prepared, and fibres were modified with 1%, 5%, 10%, or 20% GR. The materials were examined using tensile tests, dynamic mechanical analysis (DMA), differential scanning calorimetry (DSC), thermogravimetry (TG), contact angle measurements, scanning electron microscopy (SEM), and antibacterial activity tests. The incorporation of flax fibres increased the storage modulus from 2730 MPa (PLA) to 3447 MPa, while GR-modified fibres further enhanced stiffness up to 3769 MPa for the 20% GR sample. Strong antibacterial activity against Escherichia coli and Staphylococcus aureus was achieved in biocomposites containing ≥10% GR, with R = 5 and R ≥ 6, respectively. Surface hydrophobicity also improved progressively, and a water contact angle of 92° was obtained at 20% GR. These results demonstrate that geraniol-modified flax fibres effectively impart antibacterial activity and hydrophobicity to PLA biocomposites, indicating their potential for use in sustainable packaging applications and materials for the medical sector. Full article
(This article belongs to the Special Issue Modification of Natural Biodegradable Polymers)
Show Figures

Figure 1

16 pages, 2976 KB  
Article
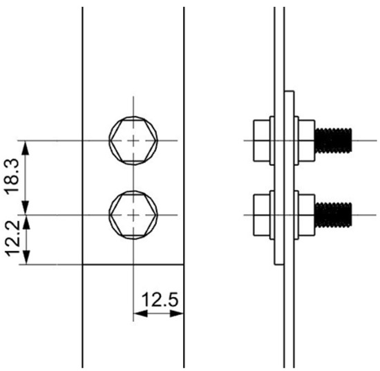
Effect of Elevated Temperature on Load-Bearing Capacity and Fatigue Life of Bolted Joints in CFRP Components
by Angelika Arkuszyńska and Marek Rośkowicz
Polymers 2026, 18(2), 182; https://doi.org/10.3390/polym18020182 (registering DOI) - 9 Jan 2026
Abstract
The search for innovative solutions in the field of construction materials used in aircraft manufacturing has led to the development of composite materials, particularly CFRP polymer composites. Composite airframe components, which are required to have high strength, are joined using mechanical fasteners. Considering [...] Read more.
The search for innovative solutions in the field of construction materials used in aircraft manufacturing has led to the development of composite materials, particularly CFRP polymer composites. Composite airframe components, which are required to have high strength, are joined using mechanical fasteners. Considering that the composite consists of a polymer matrix, which is a material susceptible to rheological phenomena occurring rapidly at elevated temperature, there is a high probability of significant changes in the strength and performance properties. Coupled thermal and mechanical loads on composite material joints occur in everyday aircraft operation. Experimental tests were conducted using a quasi-isotropic CFRP on an epoxy resin matrix with aerospace certification. The assessment of changes in the strength parameters of the material itself showed a decrease of approx. 40% in its short-term strength at 80 °C compared to the ambient temperature and a decrease in the load-bearing capacity of single-lap bolted joints of over 25%. Even more rapid changes were observed when assessing the fatigue life of the joints assessed at ambient and elevated temperature. In addition, the actual glass transition temperature of the resin was determined using the DSC technique. Analysis of the damage mechanisms showed that at 80 °C, the main degradation mechanisms of the material are accelerated creep processes of the CFRP and softening of the matrix, increasing its susceptibility to damage in the joint area. Full article
(This article belongs to the Section Polymer Processing and Engineering)
Show Figures

Figure 1

32 pages, 2273 KB  
Review
Fire Performance of FRP-Composites and Strengthened Concrete Structures: A State-of-the-Art Review
by Junhao Zhou, Yingwu Zhou, Menghuan Guo and Sheng Xiang
Polymers 2026, 18(2), 181; https://doi.org/10.3390/polym18020181 - 9 Jan 2026
Abstract
The structural application of Fiber-Reinforced Polymers (FRP) is significantly hindered by their inherent thermal sensitivity. This paper presents a comprehensive review of the fire performance of FRP materials and FRP-concrete systems, spanning from material-scale degradation to structural-scale response. Distinct from previous studies, this [...] Read more.
The structural application of Fiber-Reinforced Polymers (FRP) is significantly hindered by their inherent thermal sensitivity. This paper presents a comprehensive review of the fire performance of FRP materials and FRP-concrete systems, spanning from material-scale degradation to structural-scale response. Distinct from previous studies, this review explicitly distinguishes between the fire behavior of internally reinforced FRP-reinforced concrete members and externally applied systems, including Externally Bonded Reinforcement (EBR) and Near-Surface Mounted (NSM) techniques. The thermal and mechanical degradation mechanisms of FRP constituents—specifically reinforcing fibers and polymer matrices—are first analyzed, with a focused discussion on the critical role of the glass transition temperature Tg. A detailed comparative analysis of the pros and cons of organic (epoxy-based) and inorganic (cementitious) binders is provided, elaborating on their respective bonding mechanisms and thermal stability under fire conditions. Furthermore, the effectiveness of various fire-protection strategies, such as external insulation systems, is evaluated. Synthesis of existing research indicates that while insulation thickness remains the dominant factor governing the fire survival time of EBR/NSM systems, the irreversible thermal degradation of polymer matrices poses a primary challenge for the post-fire recovery of FRP-reinforced structures. This review identifies critical research gaps and provides practical insights for the fire-safe design of FRP-concrete composite structures. Full article
Show Figures

Figure 1

16 pages, 3473 KB  
Article
Hybrid Phy-X/PSD–Geant4 Assessment of Gamma and Neutron Shielding in Lead-Free HDPE Composites Reinforced with High-Z Oxides
by Ahmed Alharbi, Nassar N. Asemi and Hamed Alnagran
Polymers 2026, 18(2), 179; https://doi.org/10.3390/polym18020179 - 9 Jan 2026
Abstract
This study evaluates lead-free high-density polyethylene (HDPE) composites reinforced with high-Z oxides (Bi2O3, WO3, Gd2O3, TeO2, and a Bi2O3/WO3 hybrid) as lightweight materials for gamma-ray and [...] Read more.
This study evaluates lead-free high-density polyethylene (HDPE) composites reinforced with high-Z oxides (Bi2O3, WO3, Gd2O3, TeO2, and a Bi2O3/WO3 hybrid) as lightweight materials for gamma-ray and fast-neutron shielding. A hybrid computational framework combining Phy-X/PSD with Geant4 Monte Carlo simulations was used to obtain key shielding parameters, including the linear and mass attenuation coefficients (μ, μ/ρ), half-value layer (HVL), mean free path (MFP), effective atomic number (Zeff), effective electron density (Neff), exposure and energy-absorption buildup factors (EBF, EABF), and fast-neutron removal cross section (ΣR). The incorporation of heavy oxides produced a pronounced improvement in gamma-ray attenuation, particularly at low energies, where the linear attenuation coefficient increased from below 1 cm−1 for neat HDPE to values exceeding 130–150 cm−1 for Bi- and W-rich composites. In the intermediate Compton-scattering region (≈0.3–1 MeV), all oxide-reinforced systems maintained a clear attenuation advantage, with μ values around 0.12–0.13 cm−1 compared with ≈0.07 cm−1 for pure HDPE. At higher photon energies, the dense composites continued to outperform the polymer matrix, yielding μ values of approximately 0.07–0.09 cm−1 versus ≈0.02 cm−1 for HDPE due to enhanced pair-production interactions. The Bi2O3/WO3 hybrid composite exhibited attenuation behavior comparable, and in some regions slightly exceeding, that of the single-oxide systems, indicating that mixed fillers can effectively balance density and shielding efficiency. Oxide addition significantly reduced exposure and energy-absorption buildup factors below 1 MeV, with a moderate increase at higher energies associated with secondary radiation processes. Fast-neutron removal cross sections were also modestly enhanced, with Gd2O3-containing composites showing the highest values due to the combined effects of hydrogen moderation and neutron capture. The close agreement between Phy-X/PSD and Geant4 results confirms the reliability of the dual-method approach. Overall, HDPE composites containing about 60 wt.% oxide filler offer a practical compromise between shielding performance, manufacturability, and environmental safety, making them promising candidates for medical, nuclear, and aerospace radiation-protection applications. Full article
(This article belongs to the Section Polymer Composites and Nanocomposites)
Show Figures

Figure 1

22 pages, 4100 KB  
Article
Transition Behavior in Blended Material Large Format Additive Manufacturing
by James Brackett, Elijah Charles, Matthew Charles, Ethan Strickland, Nina Bhat, Tyler Smith, Vlastimil Kunc and Chad Duty
Polymers 2026, 18(2), 178; https://doi.org/10.3390/polym18020178 - 8 Jan 2026
Abstract
Large-Format Additive Manufacturing (LFAM) offers the ability to 3D print composites at multi-meter scale and high throughput by utilizing a screw-based extrusion system that is compatible with pelletized feedstock. As such, LFAM systems like the Big Area Additive Manufacturing (BAAM) system provide a [...] Read more.
Large-Format Additive Manufacturing (LFAM) offers the ability to 3D print composites at multi-meter scale and high throughput by utilizing a screw-based extrusion system that is compatible with pelletized feedstock. As such, LFAM systems like the Big Area Additive Manufacturing (BAAM) system provide a pathway for incorporating AM techniques into industry-scale production. Despite significant growth in LFAM techniques and usage in recent years, typical Multi-Material (MM) techniques induce weak points at discrete material boundaries and encounter a higher frequency of delamination failures. A novel dual-hopper configuration was developed for the BAAM platform to enable in situ switching between material feedstocks that creates a graded transition region in the printed part. This research studied the influence of extrusion screw speed, component design, transition direction, and material viscosity on the transition behavior. Material transitions were monitored using compositional analysis as a function of extruded volume and modeled using a standard Weibull cumulative distribution function (CDF). Screw speed had a negligible influence on transition behavior, but averaging the Weibull CDF parameters of transitions printed using the same configurations demonstrated that designs intended to improve mixing increased the size of the blended material region. Further investigation showed that the relative difference and change in complex viscosity influenced the size of the blended region. These results indicate that tunable properties and material transitions can be achieved through selection and modification of composite feedstocks and their complex viscosities. Full article
(This article belongs to the Special Issue Additive Manufacturing of Polymer Based Materials)
Show Figures

Figure 1

21 pages, 6197 KB  
Article
Swelling Property and Metal Adsorption of Dialdehyde Crosslinked Poly Aspartate/Alginate Gel Beads
by Takuma Yamashita and Toshihisa Tanaka
Polymers 2026, 18(2), 177; https://doi.org/10.3390/polym18020177 - 8 Jan 2026
Abstract
Dialdehyde crosslinked poly aspartate/alginate hydrogel beads were synthesized by covalently introducing poly aspartate into the alginate network via dialdehyde-mediated crosslinking, and the resulting effects on swelling and adsorption behavior were investigated. Alginate was partially oxidized to form dialdehyde alginate and crosslinked with poly [...] Read more.
Dialdehyde crosslinked poly aspartate/alginate hydrogel beads were synthesized by covalently introducing poly aspartate into the alginate network via dialdehyde-mediated crosslinking, and the resulting effects on swelling and adsorption behavior were investigated. Alginate was partially oxidized to form dialdehyde alginate and crosslinked with poly aspartic acid via Schiff base formation, followed by ionic crosslinking with calcium ions. The chemical structure and morphology of the gel beads were characterized by Fourier transform infrared spectroscopy and scanning electron microscopy. Incorporation of PAsp significantly altered the swelling behavior of alginate-based gel beads. In saline solution, PAsp-modified gel beads exhibited a swelling ratio of approximately 112 g/g, which was higher than that of calcium alginate gel beads. This behavior is suggested to be associated with changes in the alginate–calcium network structure induced by polymer modification. PAsp-modified gel beads exhibited moderate but distinct adsorption behavior depending on the adsorbate. Removal efficiencies of approximately 40–50% were observed for copper and cobalt ions, while a removal efficiency of around 50% was obtained for the cationic dye crystal violet. In contrast, adsorption of the anionic dye Congo red decreased with increasing PAsp content, indicating charge-dependent adsorption behavior. Overall, this study demonstrates that PAsp modification via dialdehyde-mediated crosslinking influences both the swelling and adsorption properties of alginate-based hydrogel beads. The results provide fundamental insight into how network modification can be used to tune the behavior of alginate-based hydrogels in aqueous environments. Full article
Show Figures

Graphical abstract

20 pages, 4885 KB  
Article
Development of 3D-Printable Lead-Free Composite Materials for Mixed Photon and Neutron Attenuation
by Shirin Arslonova, Jurgita Laurikaitiene and Diana Adliene
Polymers 2026, 18(2), 176; https://doi.org/10.3390/polym18020176 - 8 Jan 2026
Abstract
The growing use of radiation technologies has increased the need for shielding materials that are lightweight, safe, and adaptable to complex geometries. While lead remains highly effective, its toxicity and weight limit its suitability, driving interest in alternative materials. The process of 3D [...] Read more.
The growing use of radiation technologies has increased the need for shielding materials that are lightweight, safe, and adaptable to complex geometries. While lead remains highly effective, its toxicity and weight limit its suitability, driving interest in alternative materials. The process of 3D printing enables the rapid fabrication of customized shielding geometries; however, only limited research has focused on 3D-printed polymer composites formulated specifically for mixed photon–neutron fields. In this study, we developed a series of 3D-printable ABS-based composites incorporating tungsten (W), bismuth oxide (Bi2O3), gadolinium oxide (Gd2O3), and boron nitride (BN). Composite filaments were produced using a controlled extrusion process, and all materials were 3D printed under identical conditions to enable consistent comparison across formulations. Photon attenuation at 120 kVp and neutron attenuation using a broad-spectrum Pu–Be source (activity 4.5 × 107 n/s), providing a mixed neutron field with a central flux of ~7 × 104 n·cm−2·s−1 (predominantly thermal with epithermal and fast components), were evaluated for both individual composite samples and layered (sandwich) configurations. Among single-material prints, the 30 wt% Bi2O3 composite achieved a mass attenuation coefficient of 2.30 cm2/g, approximately 68% of that of lead. Layered structures combining high-Z and neutron-absorbing fillers further improved performance, achieving up to ~95% attenuation of diagnostic X-rays and ~40% attenuation of neutrons. The developed materials provided a promising balance between 3D-printability and dual-field shielding effectiveness, highlighting their potential as lightweight, lead-free shielding components for diverse applications. Full article
(This article belongs to the Special Issue 3D Printing Polymers: Design and Applications)
Show Figures

Graphical abstract

20 pages, 8763 KB  
Article
Development of Cellulose Nanocrystal (CNC)-Reinforced PLA/PMMA Nanocomposite Coatings for Sustainable Paper-Based Packaging
by Milad Parhizgar, Mohammad Azadfallah, Alireza Kaboorani, Akbar Mastouri and Mariaenrica Frigione
Polymers 2026, 18(2), 175; https://doi.org/10.3390/polym18020175 - 8 Jan 2026
Abstract
Driven by environmental concerns, the packaging industry is shifting toward high-performance and bio-based coating alternatives. In this research, poly(methylmethacrylate) (PMMA) and modified cellulose nanocrystal (m-CNC) were employed as reinforcing agents to develop sustainable poly (lactic acid)-based coatings for packaging applications. Various formulations, influenced [...] Read more.
Driven by environmental concerns, the packaging industry is shifting toward high-performance and bio-based coating alternatives. In this research, poly(methylmethacrylate) (PMMA) and modified cellulose nanocrystal (m-CNC) were employed as reinforcing agents to develop sustainable poly (lactic acid)-based coatings for packaging applications. Various formulations, influenced by polymer matrix blends and m-CNC loadings (1–5%), were prepared using solvent and applied as protective coating on cardboard paper substrates. The grammage of polymeric coatings (CG) on paper was also investigated using various wet film thicknesses (i.e., 150–250 μm). Accordingly, key parameters including water contact angle, thermal behavior, mechanical performances and barrier properties were systematically evaluated to assess the effectiveness of the developed nanocomposite coatings. As a result, nonylphenol ethoxylate surfactant-modified cellulose nanocrystals exhibited good dispersion and stable suspension in chloroform for one hour, improving compatibility and interaction of polymer–CNC fillers. The water vapor permeability (WVP) of PLA-coated papers was significantly reduced by blending PMMA and increasing the content of m-CNC nanofillers. Furthermore, CNC incorporation enhanced the oil resistance of PLA/PMMA-coated cardboard. Pronounced improvements in barrier properties were observed for paper substrates coated with dry coat weight or CG of ~20 g/m2 (corresponding to 250 μm wet film thickness). Coatings based on blended polymer—particularly those reinforced with nanofillers—markedly enhanced the hydrophobicity of the cardboard papers. SEM-microscopy confirmed the structural integrity and morphology of the nanocomposite coatings. Regarding mechanical properties, the upgraded nanocomposite copolymer (PLA-75%/PMMA-25%/m-CNC3%) exhibited the highest bending test and tensile strength, achieved on coated papers and free-standing polymeric films, respectively. Based on DSC analysis, the thermal characteristics of the PLA matrix were influenced to some extent by the presence of PMMA and m-CNC. Overall, PLA/PMMA blends with an optimal amount of CNC nanofillers offer promising sustainable coatings for the packaging applications. Full article
(This article belongs to the Special Issue Functional Polymeric Materials for Food Packaging Applications)
Show Figures

Figure 1

17 pages, 2780 KB  
Article
Bio-Based Viscoelastic Polyurethane Foams: Functional Behavior Across Application Temperatures
by Elżbieta Malewska, Konstantinos N. Raftopoulos, Piotr Rytlewski, Sławomir Michałowski, Natalia Koman, Maria Kurańska and Aleksander Prociak
Polymers 2026, 18(2), 174; https://doi.org/10.3390/polym18020174 - 8 Jan 2026
Abstract
Viscoelastic polyurethane foams were prepared using four different bio-based polyols derived from coconut oil (CO), palm oil (PO), duck fat (DF), and pork fat (PF), employing up to 20 wt.% of the polyol component in a conventional formulation. The introduction of bio-polyols into [...] Read more.
Viscoelastic polyurethane foams were prepared using four different bio-based polyols derived from coconut oil (CO), palm oil (PO), duck fat (DF), and pork fat (PF), employing up to 20 wt.% of the polyol component in a conventional formulation. The introduction of bio-polyols into the polyurethane formulation gave rise to an early minor decomposition of modified foams at low temperatures; however, the overall thermal stability improved slightly by the elimination of some intermediate decomposition stages. The glass transition temperature of foams was only moderately influenced and remained in the typical temperature range (around 10 °C). The effect of biopolyol type and content (5–20 wt.%) on the mechanical properties of the foams was investigated over the temperature range −20 to 40 °C. At 20 and 40 °C, all foams exhibited comfortable viscoelastic properties suitable for furniture applications. Hysteresis and the damping behavior of foams were also influenced by biopolyol type and concentration, with CO and DF providing enhanced energy absorption. Overall, these bio-based foams demonstrate potential for eco-friendly, high-performance applications, although their use at temperatures below 10 °C may be limited by increased stiffness. Full article
(This article belongs to the Special Issue Polyurethane Foams)
Show Figures

Graphical abstract

14 pages, 3931 KB  
Article
Experimental Determination of Material Behavior Under Compression of a Carbon-Reinforced Epoxy Composite Boat Damaged by Slamming-like Impact
by Erkin Altunsaray, Mustafa Biçer, Haşim Fırat Karasu and Gökdeniz Neşer
Polymers 2026, 18(2), 173; https://doi.org/10.3390/polym18020173 - 8 Jan 2026
Abstract
Carbon-reinforced epoxy laminated composite (CREC) structures are increasingly utilized in high-speed marine vehicles (HSMVs) due to their high specific strength and stiffness; however, they are frequently subjected to impact loads like slamming and aggressive environmental agents during operation. This study experimentally investigates the [...] Read more.
Carbon-reinforced epoxy laminated composite (CREC) structures are increasingly utilized in high-speed marine vehicles (HSMVs) due to their high specific strength and stiffness; however, they are frequently subjected to impact loads like slamming and aggressive environmental agents during operation. This study experimentally investigates the Compression After Impact (CAI) behavior of CREC plates with varying lamination sequences under both atmospheric and accelerated aging conditions. The samples were produced using the vacuum-assisted resin infusion method with three specific orientation types: quasi-isotropic, cross-ply, and angle-ply. To simulate the marine environment, specimens were subjected to accelerated aging in a salt fog and cyclic corrosion cabin for periods of 2, 4, and 6 weeks. Before and following the aging process, low-velocity impact tests were conducted at an energy level of 30 J, after which the residual compressive strength was measured by CAI tests. At the end of the aging process, after the sixth week, the performance of plates with different layer configuration characteristics can be summarized as follows: Plates 1 and 2, which are quasi-isotropic, exhibit opposite behavior. Plate 1, with an initial toughness of 23,000 mJ, increases its performance to 27,000 mJ as it ages, while these values are around 27,000 and 17,000 mJ, respectively, for Plate 2. It is thought that the difference in configurations creates this difference, and the presence of the 0° layer under the effect of compression load at the beginning and end of the configuration has a performance-enhancing effect. In Plates 3 and 4, which have a cross-ply configuration, almost the same performance is observed; the performance, which is initially 13,000 mJ, increases to around 23,000 mJ with the effect of aging. Among the options, angle-ply Plates 5 and 6 demonstrate the highest performance with values around 35,000 mJ, along with an undefined aging effect. Scanning Electron Microscopy (SEM) and Energy-Dispersive X-ray Spectroscopy (EDS) analyses confirmed the presence of matrix cracking, fiber breakage, and salt accumulation (Na and Ca compounds) on the aged surfaces. The study concludes that the impact of environmental aging on CRECs is not uniformly negative; while it degrades certain configurations, it can enhance the toughness and energy absorption of brittle, cross-ply structures through matrix plasticization. Full article
Show Figures

Figure 1

17 pages, 2269 KB  
Article
Purification, Structural Characterization, and Antibacterial Evaluation of Poly-γ-Glutamic Acid from Bacillus subtilis
by Gobinath Chandrakasan, Genaro Martin Soto-Zarazúa, Manuel Toledano-Ayala, Priscila Sarai Flores-Aguilar and Said Arturo Rodríguez-Romero
Polymers 2026, 18(2), 172; https://doi.org/10.3390/polym18020172 - 8 Jan 2026
Abstract
Extracellular poly-γ-glutamic acid (γ-PGA) produced by Bacillus species demonstrates significant antibacterial properties, positioning it as a promising candidate for diverse biomedical and industrial applications. This study focused on molecular identification of Bacillus subtilis using Polymerase Chain Reaction (PCR) and evaluated the initial production [...] Read more.
Extracellular poly-γ-glutamic acid (γ-PGA) produced by Bacillus species demonstrates significant antibacterial properties, positioning it as a promising candidate for diverse biomedical and industrial applications. This study focused on molecular identification of Bacillus subtilis using Polymerase Chain Reaction (PCR) and evaluated the initial production of γ-PGA from a novel biological source of Bacillus subtilis. Shake flask fermentation was utilized for γ-PGA production, with three distinct growth media (Tryptic, MRS, and Mineral medium) assessed for their efficiency in polymer yield. Characterization of γ-PGA was conducted through FT-IR, HPLC, and GC-MS analyses. FT-IR spectroscopy confirmed the presence of characteristic functional groups such as carbonyl, amide, and hydroxyl groups. HPLC and GC-MS analyses provided insights into the polymer’s purity and molecular composition, highlighting components like methyl esters, hexanoic acid, and monomethyl esters. Furthermore, the study quantified γ-PGA production during a four-day shake flask fermentation period. These findings contribute significantly to bacterial characterization, optimization of fermentation processes, and the exploration of γ-PGA’s potential as an antibacterial agent. Future research directions include refining purification techniques to enhance γ-PGA’s antibacterial efficacy and expanding its applications across various fields. Full article
Show Figures

Graphical abstract

22 pages, 3541 KB  
Article
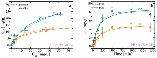
Bio-Based Pectin-Calcium Film and Foam Adsorbents with Immobilized Fe–BTC MOF for Water Contaminant Removal
by Francesco Coin, Carolina Iacovone and Silvina Cerveny
Polymers 2026, 18(2), 171; https://doi.org/10.3390/polym18020171 - 8 Jan 2026
Abstract
Metal-organic frameworks (MOFs) offer high porosity for water remediation but face challenges in handling as powders. We address these limitations by physically immobilizing Fe–BTC MOF within calcium-crosslinked low-methoxyl pectin matrices (PE–Ca–MOF). Solvent-cast films and freeze-dried foams were fabricated using water-based and polyvinylpyrrolidone (PVP)-assisted [...] Read more.
Metal-organic frameworks (MOFs) offer high porosity for water remediation but face challenges in handling as powders. We address these limitations by physically immobilizing Fe–BTC MOF within calcium-crosslinked low-methoxyl pectin matrices (PE–Ca–MOF). Solvent-cast films and freeze-dried foams were fabricated using water-based and polyvinylpyrrolidone (PVP)-assisted Fe–BTC dispersions, preserving MOF and pectin structures confirmed by FT–IR. PVP improved Fe–BTC dispersion and reduced particle size, enhancing distribution and plasticizing the matrix proved by DSC. Incorporation of water-dispersed Fe–BTC increased the equilibrium adsorption capacity but reduced the initial adsorption rate, while the PVP-assisted foam further enhanced uptake in comparative batch tests through its more open porous structure. At pH 7, PE–Ca–5%MOF films showed high adsorption capacities and removal efficiencies for paraquat (35.5 mg/g, 70.6%) and tetracycline (14.5 mg/g, 46.8%), while maintaining Zn2+ uptake compared to calcium-pectin films without MOF. Adsorption followed pseudo-first-order kinetics and Langmuir isotherms. Green regeneration with acetic acid enabled >80% capacity retention over five adsorption–desorption cycles. Foam architectures increased porosity and active-site accessibility (SEM), improving performance even at lower MOF loadings. Overall, controlling MOF dispersion and composite morphology enables efficient, reusable, and environmentally friendly bio-based adsorbents for water purification. Full article
(This article belongs to the Section Polymer Membranes and Films)
Show Figures

Graphical abstract

26 pages, 4325 KB  
Article
Pentamidine-Functionalized Polycaprolactone Nanofibers Produced by Solution Blow Spinning for Controlled Release in Cutaneous Leishmaniasis Treatment
by Nerea Guembe-Michel, Paul Nguewa and Gustavo González-Gaitano
Polymers 2026, 18(2), 170; https://doi.org/10.3390/polym18020170 - 8 Jan 2026
Abstract
Leishmaniasis, a widespread, neglected infectious disease with limited effective treatments and increasing drug resistance, demands innovative therapeutic approaches. In this study, we report the fabrication of pentamidine (PTM)-loaded polycaprolactone (PCL) nanofibers using solution blow spinning (SBS) as a potential topical delivery system for [...] Read more.
Leishmaniasis, a widespread, neglected infectious disease with limited effective treatments and increasing drug resistance, demands innovative therapeutic approaches. In this study, we report the fabrication of pentamidine (PTM)-loaded polycaprolactone (PCL) nanofibers using solution blow spinning (SBS) as a potential topical delivery system for cutaneous leishmaniasis (CL). Homogeneous PCL fiber mats were produced using a simple SBS set-up with a commercial airbrush after optimizing several working parameters. Drug release studies demonstrated sustained PTM release profile over time, which was mechanistically modeled by utilizing the complete nanofiber diameter distribution, obtained from SEM analysis of the blow-spun material. FTIR and XRD analyses were performed to investigate the drug–polymer interactions, revealing molecularly dispersed PTM at low-proportion drug/polymers and partial crystallinity at high loadings. The released PTM exhibited significant leishmanicidal activity against Leishmania major promastigotes. Biological investigations showed that SBS-formulated PTM treatment was consistent with the downregulation of parasite genes involved in cell division and DNA replication (cycA, cyc6, pcna, top2, mcm4) and upregulation of the drug response gene (prp1). The controlled delivery of PTM within SBS-fabricated PCL nanofibers provides an effective therapeutic approach to tackle CL and, through the incorporation of additional drugs, could be extended to address a broader range of cutaneous infections. Full article
(This article belongs to the Special Issue Fiber Spinning Technologies and Functional Polymer Fiber Development)
Show Figures

Graphical abstract

21 pages, 974 KB  
Review
Natural Deep Eutectic Solvents for PHB Recovery: Mechanistic Insights and Implications for Sustainable Downstream Processing
by Antonio Zuorro, Roberto Lavecchia, Jefferson E. Contreras-Ropero, Janet B. García-Martínez and Andrés F. Barajas-Solano
Polymers 2026, 18(2), 169; https://doi.org/10.3390/polym18020169 - 8 Jan 2026
Abstract
The growing concern over plastic pollution and the widespread presence of micro- and nanoplastics has renewed interest in polyhydroxybutyrate (PHB) as a biodegradable alternative; however, its industrial deployment remains constrained by costly recovery operations with a high environmental burden. This study examines how [...] Read more.
The growing concern over plastic pollution and the widespread presence of micro- and nanoplastics has renewed interest in polyhydroxybutyrate (PHB) as a biodegradable alternative; however, its industrial deployment remains constrained by costly recovery operations with a high environmental burden. This study examines how PHB biosynthesis and intracellular organization, physicochemical properties, and the characteristics of the producing microorganism influence the performance of conventional recovery routes, including extraction with organic solvents, alkaline/oxidative chemical digestion, and enzymatic–physical schemes coupled with mechanical disruption. Based on this foundation, quantitative data are analyzed for PHB content in bacteria, mixed microbial cultures, cyanobacteria, and microalgae, along with extraction yields, polymer purity, and solvent recyclability in processes employing chlorine-free solvents, green solvents, and hydrophobic natural deep eutectic solvents (NaDESs) formulated with terpenes and organic acids. The analysis integrates mechanistic perspectives on NaDES–cell and NaDES–PHB interactions with solvent design criteria, biorefinery configurations, and preliminary evidence from technoeconomic and life cycle assessments. The findings identify NaDES as an up-and-coming platform capable of reconciling biopolymer quality with the principles of green chemistry while delineating critical gaps in recovery efficiency, viscosity management, solvent recycling, and pilot-scale validation. Full article
(This article belongs to the Section Biobased and Biodegradable Polymers)
Show Figures

Figure 1

15 pages, 1784 KB  
Article
Sulfur Polymer to Develop Low-Carbon Reclaimed Asphalt Pavements
by Mohammad Doroudgar, Mohammadjavad Kazemi, Shadi Saadeh, Mahour Parast and Elham H. Fini
Polymers 2026, 18(2), 168; https://doi.org/10.3390/polym18020168 - 8 Jan 2026
Abstract
The incorporation of reclaimed asphalt pavement (RAP) offers significant environmental benefits; however, its use is often limited by an increased susceptibility to cracking due to the insufficient elasticity of the severely aged RAP binder. This limitation is conventionally mitigated using polymers such as [...] Read more.
The incorporation of reclaimed asphalt pavement (RAP) offers significant environmental benefits; however, its use is often limited by an increased susceptibility to cracking due to the insufficient elasticity of the severely aged RAP binder. This limitation is conventionally mitigated using polymers such as styrene–butadiene styrene, which, despite their effectiveness, are costly and carbon intensive. This paper introduces a low-carbon sulfur-based ternary polymer developed through TiO2-catalyzed inverse vulcanization of elemental sulfur to be used as a modifier to address the abovementioned challenge at the asphalt mixture level. The sulfur polymer containing waste cooking oil and metal-rich biochar was incorporated into hot-mix asphalt having 25% RAP. The mixture specimens were evaluated before and after accelerated thermal and ultraviolet aging. Cracking resistance was measured using the Indirect Tensile Asphalt Cracking Test (IDEAL-CT), while resistance to rutting and moisture damage were assessed through the Hamburg Wheel Tracking Test (HWT). IDEAL-CT findings showed improved CTIndex values for the modified mixture under unaged conditions and after three days of thermal aging, with smaller variations noted after prolonged thermal aging and during the combined thermal–ultraviolet aging process. Results from the HWT test revealed that the addition of the sulfur polymer did not negatively impact resistance to rutting or moisture damage; all mixtures remained significantly below rutting failure thresholds. Furthermore, a simplified environmental analysis indicated that substituting 10 wt% of petroleum binder with the sulfur polymer lowered the binder’s cradle-to-gate global warming potential by around 11%. In summary, study results showed that the newly developed sulfur polymer system has the potential to improve cracking resistance even when exposed to select accelerated aging protocols while decreasing embodied carbon, thus endorsing its viability as a sustainable modifier for asphalt mixtures. Full article
Show Figures

Graphical abstract

17 pages, 2895 KB  
Article
Mechanical Reinforcement of Ethylene Vinyl Acetate (EVA) Nanocomposites Prepared from Masterbatch of Cellulose Nanofibers Wrapped with Ethylene Vinyl Alcohol (EVOH)
by Hyungrai Kim, Hyewon Lee, Seokkyoo Seo, Heejung Jang and Jeyoung Park
Polymers 2026, 18(2), 167; https://doi.org/10.3390/polym18020167 - 8 Jan 2026
Abstract
Ethylene–vinyl acetate (EVA) copolymers are widely used in packaging, films, foams, and adhesives because of their softness and optical clarity; however, their relatively low mechanical strength limits broader applications. In this study, a scalable masterbatch strategy was developed to reinforce EVA by introducing [...] Read more.
Ethylene–vinyl acetate (EVA) copolymers are widely used in packaging, films, foams, and adhesives because of their softness and optical clarity; however, their relatively low mechanical strength limits broader applications. In this study, a scalable masterbatch strategy was developed to reinforce EVA by introducing TEMPO-oxidized cellulose nanofibers (T-CNFs), pre-encapsulated within an ethylene–vinyl alcohol (EVOH) matrix. EVOH acted as a compatibilizer, establishing robust hydrogen bonding with T-CNFs (evidenced by a 2.73-fold increase in the hydrogen bonding index) and thereby promoting their uniform dispersion and strong interfacial adhesion in the hydrophobic EVA phase. The resulting nanocomposites demonstrated significant improvements in mechanical performance, achieving a maximum 1.54-fold increase in tensile strength and a 1.42-fold increase in Young’s modulus compared to neat EVA. These findings highlight a practical route to produce bio-based, mechanically enhanced EVA nanocomposites with potential for industrial-scale applications. Full article
Show Figures

Graphical abstract

15 pages, 2260 KB  
Article
Molecular Association Between Short Linear Maltodextrin and Ferulic Acid and the Exploration of Its Applicability
by Shigesaburo Ogawa, Daisuke Sugitani, Minenosuke Matsutani, Mizuho Takayashiki and Atsushi Kawano
Polymers 2026, 18(2), 166; https://doi.org/10.3390/polym18020166 - 7 Jan 2026
Abstract
Short linear maltodextrin (SLMD) mixtures, which are modified from starch, comprise approximately 10 linear glucose molecules. In this study, we explored the noncovalent molecular association of SLMD with ferulic acid (FA) in aqueous and solid systems, as well as its applicability to water-in-oil [...] Read more.
Short linear maltodextrin (SLMD) mixtures, which are modified from starch, comprise approximately 10 linear glucose molecules. In this study, we explored the noncovalent molecular association of SLMD with ferulic acid (FA) in aqueous and solid systems, as well as its applicability to water-in-oil (W/O) emulsion systems. Results showed that SLMD interacts with FA at a 1:1 molar ratio with an average equilibrium constant of 13.3 M−1 in pure water. Changes in ellipticity in the involved circular dichroism absorption spectrum and nuclear magnetic resonance spectroscopy revealed that multipoint direct interactions exist between SLMD and FA suggesting complex formation through inclusion. Complexation does not impede the radical scavenging ability of FA; instead, there is an additive effect with a slight contribution from SLMD. SLMD crystals with a high FA content were obtained for B-type amylose. However, no strong interaction between the solid forms of SLMD and FA was recognized. For both SLMD aq. and W/O emulsions with different FA concentrations, the UV protection effect increased due to the solubility enhancement of FA by SLMD. Overall, this study demonstrates the ability and potential importance of SLMD to associate with functional components in water and solid systems and the applicability to emulsified systems. Full article
Show Figures

Figure 1

17 pages, 10921 KB  
Article
Effect of Solvent Polarity on the Photo-Induced Polymerization-Induced Self-Assembly of Poly(tert-butyl acrylate)-block-Polystyrene near Room Temperature
by Tianyi Zhou, Jiawei Song and Gerald Guerin
Polymers 2026, 18(2), 165; https://doi.org/10.3390/polym18020165 - 7 Jan 2026
Abstract
Reversible addition-fragmentation chain transfer mediated polymerization-induced self-assembly (RAFT-PISA) offers an efficient approach for the preparation of polymeric nanomaterials, giving access not only to common structures such as spheres, worm-like micelles and vesicles, but also to much more complex meso-objects. However, when the core [...] Read more.
Reversible addition-fragmentation chain transfer mediated polymerization-induced self-assembly (RAFT-PISA) offers an efficient approach for the preparation of polymeric nanomaterials, giving access not only to common structures such as spheres, worm-like micelles and vesicles, but also to much more complex meso-objects. However, when the core forming block polymer possesses a high glass transition temperature (Tg), like poly(methyl methacrylate) or polystyrene (PS), high-order morphologies are particularly difficult to achieve since the glassy core can prevent polymer chain reorganization during PISA. To overcome this issue, we chose to perform visible light-initiated RAFT-PISA of poly(tert-butyl acrylate)-block-polystyrene (PtBA-b-PS) in solvent systems with varying degrees of polarity. More specifically, we prepared different mixtures of diisopropyl ether and ethanol and chose PtBA as macro-CTA due to its broad range of solubility. By varying the ratio between ethanol and diisopropyl ether, we could observe a transition from spherical micelles to vesicles via intermediate structures (e.g., necklace-like micelles, network-like micellar aggregates and wedding rings). This result was particularly remarkable since the experiments were performed near room temperature. We believe that these multiple morphologies were induced by the interactions between the solvent and the corona and the change in swelling of the polystyrene core with styrene monomer that facilitated its rearrangement. We anticipate that this approach could be applied to other polymeric systems with high Tgs. Full article
(This article belongs to the Section Polymer Networks and Gels)
Show Figures

Figure 1

23 pages, 5342 KB  
Article
The Effect of Humidity and UV Light Exposure on the Mechanical Properties of PA6 Matrix Reinforced with Short Carbon Fibers and Built by Additive Manufacturing
by Bernardo Reyes-Flores, Jorge Guillermo Díaz-Rodríguez, Efrain Uribe-Beas, Edgar R. López-Mena and Alejandro Guajardo-Cuéllar
Polymers 2026, 18(2), 164; https://doi.org/10.3390/polym18020164 - 7 Jan 2026
Abstract
This work presents results of nylon-based composites used in additive manufacturing (AM) subjected to 24, 48, 96, 168, 336, and 504 h of continuous exposure to UV and 50% humidity. Sample coupons were built on a Markforged Two® printer. To mimic UV [...] Read more.
This work presents results of nylon-based composites used in additive manufacturing (AM) subjected to 24, 48, 96, 168, 336, and 504 h of continuous exposure to UV and 50% humidity. Sample coupons were built on a Markforged Two® printer. To mimic UV exposure, samples were exposed to 253 nm UV light (UV–C), whereas for humidity, samples were placed at 50% relative humidity and 22 °C in a bi-distilled water atmosphere. The effects of said exposure were measured in tensile, Charpy impact energy, mass absorption, and Shore hardness D tests. Nylon gained 5.6% ± 0.48 mass after 504 h. For Charpy, absorbed energy went down from 0.463 J/mm2 to 0.28 J/mm2 at 504 h of humidity exposure. For Shore D, the variation goes from 59.1 ± 0.82 for zero exposure to 66.8 ± 2.5 at 504 h of UV exposure. Conversely, UV exposure induced an increase in Young’s modulus and Shore hardness, while significantly reducing impact energy to 0.32 J/mm2, indicating embrittlement confirmed by SEM analysis. FTIR analysis revealed hydrolytic degradation under humidity and photo-oxidative degradation under UV, affecting N–H and C=O bonds. These findings allow a designer to project the residual mechanical properties of a component up to its last day of service. Full article
Show Figures

Graphical abstract

12 pages, 4196 KB  
Article
Aging-Dependent Repair Performance and Interfacial Durability of New–Aged Waterproof Membrane Systems
by Chao Zhang, Xian Li, Xiaopeng Li, Longjiang Yang, Guojun Sun and Xingpeng Ma
Polymers 2026, 18(2), 163; https://doi.org/10.3390/polym18020163 - 7 Jan 2026
Abstract
Waterproofing systems frequently experience performance degradation during long-term service due to material aging and structural deformation, thereby necessitating localized repair interventions. The bonding interface between newly applied and existing membrane materials is a critical determinant of repair effectiveness. In this study, the aging-dependent [...] Read more.
Waterproofing systems frequently experience performance degradation during long-term service due to material aging and structural deformation, thereby necessitating localized repair interventions. The bonding interface between newly applied and existing membrane materials is a critical determinant of repair effectiveness. In this study, the aging-dependent repair performance of three representative waterproof membrane systems was systematically investigated using peel strength testing, low-temperature flexibility assessment, and interfacial morphology analysis under thermal–oxidative aging for 2, 5, 14, and 28 days. The results demonstrate that the homogeneous repair system based on ultra-thin reinforced self-adhesive polymer-modified bituminous membranes exhibits superior overall performance, maintaining the highest peel strength with only minor degradation even after 28 days of accelerated aging. In contrast, the polymeric butyl self-adhesive membrane subjected to homogeneous repair exhibited rapid adhesion degradation after 14 days, whereas the heterogeneous repair system showed improved stability during intermediate aging stages. Low-temperature flexibility testing further revealed that root-resistant bituminous membranes exhibited a slower aging rate, with a cracking temperature increase of 7 °C after 28 days, compared to a 10 °C increase observed for ultra-thin self-adhesive membranes. These quantitative findings provide clear guidance for the selection of appropriate repair membrane systems under varying aging conditions in waterproofing engineering, particularly for maintenance and rehabilitation applications. Full article
(This article belongs to the Section Polymer Analysis and Characterization)
Show Figures

Figure 1

14 pages, 16690 KB  
Article
Experimental Study on Thermal Oxidative Aging Effects on the Performance and Compatibility of Different Types of Waterproofing Membranes
by Shaochun Li, Yang Du, Wenbin Geng, Ruiyun Zhang, Guojun Sun and Xingpeng Ma
Polymers 2026, 18(2), 162; https://doi.org/10.3390/polym18020162 - 7 Jan 2026
Abstract
As urbanization and extreme weather conditions intensify, the comprehensive performance requirements for building waterproofing systems are becoming more demanding. Single-layer waterproof membranes often struggle to meet usage requirements in complex environments, leading to the gradual rise of composite waterproof systems. This paper selects [...] Read more.
As urbanization and extreme weather conditions intensify, the comprehensive performance requirements for building waterproofing systems are becoming more demanding. Single-layer waterproof membranes often struggle to meet usage requirements in complex environments, leading to the gradual rise of composite waterproof systems. This paper selects three different types of waterproof membranes, ultra-thin reinforced self-adhesive polymer-modified bitumen waterproof membrane, polymer self-adhesive waterproof membrane, and polymer-modified bitumen root penetration-resistant waterproof membrane, and conducts a systematic study on their compatibility and durability. Through tensile performance, low-temperature flexibility, and peel compatibility tests, combined with thermal oxidative aging experiments at different aging times, the mechanical behavior, low-temperature adaptability, and interfacial bonding characteristics of the membranes were analyzed. The results show that the three membranes differ significantly in tensile performance. The root penetration-resistant membrane has the highest strength but is more brittle, the polymer self-adhesive membrane has lower strength but better stability, and the ultra-thin reinforced membrane performs better initially but lacks durability. In terms of low-temperature flexibility, the root penetration-resistant membrane demonstrates superior crack resistance and aging resistance. These divergent aging responses are closely related to differences in reinforcement structure, polymer modification, and the thermal–oxidative sensitivity of the bituminous adhesive layers. Peel compatibility tests show that the peel strength of the composite membranes of the ultra-thin reinforced and polymer self-adhesive membranes is significantly improved, indicating a good synergistic effect and compatibility. Overall, different waterproof membranes exhibit distinct compatibility mechanisms and aging patterns in composite applications, providing a scientific basis for the design and optimization of composite waterproof systems. Full article
(This article belongs to the Section Polymer Membranes and Films)
Show Figures

Figure 1

16 pages, 2734 KB  
Article
Experimental Study on the Impact Resistance of UHMWPE Flexible Film Against Hypervelocity Particles
by Chen Liu, Zhirui Rao, Hao Liu, Changlin Zhao, Yifan Wang and Aleksey Khaziev
Polymers 2026, 18(2), 161; https://doi.org/10.3390/polym18020161 - 7 Jan 2026
Abstract
The increasing threat posed by micrometeoroids and orbital debris to in-orbit spacecraft necessitates the development of lightweight and deformable shielding systems capable of withstanding hypervelocity impacts. Ultra-high-molecular-weight polyethylene (UHMWPE) films, owing to their high specific strength and energy-absorption capacity, present a promising candidate [...] Read more.
The increasing threat posed by micrometeoroids and orbital debris to in-orbit spacecraft necessitates the development of lightweight and deformable shielding systems capable of withstanding hypervelocity impacts. Ultra-high-molecular-weight polyethylene (UHMWPE) films, owing to their high specific strength and energy-absorption capacity, present a promising candidate for such applications. However, the hypervelocity impact response of thin, highly oriented UHMWPE films—distinct from bulk plates or composites—remains poorly understood, particularly for micron-scale particles at velocities relevant to space debris (≥8 km/s). In this study, we systematically investigate the impact resistance of 0.1 mm UHMWPE films using a plasma-driven microparticle accelerator and a hypervelocity dust gun to simulate impacts by micron-sized Al2O3 and Fe particles at velocities up to ~8.5 km/s. Through detailed analysis of crater morphology via scanning electron microscopy, we identify three distinct damage modes: plastic-dominated craters (Type I), fracture-melting craters (Type II), and perforations (Type III). These modes are correlated with impact energy and particle size, revealing the material’s transition from large-scale plastic deformation to localized thermal softening and eventual penetration. Crucially, we provide quantitative penetration thresholds (e.g., 2.25 μm Al2O3 at 8.5 km/s) and establish a microstructure-informed damage classification that advances the fundamental understanding of UHMWPE film behavior under extreme strain rates. Our findings not only elucidate the energy-dissipation mechanisms in oriented polymer films but also offer practical guidelines for the design of next-generation, flexible spacecraft shielding systems. Full article
Show Figures

Figure 1

16 pages, 1615 KB  
Article
Effect of Different Luting Protocols on the Bond Strength of Fiber-Reinforced CAD/CAM Blocks
by Irem Buyukates, Sufyan Garoushi, Pekka K. Vallittu, Sadullah Uctasli and Lippo Lassila
Polymers 2026, 18(2), 160; https://doi.org/10.3390/polym18020160 - 7 Jan 2026
Abstract
The aim was to evaluate the shear-bond strength (SBS) of experimental short fiber-reinforced CAD/CAM composites (SFRC-CAD) and commercial CAD/CAM composites (Cerasmart 270) to different luting resin composites before and after hydrothermal aging. Discs (2 mm) obtained from SFRC-CAD and Cerasmart 270 were air-particle [...] Read more.
The aim was to evaluate the shear-bond strength (SBS) of experimental short fiber-reinforced CAD/CAM composites (SFRC-CAD) and commercial CAD/CAM composites (Cerasmart 270) to different luting resin composites before and after hydrothermal aging. Discs (2 mm) obtained from SFRC-CAD and Cerasmart 270 were air-particle abraded and treated with a primer (G-CEM One Enhancing Primer) with or without universal adhesive (G2 Bond). A fiber-reinforced flowable composite (everX Flow) and a self-adhesive resin cement (G-CEM One) were used as luting materials under direct or indirect curing conditions. Thirty-two experimental groups were determined based on restorative material, bonding protocol, luting resin, curing technique, and aging procedure (n = 8/group). SBS was measured after 24 h of water storage or following hydrothermal aging. Data were analyzed using nonparametric statistical tests (p < 0.05). No statistically significant differences in SBS were observed between everX Flow and G-CEM One regardless of the bond application (p > 0.05). SFRC-CAD bonded with everX Flow and universal adhesive demonstrated significantly higher SBS than the corresponding Cerasmart groups (p < 0.05), whereas no significant differences were observed between comparable groups when G-CEM One was used. Failure mode analysis showed predominantly adhesive and mixed failures, with no cohesive failures within SFRC-CAD. Overall, the everX Flow proved to be an effective luting material, indicating that this material may be suitable for luting CAD/CAM indirect restorations. Full article
(This article belongs to the Section Polymer Applications)
Show Figures

Graphical abstract

14 pages, 1382 KB  
Article
Synthesis and Properties of Polyarylene Ether Nitrile and Polyphenylene Sulfone Copolymers
by Azamat Zhansitov, Kamila Shakhmurzova, Zhanna Kurdanova, Azamat Slonov, Ilya Borisov, Elena Rzhevskaya, Ismel Musov, Artur Baykaziev and Svetlana Khashirova
Polymers 2026, 18(2), 159; https://doi.org/10.3390/polym18020159 - 7 Jan 2026
Viewed by 2
Abstract
Copolymers of polyphenylene sulfone and polyarylene ether nitrile were synthesized using nucleophilic polycondensation. 2,6-difluorobenzonitrile (DFBN), 4,4′-dihydroxybiphenyl, and 4,4′-dichlorodiphenyl sulfone were used as monomers. The structure of the obtained copolymers was confirmed by means of IR spectroscopy, and their solubility in various solvents was [...] Read more.
Copolymers of polyphenylene sulfone and polyarylene ether nitrile were synthesized using nucleophilic polycondensation. 2,6-difluorobenzonitrile (DFBN), 4,4′-dihydroxybiphenyl, and 4,4′-dichlorodiphenyl sulfone were used as monomers. The structure of the obtained copolymers was confirmed by means of IR spectroscopy, and their solubility in various solvents was studied. Thermal properties were studied using differential scanning calorimetry (DSC) and thermogravimetric analysis, as well as a set of basic mechanical properties. It was found that both thermal stability and glass transition temperature are virtually independent of the copolymer composition, while samples with a DFBN monomer content of more than 75% exhibit a melting peak in the region of 357 °C on the DSC curves, indicating an increase in the degree of crystallinity, accompanied by a deterioration in the solubility of these polymers. With increasing DFBN content, a uniform increase in elastic modulus is observed, and both bending and tensile strength increase significantly. However, the introduction of DFBN segments into the polyphenylene sulfone structure leads to a decrease in impact strength. Full article
Show Figures

Figure 1

14 pages, 3172 KB  
Article
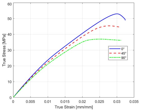
Influence of Strain-Offset-Based Yield Definitions on the Accuracy of Finite Element Analysis of 3D-Printed PLA with Different Raster Orientations
by Moiz Majeed, Rafael Silva, Djbril Nd. Faye and Paulo Pedrosa
Polymers 2026, 18(2), 158; https://doi.org/10.3390/polym18020158 - 7 Jan 2026
Viewed by 11
Abstract
Computational mechanics is one of the techniques used to predict and optimize material behavior and structural performance. However, modeling a complex material model and achieving an accurate response in finite element analysis (FEA) remains a challenge. This study investigates the mechanical material properties [...] Read more.
Computational mechanics is one of the techniques used to predict and optimize material behavior and structural performance. However, modeling a complex material model and achieving an accurate response in finite element analysis (FEA) remains a challenge. This study investigates the mechanical material properties of 3D-printed polylactic acid (PLA) by integrating tensile testing and FEA to optimize material behavior. The tensile testing was conducted on three different raster orientations (0°, 45°, and 90°), and the resultant stress–strain data were used to calibrate FEA models. For FEA nonlinear material modeling, isotropic elasticity was combined with a multilinear plasticity model, where the yield stress values were determined by using the strain offset method. Six different strain offsets (SOs), i.e., 0%, 0.007%, 0.01%, 0.02%, 0.05%, and 0.2%, were analyzed to evaluate their impact on the accuracy of the FEA results against the experimental results. The results highlight a significant influence of strain offset selection on the plastic region estimation and overall accuracy. The commonly used 0.2% strain offset method (SOM) significantly overestimated the plastic region, while 0% strain offset provided the most accurate simulation response. These results emphasize the importance of selecting the correct yield stress value for 3D-printed nonlinear material modeling in FEA simulations. Full article
(This article belongs to the Special Issue Polymeric Materials in 3D Printing, 2nd Edition)
Show Figures

Graphical abstract

16 pages, 1739 KB  
Article
The Effect of Enzyme Synergism on Generation of Fermentable Sugars After Alkali Pretreatment of Wheat Straw, Assessed and Predicted Using Multivariate Analysis
by Yufa Gao, Zhe Li, Zhibin Li, Xitao Luo, Mohammad Ali Asadollahi, Safoora Mirmohamadsaghi, Guang Yu and Bin Li
Polymers 2026, 18(2), 157; https://doi.org/10.3390/polym18020157 - 7 Jan 2026
Viewed by 14
Abstract
Alkaline pretreatment of wheat straw could significantly augment enzymatic hydrolysis for producing fermentable sugars, which is a pivotal process for the conversion of lignocellulosic biomass into advanced biofuels, biomaterials, or biochemicals. Yet, the enzymatic conversion process system is complex and multivariate, and study [...] Read more.
Alkaline pretreatment of wheat straw could significantly augment enzymatic hydrolysis for producing fermentable sugars, which is a pivotal process for the conversion of lignocellulosic biomass into advanced biofuels, biomaterials, or biochemicals. Yet, the enzymatic conversion process system is complex and multivariate, and study on the interaction mechanism of the key parameters in enzymatic hydrolysis is still lacking. Therefore, in this work, multivariate data analysis (MDA) (i.e., principal component analysis (PCA) and partial least square (PLS)) was conducted to reveal the inherent relationship and the significance of these factors in a modified alkali pretreatment system. A robust model, developed from 140 enzymatic hydrolysis datasets, was validated with an additional 20 datasets, demonstrating the predictive prowess of the PLS model. MDA identified that cellulase dosage, mechanical refining, dye adsorption value, and solid content were paramount variables. The integration of cellulase and xylanase notably elevated sugar yields and the conversion rates of carbohydrates, surpassing those of single enzyme treatments. The model’s predictive accuracy, reflected in the close alignment between observed and predicted data, underscores its suitability for optimizing and controlling the enzymatic hydrolysis process. This study paves a way for data-driven strategies to enhance industrial bioprocessing of lignocellulosic feedstocks. Full article
(This article belongs to the Section Polymer Analysis and Characterization)
Show Figures

Figure 1

26 pages, 9547 KB  
Article
Industrial Validation and Mechanical Characterization of SMA Mixtures Stabilized with Recycled Polymeric Fibers from Waste Tires
by Alejandra Calabi-Floody, Gonzalo Valdés-Vidal, Cristian Mignolet-Garrido, Cristian Díaz-Montecinos and Claudio Fonseca-Ibarra
Polymers 2026, 18(2), 156; https://doi.org/10.3390/polym18020156 - 7 Jan 2026
Abstract
This study investigates the industrial validation of a granular additive derived from waste tire textile fibers (WTTF) developed to replace the conventional cellulose stabilizing additive in stone mastic asphalt (SMA) mixtures while enhancing their mechanical performance. Building on previous laboratory-scale findings, this work [...] Read more.
This study investigates the industrial validation of a granular additive derived from waste tire textile fibers (WTTF) developed to replace the conventional cellulose stabilizing additive in stone mastic asphalt (SMA) mixtures while enhancing their mechanical performance. Building on previous laboratory-scale findings, this work evaluates the feasibility and mechanical behavior of this recycled-fiber additive under real asphalt-plant production conditions, advancing a sustainable solution aligned with circular economy principles. Three asphalt mixtures were fabricated in a batch plant: a reference SMA (SMA-R) containing a commercial cellulose additive, an SMA incorporating the WTTF additive (SMA-F), and a reference hot mix asphalt (HMA-R). The WTTF additive was incorporated in a 1:1 proportion relative to the cellulose additive. Performance was assessed through tests of cracking resistance (Fénix test), stiffness modulus, fatigue resistance (four-point bending test), moisture susceptibility (ITSR), and resistance to permanent deformation (Hamburg wheel tracking). Industrial validation results showed that the SMA-F mixture met the design criteria and achieved superior mechanical performance relative to the reference mixtures. In particular, SMA-F exhibited greater ductility and toughness at low temperatures, reduced susceptibility to moisture-induced damage, and higher fatigue resistance, with an increase in fatigue durability of up to 44% compared to SMA-R. The results confirm that the WTTF additive is both feasible and scalable for industrial production, offering a solution that not only improves pavement mechanical performance but also promotes the valorization of a challenging waste material. Full article
Show Figures

Figure 1

24 pages, 4416 KB  
Article
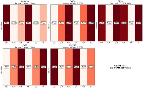
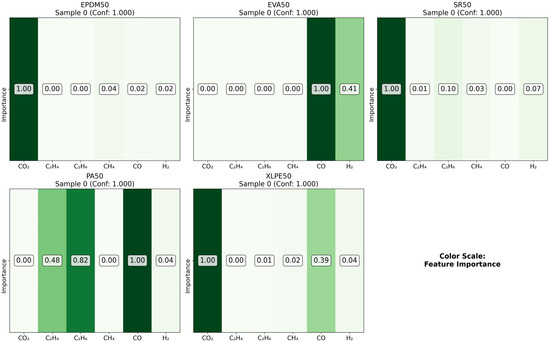
A Gas Production Classification Method for Cable Insulation Materials Based on Deep Convolutional Neural Networks
by Zihao Wang, Yinan Chai, Jingwen Gong, Wenbin Xie, Yidong Chen and Wei Gong
Polymers 2026, 18(2), 155; https://doi.org/10.3390/polym18020155 - 7 Jan 2026
Viewed by 6
Abstract
As a non-invasive diagnostic technique, evolved gas analysis (EGA) holds significant value in assessing the insulation conditions of critical equipment such as power cables. Current analytical methods face two major challenges: insulation materials may undergo multiple aging mechanisms simultaneously, leading to interfering characteristic [...] Read more.
As a non-invasive diagnostic technique, evolved gas analysis (EGA) holds significant value in assessing the insulation conditions of critical equipment such as power cables. Current analytical methods face two major challenges: insulation materials may undergo multiple aging mechanisms simultaneously, leading to interfering characteristic gases; and traditional approaches lack the multi-label recognition capability to address concurrent fault patterns when processing mixed-gas data. These limitations hinder the accuracy and comprehensiveness of insulation condition assessment, underscoring the urgent need for intelligent analytical methods. This study proposes a deep convolutional neural network (DCNN)-based multi-label classification framework to accurately identify the gas generation characteristics of five typical power cable insulation materials—ethylene propylene diene monomer (EPDM), ethylene-vinyl acetate copolymer (EVA), silicone rubber (SR), polyamide (PA), and cross-linked polyethylene (XLPE)—under fault conditions. The method leverages concentration data of six characteristic gases (CO2, C2H4, C2H6, CH4, CO, and H2), integrating modern data analysis and deep learning techniques, including logarithmic transformation, Z-score normalization, multi-scale convolution, residual connections, channel attention mechanisms, and weighted binary cross-entropy loss functions, to enable simultaneous prediction of multiple degradation states or concurrent fault pattern combinations. By constructing a gas dataset covering diverse materials and operating conditions and conducting comparative experiments to validate the proposed DCNN model’s performance, the results demonstrate that the model can effectively learn material-specific gas generation patterns and accurately identify complex label co-occurrence scenarios. This approach provides technical support for improving the accuracy of insulation condition assessment in power cable equipment. Full article
(This article belongs to the Section Artificial Intelligence in Polymer Science)
Show Figures

Figure 1

Previous Issue
Back to TopTop