Next Article in Journal
Enhanced Mechanical and Thermal Properties of Epoxy Resins Through Hard–Soft Biphasic Synergistic Toughening with Modified POSS/Polysulfide Rubber
Previous Article in Journal
Transition Behavior in Blended Material Large Format Additive Manufacturing
 
 
Font Type:
Arial Georgia Verdana
Font Size:
Aa Aa Aa
Line Spacing:
Column Width:
Background:
Article

Hybrid Phy-X/PSD–Geant4 Assessment of Gamma and Neutron Shielding in Lead-Free HDPE Composites Reinforced with High-Z Oxides

1
Department of Physics, College of Science, Qassim University, Buraydah 51452, Saudi Arabia
2
Department of Computer Science, College of Engineering and Information Technology, Onaizah Colleges, Qassim 56447, Saudi Arabia
*
Authors to whom correspondence should be addressed.
Polymers 2026, 18(2), 179; https://doi.org/10.3390/polym18020179
Submission received: 15 December 2025 / Revised: 5 January 2026 / Accepted: 7 January 2026 / Published: 9 January 2026
(This article belongs to the Section Polymer Composites and Nanocomposites)

Abstract

This study evaluates lead-free high-density polyethylene (HDPE) composites reinforced with high-Z oxides (Bi2O3, WO3, Gd2O3, TeO2, and a Bi2O3/WO3 hybrid) as lightweight materials for gamma-ray and fast-neutron shielding. A hybrid computational framework combining Phy-X/PSD with Geant4 Monte Carlo simulations was used to obtain key shielding parameters, including the linear and mass attenuation coefficients (μ, μ/ρ), half-value layer (HVL), mean free path (MFP), effective atomic number (Zeff), effective electron density (Neff), exposure and energy-absorption buildup factors (EBF, EABF), and fast-neutron removal cross section (ΣR). The incorporation of heavy oxides produced a pronounced improvement in gamma-ray attenuation, particularly at low energies, where the linear attenuation coefficient increased from below 1 cm−1 for neat HDPE to values exceeding 130–150 cm−1 for Bi- and W-rich composites. In the intermediate Compton-scattering region (≈0.3–1 MeV), all oxide-reinforced systems maintained a clear attenuation advantage, with μ values around 0.12–0.13 cm−1 compared with ≈0.07 cm−1 for pure HDPE. At higher photon energies, the dense composites continued to outperform the polymer matrix, yielding μ values of approximately 0.07–0.09 cm−1 versus ≈0.02 cm−1 for HDPE due to enhanced pair-production interactions. The Bi2O3/WO3 hybrid composite exhibited attenuation behavior comparable, and in some regions slightly exceeding, that of the single-oxide systems, indicating that mixed fillers can effectively balance density and shielding efficiency. Oxide addition significantly reduced exposure and energy-absorption buildup factors below 1 MeV, with a moderate increase at higher energies associated with secondary radiation processes. Fast-neutron removal cross sections were also modestly enhanced, with Gd2O3-containing composites showing the highest values due to the combined effects of hydrogen moderation and neutron capture. The close agreement between Phy-X/PSD and Geant4 results confirms the reliability of the dual-method approach. Overall, HDPE composites containing about 60 wt.% oxide filler offer a practical compromise between shielding performance, manufacturability, and environmental safety, making them promising candidates for medical, nuclear, and aerospace radiation-protection applications.

1. Introduction

Radiation shielding is essential in nuclear research and engineering to safeguard people, patients, and sensitive equipment from ionizing radiation [1,2]. Gamma rays, a form of ionizing radiation, pose particular challenges because their strong penetration demands dense, high-atomic-number (Z) materials for effective attenuation [3]. Lead has historically been considered the standard shielding material because of its high density (11.34 g/cm3) and atomic number (Z = 82). However, the increasing concern over lead toxicity and its detrimental environmental and health effects has restricted its use, especially in medical, industrial, and environmental applications [4]. Concrete remains widely used for its affordability and availability; however, it requires large thicknesses to achieve adequate attenuation, resulting in heavy, non-portable shielding structures.
The shortcomings of conventional shields have encouraged the development of innovative materials that combine strong attenuation performance with low toxicity, reduced weight, and mechanical flexibility. Glass and ceramic matrices reinforced with heavy oxides such as WO3, Bi2O3, and TeO2 have shown improved gamma-ray shielding capability, but their brittleness and limited mechanical strength constrain practical applications [5,6,7,8]. Similarly, concrete enhanced with barite or magnetite demonstrates higher shielding efficiency but remains unsuitable where lightweight or mobile designs are required [9].
Polymers, particularly high-density polyethylene (HDPE), present an attractive alternative because of their low density, processability, and ability to incorporate high-Z fillers [10]. HDPE is especially valuable in mixed radiation fields owing to its high hydrogen content, which moderates neutrons while enhancing photon attenuation when combined with heavy reinforcements [11]. This dual capability enables HDPE composites to serve as lightweight, multifunctional materials for both gamma- and neutron-radiation protection. Earlier studies examined PbO-filled HDPE composites that exhibited strong gamma-ray attenuation; however, the inherent toxicity of lead limited their practical applicability [12,13]. Subsequent research explored environmentally benign configurations, including recycled HDPE reinforced with alternative heavy-metal oxides and polymer-based layered composite systems [14].
Among environmentally benign candidates, Bi2O3 has emerged as one of the most efficient and non-toxic lead-free substitutes, owing to its high atomic number (Z = 83), chemical stability, and environmental safety [15,16,17]. Similarly, WO3, Gd2O3, and TeO2 have been recognized for their strong photon-interaction cross sections, thermal stability, and compatibility with polymer matrices [18,19,20,21]. Although these oxides have individually shown excellent attenuation capability, only a few studies have systematically compared their combined influence when incorporated into polymer composites. Moreover, hybrid analyses that integrate Monte Carlo (Geant4) simulations and semi-empirical (Phy-X/PSD) methods for HDPE-based oxide systems remain scarce—particularly across the wide photon-energy range covering photoelectric, Compton, and pair-production regions. This absence of integrated evaluation defines the knowledge gap addressed in the present work. In particular, no previous study has provided a unified, side-by-side assessment of Bi2O3, WO3, Gd2O3, TeO2, and their hybrid formulations within an HDPE matrix using a dual-method framework that spans the entire 0.015–15 MeV photon-energy range, which establishes the core novelty of the present investigation.
Building on this context, the present study systematically investigates six HDPE-based composites: pure HDPE (100 wt.%), HDPE + 60 wt.% Bi2O3, HDPE + 60 wt.% WO3, HDPE + 60 wt.% Gd2O3, HDPE + 60 wt.% TeO2, and a hybrid formulation containing HDPE + 30 wt.% Bi2O3 + 30 wt.% WO3. These compositions were designed to balance high-Z reinforcement with polymer flexibility, enabling effective gamma- and neutron-radiation attenuation while maintaining manufacturability and non-toxicity. The dual characteristics of HDPE—its lightweight nature and mechanical resilience—combined with the high-density oxides create composites that are safer to handle, easier to shape, and adaptable for both portable and fixed shielding applications. To quantitatively evaluate their performance, a hybrid computational framework was employed, coupling Phy-X/PSD for semi-empirical calculations of photon- and neutron-interaction parameters with Geant4 Monte Carlo simulations for detailed photon-transport modeling. This integrative approach bridges analytical and stochastic methods, providing a consistent basis for assessing how filler composition and photon energy affect attenuation behavior. The results support the development of sustainable, lead-free polymer-oxide shielding materials suitable for medical, nuclear, aerospace, and security applications.

2. Research Significance and Novelty

This study addresses a clear gap in the literature. It provides a unified, cross-validated comparison of several high-Z oxide fillers within an HDPE matrix, offering insight not available in previous shielding research. By integrating Phy-X/PSD with Geant4, the work combines complementary analytical and Monte Carlo approaches, strengthening the reliability of attenuation estimates across the entire 0.015–15 MeV energy range. The evaluation of the Bi2O3/WO3 hybrid composite adds particular novelty, as its potential to balance density, attenuation performance, and practical manufacturability has not been previously examined within a dual-method framework. Together, these elements define the significance of the present study and its contribution to the development of safer, more efficient, and lead-free radiation-shielding materials.

3. Materials and Methods

3.1. Materials and Composite Design

The investigated materials included pure HDPE and five HDPE-based composites reinforced with different high-Z oxide fillers: Bi2O3, WO3, Gd2O3, TeO2, and a Bi2O3/WO3 hybrid mixture (30/30 wt.%). Each composite was formulated with 40 wt.% HDPE and 60 wt.% total oxide reinforcement, except for the hybrid system, which incorporated 30 wt.% of each oxide. The selected loading range is consistent with experimentally investigated HDPE-based shielding composites, where oxide concentrations up to approximately 50 wt.% are commonly reported. For example, Bi-filled HDPE systems reported by Sheela et al. (2019) [22] and Almuqrin et al. (2022) [23] fall within this range and demonstrate that such compositions are practically achievable and suitable for producing homogeneous HDPE–oxide mixtures.
A 60 wt.% filler loading was selected as a near-upper practical level, consistent with previous experimental polymer-based shielding composites in which 60 wt.% heavy-oxide fillers were successfully fabricated [24]. This loading provides a substantial increase in composite density and photon-interaction probability while maintaining acceptable mechanical integrity and processability, as generally reported for polymer matrices approaching high filler fractions. Accordingly, the adopted weight fractions were chosen to reflect experimentally supported, fabricable polymer–oxide composites while enabling meaningful enhancements in gamma- and neutron-attenuation behavior.
The selected fillers were chosen to provide synergistic attenuation mechanisms across different photon-energy ranges, including photoelectric absorption at low energies, Compton scattering at intermediate energies, and pair production at high energies. The adopted theoretical densities of the constituent materials were 0.94 g·cm−3 for HDPE, 8.90 g·cm−3 for Bi2O3, 7.16 g·cm−3 for WO3, 7.41 g·cm−3 for Gd2O3, and 5.99 g·cm−3 for TeO2. Using these values, the composite densities were calculated according to the mixture rule [25] based on the specified weight fractions, and the resulting compositions and densities are summarized in Table 1. These defined densities were subsequently used as fixed input parameters in both Phy-X/PSD and Geant4 simulations to ensure consistency across the two computational approaches.

3.2. Theoretical Calculations

The linear attenuation coefficient (μ, cm−1) quantifies the probability per unit path length that a photon interacts with a material and was determined from the Beer–Lambert exponential attenuation law, expressed as I = I 0 e μ x , where I0 is the incident intensity, I is the transmitted intensity after passing through a material of thickness x, and μ is the linear attenuation coefficient [26]. The mass attenuation coefficient (μ/ρ), defined as μ normalized by material density, provides a density-independent measure of photon-absorption efficiency and allows direct comparison between materials of different compositions and compactness [27].
The half-value layer (HVL = ln(2)/μ) represents the thickness required to reduce the photon flux by 50%, while the mean free path (MFP = 1/μ) denotes the average distance traveled by photons between successive interactions [27]. The effective atomic number (Zeff) and effective electron density (Neff) were obtained from the total atomic and electronic cross-sections, describing the composite’s overall photon-interaction strength across different energy regions. Zeff describes the weighted atomic number of the composite and exhibits a strong dependence on photon energy: it is highest in the photoelectric-absorption region, where the interaction cross section scales approximately as Z 4 5 ; it decreases in the Compton-scattering region, where photon interactions depend primarily on electron density; and it increases slightly again at multi-MeV energies due to pair-production contributions. N eff (electrons· g 1 ) quantifies the number of electrons available for photon interactions per unit mass and follows a similar energy-dependent trend [28].
For assessing the contribution of scattered photons, the exposure buildup factor (EBF) and the energy-absorption buildup factor (EABF) were included. The EBF quantifies the increase in photon exposure resulting from multiple scattering events within the material, whereas the EABF represents the buildup of absorbed dose arising from these secondary photons. Both quantities depend strongly on photon energy and penetration depth, expressed in mean free paths. They remain small at low photon energies where the photoelectric effect dominates, increase significantly in the Compton-scattering region where wide-angle scattering is most prevalent, and show moderate growth at higher energies due to secondary photons generated by pair-production interactions. In this study, EBF and EABF were evaluated according to the ANSI/ANS-6.4.3-1991 methodology as implemented in the Phy-X/PSD platform [29].
For neutron shielding, the fast-neutron macroscopic removal cross section ( R , cm−1) represents the probability per unit path length that fast neutrons are removed from the uncollided beam through their first interaction within a material. R values were evaluated using the Phy-X/PSD platform, which couples elemental mass removal cross sections with the composite’s composition and density. The platform requires elemental mass fractions wᵢ. The relation follows the standard mixture rule to obtain the overall fast-neutron removal cross section (FNRC) as expressed by Equations (1) and (2) [30]:
R ρ = i w i R ρ i
R = ρ i w i R ρ i
where R ρ i is the i-th element mass removal cross section for fast neutrons (cm2·g−1), ρ is the bulk composite density (g·cm−3), and R is the composite macroscopic removal cross section (cm−1).

3.3. Phy-X/PSD Computations

The Phy-X/PSD platform [31] was used to compute μ, μ/ρ, HVL, MFP, Zeff, Neff, R , and the buildup factors. This semi-empirical tool integrates evaluated photon- and neutron-interaction data within its internal database. Input parameters included elemental weight fractions and the calculated composite densities from Table 1, assuming a homogeneous medium and a monoenergetic narrow-beam geometry. All photon-related quantities were evaluated across the 0.015–15 MeV range for consistent comparison with Monte Carlo photon results.
For neutrons, the fast-neutron macroscopic removal cross section (ΣR) was obtained using the ANSI/ANS-6.4.3 methodology implemented in Phy-X/PSD. In this context, “fast neutrons” refer approximately to the 0.5–10 MeV region for which elemental removal cross sections are tabulated. The reported ΣR value represents the standard spectrum-averaged fast-neutron removal coefficient used for comparative material-level evaluation in shielding studies.

3.4. Geant4 Simulations

The Geant4 toolset (version 11.0.2) [32], developed at CERN, was used to simulate photon transport and interaction in the prepared composites. This object-oriented Monte Carlo framework, implemented in C++, allows a precise definition of material composition, source characteristics, physical interaction models, and detector geometry.
A monoenergetic, collimated photon beam (15 keV–15 MeV) was directed perpendicularly onto each composite slab, with a virtual detector positioned downstream to record transmitted flux. The selected physics list included photoelectric absorption, Compton scattering, pair production, and all secondary-particle transport processes, enabling an accurate description of photon propagation, energy deposition, and secondary-radiation generation in high-Z-reinforced polymers. Figure 1 illustrates the Geant4 setup for gamma-ray attenuation: a radioactive source emits photons through the HDPE sample toward a NaI(Tl) detector.

4. Results and Discussion

4.1. Gamma-Ray Attenuation Behavior (Linear Attenuation Coefficient, μ)

Figure 2 presents the variation in μ with photon energy (0.015–15 MeV) for the HDPE-based composites (C1–C6, as defined in Table 1). The Phy-X/PSD and Geant4 results exhibit very close agreement across the entire photon-energy range, confirming the reliability of both computational approaches. For C1 (HDPE), μ decreases steadily from ≈0.7 cm−1 at 0.015 MeV to ≈0.16 cm−1 at 0.1 MeV, then to ≈0.07 cm−1 at 1 MeV, and finally ≈0.02 cm−1 at 15 MeV. This smooth decline reflects the expected transition from photoelectric absorption at low energies to Compton scattering and pair-production processes at higher energies. Incorporating high-Z oxides produces a marked enhancement of μ, particularly in the low-energy region. At 0.015 MeV, μ increases to ≈150 cm−1 (Geant4) and ≈153 cm−1 (Phy-X/PSD) for C4 (WO3), ≈142–143 cm−1 for C3 (Bi2O3/WO3), ≈135 cm−1 for C2 (Bi2O3), ≈100 cm−1 for C5 (Gd2O3), and ≈50 cm−1 for C6 (TeO2), a dramatic improvement compared with neat HDPE (≈0.7 cm−1). Distinct discontinuities between 30 and 90 keV correspond to the K-absorption edges of Te, Gd, W, and Bi, accurately resolved by both methods. The pronounced enhancement in this low-energy region reflects the steep Zn dependence (n ≈ 4–5) of the photoelectric effect, which strongly favors composites containing high-Z fillers such as Bi2O3 and WO3. Although Bi2O3 contains a higher atomic number element than WO3, the attenuation performance of HDPE-based composites depends on several factors beyond atomic number alone. In the present composites, the WO3-filled system exhibits comparable or slightly higher attenuation due to the combined effects of composite density and energy-dependent photon interaction mechanisms, particularly in the low-energy region where the photoelectric effect dominates. At intermediate and high photon energies, the attenuation performance of WO3- and Bi2O3-filled HDPE becomes very similar, indicating that density-weighted interaction probabilities, rather than atomic number alone, govern the overall shielding behavior.
At 1 MeV, μ values cluster around ≈0.13 cm−1 for C2–C4, ≈0.12 cm−1 for C5–C6, and ≈0.07 cm−1 for HDPE, confirming that the oxide-filled systems retain a clear attenuation advantage in the Compton-dominant region. At 10–15 MeV, μ remains ≈ 0.07–0.09 cm−1 for the composites versus ≈ 0.02 cm−1 for HDPE, indicating that dense fillers continue to enhance pair-production interactions at high photon energies. This sustained high-energy enhancement is linked to the increasing probability of electron–positron pair production, whose cross section grows with photon energy and is further amplified by the higher density of oxide-filled composites.
Overall, C4 (WO3) exhibits the highest μ across nearly all energies, followed by C3 (Bi2O3/WO3) and C2 (Bi2O3), while C5 (Gd2O3) and C6 (TeO2) show moderate enhancement, and C1 (HDPE) remains the least attenuating.

4.2. Mass Attenuation Coefficient (μ/ρ)

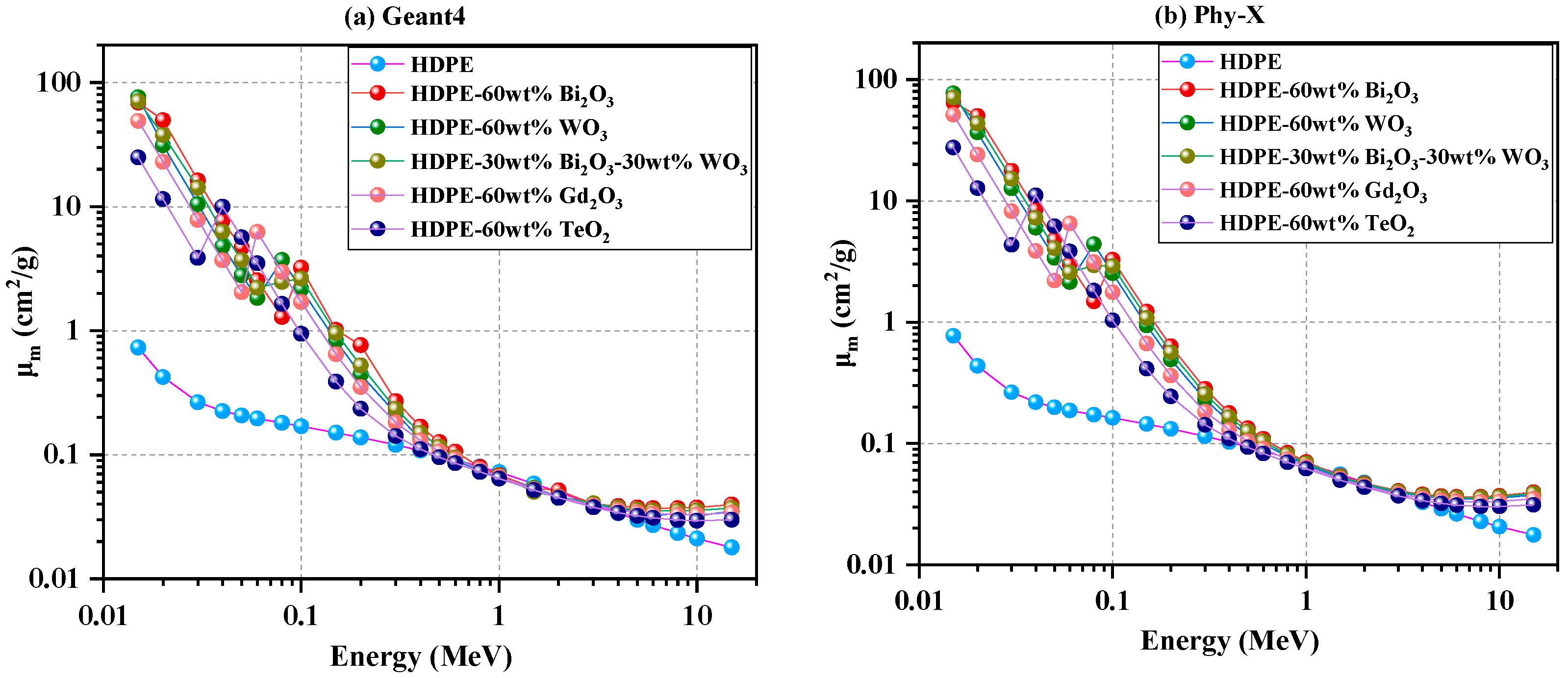
To enable direct comparison between the two computational frameworks, μ/ρ is plotted using Geant4 (Figure 3a) and Phy-X/PSD (Figure 3b). Both methods display trends consistent with those observed for μ in Figure 2.
At 0.015 MeV, the Bi2O3-, Bi2O3/WO3-, and WO3-reinforced composites (C2–C4) record μ/ρ values of about 70 cm2 g−1, with WO3 reaching approximately 80 cm2 g−1. Gd2O3 (C5) and TeO2 (C6) exhibit smaller values of roughly 50 cm2 g−1 and 25 cm2 g−1, respectively, compared with ≈0.7 cm2 g−1 for neat HDPE (C1). These elevated coefficients highlight the dominance of the photoelectric effect at low photon energies in materials containing high-atomic-number oxides. The strong low-energy enhancement observed here is fully consistent with the photon-interaction mechanisms discussed in Section 4.1, particularly the steep Zn dependence (n ≈ 4–5) of the photoelectric cross section, which strongly favors materials incorporating heavy elements.
As energy increases toward 0.5–1 MeV, μ/ρ decreases sharply, and all curves converge to ≈0.07–0.10 cm2 g−1, signifying the Compton-scattering region where attenuation becomes nearly independent of atomic number. This convergence reflects the fact that Compton interactions depend primarily on electron density rather than Z, reducing compositional differences among the materials.
At 10–15 MeV, μ/ρ rises slightly to ≈0.03–0.04 cm2 g−1 for the composites and remains ≈0.02 cm2 g−1 for HDPE, reflecting renewed pair-production contributions at high photon energies. This divergence at multi-MeV energies follows the same density-driven pair-production trends outlined in Section 4.1, where dense oxide fillers provide more nuclei capable of facilitating electron–positron creation as photon energy increases.
Among all systems, WO3 (C4) and Bi2O3/WO3 (C3) show the highest μ/ρ values throughout the studied energy range, confirming their superior photon-interaction capability within the Geant4 framework.

4.3. Mean Free Path (MFP) and Half-Value Layer (HVL)

Figure 4 presents the mean free path (MFP) in panel (a) and the half-value layer (HVL) in panel (b), enabling direct comparison of the photon-attenuation behavior across the studied energy range.
As shown in Figure 4a, at low photon energies below 0.05 MeV, the oxide-reinforced systems exhibit a substantial reduction in photon penetration depth. The Bi2O3-, Bi2O3/WO3-, and WO3-based composites (C2–C4) exhibit MFPs of ≈0.01–0.15 cm, while Gd2O3 (C5) and TeO2 (C6) record slightly higher values of ≈0.1–0.3 cm, compared with ≈1.4–5 cm for neat HDPE (C1). This strong suppression reflects enhanced photoelectric absorption caused by the dense, high-Z oxide filler
As photon energy increases into the Compton region (≈0.1–1 MeV), MFP increases gradually for all materials. Around 0.3 MeV, HDPE reaches about 9 cm, whereas the composites remain between ≈2 and 4 cm, confirming the sustained attenuation advantage of the filled systems. Near 1 MeV, the composites converge around ≈7–8 cm, while HDPE extends to ≈15 cm, indicating that heavy oxide reinforcement continues to reduce photon penetration even under scattering-dominated conditions.
At higher energies above 1 MeV, particularly in the pair-production region (5–15 MeV), all samples show a further smooth rise in MFP. Nevertheless, the composites maintain shorter paths—≈13–15 cm compared with ≈50–60 cm for HDPE—demonstrating that dense oxides preserve significant interaction probability even at high photon energies.
The HVL trends in Figure 4b mirror those of the MFP, as expected from its inverse relationship with the linear attenuation coefficient. At photon energies below 0.05 MeV, the Bi2O3-, Bi2O3/WO3-, and WO3-reinforced composites show HVL values of ≈0.005–0.15 cm, while Gd2O3 and TeO2 fall within ≈0.1–0.3 cm, compared with ≈1–4 cm for HDPE. This confirms the strong photon-absorption capability imparted by dense oxide fillers.
In the intermediate energy region (0.1–1 MeV), HVL increases gradually for all materials. Around 0.3 MeV, HDPE reaches about 6–7 cm, while the composites remain within ≈1–3 cm, confirming the continued effectiveness of the heavy-oxide fillers under Compton-scattering conditions. Near 1 MeV, the filled systems converge around ≈5 cm, whereas HDPE exceeds 10 cm, maintaining a clear attenuation advantage.
At higher photon energies (5–15 MeV), HVL rises gradually but remains markedly lower for the composites, typically ≈9–10 cm compared with ≈25–40 cm for HDPE. This persistent difference indicates that the reinforced materials retain superior shielding performance even in the pair-production processes dominate regime
From a practical shielding perspective, the reduced MFP and HVL values observed for the oxide-reinforced HDPE composites have direct implications for shield thickness optimization. Lower HVL and MFP values indicate that a smaller material thickness is required to attenuate the incident photon intensity by 50%, enabling more compact shielding designs compared with neat HDPE. Similarly, the shorter MFP values reflect a higher probability of photon interaction per unit thickness, which contributes to improved attenuation efficiency within thinner layers. These characteristics are particularly important for applications where weight and space limitations are critical, such as medical radiation protection, portable shielding systems, and aerospace structures. The results, therefore suggest that incorporating high-Z oxides into HDPE can significantly reduce the required shield thickness while maintaining effective radiation attenuation, offering clear advantages over unfilled polymer matrices.

4.4. Effective Atomic Number (Zeff) and Effective Electron Density (Neff)

Zeff and Neff, defined in Section 3.2, describe the composite’s effective atomic number and electron concentration and vary strongly with photon energy. Figure 5a shows the variation in Zeff, and Figure 5b presents Neff for the HDPE-based composites (C1–C6). The addition of heavy oxides markedly enhances both parameters at low photon energies, dominated by the photoelectric effect.
At 0.015 MeV, C1 (HDPE) records approximately Zeff ≈ 5.0 and Neff ≈ 5 × 1023 e g−1, while C2 (Bi2O3) reaches about 80 and 30 × 1023 e g−1, respectively. Comparable low energy enhancements observed for C3 (Bi2O3/WO3) and C4 (WO3) with Zeff ≈ 70–73, and Neff ≈ 28–29 × 1023 e g−1, followed by C5 (Gd2O3) and C6 (TeO2), which still exceed the polymer baseline with Zeff ≈ 60, and 45 and Neff ≈ 24 × 1023 e g−1 and 20 × 1023 e g−1, respectively. With increasing energy, above about 0.2 MeV, both Zeff and Neff decrease and gradually converge among the composites as Compton scattering and pair production become dominant. Around 1 MeV, C2 retains the highest interaction probability (Zeff about 8; Neff about 3.0 × 1023 e g−1), while HDPE remains the lowest (Zeff ≈ 3–4). However, in this Compton-dominant region, the Neff values of all systems—including neat HDPE—become nearly identical, reflecting the fact that Compton scattering depends mainly on the number of electrons per gram rather than on atomic number. At higher energies (up to 15 MeV), minor differences persist, confirming the sustained advantage of oxide-reinforced systems over the neat polymer.

4.5. Fast-Neutron Shielding Performance (ΣR)

Figure 6 presents the fast-neutron removal cross section (ΣR) for the HDPE-based systems C1–C6. The unfilled polymer (C1) shows the lowest value, ΣR ≈ 0.0879 cm−1. All oxide-reinforced composites show a modest but consistent enhancement in ΣR, as described by the definition and interpretation provided in Section 3.2. Among the filled systems, C5 (Gd2O3) achieves the highest ΣR (≈0.0911 cm−1), followed closely by the hybrid composite C3 (Bi2O3–WO3) at ≈0.0900 cm−1. This superior performance of the Gd2O3-filled composite is directly linked to the exceptionally large thermal-neutron absorption cross section of gadolinium (≈49,000 barns for natural Gd), one of the highest of any naturally occurring element, which significantly enhances its neutron-capture capability [33]. The Bi2O3 (C2), WO3 (C4), and TeO2 (C6) systems yield ΣR values of ≈0.0895, 0.0892, and 0.0891 cm−1, respectively, all higher than that of neat HDPE. Although the numerical differences appear minor, the enhancement is physically meaningful, as even small increases in ΣR reflect improved probabilities of fast-neutron attenuation within the composites. This improvement is primarily attributed to the synergistic moderation of hydrogen in HDPE and the superior neutron-capture potential of Gd2O3, which provides the most notable gain among all examined fillers.

4.6. Buildup Factors: Exposure (EBF) and Energy-Absorption (EABF)

EBF and EABF, described in Section 3.2, quantify the contribution of scattered photons to exposure and absorbed dose. Reducing these buildup factors is critical because excessive photon scatter increases dose beyond what primary-beam attenuation predicts, degrading shielding performance and potentially compromising radiation protection requirements.
Figure 7 illustrates the variation in the exposure buildup factor (EBF) with mean free path (MFP) for HDPE and its oxide-reinforced composites. Under identical conditions, C2 (Bi2O3) exhibits the lowest buildup, maintaining EBF ≈ 2 even at 40 mean free paths in the low-to-intermediate energy range (approximately 0.05–0.2 MeV). C3 (Bi2O3–WO3) and C4 (WO3) show similar behavior, while C5 (Gd2O3) and C6 (TeO2) record slightly higher values but remain far below the polymer baseline (C1). In the Compton-dominated region (≈0.3–1 MeV), the contrast remains pronounced: at 1 MeV and 40 MFP, C1 reaches ≈300, whereas C2–C4 range between 25 and 40 and C5–C6 between 60 and 100. At higher energies (>3 MeV), all composites exhibit a moderate increase in buildup with increasing penetration depth, resulting from secondary photon and positron cascades. At 15 MeV and 40 MFP, C2 and C3 reach ≈(3–4) × 103, whereas C1 remains near 10, highlighting the role of dense oxides in enhancing high-energy photon interaction and attenuation.
Figure 8 shows the energy-absorption buildup factor (EABF) versus MFP. At 0.1 MeV, C1 increases rapidly—from ≈4 at 1 MFP to ≈80 at 5 MFP, ≈600 at 10 MFP, ≈6000 at 20 MFP, and ≈1 × 104 at 40 MFP—while oxide-filled systems remain nearly constant near unity. Across most energies, the composites retain EABF ≈ 2 at both 10 and 40 MFP, confirming strong suppression of secondary photon buildup. The narrow spikes appearing at a few low-energy points arise near the K- or L-absorption edges of the high-Z fillers, where the photon cross sections exhibit abrupt discontinuities. Numerical interpolation across these discontinuities can introduce small overshoots that are not physical interaction processes but artifacts of the tabulated cross-section data, as noted in standard databases such as NIST XCOM [28].
At 1 MeV, C1 reaches ≈200, whereas C2–C4 remain within 20–40, and C5–C6 between 60 and 100. At 15 MeV, the EABF of all systems increases slightly, with the dense composites showing a higher buildup than HDPE, supporting the concept of layered shielding designs that combine hydrogen-rich moderation with high-Z absorption for improved protection against mixed and high-energy radiation fields.
For practical relevance, it is useful to compare the present HDPE–oxide composites with standard commercial shielding materials. Lead provides excellent gamma attenuation because of its very high density (11.34 g·cm−3), but its toxicity and rigidity limit its use in many environments. Borated polyethylene (commonly 5–30 wt.% B) is highly effective for neutron moderation yet insufficient for gamma shielding. Barite-concrete offers a non-toxic alternative with moderate gamma attenuation, but is significantly heavier and less mechanically versatile. In contrast, the HDPE-based composites studied here combine effective photon attenuation, enhanced neutron interaction (notably for Gd2O3-filled systems), mechanical robustness, and reduced weight, underscoring their suitability as practical, lead-free shielding materials for medical, industrial, and aerospace applications.

5. Conclusions

This study comprehensively evaluated HDPE composites reinforced with high-Z oxides, Bi2O3, WO3, Gd2O3, TeO2, and a Bi2O3/WO3 hybrid (30/30 wt.%), for efficient gamma-ray and fast-neutron shielding over 0.015–15 MeV using Phy-X/PSD and Geant4 simulations. Incorporating dense oxides produced substantial gains in photon attenuation, particularly at low energies, where WO3 and the Bi2O3–WO3 hybrid exhibited the highest linear-attenuation coefficients, followed by Bi2O3; Gd2O3 and TeO2 provided moderate improvements. Around 0.662 MeV, which corresponds to the gamma-ray energy of the widely used Cs-137 emission line frequently employed in shielding experiments due to its availability as a stable sealed source and its intermediate penetration depth that represents many medical, industrial, and environmental gamma-ray fields, all composites maintained superior attenuation compared with neat HDPE, while Bi- and W-rich systems remained dominant. At multi-MeV energies, attenuation coefficients converged but continued to favor oxide-reinforced systems due to pair-production contributions. On a mass basis, the improvement was most pronounced at low energies, slightly reduced near 1 MeV, and increased again at multi-MeV levels due to pair-production effects. The buildup factors (EBF and EABF) stayed near unity up to ~1 MeV, confirming effective suppression of scattered-photon accumulation. At higher energies, a moderate rise in buildup indicated that layered configurations combining hydrogen-rich moderation and dense absorbers can further optimize performance. The fast-neutron removal cross section (ΣR) improved slightly for all filled composites, with Gd2O3 achieving the highest enhancement, confirming its dual gamma- and neutron-shielding potential. Excellent consistency between Phy-X/PSD and Geant4 outcomes validates the reliability of the hybrid computational framework. These lead-free HDPE-based composites present lightweight, flexible, and environmentally safe alternatives for radiation protection in medical, nuclear, and aerospace applications. Future work should emphasize experimental fabrication with improved filler dispersion, evaluation of mechanical and thermal stability, optimization of multilayer architectures, and benchmarking against conventional shielding materials under realistic radiation conditions.

Author Contributions

Conceptualization, A.A., N.N.A. and H.A.; methodology, A.A. and N.N.A.; software, A.A. and H.A.; validation, A.A., N.N.A. and H.A.; formal analysis, A.A.; investigation, N.N.A.; resources, H.A.; data curation, A.A. and H.A.; writing—original draft preparation, A.A.; writing—review and editing, N.N.A.; visualization, A.A. and N.N.A.; supervision, N.N.A. and H.A.; project administration, A.A.; funding acquisition, A.A. and H.A. All authors have read and agreed to the published version of the manuscript.

Funding

The researchers would like to thank the Deanship of Graduate Studies and Scientific Research at Qassim University for financial support (QU-APC-2026).

Institutional Review Board Statement

Not applicable. This study is based solely on numerical simulations and does not involve human participants or animals.

Data Availability Statement

The data presented in this study were generated through numerical simulations using the Phy-X/PSD and Geant4 codes. All datasets supporting the findings are available from the corresponding author upon reasonable request.

Acknowledgments

The authors used the Grammarly software (v1.2.221.1801) for minor grammatical editing and language polishing under full author supervision. All scientific content, interpretations, and conclusions remain entirely the authors’ responsibility.

Conflicts of Interest

The authors declare no conflicts of interest.

References

  1. Foco, G. Radiation Protection in Medical Radiology. Radiol. Med. 1977, 63, 1119–1120. [Google Scholar] [PubMed]
  2. Lakhwani, O.P.; Dalal, V.; Jindal, M.; Nagala, A. Radiation Protection and Standardization. J. Clin. Orthop. Trauma 2019, 10, 738–743. [Google Scholar] [CrossRef]
  3. Barbhuiya, S.; Das, B.B.; Norman, P.; Qureshi, T. A Comprehensive Review of Radiation Shielding Concrete: Properties, Design, Evaluation, and Applications. Struct. Concr. 2025, 26, 1809–1855. [Google Scholar] [CrossRef]
  4. Srivastava, S.; Goyal, P. Novel Biomaterials: Decontamination of Toxic Metals from Wastewater; Springer Science & Business Media: Berlin, Germany, 2010. [Google Scholar]
  5. D’Souza, A.N.; Prabhu, N.S.; Sharmila, K.; Sayyed, M.I.; Somshekarappa, H.M.; Lakshminarayana, G.; Mandal, S.; Kamath, S.D. Role of Bi2O3 in Altering the Structural, Optical, Mechanical, Radiation Shielding and Thermoluminescence Properties of Heavy Metal Oxide Borosilicate Glasses. J. Non-Cryst. Solids 2020, 542, 120136. [Google Scholar] [CrossRef]
  6. Wójcik, N.A.; Tagiara, N.S.; Ali, S.; Górnicka, K.; Segawa, H.; Klimczuk, T.; Jonson, B.; Möncke, D.; Kamitsos, E.I. Structure and Magnetic Properties of BeO-Fe2O3-Al2O3-TeO2 Glass-Ceramic Composites. J. Eur. Ceram. Soc. 2021, 41, 5214–5222. [Google Scholar] [CrossRef]
  7. Issa, S.A.M.; Tekin, H.O.; Saudi, H.A.; Koubisy, M.S.I.; Zhukovsky, M.; Ali, A.S.; Zakaly, H.M.H. Fabrication of Newly Developed Tungsten III-Oxide Glass Family: Physical, Structural, Mechanical, Radiation Shielding Effectiveness. Optik 2022, 259, 169025. [Google Scholar] [CrossRef]
  8. Alharshan, G.A.; Elamy, M.I.; Said, S.A.; Mahmoud, A.M.A.; Elsad, R.A.; Ebrahem, N.M.; Nabil, I.M. Impact of Yttrium on the Optical and Neutron Radiation Shielding Properties of Bismuth-Lithium-Zinc-Phosphate Glasses. J. Radiat. Res. Appl. Sci. 2025, 18, 101891. [Google Scholar] [CrossRef]
  9. Abdullah, M.A.H.; Rashid, R.S.M.; Amran, M.; Hejazii, F.; Azreen, N.M.; Fediuk, R.; Voo, Y.L.; Vatin, N.I.; Idris, M.I. Recent Trends in Advanced Radiation Shielding Concrete for Construction of Facilities: Materials and Properties. Polymers 2022, 14, 2830. [Google Scholar] [CrossRef]
  10. Kumar, S.; Panda, A.K.; Singh, R.K. A Review on Tertiary Recycling of High-Density Polyethylene to Fuel. Resour. Conserv. Recycl. 2011, 55, 893–910. [Google Scholar] [CrossRef]
  11. Mokhtari, K.; Saadi, M.K.; Panahi, H.A.; Jahanfarnia, G. The Shielding Properties of the Ordinary Concrete Reinforced with Innovative Nano Polymer Particles Containing PbO–H3BO3 for Dual Protection against Gamma and Neutron Radiations. Radiat. Phys. Chem. 2021, 189, 109711. [Google Scholar] [CrossRef]
  12. Mahmoud, M.E.; El-Khatib, A.M.; Badawi, M.S.; Rashad, A.R.; El-Sharkawy, R.M.; Thabet, A.A. Recycled High-Density Polyethylene Plastics Added with Lead Oxide Nanoparticles as Sustainable Radiation Shielding Materials. J. Clean. Prod. 2018, 176, 276–287. [Google Scholar] [CrossRef]
  13. Mahmoud, M.E.; El-Khatib, A.M.; Badawi, M.S.; Rashad, A.R.; El-Sharkawy, R.M.; Thabet, A.A. Fabrication, Characterization and Gamma Rays Shielding Properties of Nano and Micro Lead Oxide-Dispersed-High Density Polyethylene Composites. Radiat. Phys. Chem. 2018, 145, 160–173. [Google Scholar] [CrossRef]
  14. Morcillo, M.D.C.; Tejada, R.; Lascano, D.; Garcia-Sanoguera, D.; Garcia-Garcia, D. Manufacturing and Characterization of Environmentally Friendly Wood Plastic Composites Using Pinecone as a Filler into a Bio-Based High-Density Polyethylene Matrix. Polymers 2021, 13, 4462. [Google Scholar] [CrossRef] [PubMed]
  15. Kassim, H.; Asemi, N.N.; Aldawood, S. Gamma-Ray Shielding Enhancement Using Glycidyl Methacrylate Polymer Composites Reinforced by Titanium Alloy and Bismuth Oxide Nanoparticles. J. Radiat. Res. Appl. Sci. 2025, 18, 101202. [Google Scholar] [CrossRef]
  16. Mwakuna, A.E.; Manepalli, R.K.N.R.; Laxmikanth, C. Structural, Elastic and Gamma-Ray Attenuation Properties of Potassium Borate Glasses Doped with BaO, Bi2O3, or Pb3O4: A Comparative Assessment. Opt. Mater. 2024, 157, 116294. [Google Scholar] [CrossRef]
  17. Zakaly, H.M.H.; Issa, S.A.M.; Saudi, H.A.; Soliman, T.S. Decoding the Role of Bismuth Oxide in Advancing Structural, Thermal, and Nuclear Properties of [B2O3–Li2O–SiO2]-Nb2O5 Glass Systems. Radiat. Phys. Chem. 2024, 223, 111984. [Google Scholar] [CrossRef]
  18. Al-Hadeethi, Y.; Sayyed, M.I.; Nune, M. Radiation Shielding Study of WO3–ZnO–PbO–B2O3 Glasses Using Geant4 and Phys-X: A Comparative Study. Ceram. Int. 2021, 47, 3988–3993. [Google Scholar] [CrossRef]
  19. Al-Ghamdi, H.; Elsafi, M.; Sayyed, M.I.; Almuqrin, A.H.; Tamayo, P. Performance of Newly Developed Concretes Incorporating WO3 and Barite as Radiation Shielding Material. J. Mater. Res. Technol. 2022, 19, 4103–4114. [Google Scholar] [CrossRef]
  20. Kaewjaeng, S.; Wantana, N.; Kothan, S.; Rajaramakrishna, R.; Kim, H.J.; Limsuwan, P.; Kaewkhao, J. Effect of Gd2O3 on the Radiation Shielding, Physical, Optical and Luminescence Behaviors of Gd2O3–La2O3–ZnO–B2O3–Dy2O3 Glasses. Radiat. Phys. Chem. 2021, 185, 109500. [Google Scholar] [CrossRef]
  21. Al-Buriahi, M.S.; Tonguç, B.; Perişanoğlu, U.; Kavaz, E. The Impact of Gd2O3 on Nuclear Safety Proficiencies of TeO2–ZnO–Nb2O5 Glasses: A GEANT4 Monte Carlo Study. Ceram. Int. 2020, 46, 23347–23356. [Google Scholar] [CrossRef]
  22. Sheela, M.; Kamat, V.; Kiran, K.; Eshwarappa, K. Preparation and Characterization of Bismuth-Filled High-Density Polyethylene Composites for Gamma-Ray Shielding. Radiat. Prot. Environ. 2019, 42, 180. [Google Scholar] [CrossRef]
  23. Almuqrin, A.H.; Elsafi, M.; Yasmin, S.; Sayyed, M.I. Morphological and Gamma-Ray Attenuation Properties of High-Density Polyethylene Containing Bismuth Oxide. Materials 2022, 15, 6410. [Google Scholar] [CrossRef] [PubMed]
  24. Malekie, S.; Kashian, S.; Akhavan, A.; Kheradmand-Saadi, M. Preliminary study of a novel radiation shield for jaw in dental radiography using the high-density polyethylene/bismuth oxide nanocomposite. Radiat. Phys. Chem. 2023, 205, 110743. [Google Scholar] [CrossRef]
  25. Nambiar, S.; Yeow, J.T.W. Polymer-Composite Materials for Radiation Protection. ACS Appl. Mater. Interfaces 2012, 11, 5717–5726. [Google Scholar] [CrossRef] [PubMed]
  26. Knoll, G.F. Radiation Detection and Measurement; John Wiley & Sons: Hoboken, NJ, USA, 2010. [Google Scholar]
  27. Attix, F.H. Introduction to Radiological Physics and Radiation Dosimetry; Wiley Research DE&I Statement and Publishing Policies: Hoboken, NJ, USA, 2007; pp. 1–607. [Google Scholar] [CrossRef]
  28. Hubbell, J.H.; Seltzer, S.M. Tables of X-Ray Mass Attenuation Coefficients and Mass Energy-Absorption Coefficients 1 KeV to 20 MeV for Elements z = 1 to 92 and 48 Additional Substances of Dosimetric Interest; National Inst. of Standards and Technology-PL: Gaithersburg, MD, USA, 1995.
  29. Trubey, D.K.; Eisenhauer, C.M.; Foderaro, A.; Gopinath, D.V.; Harima, Y.; Hubbell, J.H.; Shure, K.; Su, S. ANSI/ANS-6.4.3-1991; Gamma-Ray Attenuation Coefficients and Buildup Factors for Engineering Materials. American Nuclear Society: La Grange Park, IL, USA, 1991.
  30. Lamarsh, J.R.; Melkonian, E. Introduction to Nuclear Engineering. Phys. Today 1977, 30, 53. [Google Scholar] [CrossRef]
  31. Şakar, E.; Özpolat, Ö.F.; Alım, B.; Sayyed, M.I.; Kurudirek, M. Phy-X/PSD: Development of a User Friendly Online Software for Calculation of Parameters Relevant to Radiation Shielding and Dosimetry. Radiat. Phys. Chem. 2020, 166, 108496. [Google Scholar] [CrossRef]
  32. Collaboration, G.; Agostinelli, S. GEANT4—A Simulation Toolkit. Nucl. Instrum. Meth. A 2003, 506, 250–303. [Google Scholar]
  33. Mughabghab, S.F. Atlas of Neutron Resonances: Resonance Parameters and Thermal Cross Sections; Elsevier: Amsterdam, The Netherlands, 2018; Volume 2, pp. 1–1008. [Google Scholar]
Figure 1. Geant4 setup for gamma-ray attenuation. A radioactive source (yellow) emits photons through the HDPE sample (orange) to a NaI(Tl) detector (2″ × 2″, blue/gray).
Figure 1. Geant4 setup for gamma-ray attenuation. A radioactive source (yellow) emits photons through the HDPE sample (orange) to a NaI(Tl) detector (2″ × 2″, blue/gray).
Polymers 18 00179 g001
Figure 2. Linear attenuation coefficient (μ) versus photon energy (0.015–15 MeV) for HDPE-based composites: (a) HDPE; (b) HDPE + 60 wt.% Bi2O3; (c) HDPE + 60 wt.% WO3; (d) HDPE + 30 wt.% Bi2O3 + 30 wt.% WO3; (e) HDPE + 60 wt.% Gd2O3; (f) HDPE + 60 wt.% TeO2, obtained using Geant4 and Phy-X/PSD.
Figure 2. Linear attenuation coefficient (μ) versus photon energy (0.015–15 MeV) for HDPE-based composites: (a) HDPE; (b) HDPE + 60 wt.% Bi2O3; (c) HDPE + 60 wt.% WO3; (d) HDPE + 30 wt.% Bi2O3 + 30 wt.% WO3; (e) HDPE + 60 wt.% Gd2O3; (f) HDPE + 60 wt.% TeO2, obtained using Geant4 and Phy-X/PSD.
Polymers 18 00179 g002
Figure 3. Mass attenuation coefficient (μ/ρ) of HDPE and oxide-filled HDPE composites as a function of photon energy: (a) Geant4 results and (b) Phy-X/PSD calculations.
Figure 3. Mass attenuation coefficient (μ/ρ) of HDPE and oxide-filled HDPE composites as a function of photon energy: (a) Geant4 results and (b) Phy-X/PSD calculations.
Polymers 18 00179 g003
Figure 4. Mean free path (MFP) (a) and half-value layer (HVL) (b) as functions of photon energy for pure HDPE and HDPE composites reinforced with Bi2O3, WO3, Gd2O3, TeO2, and the Bi2O3–WO3 hybrid formulation.
Figure 4. Mean free path (MFP) (a) and half-value layer (HVL) (b) as functions of photon energy for pure HDPE and HDPE composites reinforced with Bi2O3, WO3, Gd2O3, TeO2, and the Bi2O3–WO3 hybrid formulation.
Polymers 18 00179 g004
Figure 5. Effective atomic number Zeff (panel (a)) and effective electron density Neff (panel (b)) as functions of photon energy from 0.015 to 15 MeV for pure HDPE and HDPE composites containing 60 wt.% oxide fillers (Bi2O3, WO3, Bi2O3/WO3 (30/30 wt.%), Gd2O3, and TeO2) calculated using the Phy-X/PSD database.
Figure 5. Effective atomic number Zeff (panel (a)) and effective electron density Neff (panel (b)) as functions of photon energy from 0.015 to 15 MeV for pure HDPE and HDPE composites containing 60 wt.% oxide fillers (Bi2O3, WO3, Bi2O3/WO3 (30/30 wt.%), Gd2O3, and TeO2) calculated using the Phy-X/PSD database.
Polymers 18 00179 g005
Figure 6. Fast-neutron removal cross section (ΣR) for HDPE (C1) and oxide-reinforced composites C2–C6, including Bi2O3-, Bi2O3–WO3-, WO3-, Gd2O3-, and TeO2-filled HDPE.
Figure 6. Fast-neutron removal cross section (ΣR) for HDPE (C1) and oxide-reinforced composites C2–C6, including Bi2O3-, Bi2O3–WO3-, WO3-, Gd2O3-, and TeO2-filled HDPE.
Polymers 18 00179 g006
Figure 7. Exposure buildup factor (EBF) as a function of photon energy for different mean free paths (MFPs): (a) HDPE; (b) HDPE + 60 wt.% Bi2O3; (c) HDPE + 60 wt.% WO3; (d) HDPE + 30 wt.% Bi2O3 + 30 wt.% WO3; (e) HDPE + 60 wt.% Gd2O3; (f) HDPE + 60 wt.% TeO2.
Figure 7. Exposure buildup factor (EBF) as a function of photon energy for different mean free paths (MFPs): (a) HDPE; (b) HDPE + 60 wt.% Bi2O3; (c) HDPE + 60 wt.% WO3; (d) HDPE + 30 wt.% Bi2O3 + 30 wt.% WO3; (e) HDPE + 60 wt.% Gd2O3; (f) HDPE + 60 wt.% TeO2.
Polymers 18 00179 g007
Figure 8. Energy-absorption buildup factor (EABF) as a function of photon energy for different mean free paths (MFPs): (a) HDPE; (b) HDPE + 60 wt.% Bi2O3; (c) HDPE + 60 wt.% WO3; (d) HDPE + 30 wt.% Bi2O3 + 30 wt.% WO3; (e) HDPE + 60 wt.% Gd2O3; (f) HDPE + 60 wt.% TeO2.
Figure 8. Energy-absorption buildup factor (EABF) as a function of photon energy for different mean free paths (MFPs): (a) HDPE; (b) HDPE + 60 wt.% Bi2O3; (c) HDPE + 60 wt.% WO3; (d) HDPE + 30 wt.% Bi2O3 + 30 wt.% WO3; (e) HDPE + 60 wt.% Gd2O3; (f) HDPE + 60 wt.% TeO2.
Polymers 18 00179 g008
Table 1. Composition and densities of the investigated HDPE-based composites.
Table 1. Composition and densities of the investigated HDPE-based composites.
IDCompositeDensity (g/cm3)Formula Representation
C1HDPE≈0.95C2H4
C2HDPE + 60% Bi2O3≈2.010.40 C2H4 + 0.60 Bi2O3
C3HDPE + 30% Bi2O3 + 30% WO3≈2.010.40 C2H4 + 0.30 Bi2O3 + 0.30 WO3
C4HDPE + 60% WO3≈1.980.40 C2H4 + 0.60 WO3
C5HDPE + 60% Gd2O3≈1.990.40 C2H4 + 0.60 Gd2O3
C6HDPE + 60% TeO2≈1.900.40 C2H4 + 0.60 TeO2
Disclaimer/Publisher’s Note: The statements, opinions and data contained in all publications are solely those of the individual author(s) and contributor(s) and not of MDPI and/or the editor(s). MDPI and/or the editor(s) disclaim responsibility for any injury to people or property resulting from any ideas, methods, instructions or products referred to in the content.

Share and Cite

MDPI and ACS Style

Alharbi, A.; Asemi, N.N.; Alnagran, H. Hybrid Phy-X/PSD–Geant4 Assessment of Gamma and Neutron Shielding in Lead-Free HDPE Composites Reinforced with High-Z Oxides. Polymers 2026, 18, 179. https://doi.org/10.3390/polym18020179

AMA Style

Alharbi A, Asemi NN, Alnagran H. Hybrid Phy-X/PSD–Geant4 Assessment of Gamma and Neutron Shielding in Lead-Free HDPE Composites Reinforced with High-Z Oxides. Polymers. 2026; 18(2):179. https://doi.org/10.3390/polym18020179

Chicago/Turabian Style

Alharbi, Ahmed, Nassar N. Asemi, and Hamed Alnagran. 2026. "Hybrid Phy-X/PSD–Geant4 Assessment of Gamma and Neutron Shielding in Lead-Free HDPE Composites Reinforced with High-Z Oxides" Polymers 18, no. 2: 179. https://doi.org/10.3390/polym18020179

APA Style

Alharbi, A., Asemi, N. N., & Alnagran, H. (2026). Hybrid Phy-X/PSD–Geant4 Assessment of Gamma and Neutron Shielding in Lead-Free HDPE Composites Reinforced with High-Z Oxides. Polymers, 18(2), 179. https://doi.org/10.3390/polym18020179

Note that from the first issue of 2016, this journal uses article numbers instead of page numbers. See further details here.

Article Metrics

Back to TopTop