Pentamidine-Functionalized Polycaprolactone Nanofibers Produced by Solution Blow Spinning for Controlled Release in Cutaneous Leishmaniasis Treatment
Abstract
1. Introduction
2. Materials and Methods
2.1. Materials
2.2. Fiber Production and Characterization
2.2.1. Fiber Production via SBS
2.2.2. Morphology of the Fibers
2.2.3. Determination of the Surface/Weight Ratio and Thickness of the Mats
2.2.4. Drug Loading Determination
2.2.5. FTIR-ATR Spectroscopy
2.2.6. X-Ray Diffraction (XRD)
2.3. Drug Release Kinetics
2.4. Culture Conditions
2.5. Leishmanicidal Activity in Promastigotes
2.6. Cytotoxicity on Macrophages
2.7. Gene Expression Profiling
2.7.1. Promastigote Treatment
2.7.2. RNA Extraction and Retrotranscription
2.7.3. Real Time qPCR
2.7.4. Statistical Analysis
2.8. Generative Artificial Intelligence (GenAI)
3. Results and Discussion
3.1. Production of Blow-Spun Nanofibers
3.2. Physicochemical Characterization of the SBS Fibers
3.2.1. Physical Characterization
3.2.2. Chemical Characterization via FTIR-ATR and XRD
- (A)
- Effect of SBS processing on the PCL structure
- (B)
- Effect of the incorporation of PTM
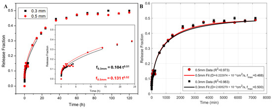
3.3. Drug Release Kinetics and Mechanism
3.4. Activity of PTM and Nanofiber-Released PTM Against Leishmaniasis
3.5. Cytotoxicity of PTM Against Macrophages
3.6. PTM Released from Fiber-Impaired Proliferation Pathways
4. Conclusions
Supplementary Materials
Author Contributions
Funding
Data Availability Statement
Acknowledgments
Conflicts of Interest
References
- Fernández-Rubio, C.; Campbell, C.; Vacas, A.; Ibañez, E.; Moreno, E.; Espuelas, S.; Calvo, A.; Palop, J.A.; Plano, D.; Sanmartin, C.; et al. Leishmanicidal Activities of Novel Methylseleno-Imidocarbamates. Antimicrob. Agents Chemother. 2015, 59, 5705–5713. [Google Scholar] [CrossRef][Green Version]
- Leishmania Clinical Presentation. CDC DPDx, 2017. Available online: https://www.cdc.gov/dpdx/leishmaniasis/index.html (accessed on 12 June 2025).
- Akhoundi, M.; Downing, T.; Votýpka, J.; Kuhls, K.; Lukeš, J.; Cannet, A.; Ravel, C.; Marty, P.; Delaunay, P.; Kasbari, M.; et al. Leishmania infections: Molecular targets and diagnosis. Mol. Asp. Med. 2017, 57, 1–29. [Google Scholar] [CrossRef]
- Lazar, L.T.Y.; Abass, K.S. Morphology, Life Cycle, Pathogenesis and Virulence Factors of Genus Leishmania: A review. Plant Arch. 2020, 20, 4057–4060. [Google Scholar]
- Dirany, Z.; El-Dirany, R.; Smith, G.N.; Nguewa, P.; Gonzalez-Gaitano, G. Mixed micelles and gels of a hydrophilic poloxamine (Tetronic 1307) and miltefosine: Structural characterization by small-angle neutron scattering and in vitro evaluation for the treatment of leishmaniasis. J. Mol. Liq. 2023, 379, 121654. [Google Scholar] [CrossRef]
- Dirany, Z.; Gonzalez-Benito, J.; Ginatta, P.; Nguewa, P.; Gonzalez-Gaitano, G. Solution blow spun polymeric nanofibres embedding cyclodextrin complexes of miltefosine: An approach to the production of sprayable dressings for the treatment of cutaneous leishmaniasis. Carbohydr. Polym. 2025, 353, 123173. [Google Scholar] [CrossRef]
- Serafim, T.D.; Iniguez, E.; Oliveira, F. Leishmania infantum . Trends Parasitol. 2020, 36, 80–81. [Google Scholar] [CrossRef]
- Volpedo, G.; Pacheco-Fernandez, T.; Holcomb, E.A.; Cipriano, N.; Cox, B.; Satoskar, A.R. Mechanisms of Immunopathogenesis in Cutaneous Leishmaniasis and Post Kala-azar Dermal Leishmaniasis (PKDL). Front. Cell Infect. Microbiol. 2021, 11, 685296. [Google Scholar] [CrossRef]
- Carvalho, B.M.; Rangel, E.F.; Ready, P.D.; Vale, M.M. Ecological Niche Modelling Predicts Southward Expansion of Lutzomyia (Nyssomyia) flaviscutellata (Diptera: Psychodidae: Phlebotominae), Vector of Leishmania (Leishmania) amazonensis in South America under Climate Change. PLoS ONE 2015, 10, e0143282. [Google Scholar] [CrossRef]
- Koch, L.K.; Kochmann, J.; Klimpel, S.; Cunze, S. Modeling the climatic suitability of leishmaniasis vector species in Europe. Sci. Rep. 2017, 7, 13325. [Google Scholar] [CrossRef]
- Lindoso, J.A.L.; Costa, J.M.L.; Queiroz, I.T.; Goto, H. Review of the current treatments for leishmaniases. Res. Rep. Trop. Med. 2012, 3, 69–77. [Google Scholar] [CrossRef]
- Croft, S.L.; Seifert, K.; Yasdley, V. Current scenario of drug development for leishmaniasis. Indian J. Med. Res. 2006, 123, 399–410. [Google Scholar]
- Monge-Maillo, B.; López-Vélez, R. Miltefosine for Visceral and Cutaneous Leishmaniasis: Drug Characteristics and Evidence-Based Treatment Recommendations. Clin. Infect. Dis. 2015, 60, 1398–1404. [Google Scholar] [CrossRef]
- Dirany, Z.; Smith, G.N.; Aydillo, C.; Nguewa, P.; Gonzalez-Gaitano, G. Structure and activity of amphiphilic PEO-PPO-based polymeric micelles and gels incorporating host -guest complexes of miltefosine as novel formulations for the treatment of leishmaniasis. J. Mol. Liq. 2024, 400, 124455. [Google Scholar] [CrossRef]
- Sundar, S. Drug resistance in Indian visceral leishmaniasis. Trop. Med. Int. Health 2001, 6, 849–854. [Google Scholar] [CrossRef]
- Sundar, S.; Chakravarty, J. Paromomycin in the treatment of leishmaniasis. Expert Opin. Investig. Drugs 2008, 17, 787–794. [Google Scholar] [CrossRef]
- Maarouf, M.; de Kouchkovsky, Y.; Brown, S.; Petit, P.X.; Robert-Gero, M. In vivo interference of paromomycin with mitochondrial activity of Leishmania. Exp. Cell Res. 1997, 232, 339–348. [Google Scholar] [CrossRef]
- Hendrickx, S.; Reis-Cuhna, J.L.; Forrester, S.; Jeffares, D.C.; Caljon, G. Experimental selection of paromomycin resistance in Leishmania donovani amastigotes induces variable genomic polymorphisms. Microorganisms 2021, 9, 1546. [Google Scholar] [CrossRef]
- Singh, N.; Kumar, M.; Kumar-Singh, R. Leishmaniasis: Current status of available drugs and new potential drug targets. Asian Pac. J. Trop. Med. 2012, 5, 485–497. [Google Scholar] [CrossRef]
- Nguewa, P.A.; Fuertes, M.A.; Cepeda, V.; Iborra, S.; Carrión, J.; Valladares, B.; Alonso, C.; Pérez, J.M. Pentamidine is an antiparasitic and apoptotic drug that selectively modifies ubiquitin. Chem. Biodivers. 2005, 2, 1387–1400. [Google Scholar] [CrossRef]
- Akbari, M.; Oryan, A.; Hatam, G. Immunotherapy in treatment of leishmaniasis. Immunol. Lett. 2021, 233, 80–86. [Google Scholar] [CrossRef]
- Rafati, S.; Zahedifard, F.; Nazgouee, F. Prime-boost vaccination using cysteine proteinases type I and II of Leishmania infantum confers protective immunity in murine visceral leishmaniasis. Vaccine 2006, 24, 2169–2175. [Google Scholar] [CrossRef]
- El-Dirany, R.; Shahrour, H.; Dinary, Z.; Abdel-Sater, F.; Gonzalez-Gaitano, G.; Brandenburg, K.; Martinez de Tejada, G.; Nguewa, P.A. Activity of Anti-Microbial Peptides (AMPs) against Leishmania and Other Parasites: An Overview. Biomolecules 2021, 11, 984. [Google Scholar] [CrossRef]
- Zasloff, M. Antimicrobial peptides of multicellular organisms. Nature 2002, 415, 389–395. [Google Scholar] [CrossRef]
- Ott, I.; Qian, X.; Xu, Y.; Vlecken, D.H.W.; Marques, I.J.; Kubutat, D.; Will, J.; Sheldrick, W.S.; Jesse, P.; Prokop, A.; et al. A gold(I) phosphine complex containing a naphthalimide ligand functions as a TrxR inhibiting antiproliferative agent and angiogenesis inhibitor. J. Med. Chem. 2009, 52, 763–770. [Google Scholar] [CrossRef]
- Fernández-Rubio, C.; Larrea, E.; Peña-Guerrero, J.; Sesma-Herrero, E.; Gamboa, I.; Berrio, C.; Plano, D.; Amin, S.; Sharma, A.K.; Nguewa, P.A. Leishmanicidal Activity of Isoselenocyanate Derivatives. Antimicrob. Agents Chemother. 2019, 63, e00904–e00918. [Google Scholar] [CrossRef]
- Roatt, B.M.; De Oliveira Cardoso, J.M.; Fortes De Brito, R.C.; Coura-Vital, W.; De Oliveira Aguiar-Soares, R.D.; Barbosa-Reis, A. Recent advances and new strategies on leishmaniasis treatment. Appl. Microbiol. Biotechnol. 2020, 104, 8965–8977. [Google Scholar] [CrossRef]
- Sundar, S.; Jaya, J. Liposomal amphotericin B and leishmaniasis: Dose and response. J. Glob. Infect. Dis. 2010, 2, 159–166. [Google Scholar] [CrossRef]
- Elsabahy, M.; Wooley, K.L. Design of polymeric nanoparticles for biomedical delivery applications. Chem. Soc. Rev. 2012, 41, 2545–2561. [Google Scholar] [CrossRef]
- Elmowafy, M.; Shalaby, K.; Elkomy, M.H.; Alsaidan, O.A.; Gomaa, H.A.M.; Abdelgawad, M.A.; Mostafa, E.M. Polymeric Nanoparticles for Delivery of Natural Bioactive Agents: Recent Advances and Challenges. Polymers 2023, 15, 1123. [Google Scholar] [CrossRef]
- Zhao, K.; Li, D.; Shi, C.; Ma, X.L.; Rong, G.G.; Kang, H.; Wang, X.H.; Sun, B. Biodegradable Polymeric Nanoparticles as the Delivery Carrier for Drug. Curr. Drug Deliv. 2016, 13, 494–499. [Google Scholar] [CrossRef]
- Barhoum, A.; Pal, K.; Rahier, H.; Uludag, H.; Kim, I.S.; Bechelany, M. Nanofibers as new-generation materials: From spinning and nano-spinning fabrication techniques to emerging applications. Appl. Mater. Today 2019, 17, 1–35. [Google Scholar] [CrossRef]
- Mobaraki, M.; Liu, M.; Masoud, A.R.; Mills, D.K. Biomedical Applications of Blow-Spun Coatings, Mats, and Scaffolds—A Mini Review. J. Compos. Sci. 2023, 7, 86. [Google Scholar] [CrossRef]
- Zhang, J.; Chen, K.; Ding, C.; Sun, S.; Zheng, Y.; Ding, Q.; Hong, B.; Liu, W. Fabrication of chitosan/PVP/dihydroquercetin nanocomposite film for in vitro and in vivo evaluation of wound healing. Int. J. Biol. Macromol. 2022, 206, 591–604. [Google Scholar] [CrossRef]
- Lukiev, I.V.; Antipina, L.S.; Goreninskii, S.I.; Tverdokhlebova, T.S.; Vasilchenko, D.V.; Nemoykina, A.L.; Goncharova, D.A.; Svetlichnyi, V.A.; Dambaev, G.T.; Bouznik, V.M.; et al. Antibacterial ferroelectric hybrid membranes fabricated via electrospinning for wound healing. Membranes 2021, 11, 986. [Google Scholar] [CrossRef]
- Carriles, J.; Nguewa, P.; González-Gaitano, G. Advances in Biomedical Applications of Solution Blow Spinning. Int. J. Mol. Sci. 2023, 24, 14757. [Google Scholar] [CrossRef]
- Haider, A.; Haider, S.; Kang, I.K. A comprehensive review summarizing the effect of electrospinning parameters and potential applications of nanofibers in biomedical and biotechnology. Arab. J. Chem. 2018, 11, 1165–1188. [Google Scholar] [CrossRef]
- Medeiros, E.S.; Glenn, G.M.; Klamczynski, A.P.; Orts, W.L.; Mattoso, L.H.C. Solution Blow Spinning: A New Method to Produce Micro- and Nanofibers from Polymer Solutions. J. Appl. Polym. 2009, 113, 2322–2330. [Google Scholar] [CrossRef]
- Gao, Y.; Zhang, J.; Su, Y.; Wang, H.; Wang, X.X.; Huang, L.P.; Yu, M.; Ramakrishna, S.; Long, Y.Z. Recent progress and challenges in solution blow spinning. Mater. Horiz. 2021, 8, 426–446. [Google Scholar] [CrossRef]
- Santos, A.M.C.; Medeiros, E.L.G.; Blaker, J.J.; Medeiros, E.S. Aqueous solution blow spinning of poly(vinyl alcohol) micro- and nanofibers. Mater. Lett. 2016, 176, 122–126. [Google Scholar] [CrossRef]
- Xue, J.; Wu, T.; Dai, Y.; Xia, Y. Electrospinning and electrospun nanofibers: Methods, materials, and applications. Chem. Rev. 2019, 119, 5298–5415. [Google Scholar] [CrossRef]
- Woodruff, M.A.; Hutmacher, D.W. The return of a forgotten polymer—Polycaprolactone in the 21st century. Prog. Polym. Sci. 2010, 35, 1217–1256. [Google Scholar] [CrossRef]
- Van der Schueren, L.; Steyaert, I.; De Schoenmaker, B.; De Clerck, K. Polycaprolactone/chitosan blend nanofibres electrospun from an acetic acid/formic acid solvent system. Carbohydr. Polym. 2012, 88, 1221–1226. [Google Scholar] [CrossRef]
- Teodoro, K.B.R.; Alvarenga, A.D.; Oliveira, L.F.R.; Chagas, P.A.M.; Lopez, R.G.; Andre, R.D.; Mercante, L.A.; Alves, F.; Stringasci, M.D.; Buzza, H.H.; et al. Fast Fabrication of Multifunctional PCL/Curcumin Nanofibrous Membranes for Wound Dressings. ACS Appl. Bio. Mater. 2023, 6, 2325–2337. [Google Scholar] [CrossRef]
- Anaya-Mancipe, J.M.; Carlos, A.L.M.; Bastos, J.V.D.D.; Ambel, E.M.T.; Velasco-Díez, G.; Fialho, R.L.; Thiré, R.M.D.M. Solution Blow Spun Mats with Beaded-Fiber Morphologies as a Drug Delivery System with Potential Use for Skin Wound Dressing. ACS Appl. Mater. Interfaces 2025, 17, 23466–23483. [Google Scholar] [CrossRef]
- De Figueiredo, A.C.; Teixeira, B.N.; Anaya-Mancipe, J.M.; Cardoso, V.S.; Vermelho, A.B.; Thiré, R.M.D.M. Sub-Micrometer Polycaprolactone and Polyethylene Glycol-Based Fiber Mats with Iodine and Its Potential for Wound Healing. J. Biomed. Mater. Res.—A 2025, 113, e37913. [Google Scholar] [CrossRef]
- Alemomen, M.; Taymouri, S.; Saberi, S.; Varshosaz, J. Preparation, optimization, and in vitro–in vivo evaluation of sorafenib-loaded polycaprolactone and cellulose acetate nanofibers for the treatment of cutaneous leishmaniasis. Drug Deliv. Transl. Res. 2023, 13, 862–882. [Google Scholar] [CrossRef]
- Karamian, M.; Alemzadeh, E.; Abedi, A.; Eshaghi, S.; Abdollahpour-Alitappeh, M.; Alemzadeh, E.; Mahi-Birjand, M. Glucantime and quercetin electrospun nanofiber membranes: Fabrication and their evaluation as dressing for cutaneous leishmaniasis. Mol. Biochem. Parasitol. 2025, 261, 111663. [Google Scholar] [CrossRef]
- Schindelin, J.; Arganda-Carreras, I.; Frise, E.; Kaynig, V.; Longair, M.; Pietzsch, T.; Preibisch, S.; Rueden, C.; Saalfeld, S.; Schmid, B.; et al. Fiji: An open-source platform for biological-image analysis. Nat. Methods 2012, 9, 676–682. [Google Scholar] [CrossRef]
- OriginPro, 8.5.0 version; OriginLab Corporation: Northampton, MA, USA, 2010.
- OMNICTM Specta Software, 6.0 version; Thermo Nicolet Corporation: Madison, WI, USA; Thermo Fisher Scientific: Madison, WI, USA, 2008.
- DIFFRAC.EVA, 5.2 version; Bruker Corporation: Billerica, MA, USA, 2020.
- Peña-Guerrero, J.; Fernández-Rubio, C.; Burguete-Mikeo, A.; El-Dirany, R.; García-Sosa, A.T.; Nguewa, P. Discovery and Validation of Lmj_04_BRCT Domain, a Novel Therapeutic Target: Identification of Candidate Drugs for Leishmaniasis. Int. J. Mol. Sci. 2021, 22, 10493. [Google Scholar] [CrossRef]
- Souza, R.J.; Filho, J.E.S.; Simões, T.A.; Oliveira, J.E.; Medeiros, E.S. Experimental Investigation of Solution Blow Spinning Nozzle Geometry and Processing Parameters on Fiber Morphology. ACS Appl. Polym. Mater. 2024, 6, 9735–9743. [Google Scholar] [CrossRef]
- Monsores, K.G.D.; da Silva, A.O.; Oliveira, S.D.; Weber, R.P.; Dias, M.L. Production of nanofibers from solution blow spinning (SBS). J. Mater. Res. Technol. 2022, 16, 1824–1831. [Google Scholar] [CrossRef]
- Domínguez, J.E.; Olivos, E.; Vázquez, C.; Rivera, J.M.; Hernández-Cortes, R.; González-Benito, J. Automated low-cost device to produce sub-micrometric polymer fibers based on blow spun method. HardwareX 2021, 10, e00218. [Google Scholar] [CrossRef]
- Kweon, D.K.; Kawasaki, N.; Nakayama, A.; Aiba, S. Preparation and Characterization of Starch/Polycaprolactone Blend. J. App. Polym. Sci. 2004, 92, 1716–1723. [Google Scholar] [CrossRef]
- Murphy, S.H.; Leeke, G.A.; Jenkins, M.J. A Comparison of the use of FTIR spectroscopy with DSC in the characterization of melting and crystallization in polycaprolactone. Them. Anal. Calorim. 2012, 107, 669–674. [Google Scholar] [CrossRef]
- Thomas, R.; Soumya, K.R.; Mathew, J.; Radhakrishnan, E.K. Electrospun Polycaprolactone Membrane Incorporated with Biosynthesized Silver Nanoparticles as Effective Wound Dressing Material. Appl. Biochem. Biotechnol. 2015, 176, 2213–2224. [Google Scholar] [CrossRef]
- Lian, S.; Zhao, M.; Lamprou, D.A. One-Step fabrication method of insulin-loaded polycaprolactone nanofibres by blend electrospinning for diabetic wound care. Int. J. Pharm. 2025, 683, 126032. [Google Scholar] [CrossRef]
- Phillipson, K.; Hay, J.N.; Jenkins, M.J. Thermal analysis FTIR spectroscopy of poly(ε-caprolactone). Thermochim. Acta 2014, 595, 74–82. [Google Scholar] [CrossRef]
- Elzein, T.; Nasser-Eddine, M.; Delaite, C.; Bistac, S.; Dumas, P.J. Colloid . Interface Sci. 2004, 273, 381–387. [Google Scholar] [CrossRef]
- Sanchez-Rexach, E.; Meaurio, E.; Iturri, J.; Toca-Herrera, J.L.; Nir, S.; Reches, M.; Sarasua, J.R. Miscibility, interactions and antimicrobial activity of poly(ε-caprolactone)/chloramphenicol blends. Eur. Polym. J. 2018, 102, 30–37. [Google Scholar] [CrossRef]
- Watanabe, T.; He, Y.; Asakawa, N.; Yoshie, N.; Inoue, Y. Hydrogen-bonding interaction between poly(ε-caprolactone) and low-molecular-weight amino compounds. Polym. Int. 2001, 50, 463–468. [Google Scholar] [CrossRef]
- Barnes, A.J. Blue-shifting hydrogen bonds—Are they improper or proper? J. Mol. Struct. 2004, 704, 3–9. [Google Scholar] [CrossRef]
- McDowell, S.A.C. Comparative Computational Study of Frequency Shifts and Infrared Intensity Changes in Model Binary Complexes with Red- and Blue-Shifting Hydrogen Bonds. Molecules 2025, 30, 106. [Google Scholar] [CrossRef]
- Micale, N.; Piperno, A.; Mahfoudh, N.; Schurigt, U.; Schultheis, M.; Mineo, P.G.; Schirmeister, T.; Scala, A.; Grassi, G. Hyaluronic acid-pentamidine bioconjugate as macrophage mediated drug targeting delivery system for the treatment of Leishmaniasis. RSC Adv. 2015, 5, 95545. [Google Scholar] [CrossRef]
- Yu, H.; Jia, Y.; Yao, C.; Lu, Y. PCL/PEG core/sheath fibers with controlled drug release rate fabricated on the basis of a novel combined technique. Int. J. Pharm. 2014, 469, 17–22. [Google Scholar] [CrossRef]
- Shimanouchi, T.; Kakiuti, Y.; Gamo, I. Out-of-Plane CH Vibrations of Benzene Derivatives. J. Chem. Phys. 1956, 25, 1245–1251. [Google Scholar] [CrossRef]
- Steele, G. An observation of polymorphism in pentamidine isethionate. J. Pharm. Pharmacol. 1990, 42(2), 121–122. [Google Scholar] [CrossRef]
- Petlin, D.G.; Amarah, A.A.; Tverdokhlebov, S.S.; Anissimov, Y.G. A fiber distribution model for predicting drug release rates. J. Control. Release 2017, 258, 218–225. [Google Scholar] [CrossRef]
- Korsmeyer, R.W.; Gurny, R.; Doelker, E.; Buri, P.; Peppas, N.A. Mechanisms of solute release from porous hydrophilic polymers. Int. J. Pharm. 1983, 15, 25–35. [Google Scholar] [CrossRef]
- Ritger, P.L.; Peppas, N.A. A Simple Equation for Description of Solute Release II. Fickian and Anomalous Release from Swellable Devices. J. Control. Release 1987, 5, 37–42. [Google Scholar] [CrossRef]
- Costa, P.; Lobo, J.M.S. Modeling and Comparison of Dissolution Profiles. Eur. J. Pharm. Sci. 2001, 13, 123–133. [Google Scholar] [CrossRef]
- Pan, L.; Wang, D.; Sun, H.; Song, J.; Shen, X.; Su, F.; Li, S. Novel hybrid system based on carboxymethyl chitosan hydrogel encapsulating drug loaded nanoparticles for prolonged release of Vancomycin in the treatment of bacterial infection. J. Pharm. Sci. 2025, 114, 1563–1571. [Google Scholar] [CrossRef]
- Wang, J.F.; Hu, J.J. Enhanced drug release control in coaxial electrospun fibers via heat pressing: Reducing burst release and achieving dual-phase delivery. Int. J. Pharm. 2025, 674, 125501. [Google Scholar] [CrossRef]
- Crank, J. Diffusion in a cylinder. In The Mathematics of Diffusion, 2nd ed.; Clarendon Press: Oxford, UK, 1975; pp. 69–88. [Google Scholar]
- Halwes, M.E.; Tyo, K.M.; Steinbach-Rankins, J.M.; Frieboes, H.B. Computational Modeling of Antiviral Drug Diffusion from Poly(lactic-co-glycolic-acid) Fibers and Multicompartment Pharmacokinetics for Application to the Female Reproductive Tract. Mol. Pharm. 2018, 15, 1534–1547. [Google Scholar] [CrossRef]
- Tonge, M.P.; Stubbs, J.M.; Sundberg, D.C.; Gilbert, R.G. Penetrant diffusion in poly(methyl methacrylate) near Tg: Dependence on temperature and polymer weight fraction. Polymer 2000, 41, 3659–3670. [Google Scholar] [CrossRef]
- Mellinas, C.; Ramos, M.; Grau-Atienza, A.; Jordà, A.; Burgos, N.; Jiménez, A.; Serrano, E.; Garrigós, M.C. Biodegradable Poly(ε-Caprolactone) Active Films Loaded with MSU-X Mesoporous Silica for the Release of α-Tocopherol. Polymers 2020, 12, 137. [Google Scholar] [CrossRef]
- Changtam, C.; de Koning, H.P.; Ibrahim, H.; Sajid, M.S.; Gould, M.K.; Suksamrarn, A. Curcuminoid analogs with potent activity against Trypanosoma and Leishmania species. Eur. J. Med. Chem. 2010, 45, 941–956. [Google Scholar] [CrossRef]
- Gómez-Pérez, V.; Manzano, J.I.; García-Hernández, R.; Castanys, S.; Campos-Rosa, J.M.; Gamarro, F. 4-amino bis-pyridinium derivatives as novel antileishmanial agents. Antimicrob. Agents Chemother. 2014, 58, 4103–4112. [Google Scholar] [CrossRef]
- Seifert, K.; Munday, J.; Syeda, T.; Croft, S.L. In vitro interactions between sitamaquine and amphotericin B, sodium stibogluconate, miltefosine, paromomycin and pentamidine against Leishmania donovani. J. Antimicrob. Chemother. 2011, 66, 850–854. [Google Scholar] [CrossRef]
- XM_001682011.1, PCNA Leishmania major. Available online: https://www.ncbi.nlm.nih.gov/nuccore/XM_001682011.1 (accessed on 9 June 2025).
- XM_001464436.1, PCNA Leishmania infantum. Available online: https://www.ncbi.nlm.nih.gov/nuccore/XM_001464436.1 (accessed on 9 June 2025).
- Q4QF35, PCNA Leishmania major. Available online: https://www.uniprot.org/uniprotkb/Q4QF35/entry (accessed on 9 June 2025).
- A0A6L0X4I9, PCNA Leishmania infantum. Available online: https://www.uniprot.org/uniprotkb/A0A6L0X4I9/entry (accessed on 9 June 2025).
- XM_001681993.1, TOP2 Leishmania major. Available online: https://www.ncbi.nlm.nih.gov/nuccore/XM_001681993.1 (accessed on 9 June 2025).
- XM_001464418.1, TOP2 Leishmania infantum. Available online: https://www.ncbi.nlm.nih.gov/nuccore/XM_001464418.1 (accessed on 9 June 2025).
- Q4QF53, TOP2 Leishmania major. Available online: https://www.uniprot.org/uniprotkb/Q4QF53/entry (accessed on 9 June 2025).
- A4HWL4, TOP2 Leishmania infantum. Available online: https://www.uniprot.org/uniprotkb/A4HWL4/entry (accessed on 9 June 2025).
- CAJ02400.1, MCM4 Leishmania major. Available online: https://www.ebi.ac.uk/ena/browser/view/CAJ02400 (accessed on 9 June 2025).
- Q4QI01, MCM4 Leishmania major. Available online: https://www.uniprot.org/uniprotkb/Q4QI01/entry (accessed on 9 June 2025).
- A0A6L0WIZ6, MCM4 Leishmania infantum. Available online: https://www.uniprot.org/uniprotkb/A0A6L0WIZ6/entry (accessed on 9 June 2025).
- Coelho, A.C.; Messier, N.; Ouellette, M.; Cotrim, P.C. Role of the ABC transporter PRP1 (ABCC7) in pentamidine resistance in Leishmania amastigotes. Antimicrob. Agents Chemother. 2007, 51, 3030–3032. [Google Scholar] [CrossRef]
- Coelho, A.C.; Gentil, L.G.; da Silveira, J.F.; Cotrim, P.C. Characterization of Leishmania (Leishmania) amazonensis promastigotes resistant to pentamidine. Exp. Parasitol. 2008, 120, 98–102. [Google Scholar] [CrossRef]
- XM_001685077.1, PRP1 Leishmania major. Available online: https://www.ncbi.nlm.nih.gov/nuccore/XM_001685077.1 (accessed on 12 June 2025).
- XM_001467402.1, PRP1 Leishmania infantum. Available online: https://www.ncbi.nlm.nih.gov/nuccore/XM_001467402.1 (accessed on 12 June 2025).
- Q4Q6B9, PRP1 Leishmania major. Available online: https://www.uniprot.org/uniprotkb/Q4Q6B9/entry (accessed on 12 June 2025).
- A4I6S0, PRP1 Leishmania infantum. Available online: https://www.uniprot.org/uniprotkb/A4I6S0/entry (accessed on 12 June 2025).
- Coelho, A.C.; Yamashiro-Kanashiro, E.H.; Bastos, S.F.; Mortara, R.A.; Cotrim, P.C. Intracellular location of the ABC transporter PRP1 related to pentamidine resistance in Leishmania major. Mol. Biochem. Parasitol. 2006, 150, 378–383. [Google Scholar] [CrossRef] [PubMed]
- XM_001683852.1, CYCA Leishmania major. Available online: https://www.ncbi.nlm.nih.gov/nuccore/XM_001683852.1 (accessed on 15 June 2025).
- XM_001466147.1, CYCA Leishmania infantum. Available online: https://www.ncbi.nlm.nih.gov/nuccore/XM_001466147.1 (accessed on 15 June 2025).
- Q4Q9U4, CYCA Leishmania major. Available online: https://www.uniprot.org/uniprotkb/Q4Q9U4/entry (accessed on 15 June 2025).
- A4I1J3, CYCA Leishmania infantum. Available online: https://www.uniprot.org/uniprotkb/A4I1J3/entry (accessed on 15 June 2025).
- XM_001685606.1, CYC6 Leishmania major. Available online: https://www.ncbi.nlm.nih.gov/nuccore/XM_001685606.1 (accessed on 15 June 2025).
- XM_001467989.1, CYC6 Leishmania infantum. Available online: https://www.ncbi.nlm.nih.gov/nuccore/XM_001467989.1 (accessed on 15 June 2025).
- Q4Q4U0, CYC6 Leishmania major. Available online: https://www.uniprot.org/uniprotkb/Q4Q4U0/entry (accessed on 15 June 2025).
- A4I8F7, CYC6 Leishmania infantum. Available online: https://www.uniprot.org/uniprotkb/A4I8F7/entry (accessed on 15 June 2025).









| Sample | Surface-Weight Ratio (cm2/mg) | Thickness at the Center (mm) | Thickness at the Edges (mm) |
|---|---|---|---|
| 5% PCL, 15 cm, 150 rpm, 0.5 mm | 0.316 ± 0.008 | 0.19 ± 0.01 | 0.11 ± 0.01 |
| 5% PCL, 15 cm, 250 rpm, 0.5 mm | 0.273 ± 0.011 | 0.27 ± 0.01 | 0.15 ± 0.02 |
| 5% PCL, 15 cm, 350 rpm, 0.5 mm | 0.193 ± 0.008 | 0.41 ± 0.00 | 0.22 ± 0.02 |
| 5% PCL, 15 cm, 300 rpm, 0.3 mm | 0.159 ± 0.004 | 0.56 ± 0.03 | 0.15 ± 0.01 |
| 5% PCL, 20 cm, 300 rpm, 0.5 mm | 0.184 ± 0.009 | 0.45 ± 0.04 | 0.13 ± 0.01 |
| 6% PCL, 15 cm, 150 rpm, 0.5 mm | 0.354 ± 0.004 | 0.19 ± 0.02 | 0.11 ± 0.01 |
| 6% PCL, 15 cm, 250 rpm, 0.5 mm | 0.410 ± 0.016 | 0.19 ± 0.01 | 0.10 ± 0.02 |
| 6% PCL, 15 cm, 350 rpm, 0.5 mm | 0.250 ± 0.004 | 0.29 ± 0.02 | 0.11 ± 0.01 |
| 6% PCL, 15 cm, 300 rpm, 0.3 mm | 0.202 ± 0.007 | 0.43 ± 0.01 | 0.11 ± 0.01 |
| 6% PCL, 20 cm, 300 rpm, 0.5 mm | 0.358 ± 0.012 | 0.24 ± 0.02 | 0.11 ± 0.01 |
| 7% PCL, 15 cm, 300 rpm, 0.3 mm | 0.207 ± 0.004 | 0.43 ± 0.01 | 0.11 ± 0.01 |
| Sample | Surface-Weight Ratio (cm2/mg) | Thickness at the Center (mm) | Thickness at the Edges (mm) | Drug Loading (%) | Encapsulation Efficacy (%) |
|---|---|---|---|---|---|
| 5% PCL, 3% PTM, 0.5 mm | 0.17 ± 0.02 | 0.49 ± 0.04 | 0.23 ± 0.03 | 2.5 ± 0.2 | 83 ± 6 |
| 5% PCL, 3% PTM, 0.3 mm | 0.13 ± 0.02 | 0.51 ± 0.09 | 0.22 ± 0.02 | 2.6 ± 0.2 | 87 ± 6 |
| Needle | 0.3 mm | 0.5 mm |
|---|---|---|
| k | 0.104 ± 0.004 | 0.131 ± 0.003 |
| n | 0.51 ± 0.04 | 0.52 ± 0.08 |
| Needle Tip Diameter | 0.3 mm | 0.5 mm |
|---|---|---|
| fmax | 0.500 | 0.488 |
| D, Mean ± SD (m2/s) | (2.61 ± 0.35) × 10−20 | (6.22 ± 1.01) × 10−20 |
| Sample | IC50 (Mean ± SD) | CC50 (Mean ± SD) | Ratio (CC50/IC50) |
|---|---|---|---|
| Free PTM | 2.85 ± 0.12 µM | 3.37 ± 0.51 µM | 1.2 |
| Released PTM | 7.35 ± 0.06% | 31.40 ± 3.90% | 4.3 |
Disclaimer/Publisher’s Note: The statements, opinions and data contained in all publications are solely those of the individual author(s) and contributor(s) and not of MDPI and/or the editor(s). MDPI and/or the editor(s) disclaim responsibility for any injury to people or property resulting from any ideas, methods, instructions or products referred to in the content. |
© 2026 by the authors. Licensee MDPI, Basel, Switzerland. This article is an open access article distributed under the terms and conditions of the Creative Commons Attribution (CC BY) license.
Share and Cite
Guembe-Michel, N.; Nguewa, P.; González-Gaitano, G. Pentamidine-Functionalized Polycaprolactone Nanofibers Produced by Solution Blow Spinning for Controlled Release in Cutaneous Leishmaniasis Treatment. Polymers 2026, 18, 170. https://doi.org/10.3390/polym18020170
Guembe-Michel N, Nguewa P, González-Gaitano G. Pentamidine-Functionalized Polycaprolactone Nanofibers Produced by Solution Blow Spinning for Controlled Release in Cutaneous Leishmaniasis Treatment. Polymers. 2026; 18(2):170. https://doi.org/10.3390/polym18020170
Chicago/Turabian StyleGuembe-Michel, Nerea, Paul Nguewa, and Gustavo González-Gaitano. 2026. "Pentamidine-Functionalized Polycaprolactone Nanofibers Produced by Solution Blow Spinning for Controlled Release in Cutaneous Leishmaniasis Treatment" Polymers 18, no. 2: 170. https://doi.org/10.3390/polym18020170
APA StyleGuembe-Michel, N., Nguewa, P., & González-Gaitano, G. (2026). Pentamidine-Functionalized Polycaprolactone Nanofibers Produced by Solution Blow Spinning for Controlled Release in Cutaneous Leishmaniasis Treatment. Polymers, 18(2), 170. https://doi.org/10.3390/polym18020170

