Bio-Based Pectin-Calcium Film and Foam Adsorbents with Immobilized Fe–BTC MOF for Water Contaminant Removal
Abstract
1. Introduction
2. Materials and Methods
2.1. Materials
Contaminant Selection Rationale
2.2. MOF Dispersion Methods
2.3. Composite Preparation
2.3.1. Film Fabrication (Solvent Casting)
2.3.2. Foam Fabrication (Freeze-Drying)
2.3.3. Samples Conditioning
2.4. Adsorption Experiments
2.4.1. Kinetic Experiments
2.4.2. Isotherms Experiments
2.4.3. Reusability Studies
2.4.4. Models
2.5. Characterization Techniques
3. Results and Discussion
3.1. Characterization of MOF Dispersion
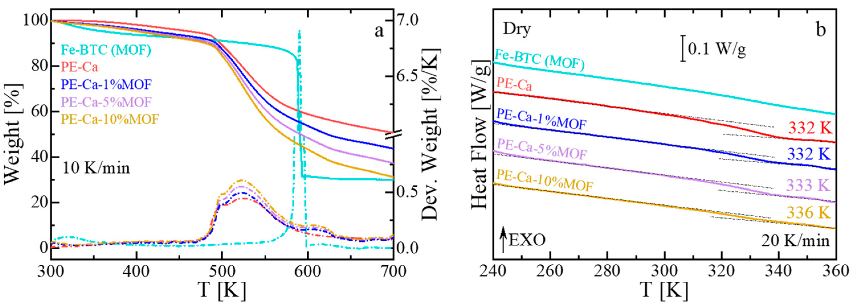
3.2. Structural Characterization of PE–Ca–MOF Films Using the Water-Dispersed Method
3.3. Influence of MOFs on the Adsorption of Heavy Metals
3.4. Effect of MOFs Content on the Adsorption of Pharmaceuticals and Pesticides
3.5. Kinetics and Isotherms of Adsorption of Paraquat and Tetracycline on PE–Ca–5%MOF
3.6. Interaction Mechanism
3.7. Reusability of PE–Ca–5%MOF
3.8. Structural Characterization of PE–Ca–MOF Film and Foam Using the PVP–Dispersed Method
4. Conclusions
Supplementary Materials
Author Contributions
Funding
Institutional Review Board Statement
Data Availability Statement
Acknowledgments
Conflicts of Interest
References
- Coin, F.; Rodríguez-Ramírez, C.A.; Oyarbide, F.S.; Picón, D.; Goyanes, S.; Cerveny, S. Efficient Antibiotic Removal from Water Using Europium-Doped Poly(Vinyl Alcohol) Nanofiber Mats Esterified with Citric Acid. J. Water Process. Eng. 2024, 63, 105447. [Google Scholar] [CrossRef]
- Rodríguez-Ramírez, C.A.; Coin, F.; Vergara-Rubio, A.; Picón, D.; Cerveny, S.; Goyanes, S. Enhanced Tetracycline Removal through “in Situ” Europium Incorporation in Poly (Vinyl Alcohol) (PVA) Electrospun Mats: Advantages of This Strategy in Adsorption and Reuse over Doping. Chemosphere 2025, 372, 144102. [Google Scholar] [CrossRef] [PubMed]
- Santos, A.C.; Coin, F.; Cerveny, S.; Marzocca, A.J.; Goyanes, S.N. Beyond the Surface Area: The Effect of Electrospinning versus Casting on Molecular Packing and Its Impact on the Production of Efficient PVA-Pectin-Fe Adsorbents. Int. J. Biol. Macromol. 2025, 332, 148565. [Google Scholar] [CrossRef] [PubMed]
- T.C., P.; Sharma, S.K.; Kennedy, M. Nanoparticles in Household Level Water Treatment: An Overview. Sep. Purif. Technol. 2018, 199, 260–270. [Google Scholar] [CrossRef]
- Das, R. Carbon Nanotubes for Clean Water; Springer: Berlin/Heidelberg, Germany, 2018; ISBN 3319956027. [Google Scholar]
- Zeghioud, H.; Fryda, L.; Djelal, H.; Assadi, A.; Kane, A. A Comprehensive Review of Biochar in Removal of Organic Pollutants from Wastewater: Characterization, Toxicity, Activation/Functionalization and Influencing Treatment Factors. J. Water Process. Eng. 2022, 47, 102801. [Google Scholar] [CrossRef]
- Vieira, Y.; Netto, M.S.; Lima, É.C.; Anastopoulos, I.; Oliveira, M.L.S.; Dotto, G.L. An Overview of Geological Originated Materials as a Trend for Adsorption in Wastewater Treatment. Geosci. Front. 2022, 13, 101150. [Google Scholar] [CrossRef]
- Liu, X.; Shan, Y.; Zhang, S.; Kong, Q.; Pang, H. Application of Metal Organic Framework in Wastewater Treatment. Green Energy Environ. 2023, 8, 698–721. [Google Scholar] [CrossRef]
- Singh, S.; Sivaram, N.; Nath, B.; Khan, N.A.; Singh, J.; Ramamurthy, P.C. Metal Organic Frameworks for Wastewater Treatment, Renewable Energy and Circular Economy Contributions. NPJ Clean Water 2024, 7, 124. [Google Scholar] [CrossRef]
- Nazir, M.A.; Ullah, S.; Shahid, M.U.; Hossain, I.; Najam, T.; Ismail, M.A.; Rehman, A.U.; Karim, M.R.; Shah, S.S.A. Zeolitic Imidazolate Frameworks (ZIF-8 & ZIF-67): Synthesis and Application for Wastewater Treatment. Sep. Purif. Technol. 2025, 356, 129828. [Google Scholar] [CrossRef]
- Liu, X.; Wang, X.; Kapteijn, F. Water and Metal-Organic Frameworks: From Interaction toward Utilization. Chem. Rev. 2020, 120, 8303–8377. [Google Scholar] [CrossRef]
- El-Sewify, I.M.; Ma, S. Recent Development of Metal-Organic Frameworks for Water Purification. Langmuir 2024, 40, 5060–5076. [Google Scholar] [CrossRef] [PubMed]
- Yang, F.; Du, M.; Yin, K.; Qiu, Z.; Zhao, J.; Liu, C.; Zhang, G.; Gao, Y.; Pang, H. Applications of Metal-Organic Frameworks in Water Treatment: A Review. Small 2022, 18, 2105715. [Google Scholar] [CrossRef]
- Chu, H.; Wang, C.-C. Metal-Organic Frameworks Meet Synthetic Polymers for Water Decontamination: A Critical Review. Chem. Eng. J. 2023, 476, 146684. [Google Scholar] [CrossRef]
- Fang, Y.; Yang, Z.; Li, H.; Liu, X. MIL-100(Fe) and Its Derivatives: From Synthesis to Application for Wastewater Decontamination. Environ. Sci. Pollut. Res. 2020, 27, 4703–4724. [Google Scholar] [CrossRef] [PubMed]
- Santos, V.P.; Wezendonk, T.A.; Jaén, J.J.D.; Dugulan, A.I.; Nasalevich, M.A.; Islam, H.-U.; Chojecki, A.; Sartipi, S.; Sun, X.; Hakeem, A.A.; et al. Metal Organic Framework-Mediated Synthesis of Highly Active and Stable Fischer-Tropsch Catalysts. Nat. Commun. 2015, 6, 6451. [Google Scholar] [CrossRef]
- Shizari, P.N.; Kamran-Pirzaman, A.; Kiadehi, A.D.; Abedini, H. Paraquat Herbicide Removal from Aqueous Medium Using ZIF-8 and Fe-BTC Adsorbents: A Comparative Study. Sep. Purif. Technol. 2025, 363, 132285. [Google Scholar] [CrossRef]
- Azizi Vahed, T.; Naimi-Jamal, M.R.; Panahi, L. (Fe)MIL-100-Met@alginate: A Hybrid Polymer-MOF for Enhancement of Metformin’s Bioavailability and PH-Controlled Release. New J. Chem. 2018, 42, 11137–11146. [Google Scholar] [CrossRef]
- Rojas, S.; Navarro, J.A.R.; Horcajada, P. Metal-Organic Frameworks for the Removal of the Emerging Contaminant Atenolol under Real Conditions. Dalton Trans. 2021, 50, 2493–2500. [Google Scholar] [CrossRef]
- Xiang, W.; Liao, Y.; Cui, J.; Fang, Y.; Jiao, B.; Su, X. Room-Temperature Synthesis of Fe/Cu-BTC for Effective Removal of Tetracycline Antibiotic from Aquatic Environments. Inorg. Chem. Commun. 2024, 167, 112728. [Google Scholar] [CrossRef]
- Xiang, T.; Yang, R.; Li, L.; Lin, H.; Kai, G. Research Progress and Application of Pectin: A Review. J. Food Sci. 2024, 89, 6985–7007. [Google Scholar] [CrossRef]
- Kontogiorgos, V. Pectin: Technological and Physiological Properties; Springer: Berlin/Heidelberg, Germany, 2020; ISBN 3030534219. [Google Scholar]
- Martínez-Sabando, J.; Coin, F.; Melillo, J.H.; Goyanes, S.; Cerveny, S. A Review of Pectin-Based Material for Applications in Water Treatment. Materials 2023, 16, 2207. [Google Scholar] [CrossRef]
- Kozioł, A.; Środa-Pomianek, K.; Górniak, A.; Wikiera, A.; Cyprych, K.; Malik, M. Structural Determination of Pectins by Spectroscopy Methods. Coatings 2022, 12, 546. [Google Scholar] [CrossRef]
- Balaria, A.; Schiewer, S. Assessment of Biosorption Mechanism for Pb Binding by Citrus Pectin. Sep. Purif. Technol. 2008, 63, 577–581. [Google Scholar] [CrossRef]
- Assifaoui, A.; Loupiac, C.; Chambin, O.; Cayot, P. Structure of Calcium and Zinc Pectinate Films Investigated by FTIR Spectroscopy. Carbohydr. Res. 2010, 345, 929–933. [Google Scholar] [CrossRef] [PubMed]
- Jha, A.; Mishra, S. Exploring the Potential of Waste Biomass-Derived Pectin and Its Functionalized Derivatives for Water Treatment. Int. J. Biol. Macromol. 2024, 275, 133613. [Google Scholar] [CrossRef]
- Coin, F.; Di Lisio, V.; Cangialosi, D.; Cerveny, S. The Glass Transition and the Dynamics of Water within Pectin and Metal-Organic Framework Nanochannels. J. Chem. Phys. 2025, 163, 164507. [Google Scholar] [CrossRef]
- Ramírez-Alba, M.D.; Romanini, M.; Pérez-Madrigal, M.M.; Tamarit, J.L.; Alemán, C.; Macovez, R. Protonic Charge Conduction and H2O-Induced Relaxations in Hydrated Sodium Alginate and in Calcium Alginate Hydrogels and Xerogels. J. Chem. Phys. 2025, 163, 034901. [Google Scholar] [CrossRef]
- Martínez-Sabando, J.; Coin, F.; Raposo, J.C.; Larrañaga, A.; Melillo, J.H.; Cerveny, S. Dual Crosslinking of Low-Methoxyl Pectin by Calcium and Europium for the Simultaneous Removal of Pharmaceuticals and Divalent Heavy Metals. Chem. Eng. J. 2023, 475, 146162. [Google Scholar] [CrossRef]
- Coin, F.; Larrañaga, A.; Cerveny, S. Structural Characterization of Low Methoxyl Pectin-Based Adsorbents: The Role of Water on Pectin Structure. Carbohydr. Polym. Technol. Appl. 2025, 11, 100885. [Google Scholar] [CrossRef]
- Zhu, R.; Cai, M.; Fu, T.; Yin, D.; Peng, H.; Liao, S.; Du, Y.; Kong, J.; Ni, J. Fe-Based Metal Organic Frameworks (Fe-MOFs) for Bio-Related Applications. Pharmaceutics 2023, 15, 1599. [Google Scholar] [CrossRef]
- Chen, G.; Leng, X.; Luo, J.; You, L.; Qu, C.; Dong, X.; Huang, H.; Yin, X.; Ni, J. In Vitro Toxicity Study of a Porous Iron(III) Metal-Organic Framework. Molecules 2019, 24, 1211. [Google Scholar] [CrossRef]
- Rajoria, S.; Vashishtha, M.; Sangal, V.K. Treatment of Electroplating Industry Wastewater: A Review on the Various Techniques. Environ. Sci. Pollut. Res. 2022, 29, 72196–72246. [Google Scholar] [CrossRef]
- Donaher, S.E.; Van den Hurk, P. Ecotoxicology of the Herbicide Paraquat: Effects on Wildlife and Knowledge Gaps. Ecotoxicology 2023, 32, 1187–1199. [Google Scholar] [CrossRef] [PubMed]
- Daghrir, R.; Drogui, P. Tetracycline Antibiotics in the Environment: A Review. Env. Chem. Lett. 2013, 11, 209–227. [Google Scholar] [CrossRef]
- Cao, L.; Lu, W.; Mata, A.; Nishinari, K.; Fang, Y. Egg-Box Model-Based Gelation of Alginate and Pectin: A Review. Carbohydr. Polym. 2020, 242, 116389. [Google Scholar] [CrossRef]
- Vareda, J.P. On Validity, Physical Meaning, Mechanism Insights and Regression of Adsorption Kinetic Models. J. Mol. Liq. 2023, 376, 121416. [Google Scholar] [CrossRef]
- Cavanaugh, J.E.; Neath, A.A. The Akaike Information Criterion: Background, Derivation, Properties, Application, Interpretation, and Refinements. WIREs Comput. Stat. 2019, 11, e1460. [Google Scholar] [CrossRef]
- Neath, A.A.; Cavanaugh, J.E. The Bayesian Information Criterion: Background, Derivation, and Applications. Wiley Interdiscip. Rev. Comput. Stat. 2012, 4, 199–203. [Google Scholar] [CrossRef]
- Merli, G.; Becci, A.; Amato, A.; Beolchini, F. Acetic Acid Bioproduction: The Technological Innovation Change. Sci. Total Environ. 2021, 798, 149292. [Google Scholar] [CrossRef]
- Chang, S.; Simeng, Y.; Henglong, T.; Shihao, F.; Zhu, L. Adsorption Properties and Interactions Analysis of Cyclodextrin-Based Polymer Networks towards Organic Dyes. Carbohydr. Polym. Technol. Appl. 2023, 5, 100317. [Google Scholar] [CrossRef]
- Wang, J.; Guo, X. Adsorption Kinetic Models: Physical Meanings, Applications, and Solving Methods. J. Hazard. Mater. 2020, 390, 122156. [Google Scholar] [CrossRef] [PubMed]
- Wang, J.; Guo, X. Adsorption Isotherm Models: Classification, Physical Meaning, Application and Solving Method. Chemosphere 2020, 258, 127279. [Google Scholar] [CrossRef]
- SenGupta, A.K. Ion Exchange in Environmental Processes: Fundamentals, Applications and Sustainable Technology; John Wiley & Sons: Hoboken, NJ, USA, 2017; ISBN 1119157390. [Google Scholar]
- Lu, G.; Li, S.; Guo, Z.; Farha, O.K.; Hauser, B.G.; Qi, X.; Wang, Y.; Wang, X.; Han, S.; Liu, X.; et al. Imparting Functionality to a Metal-Organic Framework Material by Controlled Nanoparticle Encapsulation. Nat. Chem. 2012, 4, 310–316. [Google Scholar] [CrossRef]
- Li, C.; Liu, J.; Zhang, K.; Zhang, S.; Lee, Y.; Li, T. Coating the Right Polymer: Achieving Ideal Metal-Organic Framework Particle Dispersibility in Polymer Matrixes Using a Coordinative Crosslinking Surface Modification Method. Angew. Chem. Int. Ed. 2021, 60, 14138–14145. [Google Scholar] [CrossRef]
- Assifaoui, A.; Lerbret, A.; Uyen, H.T.D.; Neiers, F.; Chambin, O.; Loupiac, C.; Cousin, F. Structural Behaviour Differences in Low Methoxy Pectin Solutions in the Presence of Divalent Cations (Ca2+ and Zn2+): A Process Driven by the Binding Mechanism of the Cation with the Galacturonate Unit. Soft Matter 2015, 11, 551–560. [Google Scholar] [CrossRef]
- Gohil, R.M. Synergistic Blends of Natural Polymers, Pectin and Sodium Alginate. J. Appl. Polym. Sci. 2011, 120, 2324–2336. [Google Scholar] [CrossRef]
- Wang, R.; Liang, R.; Dai, T.; Chen, J.; Shuai, X.; Liu, C. Pectin-Based Adsorbents for Heavy Metal Ions: A Review. Trends Food Sci. Technol. 2019, 91, 319–329. [Google Scholar] [CrossRef]
- Iacovone, C.; Coin, F.; Goyanes, S.; Cerveny, S. Calcium Crosslinking Modulates Structure and Pharmaceutical Removal of Pectin-Based Water Treatment Adsorbents. SSRN 2025. [Google Scholar] [CrossRef]
- Pappas, C.G.; Tzakos, A.G.; Gerothanassis, I.P. On the Hydration State of Amino Acids and Their Derivatives at Different Ionization States: A Comparative Multinuclear NMR and Crystallographic Investigation. J. Amino Acids 2012, 2012, 565404. [Google Scholar] [CrossRef]
- Sips, R. On the Structure of a Catalyst Surface. J. Chem. Phys. 1948, 16, 490–495. [Google Scholar] [CrossRef]
- Khezerlou, A.; Tavassoli, M.; Abedi-Firoozjah, R.; Alizadeh Sani, M.; Ehsani, A.; Varma, R.S. MOFs-Based Adsorbents for the Removal of Tetracycline from Water and Food Samples. Sci. Rep. 2025, 15, 502. [Google Scholar] [CrossRef]
- Mirbagheri, N.S.; Heizmann, P.A.; Trouillet, V.; Büttner, J.; Fischer, A.; Vierrath, S. Adsorptive and Photo-Fenton Properties of Bimetallic MIL-100(Fe,Sn) and MIL-100(Fe,Ir) MOFs toward Removal of Tetracycline from Aqueous Solutions. Mater. Adv. 2024, 5, 5724–5737. [Google Scholar] [CrossRef]
- Fox, T.G.; Loshaek, S. Influence of Molecular Weight and Degree of Crosslinking on the Specific Volume and Glass Temperature of Polymers. J. Polym. Sci. 1955, 15, 371–390. [Google Scholar] [CrossRef]
- Tsivintzelis, I.; Panayiotou, C. Designing Issues in Polymer Foaming with Supercritical Fluids. Macromol. Symp. 2013, 331–332, 109–114. [Google Scholar] [CrossRef]
- Synytsya, A.; Čopíková, J.; Matějka, P.; Machovič, V. Fourier Transform Raman and Infrared Spectroscopy of Pectins. Carbohydr. Polym. 2003, 54, 97–106. [Google Scholar] [CrossRef]











| Material | Ca2+ads [mg/L] | Ca2+ads [mmol] | R |
|---|---|---|---|
| PE–Ca | 67.5 ± 2.9 a | 1.69 ± 0.07 a | 0.29 |
| PE–Ca–1%MOF | 67.5 ± 1.6 a | 1.68 ± 0.04 a | 0.29 |
| PE–Ca–5%MOF | 68.6 ± 2.7 a | 1.71 ± 0.07 a | 0.29 |
| PE–Ca–10%MOF | 66.2 ± 3.1 a | 1.65 ± 0.08 a | 0.28 |
| Zn2+ Adsorption | ||
|---|---|---|
| Material | q24h [mg/g] | REff [%] |
| PE–Ca | 31.9 ± 1.9 a | 63.9 ± 3.9 a |
| PE–Ca–1%MOF | 31.8 ± 2.4 a | 62.4 ± 4.7 a |
| PE–Ca–5%MOF | 31.6 ± 2.1 a | 62.1 ± 4.2 a |
| PE–Ca–10%MOF | 32.5 ± 2.9 a | 63.9 ± 5.6 a |
| Zn2+ Adsorption | Ca2+ Desorption | ||||||||
|---|---|---|---|---|---|---|---|---|---|
| Material | R2 | k1 Zn2+ [min–1] | qe Zn2+ [mg/g] | Zn2+ [mmol] | REff [%] | k1 Ca2+ [min–1] | qe Ca2+ [mg/g] | Ca2+ [mmol] | Exchange Ratio |
| PE–Ca | 0.99 | 0.0091 ± 0.0005 a | 31.9 ± 0.6 a | 0.48 ± 0.01 a | 63.8 ± 1.2 a | 0.0109 ± 0.0006 a | 18.4 ± 0.3 a | 0.46 ± 0.01 a | 1.04 ± 0.03 a |
| PE–Ca–5%MOF | 0.99 | 0.0040 ± 0.0004 b | 31.2 ± 1.2 a | 0.48 ± 0.02 a | 62.4 ± 2.4 a | 0.0035 ± 0.0005 b | 19.9 ± 0.9 b | 0.49 ± 0.02 a | 0.98 ± 0.06 a |
| Adsorption Isotherms | ||||||||
|---|---|---|---|---|---|---|---|---|
| Langmuir | Freundlich | |||||||
| Pollutant | R2 | χ2 | qm [mg/g] | KL [L/mg] | R2 | χ2 | KF [L1/nmg1−1/ng−1] | 1/n |
| PQ | 0.95 | 4.8 | 33.5 ± 6.9 a | 0.05 ± 0.02 a | 0.91 | 6.8 | 2.9 ± 1.2 a | 0.5 ± 0.1 a |
| TC | 0.97 | 0.6 | 14.5 ± 1.3 b | 0.10 ± 0.03 a | 0.96 | 0.8 | 2.8 ± 0.5 a | 0.37 ± 0.05 a |
| Adsorption Kinetics | ||||||||
|---|---|---|---|---|---|---|---|---|
| PFO | PSO | |||||||
| Pollutant | R2 | χ2 | qm [mg/g] | k1 [min−1] | R2 | χ2 | qm [mg/g] | K2 [min−1] |
| PQ | 0.99 | 0.2 | 8.1 ± 0.3 a | 0.0059 ± 0.0006 a | 0.96 | 0.5 | 9.3 ± 0.7 a | 0.00073 ± 0.00023 a |
| TC | 0.99 | 0.03 | 4.6 ± 0.1 b | 0.0049 ± 0.0004 a | 0.97 | 0.1 | 5.4 ± 0.4 b | 0.00098 ± 0.00027 a |
Disclaimer/Publisher’s Note: The statements, opinions and data contained in all publications are solely those of the individual author(s) and contributor(s) and not of MDPI and/or the editor(s). MDPI and/or the editor(s) disclaim responsibility for any injury to people or property resulting from any ideas, methods, instructions or products referred to in the content. |
© 2026 by the authors. Licensee MDPI, Basel, Switzerland. This article is an open access article distributed under the terms and conditions of the Creative Commons Attribution (CC BY) license.
Share and Cite
Coin, F.; Iacovone, C.; Cerveny, S. Bio-Based Pectin-Calcium Film and Foam Adsorbents with Immobilized Fe–BTC MOF for Water Contaminant Removal. Polymers 2026, 18, 171. https://doi.org/10.3390/polym18020171
Coin F, Iacovone C, Cerveny S. Bio-Based Pectin-Calcium Film and Foam Adsorbents with Immobilized Fe–BTC MOF for Water Contaminant Removal. Polymers. 2026; 18(2):171. https://doi.org/10.3390/polym18020171
Chicago/Turabian StyleCoin, Francesco, Carolina Iacovone, and Silvina Cerveny. 2026. "Bio-Based Pectin-Calcium Film and Foam Adsorbents with Immobilized Fe–BTC MOF for Water Contaminant Removal" Polymers 18, no. 2: 171. https://doi.org/10.3390/polym18020171
APA StyleCoin, F., Iacovone, C., & Cerveny, S. (2026). Bio-Based Pectin-Calcium Film and Foam Adsorbents with Immobilized Fe–BTC MOF for Water Contaminant Removal. Polymers, 18(2), 171. https://doi.org/10.3390/polym18020171

