Data-Driven AI Approach for Optimizing Processes and Predicting Mechanical Properties of Boron Nitride Nanoplatelet-Reinforced PLA Nanocomposites
Abstract
1. Introduction
2. Materials and Methods
2.1. Materials
2.2. Fabrication of Samples
2.3. Design of Experiments (DOEs) with Taguchi
2.4. Mechanical Testing
2.4.1. Tensile Testing
2.4.2. Hardness Testing
2.5. Statistical Analysis by Analysis of Variables (ANOVA)
2.6. Machine Learning (ML)
2.6.1. Linear Regression
- General Linear Regression Model
- Model Coefficient Estimation
2.6.2. Support Vector Regression
2.6.3. Random Forest Regression
2.6.4. Gradient Boosting
2.6.5. Extreme Gradient Boosting (XG-Boost)
3. Results and Discussion
3.1. Mechanical Testing
3.1.1. Tensile Testing Results
3.1.2. Hardness Testing
3.2. Statistical Analysis
3.2.1. Taguchi Analysis
Tensile Testing
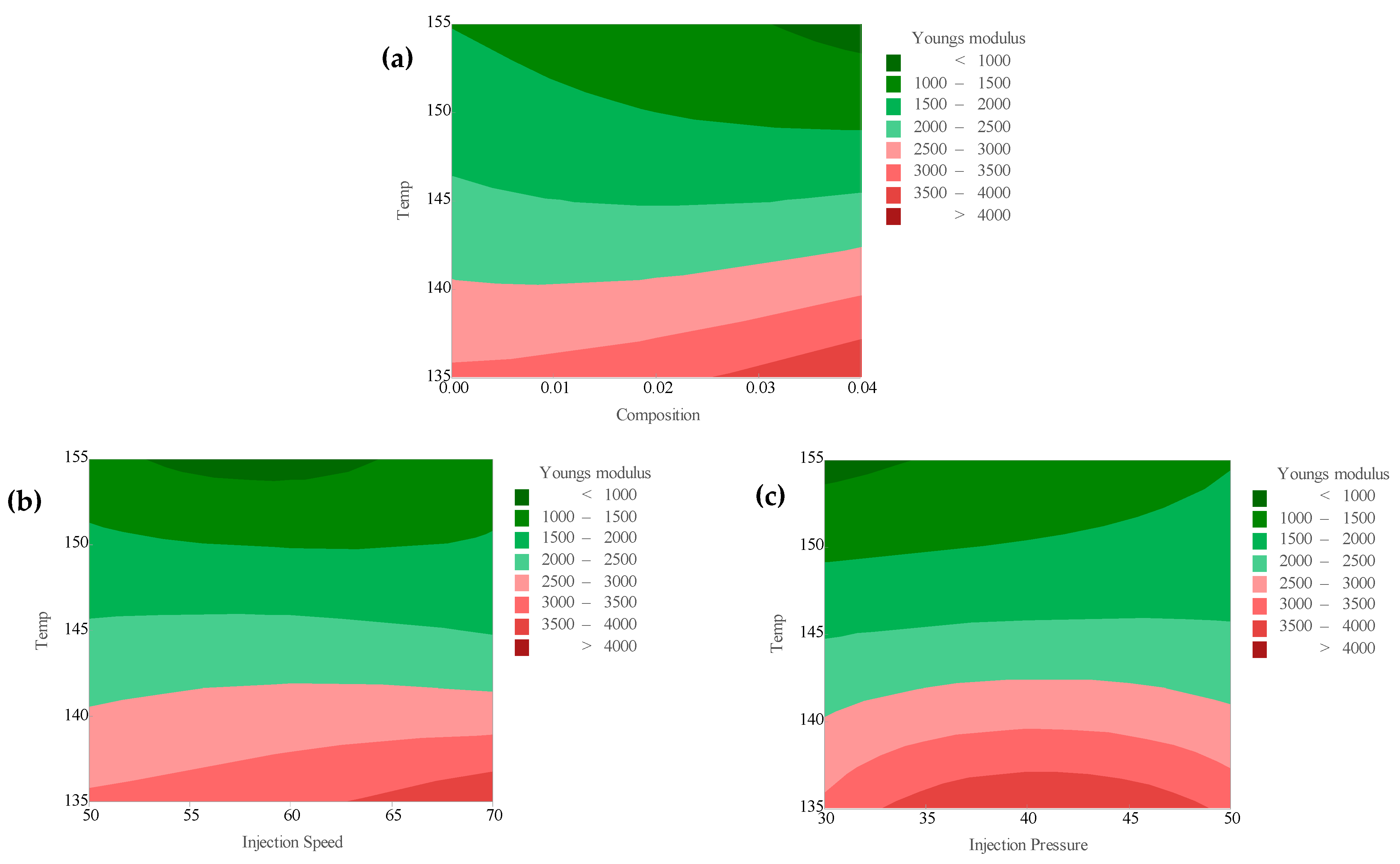
Young’s Modulus
Hardness
3.2.2. Analysis of Variance (ANOVA)
Tensile Testing
+ 0.023 P2(145) − 10.649 P2(155) − 0.122 P3(50) − 2.107 P3(60) + 2.229 P3(70)
− 1.294 P4(30) − 0.179 P4(40) + 1.473P4(50).
Young’s Modulus
− 185.900P2(145) − 1059.000P2(155) − 114.200P3(50) − 127.200P3(60)
+ 241.400P3(70) − 265.700 P4(30) + 191.100 P4(40) + 74.600 P4(50)
Hardness
+ 4.900P2(155) − 0.533P3(50) + 2.056P3(60) − 1.522P3(70) + 1.878P4(30) − 1.600P4(40)
− 0.278 P4(50)
3.3. Machine Learning (ML)
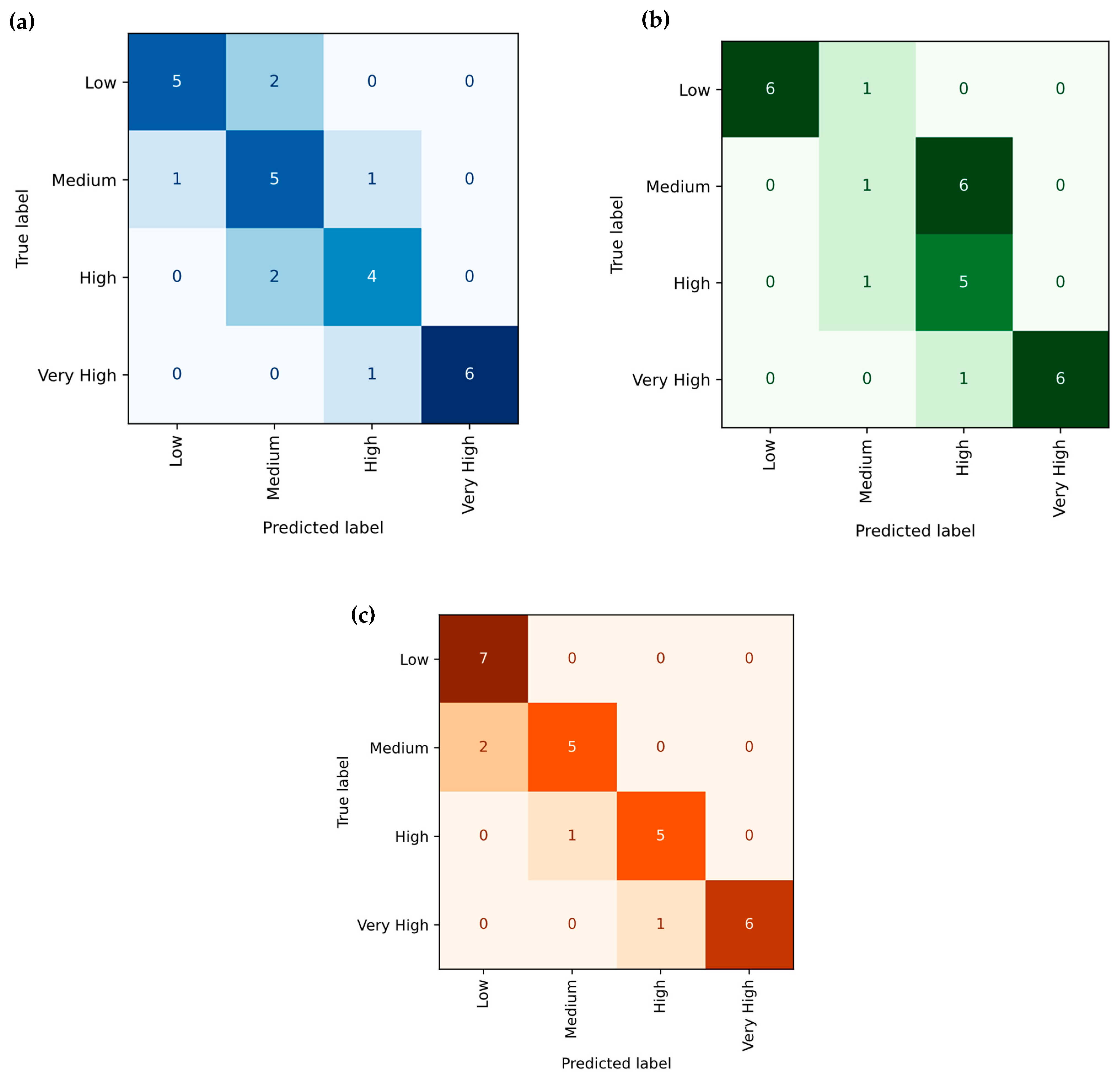
3.3.1. Linear Regression (LR)
3.3.2. Support Vector Regression (SVR)
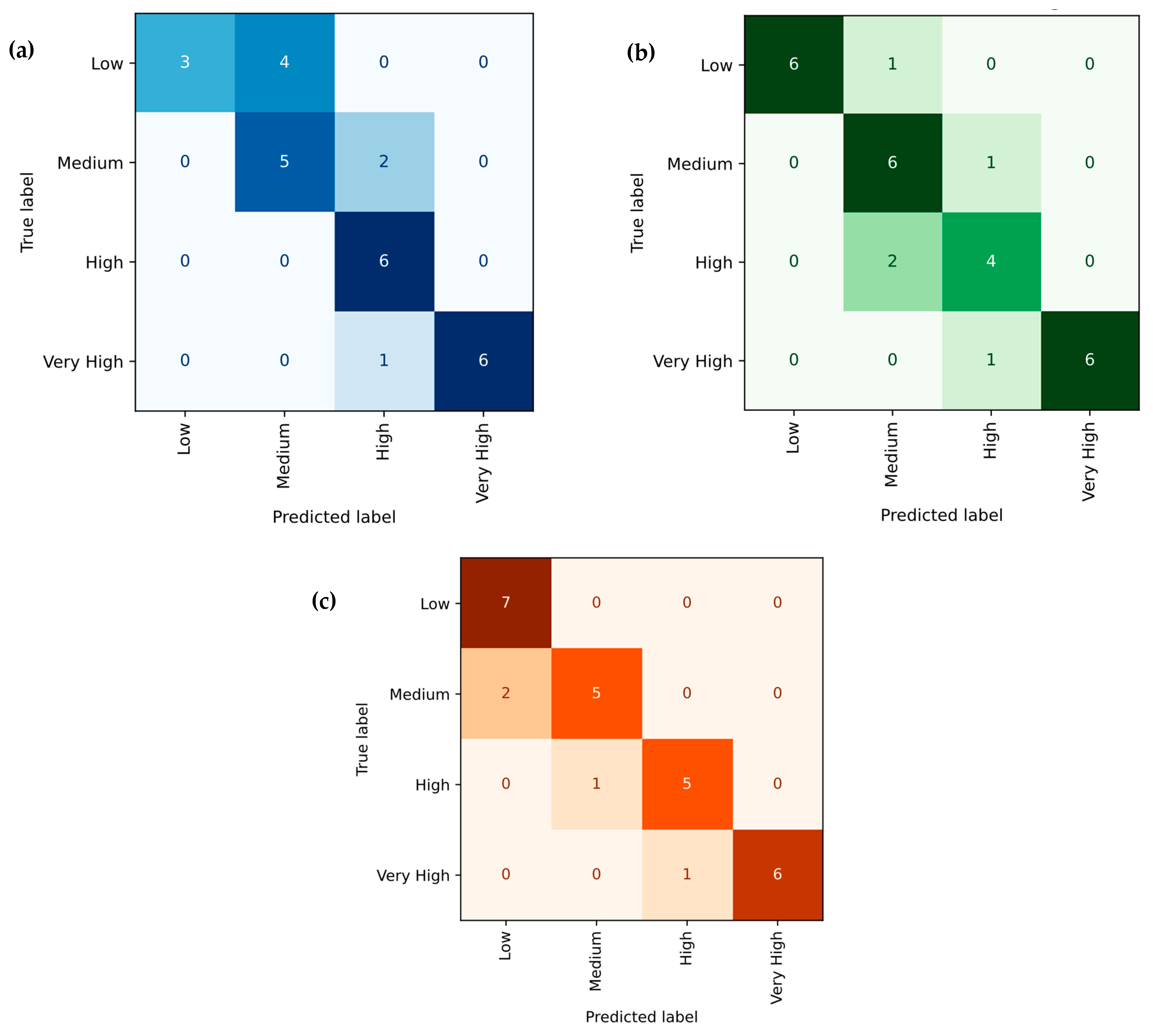
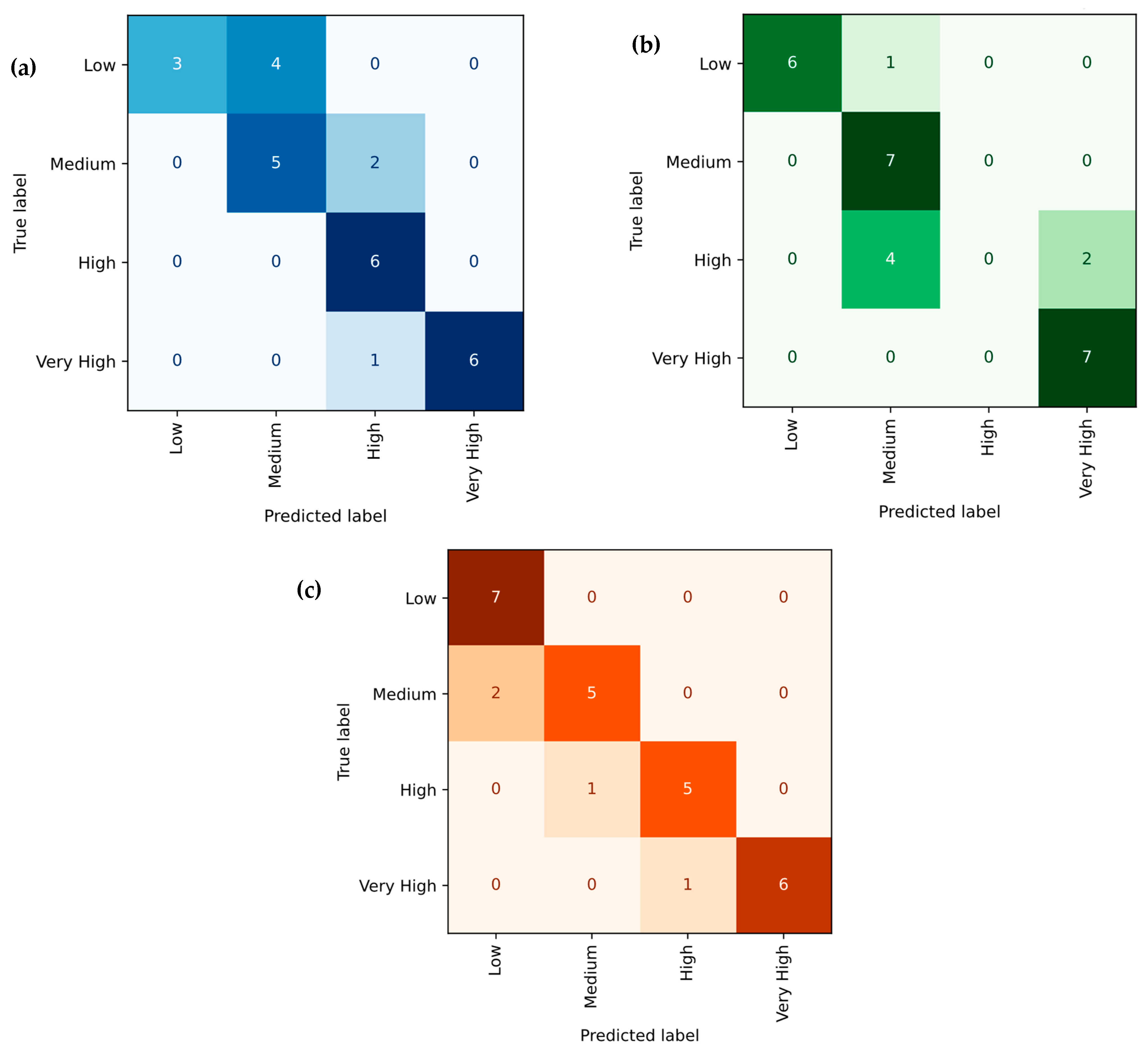
3.3.3. Random Forest Regression (RFR)
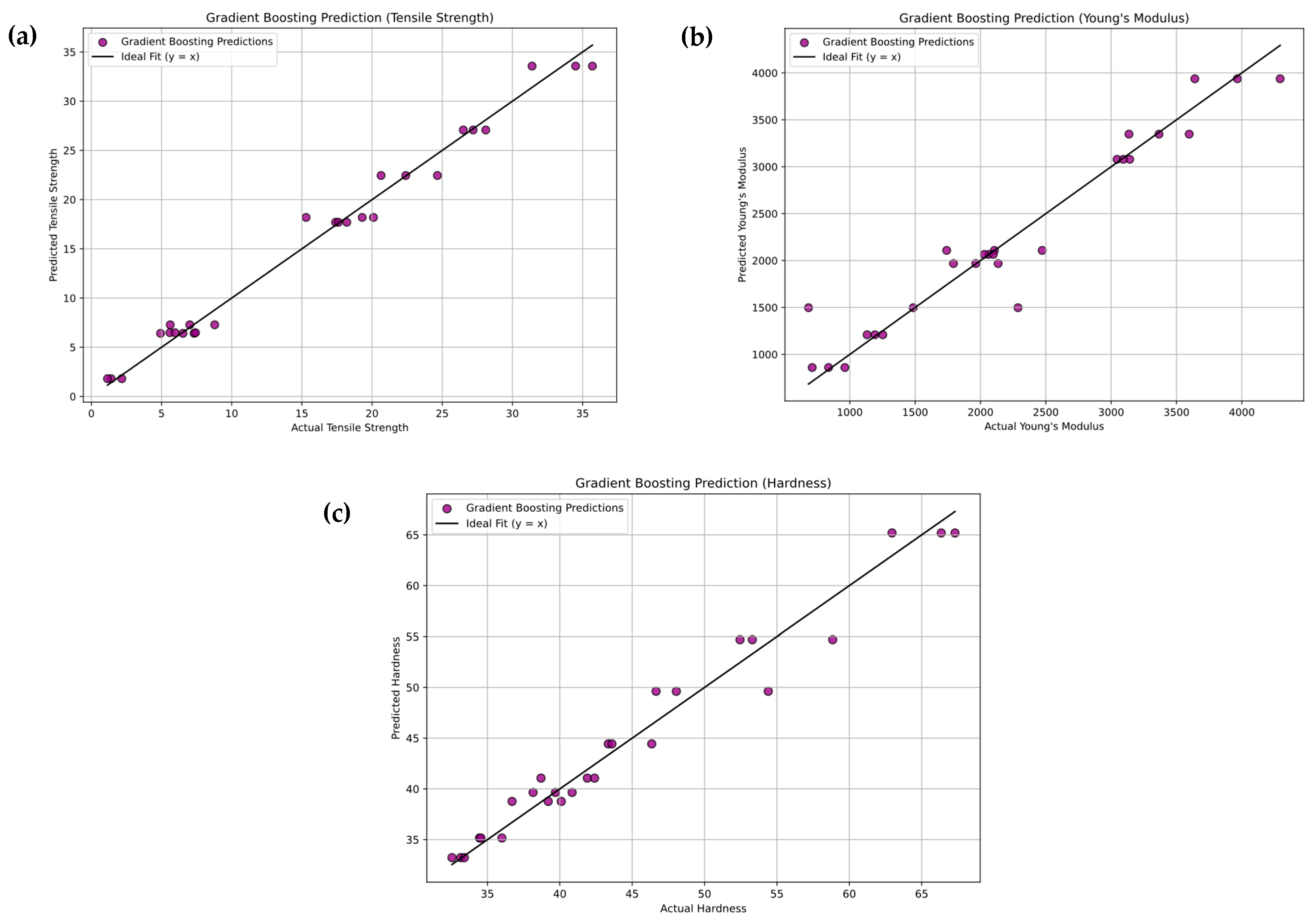
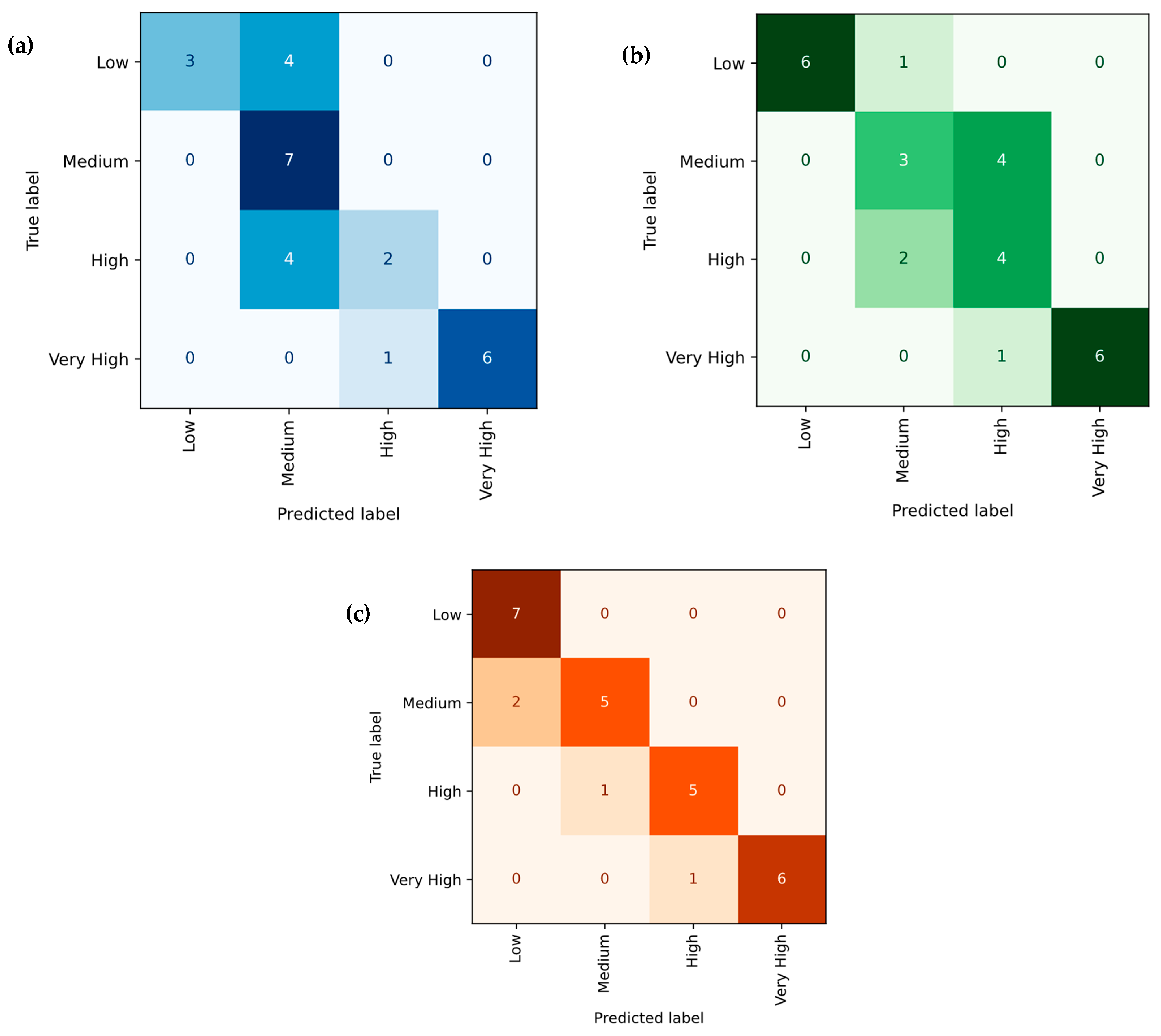
3.3.4. Gradient Boosting Regression (GBR)
3.3.5. Extreme Gradient Boosting (XG-Boosting)
4. Conclusions
- Reinforcement with 0.04 wt.% BNNP significantly enhanced PLA performance, improving tensile strength by 18.6%, Young’s modulus by 32.7%, and hardness by 20.5% compared to neat PLA.
- Taguchi L27 design revealed that higher BNNP content at optimal injection temperatures enhanced all properties, while excessive temperatures caused a reduction in tensile strength and modulus but an increase in hardness.
- ANOVA showed that processing temperature was the dominant factor for tensile strength (68.88%) and Young’s modulus (86.39%), whereas BNNP content was the major contributor to hardness (78.83%), followed by temperature (13.36%). Injection speed (60 mm/s) and pressure (40 bar) had only minor effects.
- Among the machine learning models used, XGBoost demonstrated the highest predictive accuracy, achieving R2 values above 98% for tensile strength, 92–93% for Young’s modulus, and 96% for hardness, with low error metrics (RMSE, MAE, MAPE). These results confirm that XGBoost is the most reliable model for property prediction in this study. However, the other models, such as RFR and GBR, also performed well, albeit with slightly lower accuracy than XGBoost.
Supplementary Materials
Author Contributions
Funding
Institutional Review Board Statement
Data Availability Statement
Conflicts of Interest
References
- Badgayan, N.D.; Sahu, S.K.; Rama Sreekanth, P.S. Investigation of wetting behavior of HDPE reinforced with nanoscopic 1D/2D filler system using contact angle goniometry. Mater. Today Proc. 2020, 26, 331–334. [Google Scholar]
- Prem Kumar, C.; Sivanagaraju, N.; Loknath, D.; Mallikarjun Rao, G.N.; Vakkalagadda, M.R.K. Shape Memory Polymers, Blends, and Composites: Processing, Properties, and Applications. Polym. Plast. Technol. Mater. 2025, 64, 1253–1281. [Google Scholar]
- Çevik Elen, N.; Çiçek, B.; Elen, L.; Moran, B.; Yıldırım, M.; Kanbur, Y. Investigation of cytotoxicity and genotoxicity properties of modified hemp fiber filled PLA biocomposites. Proc. Inst. Mech. Eng. Part H J. Eng. Med. 2025, 239, 697–705. [Google Scholar]
- Tutek, K.; Rosiak, A.; Kałużna-Czaplińska, J.; Masek, A. Biodegradable PLA-based materials modified with hemp extract. Polym. Test. 2024, 137, 108485. [Google Scholar] [CrossRef]
- Pokharel, A.; Falua, K.J.; Babaei-Ghazvini, A.; Acharya, B. Biobased polymer composites: A review. J. Compos. Sci. 2022, 6, 255. [Google Scholar] [CrossRef]
- Wang, Y.; Sultana, J.; Rahman, M.M.; Ahmed, A.; Azam, A.; Mushtaq, R.T.; Rehman, M. A sustainable and biodegradable building block: Review on mechanical properties of bamboo fibre reinforced PLA polymer composites and their emerging applications. Fibers Polym. 2022, 23, 3317–3342. [Google Scholar] [CrossRef]
- Zglobicka, I.; Joka-Yildiz, M.; Molak, R.; Kawalec, M.; Dubicki, A.; Wroblewski, J.; Dydek, K.; Boczkowska, A.; Kurzydlowski, K.J. Poly (lactic acid) matrix reinforced with diatomaceous earth. Materials 2022, 15, 6210. [Google Scholar] [CrossRef]
- Vasu, V.K.; Anand, P.B.; Nagaraja, S.; Ammarullah, M.I. Mechanical and fracture property optimization of graphene-SiO2-reinforced epoxy-PLA nanocomposites for biomedical applications. Results Chem. 2025, 13, 102040. [Google Scholar] [CrossRef]
- Yusoff, N.H.; Pal, K.; Narayanan, T.; De Souza, F.G. Recent trends on bioplastics synthesis and characterizations: Polylactic acid (PLA) incorporated with tapioca starch for packaging applications. J. Mol. Struct. 2021, 1232, 129954. [Google Scholar] [CrossRef]
- Ferdinánd, M.; Várdai, R.; Móczó, J.; Pukánszky, B. Poly (lactic acid) reinforced with synthetic polymer fibers: Interactions, structure and properties. Compos. Part A Appl. Sci. Manuf. 2023, 164, 107318. [Google Scholar] [CrossRef]
- Cao, W.; Zhang, R.; Jiang, X. Influence of low-melting-point SnPb alloy powder on the performance of polylactic acid in injection molding. Mater. Lett. 2024, 357, 135795. [Google Scholar]
- Andrzejewski, J.; Krawczak, A.; Wesoły, K.; Szostak, M. Rotational molding of biocomposites with addition of buckwheat husk filler. Structure-property correlation assessment for materials based on polyethylene (PE) and poly (lactic acid) PLA. Compos. Part B Eng. 2020, 202, 108410. [Google Scholar]
- Kryszak, B.; Biernat, M.; Tymowicz-Grzyb, P.; Junka, A.; Brożyna, M.; Worek, M.; Dzienny, P.; Antończak, A.; Szustakiewicz, K. The effect of extrusion and injection molding on physical, chemical, and biological properties of PLLA/HAp whiskers composites. Polymer 2023, 287, 126428. [Google Scholar] [CrossRef]
- Song, X.; Fang, C.; Li, Y.; Wang, P.; Zhang, Y.; Xu, Y. Characterization of mechanical properties of jute/PLA composites containing nano SiO2 modified by coupling agents. Cellulose 2022, 29, 835–848. [Google Scholar] [CrossRef]
- Bedi, S.S.; Mallesha, V. Influence of various nanofillers on the thermal, physio-chemical, and mechanical properties of the polylactic acid (PLA) based biocomposites. In Natural Fiber-Reinforced PLA Composites; Woodhead Publishing: Cambridge, UK, 2025; pp. 119–139. [Google Scholar]
- Maidana, R.V.; Munhoz, A.H., Jr.; Ramos, F.F.; Oliveira, A.L.D.; Neto, J.C.D.S.A.; Oliveira, V.I.D.; Lima, B.L.S.D.; Almeida, F.J.M.D. Synthesis and Characterization of a Pla Scaffold with Pseudoboehmite and Graphene Oxide Nanofillers Added. Nanomaterials 2025, 15, 167. [Google Scholar] [CrossRef] [PubMed]
- Liesenfeld, J.; Jablonski, J.J.; da Silva, J.R.F.; Buenos, A.A.; Scheuer, C.J. Exploring the influence of graphene incorporation on the characteristics of 3D-printed PLA. Int. J. Adv. Manuf. Technol. 2024, 130, 5813–5835. [Google Scholar] [CrossRef]
- Jamadon, N.H.; Ahmad, M.A.; Fuad, H.N.M.; Adzila, S. Mechanical properties of injection-molded poly-lactic acid (PLA) reinforced with magnesium hydroxide for biomedical application. In Advances in Material Science and Engineering; Springer: Singapore, 2022; pp. 363–370. [Google Scholar]
- Sam-Daliri, O.; Flanagan, T.; Modi, V.; Finnegan, W.; Harrison, N.; Ghabezi, P. Composite upcycling: An experimental study on mechanical behaviour of injection moulded parts prepared from recycled material extrusion printed parts, previously prepared using glass fibre polypropylene composite industry waste. J. Clean. Prod. 2025, 499, 145280. [Google Scholar] [CrossRef]
- Pivsa-Art, S.; Kord-Sa-Ard, J.; Pivsa-Art, W.; Wongpajan, R.; O-Charoen, N.; Pavasupree, S.; Hamada, H. Effect of compatibilizer on PLA/PP blend for injection molding. Energy Procedia 2016, 89, 353–360. [Google Scholar] [CrossRef]
- Batakliev, T.; Georgiev, V.; Kalupgian, C.; Muñoz, P.A.; Ribeiro, H.; Fechine, G.J.; Andrade, R.J.; Ivanov, E.; Kotsilkova, R. Physico-chemical characterization of PLA-based composites holding carbon nanofillers. Appl. Compos. Mater. 2021, 28, 1175–1192. [Google Scholar] [CrossRef]
- Padhy, C.; Padhy, S.S.; Bhattacharjee, D. Optimizing PEEK impact strength through multi-objective FDM 3D printing. J. Mech. Eng. Sci. 2023, 17, 9725–9741. [Google Scholar] [CrossRef]
- Moradi, R.; Vaseghi, M.; Sohrabian, M.; Vanaei, H.R. Optimized bioactive glass/PLA nanocomposites for bone tissue engineering: Balancing mechanical strength and biodegradability. Int. J. Polym. Mater. Polym. Biomater. 2025, 74, 1–14. [Google Scholar] [CrossRef]
- Nikzad, M.K.; Aghadavoudi, F.; Ashenai Ghasemi, F. Thermo-mechanical properties of silica-reinforced PLA nanocomposites using molecular dynamics: The effect of nanofiller radius. J. Polym. Res. 2024, 31, 44. [Google Scholar] [CrossRef]
- Joy, J.; George, E.; Thomas, S.; Anas, S. Viscoelastic and mechanical properties of epoxy/methyl methacrylate acrylonitrile butadiene styrene (MABS)/hexagonal boron nitride nanocomposites. Next Mater. 2025, 8, 100678. [Google Scholar] [CrossRef]
- Wang, L.; Liu, Y.; Zhang, F. Effect of Boron Nitride Nanoplatelets on the Mechanical and Thermal Properties of PLA Composites. Compos. Sci. Technol. 2024, 206, 108582. [Google Scholar]
- Thiem, Q.V.; Nguyen, V.T.; Phan, D.T.T.; Minh, P.S. Injection Molding Condition Effects on the Mechanical Properties of Coconut-Wood-Powder-Based Polymer Composite. Polymers 2024, 16, 1225. [Google Scholar] [CrossRef]
- Sathish, T.; Arul, K.; Subbiah, R.; Ravichandran, M.; Mohanavel, V. Optimization on end milling operating parameters for super alloy of Inconel 617 by Taguchi’s L27 orthogonal array. J. Phys. Conf. Ser. 2021, 2027, 012013. [Google Scholar] [CrossRef]
- Rathee, P.; Kamboj, A.; Sidhu, S. Optimization and development of Nisoldipine nano-bioenhancers by novel orthogonal array (L27 array). Int. J. Biol. Macromol. 2016, 86, 556–561. [Google Scholar] [CrossRef]
- Kumar, H.; Tejyan, S.; Kannan, M. Optimization of abrasive wear parameters and thermo-mechanical properties of Bauhinia Vahlii and Grewia Optiva fiber reinforced hybrid polymer composites. J. Eng. Res. 2024, 13, 3754–3766. [Google Scholar] [CrossRef]
- ASTM D638; Standard Test Method for Tensile Properties of Polymer Matrix Composite Materials. ASTM International: West Conshohocken, PA, USA, 2014.
- Gdoutos, E.E.; Konsta-Gdoutos, M.S. Tensile Testing; Springer: Dordrecht, The Netherlands, 2024; pp. 1–34. [Google Scholar]
- ASTM E384; Standard Test Method for Knoop and Vickers Hardness of Materials. ASTM International: West Conshohocken, PA, USA, 2017.
- Sritharan, R.; Taklimi, S.R.; Ghazinezami, A.; Askari, D. The chemical functionalization advantages of carbon nano heli-coil reinforcements for multifunctional polymeric nanocomposites. J. Compos. Mater. 2025, 59, 1705–1720. [Google Scholar] [CrossRef]
- Khammassi, S.; Tarfaoui, M.; Škrlová, K.; Měřínská, D.; Plachá, D.; Erchiqui, F. Poly (Lactic acid) (PLA)-Based nanocomposites: Impact of vermiculite, silver, and graphene oxide on thermal stability, isothermal crystallization, and local mechanical behavior. J. Compos. Sci. 2022, 6, 112. [Google Scholar] [CrossRef]
- Sarangi, S.S.; Lavakumar, A.; Singh, P.; Katiyar, P.K.; Ray, R. Indentation size effect in steels with different carbon contents and microstructures. Mater. Sci. Technol. 2022, 39, 338–346. [Google Scholar] [CrossRef]
- Patil, V.V.; Mohanty, C.P.; Prashanth, K.G. Selective laser melting of a novel 13Ni400 maraging steel: Material characterization and process optimization. J. Mater. Res. Technol. 2023, 27, 3979–3995. [Google Scholar] [CrossRef]
- Shastri, R.K.; Mohanty, C.P.; Mishra, U.; Hotta, T.K.; Patil, V.V.; Prashanth, K.G. Optimizing the Electrical Discharge Machining Process Parameters of the Nimonic C263 Superalloy: A Sustainable Approach. J. Manuf. Mater. Process. 2024, 8, 126. [Google Scholar] [CrossRef]
- Sundarasetty, H.; Sahu, S.K. Tribological behavior of PLA reinforced with boron nitride nanoparticles using Taguchi and machine learning approaches. Results Eng. 2025, 26, 104772. [Google Scholar] [CrossRef]
- Marotta, R. Otimização de Injeção de Poliamida Pa66 Com 50% gf Usando Método Taguchi; Bookerfield Editora: Curitiba, Brazil, 2022; pp. 91–105. [Google Scholar]
- Yang, L.; Shen, D. Algebraic and Statistical Properties of the Partially Regularized Ordinary Least Squares Interpolator. arXiv 2024, arXiv:2411.06593. [Google Scholar] [CrossRef]
- Karal, Ö. Comparative performance analysis of epsilon-insensitive and pruningbased algorithms for sparse least squares support vector regression. Sigma J. Eng. Nat. Sci. 2024, 42, 578–589. [Google Scholar] [CrossRef]
- Liu, T.; Wang, M.; Wang, M.; Xiong, Q.; Jia, L.; Ma, W.; Guo, X. Identification of the primary pollution sources and dominant influencing factors of soil heavy metals using a random forest model optimized by genetic algorithm coupled with geodetector. Ecotoxicol. Environ. Saf. 2025, 290, 117731. [Google Scholar] [CrossRef]
- Qiuqian, W.; GaoMin, K.Z.; Chenchen. A light gradient boosting machine learning-based approach for predicting clinical data breast cancer. Multiscale Multidiscip. Model. Exp. Des. 2025, 8, 75. [Google Scholar] [CrossRef]
- Gao, F.; Xie, J.; Xiong, X.; Wang, L.; Chang, X. Prediction of peak particle vibration velocity based on intelligent optimization algorithm combined with XGBoost. Expert Syst. Appl. 2025, 280, 127654. [Google Scholar] [CrossRef]
- Li, X.; Gu, H.; Tang, R.; Zou, B.; Liu, X.; Ou, H.; Wen, B. A Fusion XG-Boost Approach for Large-Scale Monitoring of Soil Heavy Metal in Farmland Using Hyperspectral Imagery. Agronomy 2025, 15, 676. [Google Scholar] [CrossRef]
- Zulkifli, M.N.F.M.; Yahya, M.F. Estimating Mechanical Tensile Strength of Single Fiber Composites by Adopting Multiple Linear Regression. Int. J. Res. Innov. Soc. Sci. 2024, 8, 3008–3014. [Google Scholar] [CrossRef]
- Sanaka, R.; Sahu, S.K. Experimental investigation into mechanical, thermal, and shape memory behavior of thermoresponsive PU/MXene shape memory polymer nanocomposite. Heliyon 2024, 10, e24296. [Google Scholar] [CrossRef]
- Tie, R.; Huang, Y.; Jin, Y.; Sun, J.; Tian, H.; Lei, X.; Li, G.; Wang, L.; Men, S.Q. Toughening Modification of Polylactic Acid by Long-Chain Hyperbranched Polymers Containing Polycaprolactone end Groups. J. Polym. Environ. 2022, 30, 5327–5338. [Google Scholar] [CrossRef]
- Frenkel, D.; Ginsbury, E.; Sharabi, M. The Mechanics of Bioinspired Stiff-to-Compliant Multi-Material 3D-Printed Interfaces. Biomimetics 2022, 7, 170. [Google Scholar] [CrossRef]
- Mizera, A.; Fiala, T.; Manas, M.; Stoklasek, P.; Ovsik, M. Influence of Injection Moulding Process Parameters on High-Density Polyethylene Surface Hardness. Mater. Sci. Forum 2020, 994, 189–196. [Google Scholar] [CrossRef]
- Arabit-Cruz, J.; Pajarito, B.B. Effect of Ingredient Loading and Temperature on Tensile Properties of Surfactant-Loaded Natural Rubber Vulcanizates. Key Eng. Mater. 2019, 803, 356–360. [Google Scholar] [CrossRef]
- Britten, J.R.; Pilpel, N. Effects of temperature on the tensile strength of pharmaceutical powders. J. Pharm. Pharmacol. 2011, 30, 673–677. [Google Scholar] [CrossRef]
- Eixeres, B.; Sanchez-Caballero, S.; Peydro, M.A.; Parres, F.; Selles, M.A. Influence of injection molding process conditions on the mechanical properties of CF-PPS/PTFE composites. Alex. Eng. J. 2025, 123, 381–391. [Google Scholar] [CrossRef]
- Pelin, G.; Pelin, C.E.; Botan, M.; Stefan, A.; Cristea, G.C.; Panait, A.A.M. Thermo-mechanical properties of fused filament fabricated PLA at elevated temperatures. INCAS Bull. 2023, 15, 59–70. [Google Scholar] [CrossRef]
- Kartal, F.; Kaptan, A. Effects of annealing temperature and duration on mechanical properties of PLA plastics produced by 3D Printing. Eur. Mech. Sci. 2023, 7, 152–159. [Google Scholar] [CrossRef]
- Keşkekçi, A.B.; Özkahraman, M.; Bayrakçı, H.C. Examination of Tensile Strength of Polylactic Acid (PLA) Materials Processed by Fused Deposition Modeling (FDM) Additive Manufacturing Method at Different Production Parameters. In International Conference on Additive Manufacturing, Warangal, India, 4–6 March 2024; Springer: Cham, Switzerland, 2024; pp. 250–267. [Google Scholar]
- Fomicheva, T.A.; Serenko, O.A. Effect of Temperature on the Mechanical Properties of the Highly Filled Composites Based on Polypropylene and Ground Rubber Scrap. INES OPEN 2023, 5, 107–112. [Google Scholar] [CrossRef]
- Mrzljak, S.; Delp, A.; Schlink, A.; Zarges, J.C.; Hülsbusch, D.; Heim, H.P.; Walther, F. Constant Temperature Approach for the Assessment of Injection Molding Parameter Influence on the Fatigue Behavior of Short Glass Fiber Reinforced Polyamide 6. Polymers 2021, 13, 1569. [Google Scholar] [CrossRef] [PubMed]
- Hadi, Z.E. Identification of Process Parameter Combination for Maximum Tensile Strength in 3D Printed Polylactic Acid Specimens Using Regression and ANOVA. In Lecture Notes in Mechanical Engineering; Springer: Singapore, 2022; pp. 217–225. [Google Scholar]
- Luna, C.B.B.; Siqueira, D.D.; Ferreira, E.D.S.B.; Araujo, E.M.; Wellen, R.M.R. Effect of injection parameters on the thermal, mechanical and thermomechanical properties of polycaprolactone (PCL). J. Elastom. Plast. 2021, 53, 1045–1062. [Google Scholar] [CrossRef]
- Phupewkeaw, N.; Srimuang, P. Influence of injection process parameters on mechanical properties of isotactic polypropylene: A design of experiments approach. AIP Conf. Proc. 2021, 2397, 070002. [Google Scholar] [CrossRef]
- Chatterjee, S.; Hadi, A.S. Regression Analysis by Example, 5th ed.; John Wiley & Sons: Hoboken, NJ, USA, 2015. [Google Scholar]
- Zheng, M.; Wen, Q.; Xu, F.; Wu, D. Regional Forest Carbon Stock Estimation Based on Multi-Source Data and Machine Learning Algorithms. Forests 2025, 16, 420. [Google Scholar] [CrossRef]
- Khalfa, M.A.; Manai, L.; Mchara, W. Advanced artificial intelligence model for solar irradiance forecasting for solar electric vehicles. Int. J. Dyn. Control 2025, 13, 101. [Google Scholar] [CrossRef]
- Sathyanarayanan, S.; Tantri, B.R. Confusion matrix-based performance evaluation metrics. Afr. J. Biomed. Res. 2024, 27, 4023–4031. [Google Scholar] [CrossRef]
- Sahu, S.K.; Boggarapu, V.; Sreekanth, P.R. Improvements in the mechanical and thermal characteristics of polymer matrix composites reinforced with various nanofillers: A brief review. Mater. Today Proc. 2024, 113, 1–8. [Google Scholar] [CrossRef]
- Sanaka, R.; Sahu, S.K.; Sreekanth, P.R.; Senthilkumar, K.; Badgayan, N.D.; Siva, B.V.; Ma, Q. A review of the current state of research and future prospectives on stimulus-responsive shape memory polymer composite and its blends. J. Compos. Sci. 2024, 8, 324. [Google Scholar] [CrossRef]



























| S.No | Factors | Units | Level 1 | Level 2 | Level 3 |
|---|---|---|---|---|---|
| 1 | Composition | Wt.% | Pure | 0.02 | 0.04 |
| 2 | Temperature (temp) | °C | 135 | 145 | 155 |
| 3 | Injection Speed | mm/s | 50 | 60 | 70 |
| 4 | Injection Pressure | Bar | 30 | 40 | 50 |
| Exp. No | Composition (Wt.%) | Temperature (°C) | Injection Speed (m/s) | Injection Pressure (bar) | Tensile Strength (MPa) | Young’s Modulus (MPa) | S/N Ratio (Tensile Strength) | S/N Ratio (Young’s Modulus) |
|---|---|---|---|---|---|---|---|---|
| 1 | 0 | 135 | 50 | 30 | 17.4 | 3142 | 24.97 | 69.80 |
| 2 | 0 | 135 | 50 | 30 | 17.6 | 3045 | 24.97 | 69.80 |
| 3 | 0 | 135 | 50 | 30 | 18.2 | 3093 | 24.97 | 69.80 |
| 4 | 0 | 145 | 60 | 40 | 6.53 | 2472 | 15.56 | 66.20 |
| 5 | 0 | 145 | 60 | 40 | 4.93 | 1741 | 15.56 | 66.20 |
| 6 | 0 | 145 | 60 | 40 | 7.32 | 2106 | 15.56 | 66.20 |
| 7 | 0 | 155 | 70 | 50 | 1.41 | 2287 | 3.09 | 60.32 |
| 8 | 0 | 155 | 70 | 50 | 1.15 | 684 | 3.08 | 60.32 |
| 9 | 0 | 155 | 70 | 50 | 2.17 | 1485 | 3.08 | 60.32 |
| 10 | 0.02 | 135 | 60 | 50 | 27.2 | 3366 | 28.71 | 70.50 |
| 11 | 0.02 | 135 | 60 | 50 | 28.1 | 3597 | 28.70 | 70.50 |
| 12 | 0.02 | 135 | 60 | 50 | 26.5 | 3136 | 28.70 | 70.50 |
| 13 | 0.02 | 145 | 70 | 30 | 19.3 | 1964 | 25.02 | 65.79 |
| 14 | 0.02 | 145 | 70 | 30 | 15.3 | 1793 | 25.02 | 65.79 |
| 15 | 0.02 | 145 | 70 | 30 | 20.1 | 2135 | 25.02 | 65.79 |
| 16 | 0.02 | 155 | 50 | 40 | 5.6 | 1192 | 15.84 | 61.50 |
| 17 | 0.02 | 155 | 50 | 40 | 7.42 | 1252 | 15.83 | 61.50 |
| 18 | 0.02 | 155 | 50 | 40 | 5.96 | 1132 | 15.83 | 61.50 |
| 19 | 0.04 | 135 | 70 | 40 | 34.5 | 3966 | 30.55 | 71.90 |
| 20 | 0.04 | 135 | 70 | 40 | 31.4 | 4293 | 30.55 | 71.90 |
| 21 | 0.04 | 135 | 70 | 40 | 35.7 | 3640 | 30.55 | 71.90 |
| 22 | 0.04 | 145 | 50 | 50 | 24.655 | 2063 | 27.00 | 66.28 |
| 23 | 0.04 | 145 | 50 | 50 | 20.64 | 2098 | 27.00 | 66.28 |
| 24 | 0.04 | 145 | 50 | 50 | 22.4 | 2029 | 27.00 | 66.28 |
| 25 | 0.04 | 155 | 60 | 30 | 7.014 | 837 | 16.64 | 58.25 |
| 26 | 0.04 | 155 | 60 | 30 | 5.62 | 962 | 16.64 | 58.25 |
| 27 | 0.04 | 155 | 60 | 30 | 8.79 | 712 | 16.64 | 58.25 |
| Exp. No | Composition (Wt.%) | Temperature (°C) | Injection Speed (m/s) | Injection Pressure (bar) | Hardness (HV) | S/N Ratio (Hardness) |
|---|---|---|---|---|---|---|
| 1 | 0 | 135 | 50 | 30 | 33.15 | 30.38 |
| 2 | 0 | 135 | 50 | 30 | 32.55 | 30.38 |
| 3 | 0 | 135 | 50 | 30 | 33.4 | 30.38 |
| 4 | 0 | 145 | 60 | 40 | 36 | 30.88 |
| 5 | 0 | 145 | 60 | 40 | 34.45 | 30.88 |
| 6 | 0 | 145 | 60 | 40 | 34.55 | 30.87 |
| 7 | 0 | 155 | 70 | 50 | 40.1 | 31.72 |
| 8 | 0 | 155 | 70 | 50 | 36.7 | 31.73 |
| 9 | 0 | 155 | 70 | 50 | 39.2 | 31.72 |
| 10 | 0.02 | 135 | 60 | 50 | 40.85 | 31.93 |
| 11 | 0.02 | 135 | 60 | 50 | 38.15 | 31.94 |
| 12 | 0.02 | 135 | 60 | 50 | 39.7 | 31.93 |
| 13 | 0.02 | 145 | 70 | 30 | 41.9 | 32.23 |
| 14 | 0.02 | 145 | 70 | 30 | 42.4 | 32.23 |
| 15 | 0.02 | 145 | 70 | 30 | 38.7 | 32.23 |
| 16 | 0.02 | 155 | 50 | 40 | 43.35 | 32.94 |
| 17 | 0.02 | 155 | 50 | 40 | 46.35 | 32.94 |
| 18 | 0.02 | 155 | 50 | 40 | 43.6 | 32.94 |
| 19 | 0.04 | 135 | 70 | 40 | 54.4 | 33.87 |
| 20 | 0.04 | 135 | 70 | 40 | 48.05 | 33.87 |
| 21 | 0.04 | 135 | 70 | 40 | 46.65 | 33.87 |
| 22 | 0.04 | 145 | 50 | 50 | 52.45 | 34.75 |
| 23 | 0.04 | 145 | 50 | 50 | 53.3 | 34.75 |
| 24 | 0.04 | 145 | 50 | 50 | 58.85 | 34.75 |
| 25 | 0.04 | 155 | 60 | 30 | 66.35 | 36.31 |
| 26 | 0.04 | 155 | 60 | 30 | 67.3 | 36.31 |
| 27 | 0.04 | 155 | 60 | 30 | 62.95 | 36.31 |
| Level | Signal-to-Noise Ratio | Mean | ||||||
|---|---|---|---|---|---|---|---|---|
| Composition | Temp | Injection Speed | Injection Pressure | Composition | Temp | Injection Speed | Injection Pressure | |
| 1 | 14.54 | 28.08 | 22.60 | 22.21 | 8.52 | 26.28 | 15.54 | 14.36 |
| 2 | 23.19 | 22.53 | 20.31 | 20.65 | 17.27 | 15.68 | 13.55 | 15.48 |
| 3 | 24.73 | 11.86 | 19.56 | 19.60 | 21.19 | 5.01 | 17.89 | 17.13 |
| Delta | 10.19 | 16.22 | 3.05 | 2.62 | 12.66 | 21.27 | 4.33 | 2.76 |
| Rank | 2 | 1 | 3 | 4 | 2 | 1 | 3 | 4 |
| Level | Signal-to-Noise Ratio | Mean | ||||||
|---|---|---|---|---|---|---|---|---|
| Composition | Temp | Injection Speed | Injection Pressure | Composition | Temp | Injection Speed | Injection Pressure | |
| 1 | 65.45 | 70.74 | 65.87 | 64.62 | 2228 | 3475 | 2116 | 1965 |
| 2 | 65.93 | 66.10 | 64.99 | 66.54 | 2174 | 2045 | 2103 | 2422 |
| 3 | 65.49 | 60.03 | 66.01 | 65.71 | 2289 | 1171 | 2472 | 2305 |
| Delta | 0.49 | 10.71 | 1.02 | 1.92 | 115 | 2304 | 369 | 457 |
| Rank | 4 | 1 | 3 | 2 | 4 | 1 | 3 | 2 |
| Level | Signal-to-Noise Ratio | Mean | ||||||
|---|---|---|---|---|---|---|---|---|
| Composition | Temp | Injection Speed | Injection Pressure | Composition | Temp | Injection Speed | Injection Pressure | |
| 1 | 30.99 | 32.06 | 32.69 | 32.98 | 35.57 | 40.77 | 44.11 | 46.52 |
| 2 | 32.37 | 32.62 | 33.04 | 32.56 | 41.67 | 43.62 | 46.70 | 43.04 |
| 3 | 34.98 | 33.66 | 32.61 | 32.81 | 56.70 | 49.54 | 43.12 | 44.37 |
| Delta | 3.99 | 1.60 | 0.43 | 0.41 | 21.13 | 8.78 | 3.58 | 3.48 |
| Rank | 1 | 2 | 3 | 4 | 1 | 2 | 3 | 4 |
| Source | DF | Seq SS | Adj SS | Adj MS | F-Value | p-Value | Contribution |
|---|---|---|---|---|---|---|---|
| Composition | 2 | 757.25 | 757.25 | 378.62 | 157.60 | 0.004 × 10−9 | 25.61% |
| Temp | 2 | 2036.69 | 2036.69 | 1018.35 | 423.89 | 0.007 × 10−13 | 68.88% |
| Injection Speed | 2 | 84.80 | 84.80 | 42.40 | 17.65 | 0.006 × 10−2 | 2.87% |
| Injection Pressure | 2 | 34.87 | 34.87 | 17.44 | 7.26 | 0.005 | 1.18% |
| Error | 18 | 43.24 | 43.24 | 2.40 | 1.46% | ||
| Total | 26 | 2956.86 | 100.00% | ||||
| R-sq = 98.54%, R-sq.(adj) = 97.89% | |||||||
| Source | DF | Seq SS | Adj SS | Adj MS | F-Value | p-Value | Contribution |
|---|---|---|---|---|---|---|---|
| Composition | 2 | 59,343.00 | 59,343 | 29,671 | 0.27 | 0.766 | 0.21% |
| Temp | 2 | 24,352,056 | 24,352,056 | 12,176,028 | 110.95 | 0.007 × 10−8 | 86.39% |
| Injection Speed | 2 | 787,749 | 787,749 | 393,874 | 3.59 | 0.048 | 2.79% |
| Injection Pressure | 2 | 1,013,947 | 1,013,947 | 506,973 | 4.62 | 0.024 | 3.60% |
| Error | 18 | 1,975,468 | 1,975,468 | 109,748 | 7.01% | ||
| Total | 26 | 28,188,563 | 100.00% | ||||
| R-sq = 92.99%, R-sq.(adj) = 89.88% | |||||||
| Source | DF | Seq SS | Adj SS | Adj MS | F-Value | p-Value | Contribution |
|---|---|---|---|---|---|---|---|
| Composition | 2 | 2129.49 | 2129.49 | 1064.74 | 203.66 | 0.004 × 10−10 | 78.83% |
| Temp | 2 | 360.83 | 360.83 | 180.41 | 34.51 | 0.006 × 10−4 | 13.36% |
| Injection Speed | 2 | 61.44 | 61.44 | 30.72 | 5.88 | 0.011 | 2.27% |
| Injection Pressure | 2 | 55.47 | 55.47 | 27.73 | 5.3 | 0.015 | 2.05% |
| Error | 18 | 94.1 | 94.1 | 5.23 | 3.48% | ||
| Total | 26 | 2701.33 | 100.00% | ||||
| R-sq = 96.52%, R-sq.(adj) = 94.97% | |||||||
Disclaimer/Publisher’s Note: The statements, opinions and data contained in all publications are solely those of the individual author(s) and contributor(s) and not of MDPI and/or the editor(s). MDPI and/or the editor(s) disclaim responsibility for any injury to people or property resulting from any ideas, methods, instructions or products referred to in the content. |
© 2026 by the authors. Licensee MDPI, Basel, Switzerland. This article is an open access article distributed under the terms and conditions of the Creative Commons Attribution (CC BY) license.
Share and Cite
Harishbabu, S.; Djuansjah, J.; Sreekanth, P.S.R.; Kumar, A.P.; Louhichi, B.; Sahu, S.K.; Lee, I.E.; Wali, Q. Data-Driven AI Approach for Optimizing Processes and Predicting Mechanical Properties of Boron Nitride Nanoplatelet-Reinforced PLA Nanocomposites. Polymers 2026, 18, 185. https://doi.org/10.3390/polym18020185
Harishbabu S, Djuansjah J, Sreekanth PSR, Kumar AP, Louhichi B, Sahu SK, Lee IE, Wali Q. Data-Driven AI Approach for Optimizing Processes and Predicting Mechanical Properties of Boron Nitride Nanoplatelet-Reinforced PLA Nanocomposites. Polymers. 2026; 18(2):185. https://doi.org/10.3390/polym18020185
Chicago/Turabian StyleHarishbabu, Sundarasetty, Joy Djuansjah, P. S. Rama Sreekanth, A. Praveen Kumar, Borhen Louhichi, Santosh Kumar Sahu, It Ee Lee, and Qamar Wali. 2026. "Data-Driven AI Approach for Optimizing Processes and Predicting Mechanical Properties of Boron Nitride Nanoplatelet-Reinforced PLA Nanocomposites" Polymers 18, no. 2: 185. https://doi.org/10.3390/polym18020185
APA StyleHarishbabu, S., Djuansjah, J., Sreekanth, P. S. R., Kumar, A. P., Louhichi, B., Sahu, S. K., Lee, I. E., & Wali, Q. (2026). Data-Driven AI Approach for Optimizing Processes and Predicting Mechanical Properties of Boron Nitride Nanoplatelet-Reinforced PLA Nanocomposites. Polymers, 18(2), 185. https://doi.org/10.3390/polym18020185

