Development of Cellulose Nanocrystal (CNC)-Reinforced PLA/PMMA Nanocomposite Coatings for Sustainable Paper-Based Packaging
Abstract
1. Introduction
2. Materials and Methods
2.1. Materials
2.2. Surface Modification of CNC Nanoparticles
2.3. Preparation of PLA-Based Nanocomposite Formulations and Coating Process
2.4. Water Vapor Permeability (WVP)
2.5. Oil Barrier Properties
2.6. Morphological Characteristics
2.7. Water Contact Angle (WCA)
2.8. Mechanical Properties
2.9. Thermal Properties
3. Results and Discussion
3.1. Dispersion and Compatibility of Surfactant-Modified CNC
3.2. Polymeric Grammage (Dry Coat Weight)
3.3. Barrier Properties
3.3.1. Results of Water Vapor Permeability (WVP) Tests
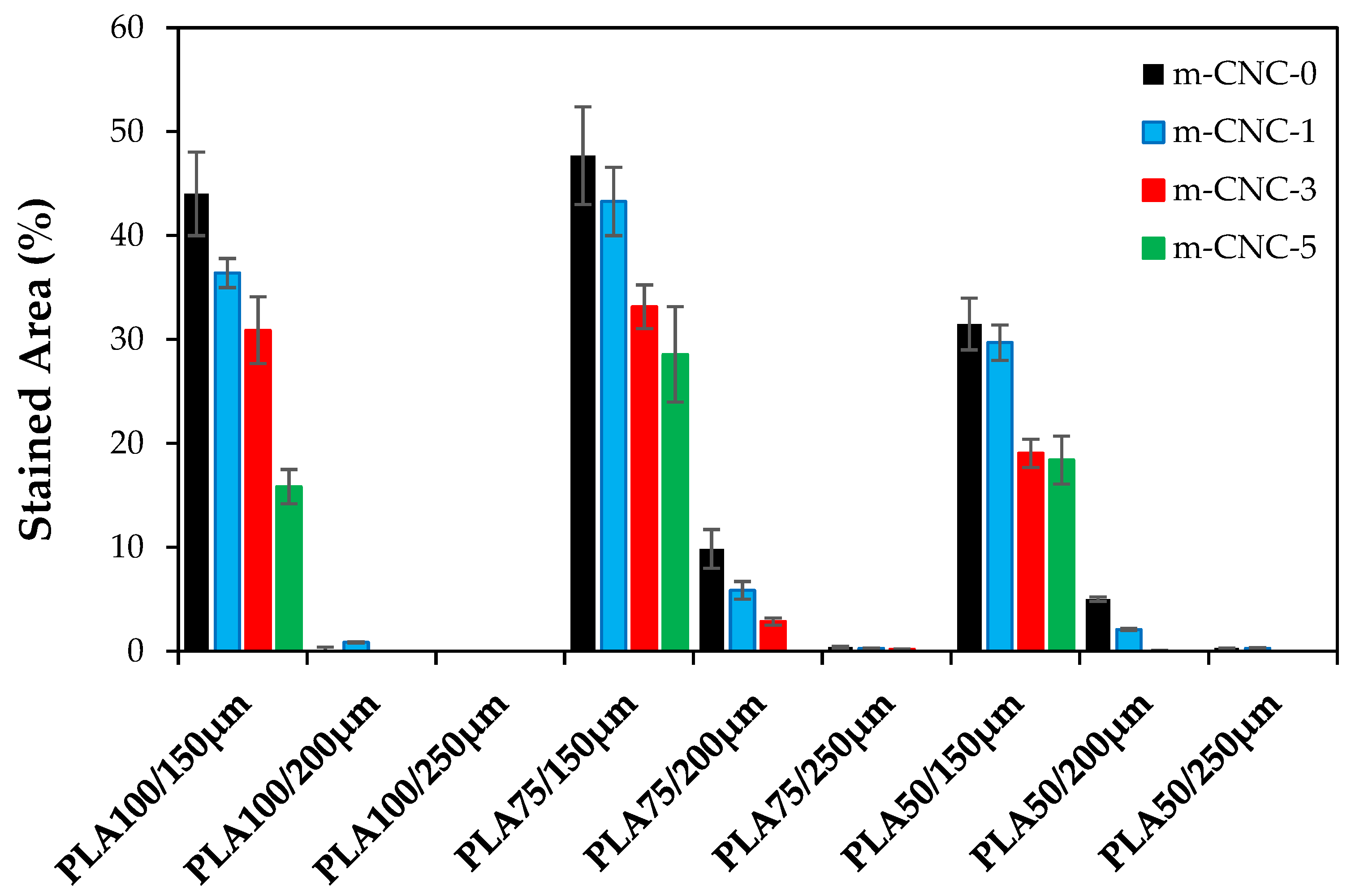
3.3.2. Oil-Repellent Efficiency
3.4. Scanning Electron Microscopy (SEM)
3.5. Results of Water Contact Angle (WCA) Tests
3.6. Results of Mechanical Tests
3.6.1. Bending Resistance of Coated Cardboard Papers
3.6.2. Tensile Strength of Nanocomposite Films
3.7. DSC Analysis
4. Conclusions
Author Contributions
Funding
Institutional Review Board Statement
Data Availability Statement
Acknowledgments
Conflicts of Interest
Abbreviations
| CNC | Cellulose nanocrystal |
| MMAP | poly(methylmethacrylate) |
| PLA | Poly (lactic acid) |
| NPE | Nonylphenol ethoxylates |
| WVP | Water vapor permeability |
| EVOH | Ethylene vinyl alcohol |
| PA | Polyamide |
| PP | Polypropylene |
| PET | Polyethylene terephthalate |
| PS | Polystyrene |
| PE | Polyethylene |
References
- Ferrer, A.; Pal, L.; Hubbe, M. Nanocellulose in packaging: Advances in barrier layer technologies. Ind. Crop. Prod. 2017, 95, 574–582. [Google Scholar] [CrossRef]
- Barlow, C.Y.; Morgan, D.C. Polymer film packaging for food: An environmental assessment. Resour. Conserv. Recycl. 2013, 78, 74–80. [Google Scholar] [CrossRef]
- Carrasco, F.; Pagès, P.; Gámez-Pérez, J.; Santana, O.O.; Maspoch, M.L. Processing of poly(lactic acid): Characterization of chemical structure, thermal stability and mechanical properties. Polym. Degrad. Stab. 2010, 95, 116–125. [Google Scholar] [CrossRef]
- Abdulkhani, A.; Hosseinzadeh, J.; Ashori, A.; Dadashi, S.; Takzare, Z. Preparation and characterization of modified cellulose nanofibers reinforced polylactic acid nanocomposite. Polym. Test. 2014, 35, 73–79. [Google Scholar] [CrossRef]
- Komeijani, M.; Bahri-Laleh, N.; Mirjafary, Z.; D’Alterio, M.C.; Rouhani, M.; Sakhaeinia, H.; Poater, A. PLA/PMMA reactive blending in the presence of MgO as an exchange reaction catalyst. Polymers 2025, 17, 845. [Google Scholar] [CrossRef]
- Zhou, Y.; Lei, L.; Yang, B.; Li, J.; Ren, J. Preparation and characterization of polylactic acid (PLA) carbon nanotube nanocomposites. Polym. Test. 2018, 68, 34–38. [Google Scholar] [CrossRef]
- Bergel, B.F.; da Luz, L.M.; Santana, R.M.C. Effect of poly(lactic acid) coating on mechanical and physical properties of thermoplastic starch foams from potato starch. Prog. Org. Coat. 2018, 118, 91–96. [Google Scholar] [CrossRef]
- Improta, I.; Stanzione, M.; Orlo, E.; Tescione, F.; Lavorgna, M.; Coqueret, X.; Buonocore, G.G. Effect of irradiated nanocellulose on enhancing the functionality of polylactic acid-based composite films for packaging applications. Polymers 2025, 17, 1939. [Google Scholar] [CrossRef]
- Forte, M.A.; Silva, R.M.; Tavares, C.J.; Silva, R.F.E. Is poly(methyl methacrylate) (PMMA) a suitable substrate for ALD? A review. Polymers 2021, 13, 1346. [Google Scholar] [CrossRef]
- Deka, N.; Bera, A.; Roy, D.; De, P. Methyl methacrylate-based copolymers: Recent developments in the areas of transparent and stretchable active matrices. ACS Omega 2022, 7, 36929–36944. [Google Scholar] [CrossRef]
- Charasseangpaisarn, T.; Wiwatwarrapan, C.; Thunyakitpisal, P.; Srimaneepong, V. Development of poly(methyl methacrylate)/poly(lactic acid) blend as sustainable biomaterial for dental applications. Sci. Rep. 2023, 13, 16904. [Google Scholar] [CrossRef] [PubMed]
- Siqueira, G.; Bras, J.; Dufresne, A. Cellulosic bionanocomposites: A review of preparation, properties, and applications. Polymers 2010, 2, 728–765. [Google Scholar] [CrossRef]
- Gicquel, E.; Martin, C.; Garrido Yanez, J.; Bras, J. Cellulose nanocrystals as new bio-based coating layer for improving fiber-based mechanical and barrier properties. J. Mater. Sci. 2017, 52, 3048–3061. [Google Scholar] [CrossRef]
- Kamal, M.R.; Khoshkava, V. Effect of cellulose nanocrystals (CNC) on rheological and mechanical properties and crystallization behavior of PLA/CNC nanocomposites. Carbohydr. Polym. 2015, 123, 105–114. [Google Scholar] [CrossRef]
- Gray, N.; Hamzeh, Y.; Kaboorani, A. Influence of cellulose nanocrystal on strength and properties of low density polyethylene and thermoplastic starch composites. Ind. Crop. Prod. 2018, 115, 298–305. [Google Scholar] [CrossRef]
- Jacob, J.; Linson, N.; Mavelil-Sam, R.; Maria, H.J.; Pothan, L.A.; Thomas, S.; Kabdrakhmanova, S.; Laroze, D. Poly(lactic acid)/nanocellulose biocomposites for sustainable food packaging. Cellulose 2024, 31, 5997–6042. [Google Scholar] [CrossRef]
- Khlewee, M.; Al-Gharrawi, M.; Bousfield, D. Modeling the penetration of polymer into paper during extrusion coating. J. Coat. Technol. Res. 2022, 19, 25–34. [Google Scholar] [CrossRef]
- Koppolu, R.; Lahti, J.; Abitbol, T.; Swerin, A.; Kuusipalo, J.; Toivakka, M. Continuous processing of nanocellulose and polylactic acid into multilayer barrier coatings. ACS Appl. Mater. Interfaces 2019, 11, 11920–11927. [Google Scholar] [CrossRef]
- Kaboorani, A.; Auclair, N.; Riedl, B.; Hosseinaei, O.; Wang, S. Cellulose nanocrystal (CNC) based nanocomposites for UV-curing acrylate coating systems. J. Coat. Technol. Res. 2017, 14, 1137–1145. [Google Scholar] [CrossRef]
- Yang, L.; Yuan, Q.Y.; Lou, C.W.; Lin, J.H.; Li, T.T. Recent Research Progress of Polysaccharide Polymer Coatings for Improving Properties of Paper-Based Packaging Materials. Coatings 2025, 15, 326. [Google Scholar] [CrossRef]
- Cataldi, A.; Corcione, C.E.; Frigione, M.; Pegoretti, A. Photocurable resin/nanocellulose composite coatings for wood protection. Prog. Org. Coat. 2017, 106, 128–136. [Google Scholar] [CrossRef]
- Fortunati, E.; Peltzer, M.; Armentano, I.; Torre, L.; Jiménez, A.; Kenny, J.M. Effects of modified cellulose nanocrystals on the barrier and migration properties of PLA nano-biocomposites. Carbohydr. Polym. 2012, 90, 948–956. [Google Scholar] [CrossRef] [PubMed]
- ASTM E96/E96M-16; Standard Test Methods for Water Vapor Transmission of Materials. ASTM: West Conshohocken, PA, USA, 2016.
- Babaee, M.; Jonoobi, M.; Hamzeh, Y.; Ashori, A. Biodegradability and mechanical properties of reinforced starch nanocomposites using cellulose nanofibers. Carbohydr. Polym. 2015, 132, 1–8. [Google Scholar] [CrossRef] [PubMed]
- TAPPI-T 507 cm-22; Grease Resistance of Flexible Packaging Materials. TAPPI: Atlanta, GA, USA, 2022.
- Lin, N.; Huang, J.; Chang, P.R.; Feng, J.; Yu, J. Surface acetylation of cellulose nanocrystal and its reinforcing function in poly(lactic acid). Carbohydr. Polym. 2011, 83, 1834–1842. [Google Scholar] [CrossRef]
- Saifullin, E.R.; Zhanbossynova, S.; Zharkov, D.A.; Pavelyev, R.S.; Yuan, C.; Varfolomeev, M.A.; Sitnov, S.A. Nonylphenol ethoxylate surfactants modified by carboxyl groups for foam EOR at high-salinity conditions. Energies 2021, 14, 8205. [Google Scholar] [CrossRef]
- Rhim, J.W.; Kim, J.H. Properties of poly(lactide)-coated paperboard for the use of 1-way paper cup. J. Food Sci. 2009, 74, E105–E111. [Google Scholar] [CrossRef]
- Petersson, L.; Oksman, K. Preparation and properties of biopolymer-based nanocomposite films using microcrystalline cellulose. In Cellulose Nanocomposites; American Chemical Society: Washington, DC, USA, 2006; pp. 132–150. [Google Scholar] [CrossRef]
- Tran, T.N.; Cao, H.T.; Phan, V.M.; Hoang, T.T.T. Transparent and flexible amorphous cellulose-acrylic hybrids. Chem. Eng. J. 2016, 287, 196–204. [Google Scholar] [CrossRef]
- N’diaye, M.; Pascaretti-Grizon, F.; Massin, P.; Baslé, M.F.; Chappard, D. Water absorption of poly(methyl methacrylate) measured by vertical interference microscopy. Langmuir 2012, 28, 11609–11614. [Google Scholar] [CrossRef]
- Kaboorani, A.; Auclair, N.; Riedl, B.; Landry, V. Physical and morphological properties of UV-cured cellulose nanocrystal (CNC) based nanocomposite coatings for wood furniture. Prog. Org. Coat. 2016, 93, 17–22. [Google Scholar] [CrossRef]
- Nair, S.S.; Zhu, J.Y.; Deng, Y.; Ragauskas, A.J. High performance green barriers based on nanocellulose. Sustain. Chem. Process. 2014, 2, 23. [Google Scholar] [CrossRef]
- Kaboorani, A.; Riedl, B. Surface modification of cellulose nanocrystal (CNC) by a cationic surfactant. Ind. Crop. Prod. 2015, 65, 45–55. [Google Scholar] [CrossRef]
- Aulin, C.; Gällstedt, M.; Lindström, T. Oxygen and oil barrier properties of microfibrillated cellulose films and coatings. Cellulose 2010, 17, 559–574. [Google Scholar] [CrossRef]
- Phani, A.R.; Grossi, V.; Passacantando, M.; Santucci, S. The role of nanoscale topography on super-hydrophobicity: A study of fluoro-based polymer film on vertical carbon nanotubes. J. Exp. Nanosci. 2007, 2, 63–71. [Google Scholar] [CrossRef][Green Version]
- Mastouri, A.; Efhamisisi, D.; Tarmian, A.; Boukherroub, R.; Lexa, M.; Karami, E.; Frigione, M. Sustainable superhydrophobic and self-cleaning wood via wax within Epoxy/PDMS nano-composite coatings: Durability related to surface morphology. Prog. Org. Coat. 2024, 186, 107951. [Google Scholar] [CrossRef]
- Iqbal, M.; Dinh, D.K.; Abbas, Q.; Imran, M.; Sattar, H.; Ul Ahmad, A. Controlled surface wettability by plasma polymer surface modification. Surfaces 2019, 2, 349–371. [Google Scholar] [CrossRef]
- Astaneh, R.P.; Jahani, Y. The effect of poly(methyl methacrylate) on the interfacial interactions and mechanical properties of plasticized poly(vinyl chloride)/poly(lactic acid) blends. Polym. Eng. Sci. 2025, 65, 5459–5468. [Google Scholar] [CrossRef]
- Trivedi, A.K.; Gupta, M.K. 3D printed PLA based bionanocomposites with improved mechanical and dynamic mechanical properties: Effect of varying CNC reinforcements. Cellulose 2025, 32, 2303–2319. [Google Scholar] [CrossRef]
- Senkum, H.; Kelly, P.V.; Ahmad, A.A.; Es-haghi, S.S.; Gramlich, W.M. Strengthening polylactic acid (PLA) composites with poly(methyl methacrylate)-functionalized cellulose nanofibrils created through grafting-through emulsion polymerization. RSC Appl. Polym. 2024, 2, 224–237. [Google Scholar] [CrossRef]
- Trinh, B.M.; Chang, B.P.; Mekonnen, T.H. The barrier properties of sustainable multiphase and multicomponent packaging materials: A review. Prog. Mater. Sci. 2023, 133, 101071. [Google Scholar] [CrossRef]
- Lim, L.T.; Auras, R.; Rubino, M. Processing technologies for poly(lactic acid). Prog. Polym. Sci. 2008, 33, 820–852. [Google Scholar] [CrossRef]
- Liu, C.; Yang, Y.; Cui, B.; Wang, W. Biocomposites of polylactic acid reinforced by DL-lactic acid-grafted microfibrillated cellulose. J. Renew. Mater. 2022, 10, 2961–2974. [Google Scholar] [CrossRef]
- Mastouri-Mansourabad, A.; Azadfallah, M.; Tarmian, A.; Efhamisisi, D. Nano-cerium dioxide synergistic potential on abrasion resistance and surface properties of polyurethane-nanocomposite coatings for esthetic and decorative applications on wood. J. Coat. Technol. Res. 2020, 17, 1559–1570. [Google Scholar] [CrossRef]
- Han, G.; Huan, S.; Han, J.; Zhang, Z.; Wu, Q. Effect of acid hydrolysis conditions on the properties of cellulose nanoparticle-reinforced polymethyl-methacrylate composites. Materials 2014, 7, 16–29. [Google Scholar] [CrossRef]
- Kiziltas, E.E.; Kiziltas, A.; Bollin, S.C.; Gardner, D.J. Preparation and characterization of transparent PMMA–cellulose-based nanocomposites. Carbohydr. Polym. 2015, 127, 381–389. [Google Scholar] [CrossRef] [PubMed]
- Kratochvíl, J.; Kelnar, I. Non-isothermal kinetics of cold crystallization in multicomponent PLA/thermoplastic polyurethane/nanofiller system. J. Therm. Anal. Calorim. 2017, 130, 1043–1052. [Google Scholar] [CrossRef]
- Vaes, D.; Van Puyvelde, P. Semi-crystalline feedstock for filament-based 3D printing of polymers. Prog. Polym. Sci. 2021, 118, 101411. [Google Scholar] [CrossRef]
- Youssef, A.M.; Malhat, F.M.; Hakim, A.A.; Dekany, I. Synthesis and utilization of poly(methylmethacrylate) nanocomposites based on modified montmorillonite. Arab. J. Chem. 2017, 10, 631–642. [Google Scholar] [CrossRef]













| Code | PLA (%) | PMMA (%) | m-CNC (%) |
|---|---|---|---|
| PL100 | 100 | 0 | 0 |
| PLA100/m-CNC1 | 100 | 0 | 1 |
| PLA100/m-CNC3 | 100 | 0 | 3 |
| PLA100/m-CNC5 | 100 | 0 | 5 |
| PLA75/PMMA25 | 75 | 25 | 0 |
| PLA75/PMMA25/m-CNC1 | 75 | 25 | 1 |
| PLA75/PMMA25/m-CNC3 | 75 | 25 | 3 |
| PLA75/PMMA25/m-CNC5 | 75 | 25 | 5 |
| PLA50/PMMA50 | 50 | 50 | 0 |
| PLA50/PMMA50/m-CNC1 | 50 | 50 | 1 |
| PLA50/PMMA50/m-CNC3 | 50 | 50 | 3 |
| PLA50/PMMA50/m-CNC5 | 50 | 50 | 5 |
| WVTR (g/h·m2) | WVP (g·m/Pa·s·m2) | |||||
|---|---|---|---|---|---|---|
| Sample | 150 µm | 200 µm | 250 µm | 150 µm | 200 µm | 250 µm |
| PLA100 | 12.11 | 11.83 | 8.06 | 2.25 × 10−6 | 2.199 × 10−6 | 1.49 × 10−6 |
| PLA100/m-CNC1 | 10.63 | 9.81 | 6.92 | 1.98 × 10−6 | 1.82 × 10−6 | 1.28 × 10−6 |
| PLA100/m-CNC3 | 9.44 | 7.63 | 5.22 | 1.75 × 10−6 | 1.42 × 10−6 | 0.97 × 10−6 |
| PLA100/m-CNC5 | 9.95 | 7.20 | 6.32 | 1.86 × 10−6 | 1.34 × 10−6 | 1.17 × 10−6 |
| PLA75/PMMA 25 | 10.83 | 9.86 | 7.96 | 2.01 × 10−6 | 1.88 × 10−6 | 1.48 × 10−6 |
| PLA75/PMMA 25/m-CNC1 | 10.27 | 9.61 | 7.34 | 1.90 × 10−6 | 1.78 × 10−6 | 1.36 × 10−6 |
| PLA75/PMMA 25/m-CNC3 | 8.09 | 6.82 | 4.68 | 1.50 × 10−6 | 1.27 × 10−6 | 0.87 × 10−6 |
| PLA75/PMMA 25/m-CNC5 | 7.60 | 6.37 | 4.47 | 1.41 × 10−6 | 1.18 × 10−6 | 0.83 × 10−6 |
| PLA50/PMMA 50 | 10.93 | 8.05 | 7.68 | 2.04 × 10−6 | 1.49 × 10−6 | 1.14 × 10−6 |
| PLA50/PMMA 50/m-CNC1 | 8.92 | 7.10 | 4.99 | 1.66 × 10−6 | 1.31 × 10−6 | 0.93 × 10−6 |
| PLA50/PMMA 50/m-CNC3 | 7.25 | 5.54 | 2.90 | 1.35 × 10−6 | 1.03 × 10−6 | 0.54 × 10−6 |
| PLA50/PMMA 50/m-CNC5 | 7.25 | 5.53 | 2.65 | 1.35 × 10−6 | 1.03 × 10−6 | 0.49 × 10−6 |
| Treatment | Tg (°C) | Tc (°C) | Tm (°C) | ΔHm (J/g) | Xc (%) |
|---|---|---|---|---|---|
| PLA 100 | 56.0 ± 1.1 | 96.4 ± 0.9 | 171.6 ± 1.9 | 11.40 | 12.26 |
| PLA 75/PMMA25 | 61.7 ± 0.9 | 97.7 ± 0.2 | 174.3 ± 0.8 | 13.62 | 19.50 |
| PLA 75/PMMA25/m-CNC3 | 65.1 ± 2.2 | 97.9 ± 0.7 | 174.5 ± 1.5 | 9.66 | 13.85 |
Disclaimer/Publisher’s Note: The statements, opinions and data contained in all publications are solely those of the individual author(s) and contributor(s) and not of MDPI and/or the editor(s). MDPI and/or the editor(s) disclaim responsibility for any injury to people or property resulting from any ideas, methods, instructions or products referred to in the content. |
© 2026 by the authors. Licensee MDPI, Basel, Switzerland. This article is an open access article distributed under the terms and conditions of the Creative Commons Attribution (CC BY) license.
Share and Cite
Parhizgar, M.; Azadfallah, M.; Kaboorani, A.; Mastouri, A.; Frigione, M. Development of Cellulose Nanocrystal (CNC)-Reinforced PLA/PMMA Nanocomposite Coatings for Sustainable Paper-Based Packaging. Polymers 2026, 18, 175. https://doi.org/10.3390/polym18020175
Parhizgar M, Azadfallah M, Kaboorani A, Mastouri A, Frigione M. Development of Cellulose Nanocrystal (CNC)-Reinforced PLA/PMMA Nanocomposite Coatings for Sustainable Paper-Based Packaging. Polymers. 2026; 18(2):175. https://doi.org/10.3390/polym18020175
Chicago/Turabian StyleParhizgar, Milad, Mohammad Azadfallah, Alireza Kaboorani, Akbar Mastouri, and Mariaenrica Frigione. 2026. "Development of Cellulose Nanocrystal (CNC)-Reinforced PLA/PMMA Nanocomposite Coatings for Sustainable Paper-Based Packaging" Polymers 18, no. 2: 175. https://doi.org/10.3390/polym18020175
APA StyleParhizgar, M., Azadfallah, M., Kaboorani, A., Mastouri, A., & Frigione, M. (2026). Development of Cellulose Nanocrystal (CNC)-Reinforced PLA/PMMA Nanocomposite Coatings for Sustainable Paper-Based Packaging. Polymers, 18(2), 175. https://doi.org/10.3390/polym18020175

