Influence of Strain-Offset-Based Yield Definitions on the Accuracy of Finite Element Analysis of 3D-Printed PLA with Different Raster Orientations
Abstract
1. Introduction
2. Materials and Methods
2.1. Experimental Procedure
2.2. Finite Element Analysis
Material Properties and Yield Stress Calculation
3. Results and Discussions
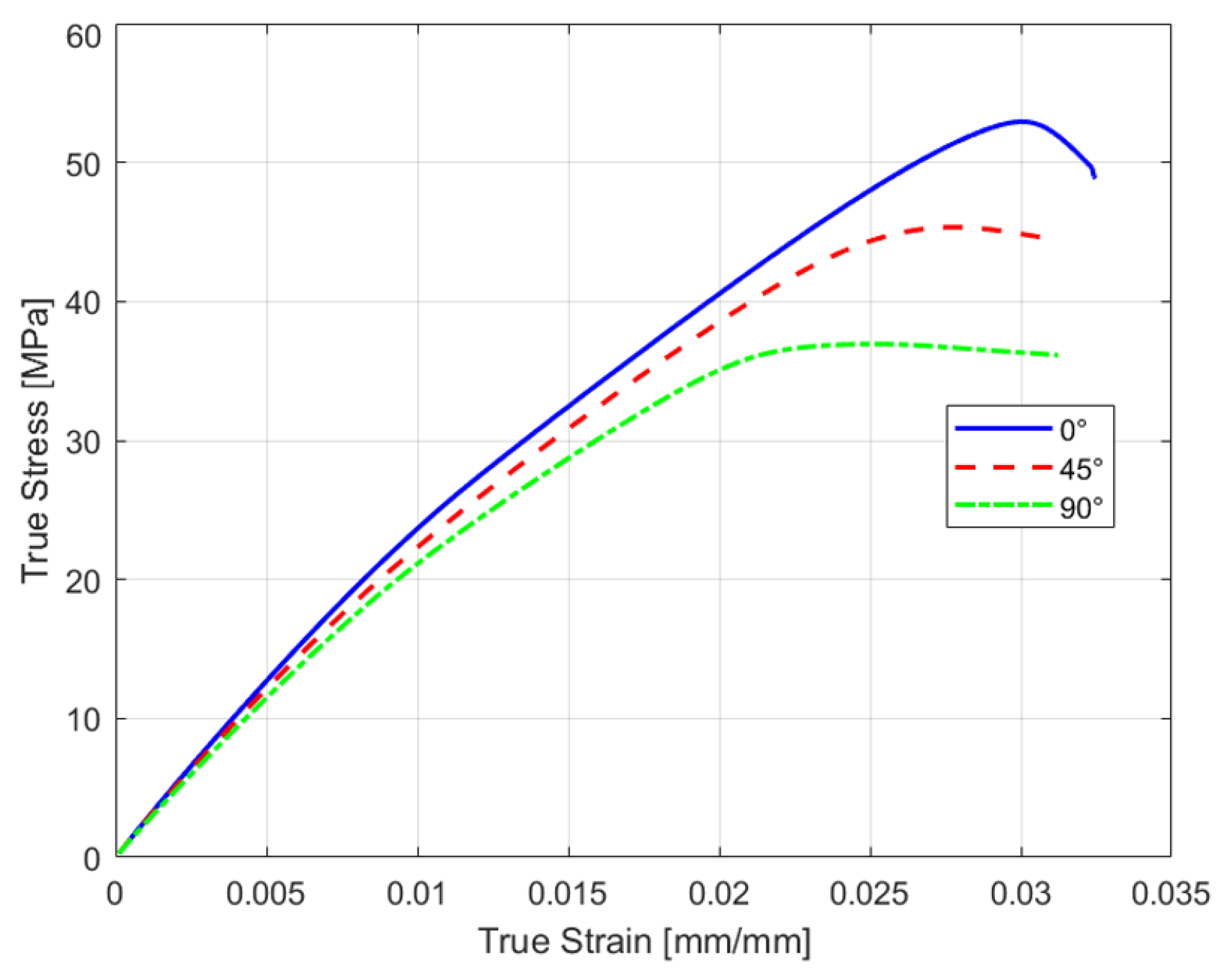
3.1. Tensile Testing Results
3.2. FEA Simulation Results
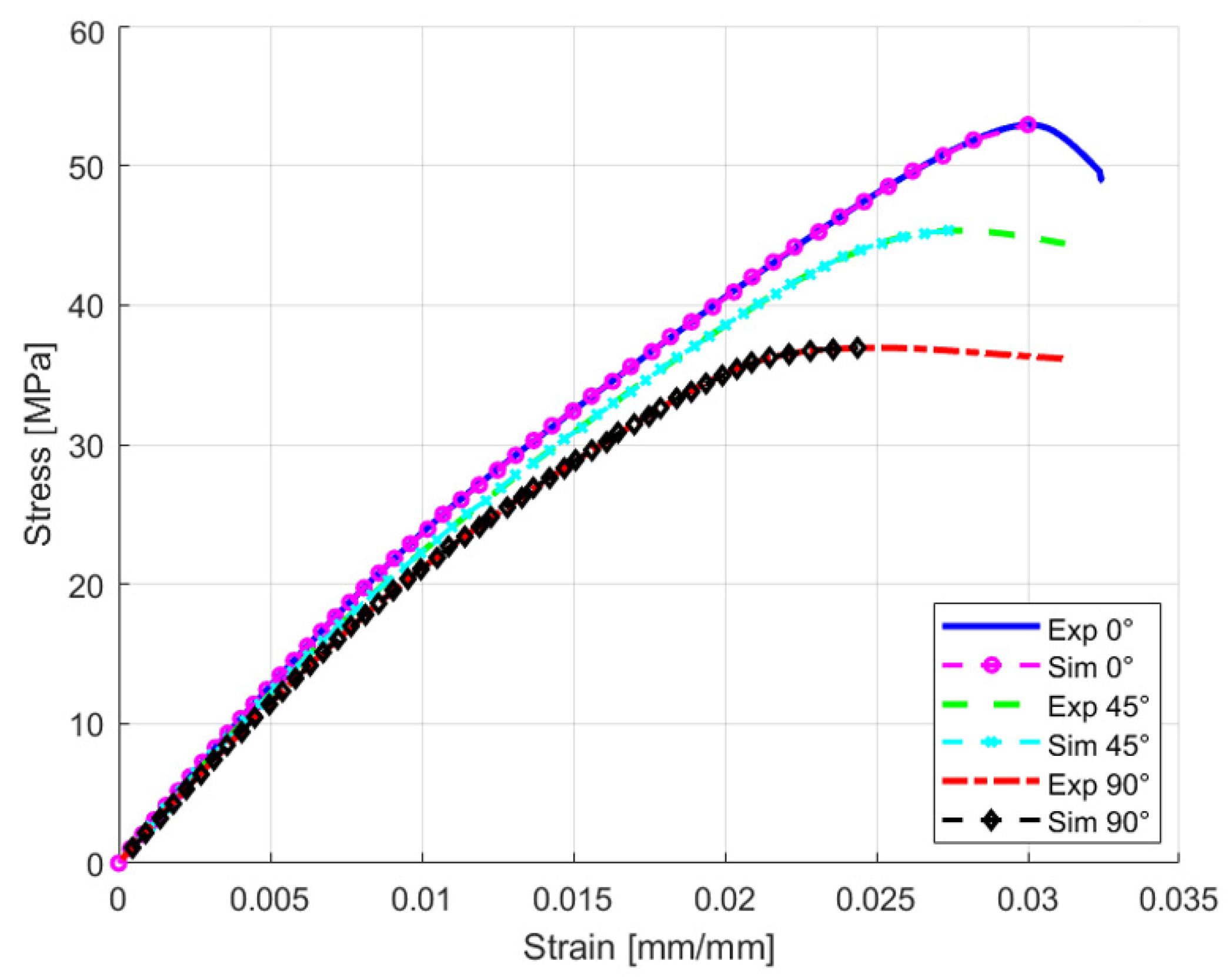
3.3. Validation and Discussion
4. Conclusions
Author Contributions
Funding
Institutional Review Board Statement
Data Availability Statement
Conflicts of Interest
References
- Gonabadi, H.; Yadav, A.; Bull, S.J. The Effect of Processing Parameters on the Mechanical Characteristics of PLA Produced by a 3D FFF Printer. Int. J. Adv. Manuf. Technol. 2020, 111, 695–709. [Google Scholar] [CrossRef]
- Alharbi, M.; Kong, I.; Patel, V.I. Simulation of Uniaxial Stress–Strain Response of 3D-Printed Polylactic Acid by Nonlinear Finite Element Analysis. Appl. Adhes. Sci. 2020, 8, 5. [Google Scholar] [CrossRef]
- Vasco, J.C. Additive Manufacturing For The Automotive Industry. In Additive Manufacturing; Elsevier: Amsterdam, The Netherlands, 2021; pp. 505–530. ISBN 9780128184110. [Google Scholar]
- Ji, S.; Guvendiren, M. Recent Advances in Bioink Design for 3D Bioprinting of Tissues and Organs. Front. Bioeng. Biotechnol. 2017, 5, 256815. [Google Scholar] [CrossRef] [PubMed]
- Knowlton, S.; Yenilmez, B.; Tasoglu, S. Towards Single-Step Biofabrication of Organs on a Chip via 3D Printing. Trends Biotechnol. 2016, 34, 685–688. [Google Scholar] [CrossRef] [PubMed]
- Ghaffar, S.; Mullett, P. Commentary: 3D Printing Set to Transform the Construction Industry. Proc. Inst. Civ. Eng.-Struct. Build 2018, 171, 737–738. [Google Scholar] [CrossRef]
- Tse, W.C.; Chen, Y.H. Robotic System for Rapid Prototyping. In Proceedings of the Proceedings—IEEE International Conference on Robotics and Automation, Albuquerque, NM, USA, 20–25 April 1997; Volume 3, pp. 1815–1820. [Google Scholar]
- Ventola, C.L. Medical Applications for 3D Printing: Current and Projected Uses. Pharm. Ther. 2014, 39, 704. [Google Scholar]
- Ford, S.; Minshall, T. Invited Review Article: Where and How 3D Printing Is Used in Teaching and Education. Addit. Manuf. 2019, 25, 131–150. [Google Scholar] [CrossRef]
- Murr, L.E. Frontiers of 3D Printing/Additive Manufacturing: From Human Organs to Aircraft Fabrication. J. Mater. Sci. Technol. 2016, 32, 987–995. [Google Scholar] [CrossRef]
- Silva, J.M.; Wagner, G.; Silva, R.; Morais, A.; Ribeiro, J.; Mould, S.; Figueiredo, B.; Nóbrega, J.M.; Cruz, P.J.S. Real-Time Precision in 3D Concrete Printing: Controlling Layer Morphology via Machine Vision and Learning Algorithms. Inventions 2024, 9, 80. [Google Scholar] [CrossRef]
- Khosravani, M.R.; Berto, F.; Ayatollahi, M.R.; Reinicke, T. Characterization of 3D-Printed PLA Parts with Different Raster Orientations and Printing Speeds. Sci. Rep. 2022, 12, 1016. [Google Scholar] [CrossRef]
- Monaldo, E.; Ricci, M.; Marfia, S. Mechanical Properties of 3D Printed Polylactic Acid Elements: Experimental and Numerical Insights. Mech. Mater. 2023, 177, 104551. [Google Scholar] [CrossRef]
- Wang, Y.; Li, X. An Accurate Finite Element Approach for Programming 4D-Printed Self-Morphing Structures Produced by Fused Deposition Modeling. Mech. Mater. 2020, 151, 103628. [Google Scholar] [CrossRef]
- Hu, B.; Duan, X.; Xing, Z.; Xu, Z.; Du, C.; Zhou, H.; Chen, R.; Shan, B. Improved Design of Fused Deposition Modeling Equipment for 3D Printing of High-Performance PEEK Parts. Mech. Mater. 2019, 137, 103139. [Google Scholar] [CrossRef]
- Tanikella, N.G.; Wittbrodt, B.; Pearce, J.M. Tensile Strength of Commercial Polymer Materials for Fused Filament Fabrication 3D Printing. Addit. Manuf. 2017, 15, 40–47. [Google Scholar] [CrossRef]
- Ozsoy, K.; Un, I.; Uygulamalı, I.; Üniversitesi, B.; Özsoy, K. A Comparative Finite Element Stress Analysis Of Isotropic Matrix And 3D Printed PLA Material. In Proceedings of the 2nd International Conference on Technology and Science, Lucknow, India, 14–16 November 2019. [Google Scholar]
- Huang, Y.H.; Lin, C.Y. Measurement of Orthotropic Material Constants and Discussion on 3D Printing Parameters in Additive Manufacturing. Appl. Sci. 2022, 12, 6812. [Google Scholar] [CrossRef]
- Letcher, T.; Waytashek, M. Material Property Testing of 3D-Printed Specimen in Pla on an Entry-Level 3D Printer. In Proceedings of the ASME International Mechanical Engineering Congress and Exposition, Proceedings (IMECE), Montreal, QC, Canada, 14–20 November 2014; Volume 2A. [Google Scholar]
- Song, Y.; Li, Y.; Song, W.; Yee, K.; Lee, K.Y.; Tagarielli, V.L. Measurements of the Mechanical Response of Unidirectional 3D-Printed PLA. Mater. Des. 2017, 123, 154–164. [Google Scholar] [CrossRef]
- Pham, S.; Minh, V.-T.; Nguyen, T.; Suteja, T.J.; Soesanti, A. Mechanical Properties of 3D Printed Polylactic Acid Product for Various Infill Design Parameters: A Review. In Journal of Physics: Conference Series; IOP Publishing: Bristol, UK, 2020; Volume 1569, p. 42010. [Google Scholar] [CrossRef]
- Petersmann, S.; Spoerk, M.; Van De Steene, W.; Üçal, M.; Wiener, J.; Pinter, G.; Arbeiter, F. Mechanical Properties of Polymeric Implant Materials Produced by Extrusion-Based Additive Manufacturing. J. Mech. Behav. Biomed. Mater. 2020, 104, 103611. [Google Scholar] [CrossRef]
- Doshi, M.; Mahale, A.; Kumar Singh, S.; Deshmukh, S. Printing Parameters and Materials Affecting Mechanical Properties of FDM-3D Printed Parts: Perspective and Prospects. Mater. Today Proc. 2022, 50, 2269–2275. [Google Scholar] [CrossRef]
- Sabik, A.; Rucka, M.; Andrzejewska, A.; Wojtczak, E. Tensile Failure Study of 3D Printed PLA Using DIC Technique and FEM Analysis. Mech. Mater. 2022, 175, 104506. [Google Scholar] [CrossRef]
- Lubombo, C.; Huneault, M.A. Effect of Infill Patterns on the Mechanical Performance of Lightweight 3D-Printed Cellular PLA Parts. Mater. Today Commun. 2018, 17, 214–228. [Google Scholar] [CrossRef]
- Abeykoon, C.; Sri-Amphorn, P.; Fernando, A. Optimization of Fused Deposition Modeling Parameters for Improved PLA and ABS 3D Printed Structures. Int. J. Lightweight Mater. Manuf. 2020, 3, 284–297. [Google Scholar] [CrossRef]
- Benamira, M.; Benhassine, N.; Ayad, A.; Dekhane, A. Investigation of Printing Parameters Effects on Mechanical and Failure Properties of 3D Printed PLA. Eng. Fail. Anal. 2023, 148, 107218. [Google Scholar] [CrossRef]
- Lokesh, N.; Praveena, B.A.; Sudheer Reddy, J.; Vasu, V.K.; Vijaykumar, S. Evaluation on Effect of Printing Process Parameter through Taguchi Approach on Mechanical Properties of 3D Printed PLA Specimens Using FDM at Constant Printing Temperature. Mater. Today Proc. 2022, 52, 1288–1293. [Google Scholar] [CrossRef]
- Rodríguez-Panes, A.; Claver, J.; Camacho, A.M. The Influence of Manufacturing Parameters on the Mechanical Behaviour of PLA and ABS Pieces Manufactured by FDM: A Comparative Analysis. Materials 2018, 11, 1333. [Google Scholar] [CrossRef] [PubMed]
- Ligon, S.C.; Liska, R.; Stampfl, J.; Gurr, M.; Mülhaupt, R. Polymers for 3D Printing and Customized Additive Manufacturing. Chem. Rev. 2017, 117, 10212–10290. [Google Scholar] [CrossRef]
- Provaggi, E.; Capelli, C.; Rahmani, B.; Burriesci, G.; Kalaskar, D.M. 3D Printing Assisted Finite Element Analysis for Optimising the Manufacturing Parameters of a Lumbar Fusion Cage. Mater. Des. 2019, 163, 107540. [Google Scholar] [CrossRef]
- Pastor-Artigues, M.M.; Roure-Fernández, F.; Ayneto-Gubert, X.; Bonada-Bo, J.; Pérez-Guindal, E.; Buj-Corral, I. Elastic Asymmetry of PLA Material in FDM-Printed Parts: Considerations Concerning Experimental Characterisation for Use in Numerical Simulations. Materials 2019, 13, 15. [Google Scholar] [CrossRef] [PubMed]
- Calneryte, D.; Barauskas, R.; Milasiene, D.; Maskeliunas, R.; Neciunas, A.; Ostreika, A.; Patasius, M.; Krisciunas, A. Multi-Scale Finite Element Modeling of 3D Printed Structures Subjected to Mechanical Loads. Rapid Prototyp. J. 2018, 24, 177–187. [Google Scholar] [CrossRef]
- Ali, M.H.; Yerbolat, G.; Amangeldi, S. Material Optimization Method in 3D Printing. In Proceedings of the 2018 IEEE International Conference on Advanced Manufacturing, ICAM 2018, Yunlin, Taiwan, 23–25 November 2018; pp. 365–368. [Google Scholar]
- Majeed, M.; Geesala, R.V.T. Characterization of Thin Laminate Interface by Using Double Cantilever Beam and End Notched Flexure Tests. Master’s Thesis, Blekinge Institute of Technology, Karlskrona, Sweden, 2020. [Google Scholar]
- Geng, L.; Wu, W.; Sun, L.; Fang, D. Damage Characterizations and Simulation of Selective Laser Melting Fabricated 3D Re-Entrant Lattices Based on in-Situ CT Testing and Geometric Reconstruction. Int. J. Mech. Sci. 2019, 157–158, 231–242. [Google Scholar] [CrossRef]
- Bhandari, S.; Lopez-Anido, R. Finite Element Analysis of Thermoplastic Polymer Extrusion 3D Printed Material for Mechanical Property Prediction. Addit. Manuf. 2018, 22, 187–196. [Google Scholar] [CrossRef]
- Bhandari, S.; Lopez-Anido, R. Finite Element Modeling of 3D-Printed Part with Cellular Internal Structure Using Homogenized Properties. Prog. Addit. Manuf. 2019, 4, 143–154. [Google Scholar] [CrossRef]
- Henry, C.; Rupel, K.; Park, C.; Costanzo, J.; Kaczowka, C.; Malik, K.; Ghose, S. Evaluation of an Alternate Method for Determining Yield Strength Offset Values for Selective Laser Sintered Polymeric Materials. In Proceedings of the SAMPE 2019, Charlotte, NC, USA, 20–23 May 2019. [Google Scholar]
- Zhang, G.; Luo, J.; Zheng, G.; Bai, Z.; Cao, L.; Mao, H. Is the 0.2%-Strain-Offset Approach Appropriate for Calculating the Yield Stress of Cortical Bone? Ann. Biomed. Eng. 2021, 49, 1747–1760. [Google Scholar] [CrossRef] [PubMed]
- Syrlybayev, D.; Zharylkassyn, B.; Seisekulova, A.; Akhmetov, M.; Perveen, A.; Talamona, D. Optimisation of Strength Properties of FDM Printed Parts—A Critical Review. Polymers 2021, 13, 1587. [Google Scholar] [CrossRef]
- ASTM D638; Standard Test Method for Tensile Properties of Plastics 1. ASTM International: West Conshohocken, PA, USA, 2014.
- Knupp, P.M. Achieving Finite Element Mesh Quality via Optimization of the Jacobian Matrix Norm and Associated Quantities. Part I-a Framework for Surface Mesh Optimization. Int. J. Numer. Meth. Eng. 2000, 48, 401–420. [Google Scholar] [CrossRef]
- Liber-Kneć, A.; Łagan, S. Effect of Mass Reduction of 3D-Printed PLA on Load Transfer Capacity—A Circular Economy Perspective. Materials 2025, 18, 3262. [Google Scholar] [CrossRef]
- Wang, X.; Zhao, L.; Fuh, J.; Lee, H. Effect of Porosity on Mechanical Properties of 3D Printed Polymers: Experiments and Micromechanical Modeling Based on X-Ray Computed Tomography Analysis. Polymers 2019, 11, 1154. [Google Scholar] [CrossRef]
- Ansys, I. LSDYNA From Engineering to True Strain, True Stress. Available online: https://lsdyna.ansys.com/from-engineering-to-true-strain-true-stress/ (accessed on 20 February 2025).
- Defining Plasticity in Abaqus. Available online: https://abaqus-docs.mit.edu/2017/English/SIMACAEGSARefMap/simagsa-c-matdefining.htm#simagsa-c-matdefining__simagsa-c-mat-stress-table (accessed on 27 February 2025).
- Zouaoui, M.; Gardan, J.; Lafon, P.; Makke, A.; Labergere, C.; Recho, N. A Finite Element Method to Predict the Mechanical Behavior of a Pre-Structured Material Manufactured by Fused Filament Fabrication in 3D Printing. Appl. Sci. 2021, 11, 5075. [Google Scholar] [CrossRef]
- Travieso-Rodriguez, J.A.; Jerez-Mesa, R.; Llumà, J.; Traver-Ramos, O.; Gomez-Gras, G.; Rovira, J.J.R. Mechanical Properties of 3D-Printing Polylactic Acid Parts Subjected to Bending Stress and Fatigue Testing. Materials 2019, 12, 3859. [Google Scholar] [CrossRef] [PubMed]












| Processing Parameter | Value |
|---|---|
| Nozzle diameter | 0.4 mm |
| Layer height | 0.2 mm |
| Layer width | 0.4 mm |
| Infill pattern | Aligned rectilinear |
| Infill density | 100% |
| Nozzle temperature | 220 °C |
| Building temperature | 55 °C |
| Printing speed | ~250 mm/s |
| Properties | 0° Raster Orientation | 45° Raster Orientation | 90° Raster Orientation |
|---|---|---|---|
| E [MPa] | 2629.30 ± 34.86 | 2507.10 ± 63.12 | 2368.9 ± 10.20 |
| UTS [MPa] | 52.93 ± 0.90 | 45.33 ± 0.37 | 36.94 ± 0.50 |
| Raster Orientation | Strain Offset % | Yield Stress [MPa] | ARE % exp. vs. sim. |
|---|---|---|---|
| 0° | 0 | 6.8 | 0.10 |
| 0.007 | 9.8 | 0.32 | |
| 0.01 | 11 | 0.43 | |
| 0.02 | 13.4 | 0.68 | |
| 0.05 | 18.4 | 1.73 | |
| 0.2 | 29 | 5.84 | |
| 45° | 0 | 7 | 0.16 |
| 0.007 | 9.5 | 0.23 | |
| 0.01 | 10.4 | 0.31 | |
| 0.02 | 12.8 | 0.58 | |
| 0.05 | 17.1 | 1.35 | |
| 0.2 | 27.4 | 5.75 | |
| 90° | 0 | 6.7 | 0.21 |
| 0.007 | 9.2 | 0.30 | |
| 0.01 | 10 | 0.32 | |
| 0.02 | 12 | 0.53 | |
| 0.05 | 16.5 | 1.39 | |
| 0.2 | 25.7 | 5.46 |
| Properties | 0° Raster Orientation | 45° Raster Orientation | 90° Raster Orientation |
|---|---|---|---|
| E [MPa] | 2629.30 | 2507.10 | 2368.9 |
| YS [MPa] | 6.8 | 7 | 6.7 |
| UTS [MPa] | 52.93 | 45.33 | 36.94 |
Disclaimer/Publisher’s Note: The statements, opinions and data contained in all publications are solely those of the individual author(s) and contributor(s) and not of MDPI and/or the editor(s). MDPI and/or the editor(s) disclaim responsibility for any injury to people or property resulting from any ideas, methods, instructions or products referred to in the content. |
© 2026 by the authors. Licensee MDPI, Basel, Switzerland. This article is an open access article distributed under the terms and conditions of the Creative Commons Attribution (CC BY) license.
Share and Cite
Majeed, M.; Silva, R.; Faye, D.N.; Pedrosa, P. Influence of Strain-Offset-Based Yield Definitions on the Accuracy of Finite Element Analysis of 3D-Printed PLA with Different Raster Orientations. Polymers 2026, 18, 158. https://doi.org/10.3390/polym18020158
Majeed M, Silva R, Faye DN, Pedrosa P. Influence of Strain-Offset-Based Yield Definitions on the Accuracy of Finite Element Analysis of 3D-Printed PLA with Different Raster Orientations. Polymers. 2026; 18(2):158. https://doi.org/10.3390/polym18020158
Chicago/Turabian StyleMajeed, Moiz, Rafael Silva, Djbril Nd. Faye, and Paulo Pedrosa. 2026. "Influence of Strain-Offset-Based Yield Definitions on the Accuracy of Finite Element Analysis of 3D-Printed PLA with Different Raster Orientations" Polymers 18, no. 2: 158. https://doi.org/10.3390/polym18020158
APA StyleMajeed, M., Silva, R., Faye, D. N., & Pedrosa, P. (2026). Influence of Strain-Offset-Based Yield Definitions on the Accuracy of Finite Element Analysis of 3D-Printed PLA with Different Raster Orientations. Polymers, 18(2), 158. https://doi.org/10.3390/polym18020158

