Next Issue
Volume 19, February-2
Previous Issue
Volume 19, January-2
 
 
materials-logo

Journal Browser

Journal Browser

Materials, Volume 19, Issue 3 (February-1 2026) – 198 articles

Cover Story (view full-size image): In this study, a novel nanoporous catalyst is synthesized via a combined annealing–dealloying strategy. Annealing at 550 °C and 600 °C induces partial crystallization, generating α-Fe and Fe2B phases that serve as preferential corrosion sites during chemical dealloying. This process results in a three-dimensionally interconnected nanoporous structure, which significantly increases the specific surface area of the catalyst to 2.642 m2/g. The optimized nanoporous catalyst exhibits excellent degradation performance, achieving complete removal of PNP within 30 min under room temperature reaction conditions. Notably, kinetic analysis reveals a degradation mechanism involving adsorption and Fenton-like catalysis. The high specific surface area provides abundant active sites for PNP adsorption, while the enhanced Fe2+ dissolution synergistically accelerates degradation. View this paper
  • Issues are regarded as officially published after their release is announced to the table of contents alert mailing list.
  • You may sign up for e-mail alerts to receive table of contents of newly released issues.
  • PDF is the official format for papers published in both, html and pdf forms. To view the papers in pdf format, click on the "PDF Full-text" link, and use the free Adobe Reader to open them.
Order results
Result details
Section
Select all
Export citation of selected articles as:
16 pages, 3760 KB  
Article
Low-Temperature Plasma Activation of Biomaterials and Its Stability over Time and Post-Sterilisation Effects
by Piotr Trębacz, Mateusz Pawlik, Aleksandra Kurkowska, Karolina Wilk, Agata Piątek and Michał Czopowicz
Materials 2026, 19(3), 643; https://doi.org/10.3390/ma19030643 - 6 Feb 2026
Cited by 1 | Viewed by 780
Abstract
Low-temperature plasma (LTP) activation is increasingly used as a surface modification technique to enhance the wettability and biological performance of metallic implants. However, the stability of plasma-induced surface changes and their interaction with standard sterilisation procedures remain insufficiently understood. This study aimed to [...] Read more.
Low-temperature plasma (LTP) activation is increasingly used as a surface modification technique to enhance the wettability and biological performance of metallic implants. However, the stability of plasma-induced surface changes and their interaction with standard sterilisation procedures remain insufficiently understood. This study aimed to evaluate the effects of LTP activation, steam sterilisation, and their combination with the wettability of metallic implant materials, as well as the temporal stability of these effects. Samples manufactured from Ti6Al4V sheet, additively manufactured Ti6Al4V, and additively manufactured cobalt–chromium alloy were subjected to low-temperature plasma activation, steam sterilisation, or both procedures. Surface wettability was assessed by measuring the contact angle of canine blood droplets immediately after treatment and over a five-day observation period. Low-temperature plasma activation resulted in a substantial reduction in the contact angle for all tested materials, indicating a pronounced increase in surface wettability. However, this effect gradually diminished over time. Steam sterilisation alone moderately improved wettability and showed relatively stable effects. When steam sterilisation was applied after plasma activation, the plasma-induced enhancement was significantly attenuated and rapidly lost during storage. These findings demonstrate that while LTP activation effectively improves surface wettability, its benefits are highly time-dependent and strongly influenced by subsequent sterilisation. Plasma activation should therefore be performed immediately before implantation or combined with sterilisation and storage strategies that preserve surface modifications. Full article
(This article belongs to the Special Issue Smart Biomaterials in Regenerative Engineering)
Show Figures

Figure 1

23 pages, 2768 KB  
Article
Enhancing Permanent Magnet Sliding Bearings Through Multi-Layer Yoke for Minimized Magnetic Leakage
by Yong Liu, Haitao Zhao, Jixing Li, Lei Wu and Yang Xia
Materials 2026, 19(3), 642; https://doi.org/10.3390/ma19030642 - 6 Feb 2026
Viewed by 528
Abstract
To mitigate the potential adverse effects of magnetic flux leakage from permanent-magnet sliding bearings on human health and the environment, this study proposes a leakage-suppressed design based on a multi-layer yoke configuration. The magnetic performance of the bearing was systematically investigated using finite [...] Read more.
To mitigate the potential adverse effects of magnetic flux leakage from permanent-magnet sliding bearings on human health and the environment, this study proposes a leakage-suppressed design based on a multi-layer yoke configuration. The magnetic performance of the bearing was systematically investigated using finite element method (FEM) simulations. The results demonstrate a pronounced reduction in magnetic leakage when replacing a conventional single-layer yoke with an optimized multi-layer yoke structure. Targeted design refinements, including optimization of both the number and angular span of magnetic rings, as well as tuning of the yoke thickness, further enhance the effectiveness of the leakage-suppression strategy. The proposed multi-layer yoke configuration preserves both the magnetic force and the load-carrying capacity of the magnetic bearing, while concurrently providing a viable theoretical and engineering basis for the design and structural optimization of leakage-controlled permanent-magnet bearings. Full article
Show Figures

Figure 1

34 pages, 7586 KB  
Review
Application of Graphite Tailings in Concrete Manufacturing: A Review
by Shan Gao, Jicheng Xu, Sijia Zhou, Man Xu and Honghao Li
Materials 2026, 19(3), 641; https://doi.org/10.3390/ma19030641 - 6 Feb 2026
Viewed by 469
Abstract
Large-scale mining of graphite, a crucial strategic mineral, generates substantial amounts of graphite tailings (GT). The stockpiling of this solid waste occupies vast land resources and poses persistent environmental risks due to potential heavy metal leaching. Repurposing GT into construction materials presents a [...] Read more.
Large-scale mining of graphite, a crucial strategic mineral, generates substantial amounts of graphite tailings (GT). The stockpiling of this solid waste occupies vast land resources and poses persistent environmental risks due to potential heavy metal leaching. Repurposing GT into construction materials presents a promising solution, with its use as a partial replacement for fine aggregates in cementitious composites being one of the most effective methods. This review systematically consolidates current research on graphite tailings cement mortar (GTCM) and graphite tailings concrete (GTC). Due to its physicochemical properties comparable to natural sand, GT is suitable for producing building materials. Studies consistently demonstrate that a substitution level of 10% to 20% optimizes overall performance. This optimal range enhances particle packing, promotes cement hydration via pozzolanic activity, and refines the microstructure, leading to improved workability, superior mechanical strength, and enhanced durability, including resistance to permeability, freeze–thaw cycles, and chemical attacks. Moreover, the inherent carbon content imparts electrical conductivity to GTC, enabling functional applications like de-icing and structural health monitoring. The successful utilization of GT also extends to lightweight foamed and autoclaved aerated concrete. However, research on the structural behavior of GTC components remains limited. Preliminary findings on beams and columns are encouraging, but comprehensive studies on their seismic performance and design methodologies are urgently needed to facilitate the widespread engineering application of this sustainable material and mitigate the environmental impact of tailings accumulation. Full article
(This article belongs to the Section Construction and Building Materials)
Show Figures

Figure 1

18 pages, 3033 KB  
Article
Failure Behavior and Mechanism of Solder Joint Under Thermal Mechanical Coupling Loads
by Yuxin Deng, Si Chen, Peijiang Liu, Guoguang Lu, Xiaofeng Yang, Yu Zhao and Xiaodong Jian
Materials 2026, 19(3), 640; https://doi.org/10.3390/ma19030640 - 6 Feb 2026
Viewed by 682
Abstract
The periodic thermal loads to which electronic devices are exposed during operation induce alternating thermal stresses due to the mismatched coefficients of thermal expansion (CTE) between the solder joints and the surrounding materials. This leads to cyclic thermal strain, ultimately causing crack initiation, [...] Read more.
The periodic thermal loads to which electronic devices are exposed during operation induce alternating thermal stresses due to the mismatched coefficients of thermal expansion (CTE) between the solder joints and the surrounding materials. This leads to cyclic thermal strain, ultimately causing crack initiation, propagation, and failure of interconnect structures. This study investigates thermal fatigue failure of Sn3.5Ag solder joints induced by cyclic thermal stresses from CTE mismatch. Numerical simulations and experiments reveal that alternating shear strain concentrates at the joint–pad interface, serving as the crack initiation site. This study proposes a hypothesis: extracting the equivalent viscoplastic strain range from the steady-state hysteretic response after cyclic stabilization and applying it to the Coffin–Manson model can mitigate the strain overestimation inherent to methods based on the initial transient impact, thereby providing a more reasonable physical basis for thermal fatigue life evaluation. Based on this, the thermal fatigue life of the solder joint is predicted to be 18,930 cycles. Analysis confirms significantly higher viscoplastic strain energy density at this critical point, indicating energy dissipation drives damage. This study addresses the above hypothesis from three aspects: deformation mechanism, cyclic response, and energy dissipation, providing a key basis for developing a highly reliable method for assessing solder joint life. Full article
(This article belongs to the Section Mechanics of Materials)
Show Figures

Graphical abstract

17 pages, 2381 KB  
Article
Experimental Assessment of Stress–Strain Response in Filament-Wound GFRP Pipes Under Internal Pressure Loading
by Costin Nicolae Ilincă, Ibrahim Naim Ramadan, Rami Doukeh, Adrian Neacsa, Alin Diniță, Eugen Victor Laudacescu, Marius Gabriel Petrescu, Marius Bădicioiu and Ștefan Alexandru Gavrilă
Materials 2026, 19(3), 639; https://doi.org/10.3390/ma19030639 - 6 Feb 2026
Cited by 1 | Viewed by 575
Abstract
Fiber-reinforced polymer (FRP) pipes are increasingly used in pressure piping systems due to their corrosion resistance and favorable mechanical performance; however, the direct experimental validation of design assumptions adopted in international standards remains limited. The objective of this study is to experimentally validate [...] Read more.
Fiber-reinforced polymer (FRP) pipes are increasingly used in pressure piping systems due to their corrosion resistance and favorable mechanical performance; however, the direct experimental validation of design assumptions adopted in international standards remains limited. The objective of this study is to experimentally validate the mechanical response and stress distribution of filament-wound GFRP pipes under representative loading conditions and to assess the consistency of the measured behavior with the allowable-stress design framework of ISO 14692 and complementary ASME and BS codes. In this study, the mechanical behavior of filament-wound glass fiber-reinforced polymer (GFRP) pipes is investigated through a combined experimental program including tensile, bending, and full-scale internal pressure tests. Electrical resistance strain gauges were applied in axial and circumferential directions to directly measure deformation under internal pressure up to 31 bar, allowing experimental stresses to be derived using orthotropic laminate relationships. The results demonstrate a predominantly linear elastic response within the service range, followed by progressive damage initiation at higher load levels, with circumferential stresses consistently exceeding axial stresses, confirming a hoop-dominated response. At the maximum applied pressure of 31 bar, axial and circumferential strains reached approximately εa ≈ 1.30 × 10−3 and εh ≈ 1.60 × 10−3, corresponding to experimentally derived stresses of σaexp ≈ 15.3 MPa and σhexp ≈ 18.8 MPa, without catastrophic failure. The novelty of this work lies in the direct integration of full-scale strain gauge measurements with standardized allowable-stress design assumptions, enabling an experimental validation of ISO 14692 that is rarely addressed in existing studies. The experimentally derived stress–strain data show good agreement with theoretical models and provide a direct link between measured behavior and the allowable stress philosophy and design equations defined in ISO 14692 and complementary ASME and BS design codes. The findings validate the applicability of standardized design approaches and provide experimentally grounded support for engineering design decisions in FRP piping systems. Full article
Show Figures

Graphical abstract

13 pages, 7651 KB  
Article
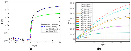
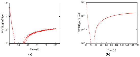
Filtered Cathodic Vacuum Arc Deposition for Inkjet-Printed OLED Encapsulation
by Zhuo Gao, Songju Li, Lei Wang, Lin Chen, Xianwen Sun and Dong Fu
Materials 2026, 19(3), 638; https://doi.org/10.3390/ma19030638 - 6 Feb 2026
Viewed by 576
Abstract
To improve the low deposition rate of atomic layer deposition (ALD), we introduced filtered cathodic vacuum arc (FCVA) technology for the high-rate deposition of Al2O3 films. The FCVA-Al2O3 process achieved a deposition rate of 15 nm/min, which [...] Read more.
To improve the low deposition rate of atomic layer deposition (ALD), we introduced filtered cathodic vacuum arc (FCVA) technology for the high-rate deposition of Al2O3 films. The FCVA-Al2O3 process achieved a deposition rate of 15 nm/min, which is approximately an order of magnitude higher than that of conventional ALD. This process does not involve hydrogen, preventing hydrogen ion penetration and thereby ensuring the high stability of the oxide TFT backplane. FCVA-Al2O3 films were integrated with inkjet-printed (IJP) organic layers to form a hybrid thin-film encapsulation (TFE) structure for OLEDs. The resulting laminated encapsulation exhibited excellent water vapor barrier properties (WVTR, Water Vapor Transmission Rate of 1.2 × 10−4 g/m2/day), demonstrating the great potential of FCVA for packaging high-throughput and high-performance flexible electronics. In addition to evaluating barrier properties (surface roughness, residual stress, and WVTR) to assess the suitability of TFE, the impact of FCVA technology was assessed via oxide thin-film transistor (TFT) electrical performance and OLED device reliability tests. The electrical properties of oxide TFTs show no significant degradation post-encapsulation, while OLED performance, despite a slight increase in current efficiency, remains effectively unchanged. Additionally, the lifetime of OLED devices reached 300 h under accelerated aging conditions (85 °C, 85% relative humidity), which is nearly twice that of devices without FCVA-Al2O3 encapsulation. Full article
Show Figures

Graphical abstract

17 pages, 8182 KB  
Article
Analysis of Niobium and Stainless Steel Electropolishing Solutions by Laser-Induced Breakdown Spectroscopy Using a Porous Silicon Substrate and a Non-Contact Pretreatment
by Ayumu Matsumoto, Yuki Takeda, Kiichi Kuroda, Hiroto Torigoe, Yui Sugita, Yusuke Shimazu, Keisuke Nii, Yoshiaki Ida and Shinji Yae
Materials 2026, 19(3), 637; https://doi.org/10.3390/ma19030637 - 6 Feb 2026
Viewed by 619
Abstract
Electropolishing is an essential process for the surface treatment of metallic materials. To determine the appropriate replacement timing of electropolishing solutions for their efficient use and improved productivity, it is important to periodically analyze the amounts of dissolved metals in the solutions. However, [...] Read more.
Electropolishing is an essential process for the surface treatment of metallic materials. To determine the appropriate replacement timing of electropolishing solutions for their efficient use and improved productivity, it is important to periodically analyze the amounts of dissolved metals in the solutions. However, these solutions are typically highly corrosive, and on-site analytical techniques that can be easily applied at production sites have not yet been established. In this study, we demonstrated microvolume liquid analysis using low-energy laser-induced breakdown spectroscopy (LIBS) combined with a porous silicon substrate fabricated by metal-assisted etching (metal-assisted chemical etching) and a non-contact gas-blowing pretreatment. In the analysis of electropolishing solutions used for niobium superconducting cavities and stainless steel products, emission lines of niobium and of iron and chromium were successfully detected after blowing the respective microdroplet samples on porous silicon, and linear correlations were observed between the spectral line intensity and the polished amounts. The present results provide a basis for future on-site application of LIBS to highly corrosive electropolishing solutions in the metal finishing industry. Full article
(This article belongs to the Special Issue Surface Modifications and Coatings for Metallic Materials)
Show Figures

Graphical abstract

23 pages, 8890 KB  
Article
Anand Model and Finite Element Analysis of Sn-0.3Ag-0.7Cu-3Bi Lead-Free Solder Joints in BGA Packages
by Junchen Liu, Abdullah Aziz Saad, Yuezong Zheng, Hongchao Ji and Zuraihana Bachok
Materials 2026, 19(3), 636; https://doi.org/10.3390/ma19030636 - 6 Feb 2026
Viewed by 741
Abstract
Bi-doped low-silver Sn-Ag-Cu solders are increasingly gaining attention in advanced electronic packaging due to their cost-effectiveness and enhanced mechanical properties. However, the thermo-mechanical reliability mechanisms of such modified solders, particularly Sn-0.3Ag-0.7Cu-3Bi (SAC0307-3Bi) within Ball Grid Array (BGA) assemblies, remain insufficiently understood. To address [...] Read more.
Bi-doped low-silver Sn-Ag-Cu solders are increasingly gaining attention in advanced electronic packaging due to their cost-effectiveness and enhanced mechanical properties. However, the thermo-mechanical reliability mechanisms of such modified solders, particularly Sn-0.3Ag-0.7Cu-3Bi (SAC0307-3Bi) within Ball Grid Array (BGA) assemblies, remain insufficiently understood. To address this gap, this research proposes a comprehensive assessment framework integrating constitutive parameter calibration with finite element analysis (FEA) to accurately characterize the mechanical behavior and fatigue durability of SAC0307-3Bi solder joints under cyclic thermal loads. The Anand viscoplastic parameters were first calibrated via the Norton creep law and virtual tensile tests. Subsequently, a 3D quarter-symmetry model was constructed to replicate thermal cycling conditions between 25 °C and 125 °C. Simulation data reveal a strong correlation between stress concentration and the Distance to Neutral Point (DNP), pinpointing the chip-side interface of the corner joint as the critical failure site. Moreover, creep strain was observed to accrue in a “step-wise” pattern, predominantly during the heating and cooling ramps, reflecting distinct temperature sensitivity. Utilizing the Syed model, the fatigue life was estimated at approximately 2239 cycles. These insights serve as a crucial benchmark for designing robust packages using Bi-doped, low-silver lead-free solders. Full article
(This article belongs to the Special Issue Research on Metal Cutting, Casting, Forming, and Heat Treatment)
Show Figures

Figure 1

17 pages, 1025 KB  
Article
CLM App: Interlamellar Distance of Pearlite via CLM Revisited and Automated
by Martin Zouhar, Šárka Mikmeková, Jan Hovjacký and Petra Váňová
Materials 2026, 19(3), 635; https://doi.org/10.3390/ma19030635 - 6 Feb 2026
Viewed by 384
Abstract
Pearlitic (stainless) steel is used in automotive, aerospace, and other industries where high strength, hardness, and wear resistance are required. Its quality control can be performed using mechanical tests or by examining the lamellar microstructure, namely, determining interlamellar distance. One of the related [...] Read more.
Pearlitic (stainless) steel is used in automotive, aerospace, and other industries where high strength, hardness, and wear resistance are required. Its quality control can be performed using mechanical tests or by examining the lamellar microstructure, namely, determining interlamellar distance. One of the related approaches is the circular line method (CLM). This paper reviews the challenges to automate employment of the CLM using custom Python code in order to reduce human time costs during image-based quality assessment of pearlite. The goal is to perform intersection counting automatically once the human operator has configured the application and selected the locations of measuring circles. Performance assessment using manually processed data from some 465 images is performed. We divide the imaged pearlite microstructures into different “types” when the code performs well or, respectively, not so well. We conclude with possible extensions of the work presented here. Full article
(This article belongs to the Section Metals and Alloys)
Show Figures

Graphical abstract

27 pages, 20638 KB  
Article
Post-Fire Axial Compressive Behavior of Circular GFRP Tube-Confined Concrete Short Columns
by Yiwei Tang, Liu Yang, Ni Zhang, Yali Feng and Jixiang Li
Materials 2026, 19(3), 634; https://doi.org/10.3390/ma19030634 - 6 Feb 2026
Viewed by 431
Abstract
This study experimentally investigates the residual axial compression behavior of circular glass fiber-reinforced polymer (GFRP) tube-confined concrete short columns (CFGFT) after exposure to elevated temperatures. A total of 27 specimens were fabricated and tested under axial compression, with key parameters including GFRP tube [...] Read more.
This study experimentally investigates the residual axial compression behavior of circular glass fiber-reinforced polymer (GFRP) tube-confined concrete short columns (CFGFT) after exposure to elevated temperatures. A total of 27 specimens were fabricated and tested under axial compression, with key parameters including GFRP tube wall thickness (5, 8, and 10 mm), exposure temperature (100, 150, 200, and 300 °C), and constant temperature duration (60 and 120 min). The results show that the load–displacement responses of CFGFT short columns after elevated temperature exposure exhibit distinct two-stage characteristics, culminating in brittle failure at the ultimate axial capacity. Wall thickness significantly influences the failure modes of the specimens, while elevated temperatures increase the occurrence of unfavorable failure modes. Temperature is identified as the primary factor governing the degradation of residual axial capacity and initial stiffness, with performance deterioration becoming more pronounced at temperatures exceeding 200 °C. In contrast, the effect of constant temperature duration within the range of 60–120 min is relatively limited. Based on the experimental results, a simplified binary quadratic regression model incorporating the coupled effects of temperature and wall thickness is proposed to predict the post-fire axial capacity reduction factor (Kr), with a coefficient of determination (R2) of 0.901. These findings provide experimental evidence and a practical predictive approach for the fire-resistant design and post-fire safety assessment of CFGFT members. Full article
Show Figures

Figure 1

29 pages, 8015 KB  
Article
From Pre-Swelling to Performance Enhancement: Mechanisms and Effects of an Instant Ultra High-Performance Bituminous Material Modifier
by Yuanyuan Li, Haowen Ji, Chonghui Wang, Derun Zhang, Fu Wang, Gangping Jiang, Jiahui Deng and Junjie Ke
Materials 2026, 19(3), 633; https://doi.org/10.3390/ma19030633 - 6 Feb 2026
Viewed by 514
Abstract
To elucidate the modification and pre-swelling mechanisms of instant bituminous modifiers and their contribution to bituminous materials’ performance, this study investigates an instant ultra-high-performance bitumen modifier (SHVE-M). Fluorescence microscopy (FM), gel permeation chromatography (GPC), physical property tests, viscoelastic properties tests, dynamic shear rheometer [...] Read more.
To elucidate the modification and pre-swelling mechanisms of instant bituminous modifiers and their contribution to bituminous materials’ performance, this study investigates an instant ultra-high-performance bitumen modifier (SHVE-M). Fluorescence microscopy (FM), gel permeation chromatography (GPC), physical property tests, viscoelastic properties tests, dynamic shear rheometer (DSR), and mixture pavement performance tests were employed to systematically characterise the instant modified bitumen (SHVE-MB) and its mixture (SHVE-MBM). The results indicate that SHVE-M forms a stable “bitumen phase–polymer spherical phase” structure. ImageJ-win64 analysis revealed that SHVE-M exhibits a modifier area fraction of 46.68% and an average area fraction of 0.22‰, while SHVE-MB achieves a modifier area fraction of 17.54% and an average area fraction of 0.18‰. This morphology is supported by a large molecular size (LMS) content of 43% in SHVE-M. In terms of physical properties, the SHVE-MB (prepared via 10 min shearing) exhibited a penetration of 46.2 dmm, a softening point of 91.7 °C, and a ductility of 34.3 cm. These values are highly comparable to the conventional wet-process HVE-MB (prepared via 4 h maturation), with negligible differences of 0.5 dmm, 1.7 °C, and 1.4 cm, respectively. Quantitatively for viscoelasticity, SHVE-MB achieved a dynamic viscosity of 425,283.4 Pa·s at 60 °C and an elastic recovery rate of 92.1%, paralleling the 414,623.7 Pa·s and 93.6% of HVE-MB. Regarding mixture performance, the high-temperature dynamic stability (DS) of SHVE-MBM reached 7974 times/mm, approaching the 8256 times/mm of HVE-MBM. The water stability was excellent with a splitting tensile strength ratio (TSR) of 97.4% (vs. 98.0% for HVE-MBM). Furthermore, the low-temperature fracture toughness (KIC) reached 39.8 N/mm1.5, significantly outperforming SBS-MBM (27.9 N/mm1.5) and remaining close to HVE-MBM (43.9 N/mm1.5). These findings indicate that SHVE-MB effectively bridges the performance gap between instant and traditional high-viscosity modified bitumen, and the pre-swelling mechanism of SHVE-M is well characterized in this study. Full article
Show Figures

Graphical abstract

15 pages, 3439 KB  
Article
Effect of Mixed Reduction Approach on the Oil Absorption Capacity of Graphene Oxide Aerogels
by Carlos Cargua, Nelly Maria Rosas-Laverde, Arturo Barjola, Enrique Giménez and Alina Iuliana Pruna
Materials 2026, 19(3), 632; https://doi.org/10.3390/ma19030632 - 6 Feb 2026
Viewed by 499
Abstract
This study evaluates the impact of a comprehensive design integrating precursor type, reduction and freeze-casting on the development of aerogels with high sorption capacity for engine oil. In this respect, the graphene oxide was varied from commercial to expanded; the reduction approach relied [...] Read more.
This study evaluates the impact of a comprehensive design integrating precursor type, reduction and freeze-casting on the development of aerogels with high sorption capacity for engine oil. In this respect, the graphene oxide was varied from commercial to expanded; the reduction approach relied either on purely hydrothermal or combined hydrothermal–chemical reduction approaches. Following the synthesis, freeze-casting was applied at −5 °C and −196 °C. To further improve the reduction degree, annealing in an inert atmosphere was employed upon drying. The effects of precursors, reduction approach, freeze-casting and annealing were systematically investigated. Characterization techniques, including FT-IR, Raman spectroscopy, SEM, and EDS, were used to correlate the degree of reduction and morphological features of the porous structure with the absorption properties. The use of expanded GO as a precursor yielded aerogels with more homogeneous three-dimensional networks, a reduced bulk density of 3 mg cm−3, and lower oxygen-containing functional group content, thereby achieving consistently superior oil absorption of 270 g g−1, with an oil occupancy of 94%. The process was found to fit well with the pseudo-first-order kinetic model. The results demonstrate that a comprehensive approach—considering combined reduction, freeze-casting, and thermal annealing—enables the tailored optimization of both the structure and absorption performance of GO aerogels for the remediation of oil spills. Full article
(This article belongs to the Section Green Materials)
Show Figures

Figure 1

20 pages, 2725 KB  
Article
Heritage Decorative Wooden Flooring Restoration—Systemotechnical Approach and Risk Analysis
by Michał Juszczyk, Leonas Ustinovichius, Michał Pyzalski, Piotr Buda and Paweł Murzyn
Materials 2026, 19(3), 631; https://doi.org/10.3390/ma19030631 - 6 Feb 2026
Viewed by 471
Abstract
Decorative wooden floorings in heritage interiors require restoration strategies that balance material authenticity, technical reliability, and environmental sensitivity. This study presents a conservation-oriented restoration of a historic parquet floor in the Monastery at Kalwaria Zebrzydowska (Lesser Poland Voivodeship, Poland), originating from the late [...] Read more.
Decorative wooden floorings in heritage interiors require restoration strategies that balance material authenticity, technical reliability, and environmental sensitivity. This study presents a conservation-oriented restoration of a historic parquet floor in the Monastery at Kalwaria Zebrzydowska (Lesser Poland Voivodeship, Poland), originating from the late nineteenth and early twentieth centuries, and focuses on the role of structured risk analysis in technological decision-making. A systemotechnical framework was applied to analyse the restoration as a sequence of interrelated stages governed by material, structural, environmental, technological, and organisational subsystems. Qualitative and semi-quantitative risk classification was integrated with diagnostic investigation, workshop renovation, subfloor reconstruction, reinstallation, and post-intervention monitoring. The results show that dominant risk categories shift across stages and can be progressively reduced through targeted mitigation measures, particularly those addressing moisture variability, material compatibility, and organisational coordination. Early-stage diagnostics combined with active microclimate control proved critical to process reliability and long-term performance, enabling the retention of approximately 85% of the original wooden material. The findings demonstrate the broader applicability of phase-based, risk-informed decision-making in heritage conservation, offering a transferable framework for sustainable restoration of historic wooden floors across diverse cultural and climatic contexts. Full article
Show Figures

Figure 1

25 pages, 10529 KB  
Article
Valorization of Cork Waste in Particleboards Production with Innovative Binder
by Aleksander Hejna, Mateusz Barczewski, Jacek Andrzejewski, Adam Piasecki, Paulina Kosmela and Marek Szostak
Materials 2026, 19(3), 630; https://doi.org/10.3390/ma19030630 - 6 Feb 2026
Viewed by 581
Abstract
Annual cork production exceeds 300,000 tons, of which over 85% is produced in Europe. Approximately 70% of cork is triturated, of which around 30% is sent to landfill and further used for energy production, which does not utilize its potential. Among potential solutions, [...] Read more.
Annual cork production exceeds 300,000 tons, of which over 85% is produced in Europe. Approximately 70% of cork is triturated, of which around 30% is sent to landfill and further used for energy production, which does not utilize its potential. Among potential solutions, mention should be made of cork valorization in particleboard production and of taking advantage of its exceptional properties. Herein, the study assessed the potential to manufacture novel particleboards with possible applications in the construction, building, or furniture sectors from cork waste. To enhance the innovative character and reduce environmental impact, a novel binder composed of a commonly used diisocyanate and ammonium bicarbonate was introduced. Unlike conventional resins, novel resins comprise only solid components, which makes the mixing process more straightforward. Using inexpensive inorganic salts enabled the manufacture of particleboards with increased hydrophobicity, reduced density, and enhanced thermal insulation performance, while simultaneously reducing the required amount of diisocyanate. However, these benefits were accompanied by the deterioration of mechanical performance. The obtained data suggested that by properly adjusting the materials’ composition, a compromise between density, mechanical performance, and other functionalities required by the particular applications can be achieved. Full article
Show Figures

Figure 1

19 pages, 5301 KB  
Article
Fabrication of a Novel Nanoporous FeSiB Powder Catalyst via Annealing–Dealloying Synergistic Strategy for Enhanced p-Nitrophenol Degradation
by Qihang Yu, Ke Liu and Zhendong Sha
Materials 2026, 19(3), 629; https://doi.org/10.3390/ma19030629 - 6 Feb 2026
Viewed by 541
Abstract
p-Nitrophenol (PNP), a highly toxic and recalcitrant organic pollutant prevalent in industrial wastewater, poses severe challenges to traditional Fenton treatment technologies. In this study, a novel nanoporous catalyst is synthesized via a combined annealing–dealloying strategy. Annealing at 550 °C and 600 °C induces [...] Read more.
p-Nitrophenol (PNP), a highly toxic and recalcitrant organic pollutant prevalent in industrial wastewater, poses severe challenges to traditional Fenton treatment technologies. In this study, a novel nanoporous catalyst is synthesized via a combined annealing–dealloying strategy. Annealing at 550 °C and 600 °C induces partial crystallization, generating α-Fe and Fe2B phases that serve as preferential corrosion sites during chemical dealloying. This process results in a three-dimensionally interconnected nanoporous structure, which significantly increases the specific surface area of the catalyst to 2.642 m2/g. The optimized nanoporous catalyst exhibits excellent degradation performance, achieving complete removal of PNP within 30 min under room temperature reaction conditions. Notably, kinetic analysis reveals a degradation mechanism involving adsorption and Fenton-like catalysis. The high specific surface area provides abundant active sites for PNP adsorption, while the enhanced Fe2+ dissolution synergistically accelerates the degradation. The adsorption kinetic follows a pseudo-second-order model, and the degradation kinetic conforms to a first-order model, with activation energy analysis further confirming a surface-reaction-controlled process. This work provides a feasible approach and technical reference for designing efficient porous catalysts based on amorphous alloys for advanced treatment of refractory organic wastewater. Full article
(This article belongs to the Section Catalytic Materials)
Show Figures

Graphical abstract

17 pages, 4391 KB  
Article
Fabrication of Highly Conductive Inkjet Printing Silver Nanoparticle Ink via a Synergistic Strategy Combining Centrifugal Classification and Dispersant Optimization
by Guo-Xiang Zhou, Yan Wang, Xing-Ping Zhou, Kuang Zhang, Zhi-Hua Yang, De-Chang Jia and Yu Zhou
Materials 2026, 19(3), 628; https://doi.org/10.3390/ma19030628 - 6 Feb 2026
Viewed by 585
Abstract
Inkjet printing technology shows significant potential for producing high-performance conductive circuits in printed electronics. However, conventional silver nanoparticle (Ag NP) inks often face challenges such as nozzle clogging, poor stability, and low conductivity after low-temperature sintering. While most existing studies focus solely on [...] Read more.
Inkjet printing technology shows significant potential for producing high-performance conductive circuits in printed electronics. However, conventional silver nanoparticle (Ag NP) inks often face challenges such as nozzle clogging, poor stability, and low conductivity after low-temperature sintering. While most existing studies focus solely on dispersant selection or individual process optimization, few have systematically explored the synergistic effects of particle size distribution, dispersion methods, and dispersant dosage. This study proposes a sequential optimization approach involving centrifugal classification to identify an optimal Ag NPs source and size distribution, followed by comparison and optimization of different dispersion methods. Furthermore, the effects of dispersant (a PEO-PPO-PEO triblock copolymer) concentration and application strategy (individual or combined use) on the rheological properties and conductivity of the ink were systematically investigated. The optimized Ag NP ink demonstrated excellent jetting stability with no nozzle clogging, exhibiting a surface tension of 19.60 mN/m and a viscosity of 6.83 mPa·s. After low-temperature sintering at 260 °C on glass or polyimide (PI) substrates, the printed patterns achieved a high electrical conductivity of 1.506 × 107 S/m. Printing on polyethylene terephthalate (PET) at 150 °C confirmed compatibility with heat-sensitive flexible substrates. This work offers a comprehensive and practical strategy for developing highly reliable and conductive Ag NP inks, facilitating their application in next-generation printed electronics. Full article
(This article belongs to the Topic 3D Printing Materials: An Option for Sustainability)
Show Figures

Figure 1

15 pages, 4969 KB  
Article
Mechanical Response and Functional Performance of Heat-Treated LPBF NiTi Shape Memory Alloys
by Jerzy Ratajski, Błażej Bałasz, Agnieszka Peła, Paweł Krupski, Kamil Bochenk, Michał Tacikowski and Łukasz Major
Materials 2026, 19(3), 627; https://doi.org/10.3390/ma19030627 - 6 Feb 2026
Viewed by 449
Abstract
This study evaluates how solution treatment and aging influence the deformation mechanisms, phase transformations and functional performance of NiTi alloys produced by laser powder bed fusion (LPBF). Tensile tests performed at room temperature (RT) and −20 °C (LT) were combined with Differential Scanning [...] Read more.
This study evaluates how solution treatment and aging influence the deformation mechanisms, phase transformations and functional performance of NiTi alloys produced by laser powder bed fusion (LPBF). Tensile tests performed at room temperature (RT) and −20 °C (LT) were combined with Differential Scanning Calorimetry (DSC), X-ray Diffraction (XRD) and Transmission Electron Microscopy (TEM) analyses to correlate mechanical response with transformation thermodynamics and microstructural evolution. In the as-fabricated (AF) condition, deformation is governed by twinning and martensitic plasticity due to suppressed stress-induced martensite (SIM). Solution treatment (ST) restores reversible SIM at RT and preserves partial recoverability at LT as a result of microstructural homogenization and internal stress relief. Aging at 500 °C (A1h, A20h) promotes Ni4Ti3 precipitation, increasing transformation temperatures and stabilizing martensite, which leads to entirely irreversible deformation at both temperatures. These findings establish a clear functional continuum—ranging from recoverable (ST) to dissipative (AF) and fully irreversible (A20h) behavior—and provide a mechanistic framework for tailoring LPBF NiTi components for actuators, energy-storage and energy-dissipation applications. Full article
Show Figures

Figure 1

18 pages, 1756 KB  
Article
Controllable Preparation and Filtration Performance of New Composite Materials for Mining Masks
by Xin Zhang, Chenyu Zhang, Tianyu Zhou, Zeyu Sun, Yong Jin, Lihua Mi and Saisai Wu
Materials 2026, 19(3), 626; https://doi.org/10.3390/ma19030626 - 6 Feb 2026
Cited by 1 | Viewed by 451
Abstract
The effective isolation of high-concentration dust during mining and transportation processes is a hot issue of occupational health concern for workers. Based on the characteristics of graphene and its derivatives, a new type of mining mask made of graphene oxide polypropylene composite material [...] Read more.
The effective isolation of high-concentration dust during mining and transportation processes is a hot issue of occupational health concern for workers. Based on the characteristics of graphene and its derivatives, a new type of mining mask made of graphene oxide polypropylene composite material (GO polypropylene composite material) and reduced graphene oxide polypropylene composite material (rGO polypropylene composite material) was prepared using the direct impregnation method. Moreover, particle filtration performance tests were conducted under different gas flow conditions. The results showed that, at the same concentration, the reduction group (rGO polypropylene composite material) had more compliance indicators, and the comprehensive performance ranking was as follows: reduction group (rGO polypropylene composite material) > oxidation group (GO polypropylene composite material) > control group (polypropylene composite material). The reduction group with a concentration of 0.3 g/L showed the best overall performance. At a flow rate of 1.0 m3/h, the filtration efficiency of PM10 (95.61%) and PM2.5 (95.01%) met the relevant standards, while PM1.0 (94.88%) was close to the standard threshold (with a difference of only −0.12%), significantly better than the control (PM10, 93.39%) and the oxidation (PM10, 95.01%) groups. Moreover, at various flow rates, its particulate matter concentration was significantly lower than that for the oxidation and control groups. Overall, it meets the requirements of providing ideal filtration effects under different work intensities (low, medium, and high flow rates), thus providing strong technical support for individual protection of mine workers and a theoretical basis and practical guidance for reducing occupational diseases caused by dust exposure in mines. Full article
Show Figures

Figure 1

21 pages, 3982 KB  
Article
Advanced Silica Gel/Sulfonated Polymer Composites for Electric Vehicle Thermal Management by Sorption Technology
by Davide Palamara, Mengistu Gelaw, Emanuela Mastronardo, Andrea Frazzica, Candida Milone and Luigi Calabrese
Materials 2026, 19(3), 625; https://doi.org/10.3390/ma19030625 - 6 Feb 2026
Viewed by 537
Abstract
This study explores novel silica gel/sulfonated polymer composite coatings for enhanced thermal management in electric vehicles via sorption technology. Leveraging the cost-effectiveness of silica gel as a filler and a readily available, water vapor-permeable sulfonated polymer as the matrix, we developed and characterized [...] Read more.
This study explores novel silica gel/sulfonated polymer composite coatings for enhanced thermal management in electric vehicles via sorption technology. Leveraging the cost-effectiveness of silica gel as a filler and a readily available, water vapor-permeable sulfonated polymer as the matrix, we developed and characterized these materials. Mechanical assessments revealed varied performance: coatings with lower silica gel content (80 and 85 wt%) demonstrated suitable scratch resistance (damage width ~1100 µm at 1300 g load) and superior impact resistance (damage diameter ~2.4 mm). Pull-off adhesion strengths for these batches were 1.26 MPa and 1.36 MPa, respectively, though higher filler loading (90 and 95 wt%) led to a ~30% reduction and a shift to cohesive failure for high-filler-content batches. Thermogravimetric analysis confirmed thermal stability up to 280 °C. Adsorption studies revealed that the composite coating with 95 wt% of silica gel achieved the highest water uptake (just under 30 wt%), with all batches exhibiting capacities comparable to commercial adsorbents. This comprehensive characterization confirms that these composites offer a compelling balance of mechanical robustness, reliable adhesion, and high adsorption efficiency, positioning them as promising, cost-effective solutions for EV thermal management. Full article
Show Figures

Graphical abstract

17 pages, 5666 KB  
Article
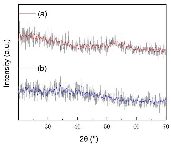
Raman Spectroscopy and X-Ray Diffraction Investigations of Phase Composition of Tiglit Meteorite
by Anna Karczemska, Mariusz Dudek, Bartłomiej Januszewicz, Tomasz Jakubowski and Stanisław Mitura
Materials 2026, 19(3), 624; https://doi.org/10.3390/ma19030624 - 6 Feb 2026
Viewed by 804
Abstract
Tiglit is an aubrite meteorite which fell in 2021 in Morocco. Fragments of the Tiglit meteorite, recovered shortly after its fall, were analyzed for phase and chemical composition using scanning electron microscopy with energy-dispersive X-ray spectroscopy, Raman spectroscopy, and X-ray diffraction. These studies [...] Read more.
Tiglit is an aubrite meteorite which fell in 2021 in Morocco. Fragments of the Tiglit meteorite, recovered shortly after its fall, were analyzed for phase and chemical composition using scanning electron microscopy with energy-dispersive X-ray spectroscopy, Raman spectroscopy, and X-ray diffraction. These studies confirmed the presence of pyroxene (enstatite), olivine, plagioclase, sulfides, carbon phases (seldom reported in aubrites), and iron oxides. Unexpectedly, calcite and polymorphic SiO2 phases were also detected. The formation of calcite is related to the terrestrial alteration of oldhamite—a sulfide present in aubrites—after the fall. Full article
(This article belongs to the Section Advanced Materials Characterization)
Show Figures

Figure 1

18 pages, 3948 KB  
Article
A Multiscale Modeling Approach for the Prediction of the Mechanical Properties of C/SiC Composites Fabricated by the CVI Process
by Taegeon Kil, Yongyoon Cho, Jin-Ho Bae, Ji Eun Lee, Jong Sung Won, Man Young Lee and Hyung Ik Lee
Materials 2026, 19(3), 623; https://doi.org/10.3390/ma19030623 - 6 Feb 2026
Cited by 1 | Viewed by 555
Abstract
A multiscale modeling approach is proposed to investigate the mechanical properties of carbon fiber/silicon carbide (C/SiC) composites fabricated by chemical vapor infiltration (CVI) process. First, reactive molecular dynamics simulations are conducted to estimate the mechanical properties of the SiC matrix fabricated via CVI. [...] Read more.
A multiscale modeling approach is proposed to investigate the mechanical properties of carbon fiber/silicon carbide (C/SiC) composites fabricated by chemical vapor infiltration (CVI) process. First, reactive molecular dynamics simulations are conducted to estimate the mechanical properties of the SiC matrix fabricated via CVI. Subsequently, a two-level micromechanics-based homogenization is developed to account for the effects of various constituents (e.g., porosity and carbon fiber) on the mechanical properties of the C/SiC composites. A series of numerical parametric studies is performed to examine the influence of the model parameters on the mechanical properties of the C/SiC composites. In addition, experimental investigations, including tensile tests and scanning electron microscopy, are conducted to validate the proposed modeling approach. The results indicate that the proposed modeling approach provides predictions that are in good agreement with the experimental results, thereby demonstrating the effectiveness of the proposed modeling scheme. Full article
(This article belongs to the Section Advanced and Functional Ceramics and Glasses)
Show Figures

Figure 1

9 pages, 1428 KB  
Communication
Nitrogen Enables Superior Strength–Ductility Synergy in Ultra-Low Carbon Steel via Copious Interphase Precipitation and Grain Refinement
by Qing Zhu, Rui Cao, Shuai Xu, Junheng Gao, Haitao Zhao, Qingxiao Feng, Hualong Li, Yixin Shi, Honghui Wu, Chaolei Zhang, Yuhe Huang, Jun Lu, Shuize Wang and Xinping Mao
Materials 2026, 19(3), 622; https://doi.org/10.3390/ma19030622 - 6 Feb 2026
Viewed by 504
Abstract
The increasing use of electric arc furnace (EAF) in steelmaking inevitably elevates nitrogen (N) levels, which are traditionally regarded as a detrimental element to the formability of ultra-low carbon (ULC) steels due to the formation of Lüders band. Here, we demonstrate that N [...] Read more.
The increasing use of electric arc furnace (EAF) in steelmaking inevitably elevates nitrogen (N) levels, which are traditionally regarded as a detrimental element to the formability of ultra-low carbon (ULC) steels due to the formation of Lüders band. Here, we demonstrate that N could act as a beneficial microalloying element in strip casting ULC steels by promoting V(C, N) precipitation and grain refinement of ferrite. Thermodynamic calculations reveal that N significantly increases both the equilibrium volume fraction and equilibrium precipitation temperature of V(C, N), enabling copious interphase nanoprecipitation during ferrite transformation. Microstructural characterization confirms the enhanced formation of V(C, N) within interphase rows in the N-containing steels, leading to greater Zener pinning effect and smaller ferrite grain size (from 7.50 μm of 0N to 4.67 μm of 96 ppm N and 3.84 μm of 139 ppm N). As a result, owing to the enhanced nanoprecipitation and grain refinement, the N-containing ULC strip casting steels exhibit a superior strength–ductility synergy, with tensile strength increased from 666 MPa (0N) to 805 MPa (96 ppm N) and 825 MPa (139 ppm N), and a slight decrease in total elongation from 29.8% (0N) to 27.3% (96 ppm N) and 22.0% (139 ppm N). In addition, no Lüders plateau was observed in the tensile stress-strain curves as the extensive formation of V(C, N) consumed the N atoms in solid solution. These findings highlight that microalloying V in the steels produced by EAF can effectively leverage the high N content for achieving superior strength–ductility synergy. Full article
(This article belongs to the Special Issue Fundamental Metallurgy: From Impact Solutions to New Insight)
Show Figures

Figure 1

14 pages, 6257 KB  
Article
Optimizing SPS-Processed Pure Tantalum: Effects of Temperature, Pressure, and Time
by Hui Huang, Chen Gong, Shihai Miao, Jiaqi Zhang, Yu Zhang, Xia Liu, Ying Li, Yibo Wei and Yafei Pan
Materials 2026, 19(3), 621; https://doi.org/10.3390/ma19030621 - 5 Feb 2026
Viewed by 438
Abstract
Pure tantalum (Ta) is widely used in applications such as capacitors and semiconductor coatings due to its high melting point, excellent corrosion resistance, and good biocompatibility. In this study, spark plasma sintering (SPS) technology has been employed to successfully prepare high-density, fine-grained pure [...] Read more.
Pure tantalum (Ta) is widely used in applications such as capacitors and semiconductor coatings due to its high melting point, excellent corrosion resistance, and good biocompatibility. In this study, spark plasma sintering (SPS) technology has been employed to successfully prepare high-density, fine-grained pure Ta through systematic optimization of sintering temperature, pressure, and holding time. The results indicate that sintering temperature plays a predominant role on the densification behavior. Increasing the sintering pressure and prolonging the holding time also contribute to further enhancing the densification. Under the process conditions of 1450 °C, 40 MPa, and a holding time of 10 min, the relative density of the sample reaches 98.7%. Microstructural analysis reveals that the sintering process of pure Ta can be divided into two main stages: densification-dominated and grain growth-dominated. When the relative density exceeds a threshold value (approximately 96% in this study), the grain size increases rapidly from 4.43 μm to 28.87 μm. This grain coarsening leads to a transition in the fracture mechanism from a mixed mode of intergranular and cleavage fractures to completely intergranular fracture, which significantly reduces the bending strength and plastic deformation capacity of the material. Full article
Show Figures

Figure 1

15 pages, 3863 KB  
Article
Simplification of Low-Cycle Creep–Fatigue Load Spectrum of Combustion Chamber and Life Assessment for Feature Simulation Specimens
by Dingnan Cheng, Honghua Zhao, Qiang Zhang, Minmin Chen, Hao Zhao and Cheng Hou
Materials 2026, 19(3), 620; https://doi.org/10.3390/ma19030620 - 5 Feb 2026
Cited by 1 | Viewed by 406
Abstract
Based on the damage equivalence principle, simplification of the low-cycle creep–fatigue original load spectrum of a combustion chamber under multi-stage flight conditions, such as low speed, takeoff, climb, and cruise states, and experimental verification were carried out in this study. The low-cycle creep–fatigue [...] Read more.
Based on the damage equivalence principle, simplification of the low-cycle creep–fatigue original load spectrum of a combustion chamber under multi-stage flight conditions, such as low speed, takeoff, climb, and cruise states, and experimental verification were carried out in this study. The low-cycle creep–fatigue life of the combustion chamber feature simulation specimens was predicted. The results showed that compared with the original load spectrum, the simplified load spectrum had an average life error of 6.13% in the low-cycle creep–fatigue tests of flat-plate specimens with a single hole. The simplified load spectrum test results and the original load spectrum test results were both within the double dispersion band of their average values. The low-cycle creep–fatigue test results of the flat specimens with single or multiple holes were both within the double dispersion band of the predicted results, while the test results of circular tube specimens with multiple holes were basically within the fourfold dispersion band of the predicted results. In addition, after passing cooling gas inside the circular tube test specimens with multiple holes, the temperature near the gas film holes was reduced, thereby improving their low-cycle creep–fatigue test life. Full article
Show Figures

Figure 1

11 pages, 1129 KB  
Communication
Geometric and Compressive Characteristics of the Additive-Manufactured Rhombicuboctahedron Structure and Its Application
by Jaerin Kim, Donghyeon Kim, Jeongin Lee and Seong Je Park
Materials 2026, 19(3), 619; https://doi.org/10.3390/ma19030619 - 5 Feb 2026
Viewed by 477
Abstract
In this study, the geometric and compressive characteristics of a rhombicuboctahedron architecture fabricated by material extrusion were investigated. The compressive results showed that increasing the number of unit cells led to the specific compressive strength remaining nearly constant. In contrast, as the strut [...] Read more.
In this study, the geometric and compressive characteristics of a rhombicuboctahedron architecture fabricated by material extrusion were investigated. The compressive results showed that increasing the number of unit cells led to the specific compressive strength remaining nearly constant. In contrast, as the strut thickness increased, the structures exhibited higher compressive strength, specific compressive strength, and elastic modulus. In particular, the thickest configuration exhibited no premature fracture or abrupt stress drop, instead demonstrating a progressive densification behavior with continuously increasing stress. Furthermore, a pallet prototype was fabricated to demonstrate practical feasibility. The non-cubic, recessed geometry of the rhombicuboctahedron units enabled geometric interlocking between stacked pallets, increasing surface-induced friction and contributing to enhanced stacking stability and anti-slip performance. These results demonstrate the potential of rhombicuboctahedron architectures as lightweight, scalable, and mechanically reliable structural elements for compression-dominated applications enabled by additive manufacturing. Full article
(This article belongs to the Section Manufacturing Processes and Systems)
Show Figures

Figure 1

18 pages, 15522 KB  
Article
Fabrication of Copper Nanowires Highly Conductive and Flexible Circuits by Direct Ink Writing
by Hui Guo, Haoting Huang, Shijian Shi, Qinghua Sun, Jinping Sun, Kang Liu, Qiang Zhu and Peng Zhang
Materials 2026, 19(3), 618; https://doi.org/10.3390/ma19030618 - 5 Feb 2026
Viewed by 630
Abstract
Direct ink writing (DIW) has emerged as a promising method for fabricating flexible electronics. Copper nanowires are a key material for the conductive inks required for this technology. However, copper nanowires suffer from significant challenges, including low aspect ratios, poor oxidation resistance, and [...] Read more.
Direct ink writing (DIW) has emerged as a promising method for fabricating flexible electronics. Copper nanowires are a key material for the conductive inks required for this technology. However, copper nanowires suffer from significant challenges, including low aspect ratios, poor oxidation resistance, and difficulty in printing. In this study, a liquid-phase reduction method was used to synthesize copper nanowires with a high aspect ratio (up to 2884) and excellent oxidation resistance. The conductive ink was prepared using ethylene glycol, isopropanolamine (MIPA), and ethanol as solvents. Rheological dynamics simulations were used to investigate the influence of printing parameters on ink printing accuracy, ultimately achieving precise control of the printing process. High-precision copper nanowire flexible circuits with a low resistivity of 2.11 μΩ·cm were fabricated under thermal sintering conditions using the DIW method. These circuits exhibited excellent adhesion, flexural behavior, and water resistance, demonstrating significant practical significance for the low-cost fabrication of high-precision flexible electronic devices. Full article
Show Figures

Graphical abstract

20 pages, 4766 KB  
Article
Hydration Mechanism and Microstructure Evolution of Seawater-Based Low-Alkalinity Activated Phosphogypsum Cement
by Weisen Liu, Yanlin Zhen, Yuan Feng, Zhongyu Lu and Jianhe Xie
Materials 2026, 19(3), 617; https://doi.org/10.3390/ma19030617 - 5 Feb 2026
Cited by 1 | Viewed by 521
Abstract
This article proposes a novel preparation method for seawater-based low-alkalinity activated phosphogypsum (PG) cement, aimed at enhancing the performance of multi-waste binder systems using the highly ionic environment of seawater while addressing the cost and alkalinity issues associated with traditional high-alkalinity activators. The [...] Read more.
This article proposes a novel preparation method for seawater-based low-alkalinity activated phosphogypsum (PG) cement, aimed at enhancing the performance of multi-waste binder systems using the highly ionic environment of seawater while addressing the cost and alkalinity issues associated with traditional high-alkalinity activators. The effects of partial replacement of ground granulated blast furnace slag (GGBS) with PG (0–15%) and fly ash (FA, 20–50%) on the setting time, rheological properties, microstructure, and compressive strength of seawater-based slurries were investigated. Compared to the control group (pure slag), the samples with a synergistic ratio of 5% PG and 35% FA had a mean compressive strength exceeding 60 MPa at 28 days, comparable to that of the control group, with a significant improvement in flowability. The results demonstrate that the proposed preparation method alters the hydration kinetics of alkali-activated GGBS cement and significantly improves the early and later compressive strength of hydrated samples. In the early hydration phase, seawater ions effectively promoted the rapid nucleation and growth of ettringite (AFt) crystals. The low-alkalinity composite activator induced the formation of a substantial amount of C-(A)-S-H gel. In the later stages of hydration, needle-like AFt crystals intertwined with the gel matrix, further densifying the microstructure. The enhancement of the polymer’s performance is primarily attributable to the key “synergistic enhancement effect” between seawater ions and the low-alkalinity environment. This interaction optimizes the formation pathways of key hydration products and refines the pore structure, providing a solid theoretical foundation for the low-carbon, high-efficiency utilization of PG in marine engineering materials. Full article
(This article belongs to the Special Issue Towards Sustainable Low-Carbon Concrete—Second Edition)
Show Figures

Graphical abstract

27 pages, 11421 KB  
Article
An Improved Multi-Objective Grey Wolf Optimizer for Bi-Objective Parameter Optimization in Single Point Incremental Forming of Al1060 Sheet
by Xiaojing Zhu, Xinyue Zhang, Jianhai Jiang, Xiaotao Wu, Shenglong Liao, Jianfang Huang and Yuhuai Wang
Materials 2026, 19(3), 616; https://doi.org/10.3390/ma19030616 - 5 Feb 2026
Viewed by 584
Abstract
To address the issues of excessive sheet metal thinning and geometric deviation in single point incremental forming (SPIF), this paper proposed a bi-objective process parameter optimization framework for Al1060 sheet based on a multilayer perceptron (MLP) surrogate model and an improved multi-objective grey [...] Read more.
To address the issues of excessive sheet metal thinning and geometric deviation in single point incremental forming (SPIF), this paper proposed a bi-objective process parameter optimization framework for Al1060 sheet based on a multilayer perceptron (MLP) surrogate model and an improved multi-objective grey wolf optimization (IMOGWO) algorithm. Finite element simulations based on ABAQUS were conducted to generate a dataset considering variations in tool radius, initial sheet thickness, tool path strategy, step depth and forming angle. The trained MLP was used as the objective function in the optimization process to enable the rapid prediction of forming quality. The IMOGWO algorithm, enhanced by the Spm chaotic mapping initialization, an improved convergence coefficient updating mechanism and associative learning mechanism, was then employed to efficiently search for Pareto optimal solutions. For a truncated conical component case, optimal parameter sets were selected from the Pareto front via the entropy-weighted TOPSIS method for order preference by similarity to an ideal solution. Experimental verification showed close agreement with the simulated results, with relative errors of only 0.58% for the thinning rate and 3.10% for the geometric deviation. This validation demonstrates the feasibility and potential of the proposed method and its practical potential for improving the quality of SPIF forming. Full article
(This article belongs to the Special Issue Latest Developments in Advanced Machining Technologies for Materials)
Show Figures

Graphical abstract

16 pages, 5467 KB  
Article
Enhancing the Mechanical Performance of Laser Powder Bed Fusion Prepared 316L Stainless Steel by Deformation Post-Processing at Ambient Temperature
by Radim Kocich and Lenka Kunčická
Materials 2026, 19(3), 615; https://doi.org/10.3390/ma19030615 - 5 Feb 2026
Viewed by 563
Abstract
Preparation of metallic materials via laser powder bed fusion has gained high popularity primarily due to the versatility of the processed materials and the complexity of the available component geometries. However, the prepared components feature characteristic shortcomings. Among the ways to successfully reduce/eliminate [...] Read more.
Preparation of metallic materials via laser powder bed fusion has gained high popularity primarily due to the versatility of the processed materials and the complexity of the available component geometries. However, the prepared components feature characteristic shortcomings. Among the ways to successfully reduce/eliminate printing issues and homogenize the properties within additively prepared materials is optimized post-processing. In this study, we present the positive effects of deformation post-processing at ambient (room) temperature on the microstructure and mechanical properties of AISI 316L stainless steel prepared by laser powder bed fusion. The post-processing was performed by the industrially applicable method of rotary swaging, for which varying swaging degrees were applied. The selected swaging degree influenced primarily the interactions between the dynamic strengthening and softening processes and consequently the strength/plasticity ratio, although all the applied swaging degrees successfully eliminated the residual porosity and imparted (sub)structure development and grain refinement. The ultimate tensile strength (UTS) for the original workpiece was 282 MPa, and it increased up to more than 1400 MPa after the final swaging while maintaining favorable plasticity (elongation to failure over 30%). The study thus proposes a way to successfully enhance the performance of additively manufactured AISI 316L steel with the use of a commercially applicable plastic deformation technology. Full article
(This article belongs to the Special Issue Fundamental Metallurgy: From Impact Solutions to New Insight)
Show Figures

Figure 1

23 pages, 37916 KB  
Article
Aging Failure Mechanism of Transformer Bushing Sealing Rings Under Multi-Factor Effect
by Wei Liang, Huijie Li, Zengchao Wang, Yuan La, Yao Yuan, Fanghui Yin and Liming Wang
Materials 2026, 19(3), 614; https://doi.org/10.3390/ma19030614 - 5 Feb 2026
Viewed by 508
Abstract
The aging and failure of transformer bushing seals under multi-factor effects are significant causes of oil leakage incidents. However, their failure mechanisms under combined environmental stressors remain inadequately understood. This study presents a comprehensive investigation into the aging behavior and failure mechanisms of [...] Read more.
The aging and failure of transformer bushing seals under multi-factor effects are significant causes of oil leakage incidents. However, their failure mechanisms under combined environmental stressors remain inadequately understood. This study presents a comprehensive investigation into the aging behavior and failure mechanisms of nitrile rubber (NBR) and fluoroelastomer (FKM) sealing materials subjected to single and multi-factor aging conditions, including thermo-oxidative, hygrothermal, hygrothermal–compression, and hygrothermal–compression–salt environments. NBR undergoes severe degradation under multi-factors, dominated by additive loss and molecular chain crosslinking. At high temperatures, large-scale molecular chain scission occurs, along with increased compression set, microscopic morphological damage, and filler precipitation. In contrast, FKM exhibits excellent stability thanks to its C-F main chain. Stress synergy significantly accelerates the failure of both materials. These findings highlight the need for multivariate analysis to support reliable condition assessment and lifetime prediction and to inform sealing material selection and proactive grid maintenance. Full article
Show Figures

Figure 1

Previous Issue
Back to TopTop