Failure Behavior and Mechanism of Solder Joint Under Thermal Mechanical Coupling Loads
Abstract
1. Introduction
2. Finite Element Simulation
2.1. Geometric Modeling
2.2. Material Properties
2.3. Thermal Simulation
2.4. Experimental Methods
3. Results and Discussion
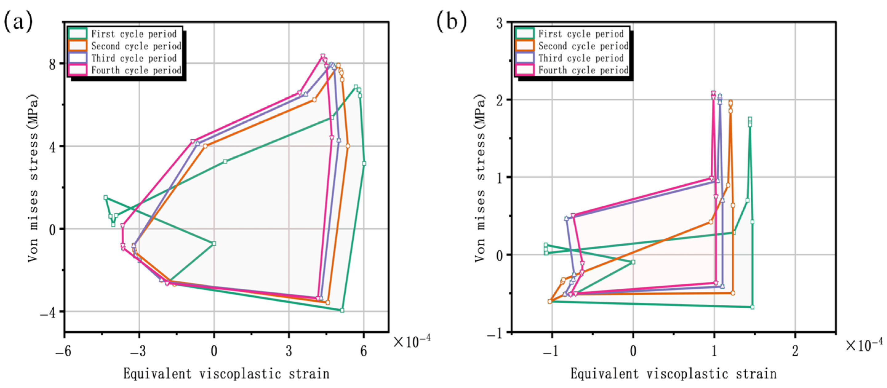
3.1. Macroscopic Response Characteristics of Solder Joint Thermal Fatigue Behavior
3.2. Hazard Identification and Fatigue Damage Mechanism Analysis
3.3. Fatigue Life Prediction and Discussion
3.4. Sensitivity Analysis
4. Conclusions
Author Contributions
Funding
Institutional Review Board Statement
Informed Consent Statement
Data Availability Statement
Conflicts of Interest
References
- Weiss, E. Revealing hidden defects in electronic components with an ai-based inspection method: A corrosion case study. IEEE Trans. Compon. Packag. Manuf. Technol. 2023, 13, 1078–1080. [Google Scholar] [CrossRef]
- Weiss, E.; Caplan, S.; Horn, K.; Sharabi, M. Real-time defect detection in electronic components during assembly through deep learning. Electronics 2024, 13, 1551. [Google Scholar] [CrossRef]
- Zhang, H.; He, R.; Liu, H.; Niu, Y.; Xu, F. A fully integrated wearable electronic device with breathable and washable properties for long-term health monitoring. Sens. Actuators A Phys. 2021, 322, 112611. [Google Scholar] [CrossRef]
- Li, L.; Du, X.; Chen, J.; Wu, Y. Thermal fatigue failure of micro-solder joints in electronic packaging devices: A review. Materials 2024, 17, 15. [Google Scholar] [CrossRef] [PubMed]
- Mohamed, K.S. The next wave of moore’s law. In Next Generation EDA Flow; Springer: Cham, Switzerland, 2025; pp. 1–30. [Google Scholar]
- Robison, R.A. Moore’s law: Predictor and driver of the silicon era. World Neurosurg. 2012, 78, 399–403. [Google Scholar] [CrossRef]
- Li, T.; Hou, J.; Yan, J.; Liu, R.; Yang, H.; Sun, Z. Chiplet heterogeneous integration technology—Status and challenges. Electronics 2020, 9, 670. [Google Scholar] [CrossRef]
- Poupon, G.; Sillon, N.; Henry, D.; Gillot, C.; Mathewson, A.; Di Cioccio, L.; Charlet, B.; Leduc, P.; Vinet, M.; Batude, P. System on wafer: A new silicon concept in sip. Proc. IEEE 2009, 97, 60–69. [Google Scholar] [CrossRef]
- Tee, T.Y.; Luan, J.E.; Pek, E.; Lim, C.T.; Zhong, Z. Advanced experimental and simulation techniques for analysis of dynamic responses during drop impact. In Proceedings of the 54th Electronic Components and Technology Conference, Las Vegas, NV, USA, 4 June 2004; Volume 1, pp. 1088–1094. [Google Scholar]
- Lafontaine, M.D.; Bidaud, T.; Gay, G.; Pargon, E.; Petit-Etienne, C.; Turala, A.; Stricher, R.; Ecoffey, S.; Volatier, M.; Jaouad, A. 3D interconnects for III-V semiconductor heterostructures for miniaturized power devices. Cell Rep. Phys. Sci. 2023, 4, 101701. [Google Scholar] [CrossRef]
- Li, W.Y.; Chen, F.; Gui, J.; He, S.L.; Qin, H.B.; Huang, J.Q. Enhanced size effects on shear performance and fracture behavior of BGA structure micro-scale Cu/Sn–3.0Ag–0.5Cu/Cu joints at low temperatures. Microelectron. Reliab. 2023, 150, 115093. [Google Scholar] [CrossRef]
- Qiu, B.; Xiong, J.; Wang, H.; Zhou, S.; Yang, X.; Lin, Z.; Liu, M.; Cai, N. Survey on fatigue life prediction of BGA solder joints. Electronics 2022, 11, 542. [Google Scholar] [CrossRef]
- Voet, V.; Fruytier, C.D.; Pardoen, T.; Simar, A. Solder joint geometry effects on thermomechanical fatigue lifetime of end-capped chip component assemblies. IEEE Trans. Compon. Packag. Manuf. Technol. 2024, 14, 130–139. [Google Scholar] [CrossRef]
- Xie, X.; Lin, P.; Lian, B.; Xu, S.; Wang, Y.; Shi, S.; Fu, L.; Zhao, X. Microstructure and mechanical properties of in-doped low-temperature SnPb solders. Materials 2025, 18, 886. [Google Scholar] [CrossRef] [PubMed]
- Guo, Q.; Zhao, M.; Wang, H.F. SMT solder joint’s semi-experimental fatigue model. Mech. Res. Commun. 2005, 32, 351–358. [Google Scholar] [CrossRef]
- Xian, J.W.; Xu, Y.L.; Stoyanov, S.; Coyle, R.J.; Dunne, F.P.E.; Gourlay, C.M. The role of microstructure in the thermal fatigue of solder joints. Nat. Commun. 2023, 15, 4258. [Google Scholar] [CrossRef]
- Prasad, S.P.; Jois, C.; Singh, Y.; Subbarayan, G.; Penmecha, B.; Raghavan, P. Void growth and intermetallic bridging in microscale solder interconnects under thermal annealing. IEEE Trans. Compon. Packag. Manuf. Technol. 2024, 14, 1308–1318. [Google Scholar] [CrossRef]
- Xu, Y.; Xian, J.; Stoyanov, S.; Bailey, C.; Coyle, R.J.; Gourlay, C.M.; Dunne, F.P.E. A multi-scale approach to microstructure-sensitive thermal fatigue in solder joints. Int. J. Plast. 2022, 155, 103308. [Google Scholar]
- Su, Q.; Chiang, K.N. Multi-algorithm ensemble learning framework for predicting the solder joint reliability of wafer-level packaging. Materials 2025, 18, 4074. [Google Scholar]
- Ramesh, K.N.; Sharma, T.K.; Rao, G.A.P. Latest advancements in heat transfer enhancement in the micro-channel heat sinks: A review. Arch. Comput. Methods Eng. 2021, 28, 3135–3165. [Google Scholar]
- Salvi, S.S.; Jain, A. A review of recent research on heat transfer in three-dimensional integrated circuits (3-D ICs). IEEE Trans. Compon. Packag. Manuf. Technol. 2021, 11, 802–821. [Google Scholar]
- Shen, Z.; Jing, S.; Heng, Y.; Yao, Y.; Tu, K.N.; Liu, Y. Electromigration in three-dimensional integrated circuits. Appl. Phys. Rev. 2023, 10, 021309. [Google Scholar] [CrossRef]
- Li, Y.H.; Shen, F.; Güler, M.A.; Ke, L.L. An efficient method for electro-thermo-mechanical coupling effect in electrical contact on rough surfaces. Int. J. Heat Mass Transfer. 2024, 226, 125492. [Google Scholar] [CrossRef]
- Gong, T.; Hou, G.; Wu, Y.; Li, L.; Wang, Y.; Shi, M.; Kang, L.; Zhou, J.; Cao, L.; Gao, L. Co-optimization of electrical-thermal-mechanical behaviors of an on-chip thermoelectric cooling system using response surface method. Appl. Therm. Eng. 2024, 244, 122699. [Google Scholar] [CrossRef]
- Gan, H.; Choi, W.; Xu, G.; Tu, K.-N. Electromigration in solder joints and solder lines. JOM 2002, 54, 34–37. [Google Scholar] [CrossRef]
- Zhang, Z.; Ma, K.; Liang, K.; Dong, F.; Qian, Z.; Liu, S. Numerical investigation on Sn-rich solder joints failure mode: Effects of the thermomechanical anisotropic performance. Eng. Fail. Anal. 2023, 143, 106824. [Google Scholar] [CrossRef]
- Zhang, B.; Jabarullah, N.H.; Alkaim, A.F.; Danshina, S.; Krasnopevtseva, I.V.; Zheng, Y.; Geetha, N. Thermomechanical fatigue lifetime evaluation of solder joints in power semiconductors using a novel energy based modeling. Solder. Surf. Mt. Technol. 2021, 33, 187–194. [Google Scholar] [CrossRef]
- Kong, L.; Yao, Q.; Lv, X.; Zhao, W. Submodelling method for modelling and simulation of high-density electronic assemblies. J. Phys. Conf. Ser. 2020, 1633, 012054. [Google Scholar] [CrossRef]
- Xu, Y.; Xian, J.; Coyle, R.J.; Gourlay, C.M.; Dunne, F.P. Mechanistic understanding of microstructural effects on the thermal fatigue resistance of solder joints. J. Mech. Phys. Solids 2024, 187, 105623. [Google Scholar] [CrossRef]
- Jiang, N.; Zhang, L.; Liu, Z.Q.; Sun, L.; Long, W.M.; He, P.; Xiong, M.Y.; Zhao, M. Reliability issues of lead-free solder joints in electronic devices. Sci. Technol. Adv. Mater. 2019, 20, 876–901. [Google Scholar] [CrossRef]
- Depiver, J.A.; Mallik, S.; Harmanto, D. Solder joint failures under thermo-mechanical loading conditions—A review. Adv. Mater. Process. Technol. 2021, 7, 1–26. [Google Scholar] [CrossRef]
- Lee, H.S.; Yun, G.; Song, J.H.; Kim, D.N. Two-step sub-modeling framework for thermomechanical fatigue analysis of solder joints in DRAM module. Microelectron. Reliab. 2024, 160, 115469. [Google Scholar] [CrossRef]
- Yang, H.; Xu, Z. Thermal fatigue life prediction of Ag-2.5Sn solder joint in flip chip. J. Adhes. Sci. Technol. 2024, 38, 3525–3540. [Google Scholar] [CrossRef]
- Abueed, M.; Athamneh, R.A.; Tanash, M.; Hamasha, S. The reliability of SAC305 individual solder joints during creep–fatigue conditions at room temperature. Crystals 2022, 12, 1306. [Google Scholar] [CrossRef]
- Wang, H.; Ma, J.; Gong, M.; Su, P. Structural optimization of thermal stresses in BGA solder joints based on improved BP neural network-genetic algorithm. Eur. Phys. J. Plus 2023, 138, 712. [Google Scholar] [CrossRef]
- Le, V.N.; Benabou, L.; Etgens, V.; Tao, Q.B. Finite element analysis of the effect of process-induced voids on the fatigue lifetime of a lead-free solder joint under thermal cycling. Microelectron. Reliab. 2016, 65, 243–254. [Google Scholar] [CrossRef]
- Anand, L. Constitutive Equations for the Rate-Dependent Deformation of Metals at Elevated Temperatures. J. Eng. Mater. Technol. 1982, 104, 12–17. [Google Scholar] [CrossRef]
- Brown, S.B.; Kim, K.H.; Anand, L. An internal variable constitutive model for hot working of metals. Int. J. Plast. 1989, 5, 95–130. [Google Scholar] [CrossRef]
- Cheng, H.C.; Syu, J.Y.; Wang, H.H.; Liu, Y.C.; Kao, K.S.; Chang, T.C. Power cycling modeling and lifetime evaluation of SiC power MOSFET module using a modified physical lifetime model. IEEE Trans. Device Mater. Reliab. 2024, 24, 142–153. [Google Scholar] [CrossRef]
- Zhou, L.; Meng, F.K.; Chen, H.W.; Sun, Y.T. Analysis on influence of solder layers on mechanical properties of a thermoelectric module. Eng. Mech. 2025, 42, 243–251. [Google Scholar]
- Su, S.; Akkara, F.J.; Thaper, R.; Alkhazali, A.; Hamasha, M.; Hamasha, S. A state-of-the-art review of fatigue life prediction models for solder joint. J. Electron. Packag. 2019, 141, 040802. [Google Scholar] [CrossRef]
- Depiver, J.; Mallik, S.; Amalu, D.E.H. Thermal fatigue life of ball grid array (BGA) solder joints made from different alloy compositions. Eng. Fail. Anal. 2021, 125, 105447. [Google Scholar] [CrossRef]
- Wang, W.; Chen, Z.; Wang, S.; Long, X. Mechanics-based acceleration for estimating thermal fatigue life of electronic packaging structure. Microelectron. Reliab. 2020, 107, 113616. [Google Scholar] [CrossRef]
- Hu, X.; He, L.; Chen, H.; Lv, Y.; Gao, H.; Liu, J. The effect of electric-thermal-vibration stress coupling on the reliability of Sn-Ag-Cu solder joints. J. Electron. Mater. 2022, 51, 284–294. [Google Scholar] [CrossRef]
- Lederer, M.A.; Betzwar, K.; Khatibi, G. Lifetime modeling of solder joints based on accelerated mechanical testing and finite element analysis. Power Electron. Devices Compon. 2023, 4, 100034. [Google Scholar] [CrossRef]
- Rajaguru, P.; Lu, H.; Bailey, C. Time integration damage model for Sn3.5Ag solder interconnect in Power Electronic Module. IEEE Trans. Device Mater. Reliab. 2019, 1, 140–148. [Google Scholar] [CrossRef]
- Zhou, P.; Hu, B.T.; Zhou, J.M.; Yang, Y. Parameter fitting of constitutive model and FEM analysis of solder joint thermal cycle reliability for lead-free solder Sn-3.5 Ag. J. Cent. South Univ. Technol. 2009, 16, 339–343. [Google Scholar] [CrossRef]
- Wang, G.; Cheng, Z.; Becker, K.; Wilde, J. Applying Anand model to represent the viscoplastic deformation behavior of solder alloys. J. Electron. Packag. 2001, 123, 247–253. [Google Scholar] [CrossRef]
- Lau, J.H. State of the art of lead-free solder joint reliability. J. Electron. Packag. 2021, 143, 020803. [Google Scholar] [CrossRef]
- JESD22-A104F.01; Temperature Cycling. Joint Electron Device Engineering Council (JEDEC): Arlington, VA, USA, 2023.
- Lee, J.; Jeong, H.; Jang, G. Optimization of the boundary conditions of a board level reliability test board to maximize the fatigue life of ball grid array solder joints under thermal cycling and random vibration. Materials 2024, 17, 755. [Google Scholar] [CrossRef]
- Wang, W.; Zhang, R.Q.; Shirzadi, A.A.; Balint, D.S.; Aucott, L.; Aucott, L. Thermal cracking: Clarifying the effects of phases, voids and grains through characterisation and crystal plasticity modelling. J. Mech Phys. Solids 2024, 186, 105600.1–105600.21. [Google Scholar] [CrossRef]
- Jirandehi, A.P.; Khonsari, M.M. On the determination of cyclic plastic strain energy with the provision for microplasticity. Int. J. Fatigue 2020, 142, 105966. [Google Scholar] [CrossRef]
- Tucker, J.P.; Chan, D.K.; Subbarayan, G. Maximum entropy fracture model and its use for predicting cyclic hysteresis in Sn3.8Ag0.7Cu and Sn3.0Ag0.5 solder alloys. Microelectron. Reliab. 2014, 54, 2513–2522. [Google Scholar] [CrossRef]
- Engelmaier, W. Fatigue life of leadless chip carrier solder joints during power cycling. IEEE Trans. Comp. Hybrids. Manufact. Technol. 2003, 6, 232–237. [Google Scholar] [CrossRef]
- Bender, E.; Bernstein, J.B.; Boning, D.S. Modern trends in microelectronics packaging reliability testing. Micromachines 2024, 15, 398. [Google Scholar] [CrossRef]
- Zheng, R.; Li, W.; Cheng, M.; Zheng, H.; Zhao, Z.; Wan, G.; Jia, Y. Cross-scale finite element analysis of PCBA thermal cycling based on manufacturing history for more accurate fatigue life prediction of solder joints. Microelectron. Reliab. 2024, 160, 115473. [Google Scholar] [CrossRef]
- Nebo, S.E.; Amalu, E.H.; Hughes, D.J. Effective number of accelerated thermal cycles (ATCs) for accurate prediction of damage and fatigue life of solder joints in IGBT power module. Microelectron. Reliab. 2025, 171, 115798. [Google Scholar] [CrossRef]
- Tian, W.; Li, F.; He, M.; Ji, H.; Chen, S. Reliability Analysis of Complex PCB Assemblies Under Temperature Cycling and Random Vibration. Micromachines 2025, 16, 212. [Google Scholar] [CrossRef]
- Zhang, Q.K.; Hu, F.Q.; Song, Z.L.; Zhang, Z.F. Viscoplastic creep and microstructure evolution of sn-based lead-free solders at low strain. Mater. Sci. Eng. A 2017, 701, 187–195. [Google Scholar] [CrossRef]









| Structure | Diameter/μm | Spacing/μm | Height/μm | Quantity |
|---|---|---|---|---|
| Solder joint | 40 | 80 | 40 | 384 |
| Central copper pad | 40 × 40 | 80 | 5 | 361 |
| Surrounding copper pads | 40 × 100 | 120 | 5 | 23 |
| Silicon substrate | 600 × 600 | —— | 200 | 1 |
| Parameter | Sn3.5Ag | Definition in Anand’s Model | Physical Significance |
|---|---|---|---|
| A (s−1) | 22,300 | Pre-exponential factor | Scales the overall inelastic strain rate. |
| /R (K) | 8900 | Activation energy | Determines the temperature sensitivity of the deformation process. |
| S0 (MPa) | 39.09 | Initial value deformation resistance | The initial value of the internal state variable representing slip resistance. |
| 6 | Multiplier on stress | Scales the effective stress to drive inelastic strain rate. | |
| 0.182 | Strain rate sensitivity exponent for stress | Controls the strain rate dependence of the flow stress. | |
| 0.018 | Strain rate sensitivity exponent for the saturation stress | Controls the strain rate dependence of the saturation value. | |
| 1.82 | Strain rate sensitivity of hardening/softening | Controls the rate of evolution of deformation resistance. | |
| (MPa) | 73.81 | Saturation coefficient of deformation resistance | Amplitude of steady-state deformation resistance. |
| (MPa) | 3321.15 | Hardening constant | Governs the initial rate of change of deformation resistance. |
| Material Properties | Cu | Si |
|---|---|---|
| Density | 8960 | 2329 |
| Coefficient of thermal expansion | 17 | 2.6 |
| Young’s modulus | 110 | 170 |
| Poisson ratio | 0.35 | 0.28 |
| Thermal conductivity | 400 | 130 |
| Temperature (°C) | Young’s Modulus | Coefficient of Thermal Expansion | Poisson Ratio |
|---|---|---|---|
| −55 | 59.9 | 1.66 | 0.349 |
| −35 | 58.5 | 2.22 | 0.352 |
| −15 | 57.1 | 2.66 | 0.354 |
| 5 | 55.5 | 2.96 | 0.357 |
| 25 | 54 | 3.16 | 0.36 |
| 45 | 52.3 | 3.27 | 0.363 |
| 65 | 50.6 | 3.32 | 0.367 |
| 85 | 48.9 | 3.33 | 0.371 |
| 105 | 47 | 3.32 | 0.374 |
| 125 | 45.1 | 3.31 | 0.378 |
| Cycle Period | Loop Area | Δε | ΔWvp |
|---|---|---|---|
| First | 0.0056 | 0.023 | 0.0056 |
| Second | 0.00593 | 0.00531 | 0.00593 |
| Third | 0.00595 | 0.005 | 0.00595 |
| Fourth | 0.00597 | 0.00513 | 0.00597 |
| Mesh | Transient Life | Steady-State Life | Ratio |
|---|---|---|---|
| Coarse mesh | 617 | 12,408 | 20.11 |
| Reference mesh | 961 | 18,930 | 19.69 |
| Refined mesh | 1014 | 19,622 | 19.35 |
| εf | Transient Life | Steady-State Life | Ratio |
|---|---|---|---|
| 0.26 | 555 | 10,997 | 19.814 |
| 0.325 | 961 | 18,930 | 19.698 |
| 0.39 | 1504 | 29,777 | 19.798 |
| Parameters | Sn3.5Ag | Transient Life | Steady-State Life | Ratio |
|---|---|---|---|---|
| A (s−1) | 18,955 | 969 | 19,491 | 20.11 |
| 22,300 | 961 | 18,930 | 19.69 | |
| 25,645 | 949 | 18,847 | 19.86 | |
| Q/R (K) | 7565 | 716 | 15,142 | 21.15 |
| 8900 | 961 | 18,930 | 19.69 | |
| 10,235 | 1242 | 22,405 | 18.04 |
Disclaimer/Publisher’s Note: The statements, opinions and data contained in all publications are solely those of the individual author(s) and contributor(s) and not of MDPI and/or the editor(s). MDPI and/or the editor(s) disclaim responsibility for any injury to people or property resulting from any ideas, methods, instructions or products referred to in the content. |
© 2026 by the authors. Licensee MDPI, Basel, Switzerland. This article is an open access article distributed under the terms and conditions of the Creative Commons Attribution (CC BY) license.
Share and Cite
Deng, Y.; Chen, S.; Liu, P.; Lu, G.; Yang, X.; Zhao, Y.; Jian, X. Failure Behavior and Mechanism of Solder Joint Under Thermal Mechanical Coupling Loads. Materials 2026, 19, 640. https://doi.org/10.3390/ma19030640
Deng Y, Chen S, Liu P, Lu G, Yang X, Zhao Y, Jian X. Failure Behavior and Mechanism of Solder Joint Under Thermal Mechanical Coupling Loads. Materials. 2026; 19(3):640. https://doi.org/10.3390/ma19030640
Chicago/Turabian StyleDeng, Yuxin, Si Chen, Peijiang Liu, Guoguang Lu, Xiaofeng Yang, Yu Zhao, and Xiaodong Jian. 2026. "Failure Behavior and Mechanism of Solder Joint Under Thermal Mechanical Coupling Loads" Materials 19, no. 3: 640. https://doi.org/10.3390/ma19030640
APA StyleDeng, Y., Chen, S., Liu, P., Lu, G., Yang, X., Zhao, Y., & Jian, X. (2026). Failure Behavior and Mechanism of Solder Joint Under Thermal Mechanical Coupling Loads. Materials, 19(3), 640. https://doi.org/10.3390/ma19030640

