Filtered Cathodic Vacuum Arc Deposition for Inkjet-Printed OLED Encapsulation
Abstract
1. Introduction
2. Experiment
2.1. Deposition of Al2O3 Film Using FCVA
2.2. Deposition of Al2O3 Films on Oxide TFT Backplanes
2.3. Thin-Film Encapsulation of IJP OLED Devices
3. Results and Discussion
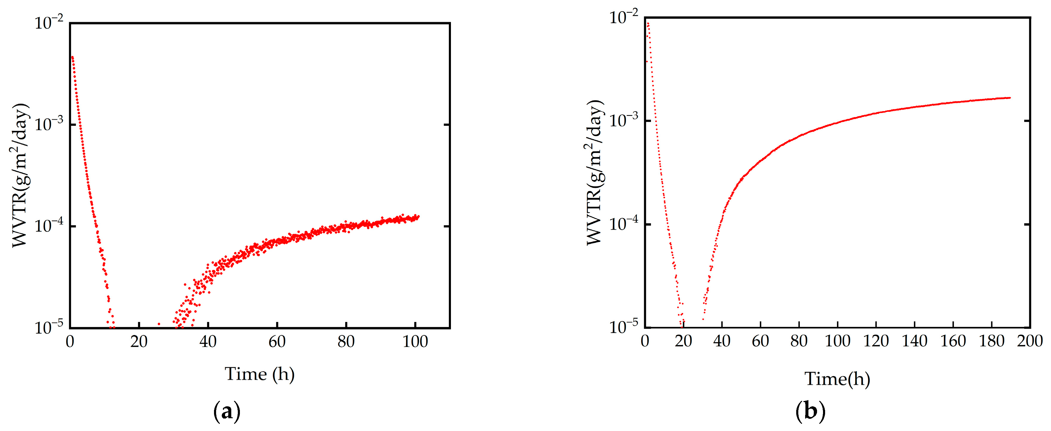
3.1. Characterization of Al2O3 Films Prepared Using FCVA
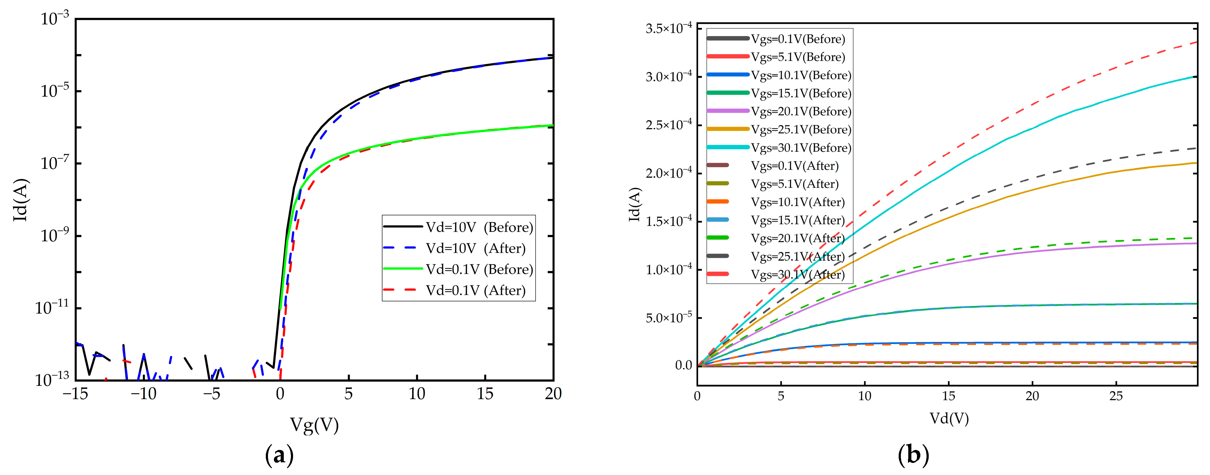
3.2. Stability of Oxide TFT Encapsulated with FCVA-Al2O3
3.3. Reliability of IJP OLED Encapsulated with FCVA-Al2O3
4. Conclusions
Author Contributions
Funding
Institutional Review Board Statement
Informed Consent Statement
Data Availability Statement
Conflicts of Interest
References
- Lee, J.G.; Gao, Z.; Fu, D.; Yan, X. Flexible Printed OLED TV has Potential to Create a New Application Market. Inf. Disp. 2022, 38, 14–21. [Google Scholar] [CrossRef]
- Jang, H.J.; Lee, J.Y.; Baek, G.W.; Kwak, J.; Park, J.H. Progress in the development of the display performance of AR, VR, QLED and OLED devices in recent years. J. Inf. Disp. 2022, 23, 1–17. [Google Scholar] [CrossRef]
- Park, J.H.; Jeong, D.Y.; Han, K.Y. A Study on Improving Color Uniformity of Flexible OLEDs through Pixel-Define Layer Optimization in Inkjet Printing. ACS Appl. Electron. Mater. 2025, 7, 10114–10123. [Google Scholar] [CrossRef]
- Hidehiro, Y.; Shuhei, N.; Takashi, I.; Yukiya, U.; Futoshi, O. Mura-free G8.5 220ppi inkjet printing technology for OLED and QLED display panels. J. Soc. Inf. Disp. 2024, 32, 255–266. [Google Scholar] [CrossRef]
- Jeong, E.G.; Kwon, J.H.; Kang, K.S.; Jeong, S.Y.; Choi, K.C. A review of highly reliable flexible encapsulation technologies towards rollable and foldable OLEDs. J. Inf. Disp. 2020, 21, 19–32. [Google Scholar] [CrossRef]
- Kwon, B.H.; Joo, C.W.; Cho, H.; Kang, C.; Yang, J.H.; Shin, J.W.; Kim, G.H.; Choi, S.; Nam, S.; Kim, K.; et al. Organic/Inorganic Hybrid Thin-Film Encapsulation Using Inkjet Printing and PEALD for Industrial Large-Area Process Suitability and Flexible OLED Application. ACS Appl. Mater. Interfaces 2021, 13, 55391–55402. [Google Scholar] [CrossRef]
- Lee, S.; Han, J.H.; Lee, S.H.; Baek, G.H.; Park, J.S. Review of organic/inorganic thin film encapsulation by atomic layer deposition for a flexible OLED display. J. Miner. Met. Mater. Soc. 2019, 71, 197–211. [Google Scholar] [CrossRef]
- Granstrom, J.; Swensen, J.S.; Moon, J.S.; Rowell, G.; Yuen, J.; Heeger, A.J. Encapsulation of organic light-emitting devices using a perfluorinated polymer. Appl. Phys. Lett. 2008, 93, 193304. [Google Scholar] [CrossRef]
- Meyer, J.; Görrn, P.; Bertram, F.; Hamwi, S.; Winkler, T.; Johannes, H.; Weimann, T.; Hinze, P.; Riedl, T.; Kowalsky, W. Al2O3/ZrO2 nanolaminates as ultrahigh gas-diffusion barriers-a strategy for reliable encapsulation of organic electronics. Adv. Mater. 2009, 21, 1845–1849. [Google Scholar] [CrossRef]
- Wei, Y.W.; Liu, Z.C.; Chen, S.L. Optical characteristics of TiO2/Al2 O3 thin films and their atomic layer depositions. Chin. Opt. 2011, 4, 188–195. [Google Scholar]
- Kim, H.K.; Kim, M.S.; Kang, J.W.; Kim, J.-J.; Yi, M.-S. High-quality thin-film passivation by catalyzer-enhanced chemical vapor deposition for organic light-emitting diodes. Appl. Phys. Lett. 2007, 90, 013502. [Google Scholar] [CrossRef]
- Steven, M.G. Atomic layer deposition: An overview. Chem. Rev. 2010, 110, 111–131. [Google Scholar]
- Zhang, B.; Wang, Z.; Wang, J.; Chen, X. Recent Achievements for Flexible Encapsulation Films Based on Atomic/Molecular Layer Deposition. Micromachines 2024, 15, 478. [Google Scholar] [CrossRef] [PubMed]
- Yang, Y.Q.; Duan, Y.; Chen, P. Deposition of Al2O3 Film Using Atomic Layer Deposition Method at Low Temperature as Encapsulation Layer for OLEDs. Chin. J. Lumin. 2014, 35, 70–75. [Google Scholar]
- Li, Y.; Xiong, Y.F.; Yang, H.Z.; Cao, K.; Chen, R. Thin film encapsulation for the organic light-emitting diodes display via atomic layer deposition. J. Mater. Res. 2020, 35, 681–700. [Google Scholar] [CrossRef]
- Willis, S.A.; McGuinness, E.K.; Li, Y.; Losego, M.D. Re-examination of the Aqueous Stability of Atomic Layer Deposited (ALD) Amorphous Alumina (Al2O3) Thin Films and the Use of a Postdeposition Air Plasma Anneal to Enhance Stability. Langmuir 2021, 37, 14509–14519. [Google Scholar] [CrossRef]
- Ylivaara, O.M.E.; Kilpi, L.; Liu, X.W.; Sintonen, S.; Ali, S.; Laitinen, M.; Julin, J.; Haimi, E.; Sajavaara, T.; Lipsanen, H.; et al. Aluminum oxide/titanium dioxide nanolaminates grown by atomic layer deposition: Growth and mechanical properties. J. Vac. Sci. Technol. A 2017, 35, 01B105. [Google Scholar] [CrossRef]
- Shao, Y.; Ding, S.J. Effects of hydrogen impurities on performances and electrical reliabilities of indium-gallium-zinc oxide thin film transistors. Acta Phys. Sin. 2018, 67, 098502. [Google Scholar] [CrossRef]
- Chen, C.; Cheng, K.-C.; Chagarov, E.; Kanicki, J. Crystalline In–Ga–Zn–O Density of States and Energy Band Structure Calculation Using Density Function Theory. J. Appl. Phys. 2011, 50, 091102. [Google Scholar] [CrossRef]
- Hwang, E.S.; Kim, J.S.; Jeon, S.M.; Lee, S.J.; Jang, Y.; Cho, D.-Y.; Hwang, C.S. In2Ga2ZnO7 oxide semiconductor-based charge trap device for NAND flash memory. Nanotechnology 2018, 29, 155203. [Google Scholar] [CrossRef]
- Yuan, H.; Li, Q.; Yan, W.; Zhang, Y.; Chen, L.; Pan, P.; Luo, J.; Liao, B.; Ouyang, X. A novel and efficient technology of depositing Al2O3 film for OLEDs thin film encapsulation. Vacuum 2022, 196, 110741. [Google Scholar] [CrossRef]
- Mohapatra, S.; Oh, M.S. Evaluating the Tribological Properties and Residual Stress of TiCrN Thin Films Deposited by Cathodic-Arc Physical Vapor Deposition Technique. Appl. Sci. 2025, 15, 2466. [Google Scholar] [CrossRef]
- Zhang, B.; Zhang, L.; Wu, S.; Peng, X.; Ouyang, X.; Liao, B.; Zhang, X. A Study on the Structure and Properties of NiCr-DLC Films Prepared by Filtered Cathodic Vacuum Arc Deposition. Coatings 2025, 15, 1136. [Google Scholar] [CrossRef]
- Kim, E.; Han, Y.; Kim, W.; Choi, K.C.; Im, H.G.; Bae, B.S. Thin film encapsulation for organic light emitting diodes using a multi-barrier composed of MgO prepared by atomic layer deposition and hybrid materials. Org. Electron. 2013, 14, 1737–1743. [Google Scholar] [CrossRef]
- Seo, S.W.; Jung, E.; Chae, H.; Cho, S.M. Optimization of Al2O3/ZrO2 nanolaminate structure for thin-film encapsulation of OLEDs. Org. Electron. 2012, 13, 2436–2441. [Google Scholar] [CrossRef]
- Kim, L.H.; Kim, K.; Park, S.; Jeong, Y.J.; Kim, H.; Chung, D.S.; Kim, S.H.; Park, C.E. Al2O3/TiO2 nanolaminate thin film encapsulation for organic thin film transistors via plasma-enhanced atomic layer deposition. ACS Appl. Mater. Interfaces 2014, 6, 6731–6738. [Google Scholar] [CrossRef] [PubMed]
- Choi, D.W.; Kim, S.J.; Lee, J.H.; Chung, K.B.; Park, J.S. A study of thin film encapsulation on polymer substrate using low temperature hybrid ZnO/Al2O3 layers atomic layer deposition. Curr. Appl. Phys. 2012, 12, 19–23. [Google Scholar] [CrossRef]
- Martin, P.; Bendavid, A. Review of the filtered vacuum arc process and materials deposition. Thin Solid Film. 2001, 1, 1–14. [Google Scholar] [CrossRef]
- Yuan, H.; Zhang, Y.F.; Yan, W.Q.; Zhang, Z.Q.; Li, Q.; Chen, L.; Yin, Z.Y.; Liao, B.; Ouyang, X.P.; Ouyang, X. Flexible alumina films prepared using high-bias pulse power for OLED thin film encapsulation. Ceram. Int. 2022, 48, 36521–36530. [Google Scholar] [CrossRef]
- Yuan, H.; Zhang, Y.F.; Li, Q.; Yan, W.Q.; Zhang, X.; Ouyang, X.; Ouyang, X.P.; Chen, L.; Liao, B. A Study of Al2O3/MgO Composite Films Deposited by FCVA for Thin-Film Encapsulation. Materials 2023, 16, 1955. [Google Scholar] [CrossRef]
- Li, S.; Li, M.; Lan, L.; Fu, D.; Sun, X.; Gao, Z. Comprehensive Investigation on the Stability of Silicon Nitride/Oxynitride as Thin-Film Encapsulation Layers Prepared by Plasma-Enhanced Chemical Vapor Deposition. ACS Appl. Mater. Interfaces 2025, 17, 10832–10844. [Google Scholar] [CrossRef] [PubMed]
- Gao, S.Y.; Kong, X.-Z.; Zhang, F.-H.; Lv, L. Research Progress of Thin Film Encapsulation of Organic Light-Emitting Devices. J. Liq. Cryst. Disp. 2012, 27, 198–202. [Google Scholar]
- Jang, J.T.; Ko, D.; Choi, S.J.; Kim, D.M.; Kim, D.H. Observation of Hydrogen-Related Defect in Subgap Density of States and Its Effects Under Positive Bias Stress in Amorphous InGaZnO TFT. IEEE Electron Device Lett. 2021, 42, 708–711. [Google Scholar] [CrossRef]
- Ahn, I.S.; Ju, B.K.; Choi, S.-H. Effects of Hydrogen Doping on a-GIZO Thin-Film Transistors with Hafnium Dioxide Gate Insulators Formed by Atomic Layer Deposition at Different Temperatures. IEEE Trans. Electron Devices 2024, 71, 1920–1925. [Google Scholar] [CrossRef]
- Nakashima, M. Origin of major donor states in In–Ga–Zn oxide. J. Appl. Phys. 2014, 116, 213703. [Google Scholar] [CrossRef]
- Li, Y.; Liu, Z.; Jiang, K.; Hu, X. H2 annealing effect on the structural and electrical properties of amorphous InGaZnO films for thin film transistors. J. Non-Cryst. Solids 2013, 378, 50–54. [Google Scholar] [CrossRef]
- Sallis, S.; Butler, K.T.; Quackenbush, N.F.; Williams, D.S.; Junda, M.; Fischer, D.A.; Woicik, J.C.; Podraza, N.J.; White, B.E.; Walsh, A.; et al. Origin of deep subgap states in amorphous indium gallium zinc oxide: Chemically disordered coordination of oxygens. Appl. Phys. Lett. 2014, 104, 232108. [Google Scholar] [CrossRef]
- Kim, J.Y.; Kim, H.; Kim, D.; Jang, H.W. Advancements of Amorphous IGZO-Based Transistors: Materials, Processing, and Devices. ACS Appl. Electron. Mater. 2025, 7, 4703–4728. [Google Scholar] [CrossRef]










| Properties | FCVA-Al2O3 | ALD-Al2O3 |
|---|---|---|
| Film Thickness (nm) | 106.1 | 106.5 |
| Average Roughness (nm) | 0.111 | 0.314 |
| Residual Stress (MPa) | −70 | 70 |
| Refractive Index | 1.684 | 1.632 |
| Visible-Light Transmittance (%) | 98.4 | 98 |
| Water Vapor Transmission Rate (g/m2/day) | 1.2 × 10−4 | 1.6 × 10−3 |
| Items | TFT Properties | Before Encapsulation | After Encapsulation |
|---|---|---|---|
| Encapsulated with CVD-SiNx | Vth (V) | 0.53 | 0.54 |
| Mobility (cm2/Vs) | 11.42 | 15.92 | |
| SS (V/dec) | 0.10 | 0.15 | |
| Encapsulated with FCVA-Al2O3 | Vth (V) | 1.08 | 1.10 |
| Mobility (cm2/Vs) | 14.02 | 14.31 | |
| SS (V/dec) | 0.16 | 0.15 |
| TFE Structure | RA 0 h | RA 24 h | RA 150 h | RA 230 h | RA 300 h |
|---|---|---|---|---|---|
![]() | ![]() | ![]() | ![]() | ![]() | NA |
![]() | ![]() | ![]() | ![]() | ![]() | ![]() |
Disclaimer/Publisher’s Note: The statements, opinions and data contained in all publications are solely those of the individual author(s) and contributor(s) and not of MDPI and/or the editor(s). MDPI and/or the editor(s) disclaim responsibility for any injury to people or property resulting from any ideas, methods, instructions or products referred to in the content. |
© 2026 by the authors. Licensee MDPI, Basel, Switzerland. This article is an open access article distributed under the terms and conditions of the Creative Commons Attribution (CC BY) license.
Share and Cite
Gao, Z.; Li, S.; Wang, L.; Chen, L.; Sun, X.; Fu, D. Filtered Cathodic Vacuum Arc Deposition for Inkjet-Printed OLED Encapsulation. Materials 2026, 19, 638. https://doi.org/10.3390/ma19030638
Gao Z, Li S, Wang L, Chen L, Sun X, Fu D. Filtered Cathodic Vacuum Arc Deposition for Inkjet-Printed OLED Encapsulation. Materials. 2026; 19(3):638. https://doi.org/10.3390/ma19030638
Chicago/Turabian StyleGao, Zhuo, Songju Li, Lei Wang, Lin Chen, Xianwen Sun, and Dong Fu. 2026. "Filtered Cathodic Vacuum Arc Deposition for Inkjet-Printed OLED Encapsulation" Materials 19, no. 3: 638. https://doi.org/10.3390/ma19030638
APA StyleGao, Z., Li, S., Wang, L., Chen, L., Sun, X., & Fu, D. (2026). Filtered Cathodic Vacuum Arc Deposition for Inkjet-Printed OLED Encapsulation. Materials, 19(3), 638. https://doi.org/10.3390/ma19030638











