Journal Description
Nutrients
Nutrients
is an international, peer-reviewed, open access journal of human nutrition published semimonthly online by MDPI. The Asia Pacific Nutrigenomics Nutrigenetics Organisation (APNNO), Italian Society for Pediatric Gastroenterology, Hepatology and Nutrition (SIGENP), Nutrition Society of New Zealand (NSNZ), Ocular Wellness & Nutrition Society (OWNS) and others are affiliated with Nutrients and their members receive a discount on article processing charges.
- Open Access— free for readers, with article processing charges (APC) paid by authors or their institutions.
- High Visibility: indexed within Scopus, SCIE (Web of Science), PubMed, MEDLINE, PMC, Embase, PubAg, AGRIS, and other databases.
- Journal Rank: JCR - Q1 (Nutrition and Dietetics) / CiteScore - Q1 (Nutrition and Dietetics)
- Rapid Publication: manuscripts are peer-reviewed and a first decision is provided to authors approximately 12.9 days after submission; acceptance to publication is undertaken in 2.3 days (median values for papers published in this journal in the first half of 2025).
- Recognition of Reviewers: reviewers who provide timely, thorough peer-review reports receive vouchers entitling them to a discount on the APC of their next publication in any MDPI journal, in appreciation of the work done.
- Companion journal: Dietetics.
- Journal Cluster of Food, Nutrition, and Health Science: Beverages, Dietetics, Foods, Nutraceuticals, Nutrients and Obesities.
Impact Factor:
5.0 (2024);
5-Year Impact Factor:
6.0 (2024)
Latest Articles
Mentha Essential Oils: Unraveling Chemotype-Dependent Biosynthesis and Assessing Evidence for Health-Promoting Activities
Nutrients 2025, 17(20), 3258; https://doi.org/10.3390/nu17203258 - 16 Oct 2025
Abstract
Mentha essential oils (EOs), renowned for their distinctive aromas and diverse biological activities, represent a key focus in phytochemical and pharmacological research. While numerous reviews have documented the general properties of mint EOs, a systematic and critical synthesis of recent advances linking chemotypic
[...] Read more.
Mentha essential oils (EOs), renowned for their distinctive aromas and diverse biological activities, represent a key focus in phytochemical and pharmacological research. While numerous reviews have documented the general properties of mint EOs, a systematic and critical synthesis of recent advances linking chemotypic diversity to biosynthetic mechanisms and evidence-based health benefits remains lacking. This review aims to address this gap by comprehensively analyzing the structural variability of EOs across major Mentha species, elucidating the chemotype-dependent enzymatic and genetic regulation within the plastidial methylerythritol phosphate (MEP) pathway, and evaluating preclinical and clinical evidence supporting their health-promoting activities, including antimicrobial, antioxidant, anti-inflammatory, digestive, respiratory, cognitive-enhancing, and anticancer effects. By integrating findings from cutting-edge transcriptomic and genomic studies, we highlight how genetic variations and epigenetic factors influence monoterpene biosynthesis and ultimately shape bioactivity profiles. Furthermore, we critically assess challenges related to EO standardization, bioavailability, and clinical translation, and propose interdisciplinary strategies, such as metabolic engineering, nano-delivery systems, and structured clinical trial designs to overcome these barriers. This review not only consolidates the current understanding of Mentha Eos, but also provides a forward-looking perspective on their potential applications in functional foods, pharmaceuticals, and personalized health products.
Full article
(This article belongs to the Special Issue Nutritional Bioactive Components and Lipid Metabolic Diseases: A Comprehensive Exploration)
Open AccessArticle
Immunomodulatory Effect of Raspberry (Rubus idaeus L.) Fruit Extracts on Activated Macrophages and Dysfunctional Vascular Endothelial Cells
by
Katarzyna Kowalska, Radosław Dembczyński and Anna Olejnik
Nutrients 2025, 17(20), 3257; https://doi.org/10.3390/nu17203257 - 16 Oct 2025
Abstract
Background: Growing evidence highlights the beneficial effects of flavonoids, including anthocyanins, as key components in reducing cardiovascular risk, and emphasizes that incorporating anthocyanin-rich fruits into the daily diet significantly impacts public health. Methods: The effect of bioactive polyphenols from raspberry fruit (RBF) on
[...] Read more.
Background: Growing evidence highlights the beneficial effects of flavonoids, including anthocyanins, as key components in reducing cardiovascular risk, and emphasizes that incorporating anthocyanin-rich fruits into the daily diet significantly impacts public health. Methods: The effect of bioactive polyphenols from raspberry fruit (RBF) on molecular pathways in inflammation was studied in activated RAW 264.7 macrophages and their protective potential against endothelial dysfunction was analyzed using TNF-α-induced human umbilical vein endothelial cells (HUVECs). Results: The results have shown that RBF extract, along with its anthocyanin and polyphenol fractions, has a significant anti-inflammatory effect in macrophage cell culture by inhibiting the LPS-induced expression of pro-inflammatory genes, including IL-6, IL-1β, TNF-α, and NF-κB. Moreover, RBF and both fractions have demonstrated a protective effect on endothelial function by decreasing the expression of several inflammation-related genes and adhesion molecules, such as IL-6, IL-1β, VCAM-1, ICAM-1, and SELE, in TNF-α-induced HUVECs. Conclusions: The consumption of RBF and/or polyphenol-rich extracts may help prevent the onset of early atherosclerosis. This is attributed to their ability to improve inflammation status and enhance vascular endothelial function. Given the strong anti-inflammatory properties of RBF, incorporating them into a daily diet could significantly reduce the risk of non-communicable diseases related to inflammation.
Full article
(This article belongs to the Special Issue The Role of Berry Phytochemicals in Treating Obesity, Inflammation and Associated Comorbidities)
Open AccessArticle
Dietary Mapping of Macronutrient Consumption Before Pregnancy Related to Gestational Diabetes Mellitus
by
Antigoni Tranidou, Aikaterini Apostolopoulou, Antonios Siargkas, Emmanuela Magriplis, Ioannis Tsakiridis, Georgia Koutsouki, Michail Chourdakis and Themistoklis Dagklis
Nutrients 2025, 17(20), 3256; https://doi.org/10.3390/nu17203256 - 16 Oct 2025
Abstract
Background/Objectives: Gestational diabetes mellitus (GDM) is a common pregnancy complication, and maternal diet before conception may be an important modifiable risk factor. This study aimed to investigate the association between maternal pre-pregnancy energy and macronutrient intake and the risk of GDM. Methods
[...] Read more.
Background/Objectives: Gestational diabetes mellitus (GDM) is a common pregnancy complication, and maternal diet before conception may be an important modifiable risk factor. This study aimed to investigate the association between maternal pre-pregnancy energy and macronutrient intake and the risk of GDM. Methods: Data from the BORN2020 cohort in Northern Greece were used. Women were recruited at their first trimester prenatal visit (11–13 weeks of gestation) and provided detailed dietary data via a validated food frequency questionnaire (FFQ), reflecting intake in the six months prior to conception. Weighted Quantile Sum (WQS) regression models were applied to assess the joint effects of food-derived macronutrient mixtures on GDM risk. Analyses were adjusted for parity, maternal age, pre-pregnancy BMI, thyroid disorders, smoking, energy intake, and physical activity. Results: In total, 797 women were included in the analyses. In normal-BMI women, higher pre-pregnancy intake of energy (aOR = 81.16, 95% CI: 4.55–1447.46), total carbohydrates (aOR = 50.66, 95% CI: 3.59–715.04), total fat (aOR = 9.35, 95% CI: 1.17–74.54), and total protein (aOR = 11.06, 95% CI: 1.14–107.09) were significantly associated with increased odds of GDM. The main contributing foods were energy-dense and processed items such as puff pastry, processed meats, potatoes, refined grains, and dairy products. In contrast, dietary fiber, vegetable protein, and animal protein were not significantly associated with GDM risk. Among overweight and obese women, none of the macronutrient or energy mixtures showed significant associations. Conclusions: For women of normal weight, a pre-conception diet high in energy and macronutrients from processed foods is a significant predictor of GDM risk. This association was not found in overweight or obese women, highlighting a critical window for targeted nutritional intervention for normal-weight individuals before pregnancy.
Full article
(This article belongs to the Special Issue Nutrition, Diet and Metabolism in Pregnancy)
Open AccessArticle
The Impact of the Central Asia Stunting Initiative on Stunting Among Children Under Five Years Old in Gilgit Baltistan and Chitral, Pakistan
by
Imtiaz Hussain, Imran A. Chauhadry, Muhammad Umer, Noor Nisa, Sanober Nadeem, Mushtaq Hassan, Asma A. Sattar, Muhammad Atif Habib, Shabina Ariff, Aminah Jahangir, Claudia Hudspeth, Sajid B. Soofi and Zulfiqar A. Bhutta
Nutrients 2025, 17(20), 3255; https://doi.org/10.3390/nu17203255 - 16 Oct 2025
Abstract
Background: Stunting, a form of chronic malnutrition, is a global health concern, especially in South Asia. Stunting remains a significant public health issue in Pakistan, particularly in remote regions like Gilgit-Baltistan and Chitral, where geographic isolation and socioeconomic challenges exacerbate malnutrition. The
[...] Read more.
Background: Stunting, a form of chronic malnutrition, is a global health concern, especially in South Asia. Stunting remains a significant public health issue in Pakistan, particularly in remote regions like Gilgit-Baltistan and Chitral, where geographic isolation and socioeconomic challenges exacerbate malnutrition. The Aga Khan Development Network is leading the implementation of a program, Central Asia Stunting Initiative (CASI), with an aim to reduce stunting through community-driven maternal and child health interventions in the targeted areas of Gilgit Baltistan and Chitral. This study aimed to evaluate the effectiveness of CASI in improving child nutritional outcomes in Gilgit-Baltistan and Chitral. Methods: In this study, a single-group pre–post evaluation design was employed using baseline and midline cross-sectional surveys among households with children aged 0–59 months in Gilgit-Baltistan and Chitral. Data on child anthropometry, household food security, maternal education, and child feeding practices were collected from over 500 households using stratified sampling. Results: Results showed improvement in child health indicators between baseline and midline. Between baseline and midline, stunting declined from 40.9% to 35.4% in GBC (p = 0.02), with severe stunting dropping significantly (17.8% to 10.9%, p < 0.001). Wasting and underweight rates also showed marked reductions. Improvements in breastfeeding rates (71.3% to 88.3%) and dietary diversity (4.0% to 26.8%) were observed. However, food security declined sharply from 95.2% to 11.9%, underscoring persistent economic stress. Conclusions: CASI interventions yielded substantial improvements in child nutrition and maternal behaviours. However, sustained progress requires integrated strategies addressing food insecurity, economic empowerment, and long-term resilience. Future programs should adopt a multi-sectoral approach to tackle chronic malnutrition comprehensively. Despite this, results indicated an overall improvement due to CASI interventions, signifying the importance of integrated, community-based approaches in addressing stunting.
Full article
(This article belongs to the Special Issue Nutrition in Children's Growth and Development)
Open AccessReview
Parenting Style and Social Media: Impact on Children’s Dietary Patterns
by
Angelica Dessì, Silvia Petza, Alice Di Carlo, Federica Infantino, Federica Zanco, Lucrezia Galimberti, Vassilios Fanos and Alice Bosco
Nutrients 2025, 17(20), 3254; https://doi.org/10.3390/nu17203254 - 16 Oct 2025
Abstract
Background/Aim: Nutrition plays a pivotal role in development, not only in the early stages of life but also during adolescence, a period marked by vulnerability to the onset of overweight, obesity and eating disorders, with repercussions for reproductive and bone health. This narrative
[...] Read more.
Background/Aim: Nutrition plays a pivotal role in development, not only in the early stages of life but also during adolescence, a period marked by vulnerability to the onset of overweight, obesity and eating disorders, with repercussions for reproductive and bone health. This narrative review aims to explore how parenting style, parental feeding practices and social media exposure influence eating behaviors in children and adolescents. Methods: A narrative review of the literature was performed through the PubMed and Scopus databases, including studies on participants aged 0–18 years. Both observational and interventional studies focusing on parenting approaches and the impact of social media on dietary behaviors were included. Given the narrative design, studies were selected based on conceptual relevance rather than formal inclusion or exclusion criteria, and on their contribution to understanding the multifactorial determinants of eating behavior. Results: A substantial body of research has demonstrated the critical influence of the family in cultivating positive eating habits and fostering a healthy relationship with food in children, serving as a role model and through responsive and authoritative parenting. Conversely, controlling or restrictive styles may contribute to dysfunctional eating patterns. Social media can positively and negatively influence children’s eating behaviors and parental feeding practices, promoting nutritional awareness or exposure to unhealthy food marketing and unrealistic body ideals. Conclusions: Healthcare professionals should promote an educational, trust-based approach to nutrition, empowering parents and youth for responsible digital engagement. Integrating family, school and media education is essential for preventing obesity and eating disorders in the digital age.
Full article
(This article belongs to the Section Pediatric Nutrition)
►▼
Show Figures

Figure 1
Open AccessArticle
Potential Benefits of Behaviors and Lifestyle for Human Health and Well-Being
by
Łukasz Stachera, Karolina Góras, Klaudia Janowska, Erwina Muszkat-Pośpiech, Anna Wojciechowska, Grażyna Świderska-Kołacz, Szymon Zmorzyński and Joanna Czerwik-Marcinkowska
Nutrients 2025, 17(20), 3253; https://doi.org/10.3390/nu17203253 - 16 Oct 2025
Abstract
Background/Objectives: Proper nutrition and a balanced lifestyle are key determinants of overall human well-being, influencing both physical and mental health. Likewise, physical activity and daily lifestyle choices play a vital role in sustaining the proper functioning of physiological systems and preventing chronic diseases.
[...] Read more.
Background/Objectives: Proper nutrition and a balanced lifestyle are key determinants of overall human well-being, influencing both physical and mental health. Likewise, physical activity and daily lifestyle choices play a vital role in sustaining the proper functioning of physiological systems and preventing chronic diseases. Methods: This qualitative study was conducted between April and July 2025 among students and employees of the Faculty of Exact and Natural Sciences at Jan Kochanowski University. Data were gathered using the standardized KomPAN® 2.2 questionnaire, which assessed dietary habits, lifestyle behaviors, and demographic factors. Participants were selected according to defined inclusion and exclusion criteria, focusing on full-time students and research employees reporting well-being-related difficulties. Statistical analysis employed multivariate techniques, including Indicator Value Analysis in PAST 5.2.1 and Principal Component Analysis in Canoco 5.0, to identify significant differences between groups. Results: The results showed that students consumed more fruits and vegetables but also more fast food and sweetened beverages, while employees differed mainly in lifestyle characteristics such as urban residence and higher education level. Gender-related analyses indicated that women selected specific food products more often, whereas men were more physically active. Conclusions: The findings highlight the need for targeted well-being and nutrition support programs within academic institutions.
Full article
(This article belongs to the Section Nutrition and Public Health)
►▼
Show Figures

Graphical abstract
Open AccessArticle
Gestational Diabetes Mellitus Subtypes Derived by Clustering Analysis Show Heterogeneity in Glucometabolic Parameters Already at Early Pregnancy
by
Grammata Kotzaeridi, Benedetta Salvatori, Agnese Piersanti, Florian Heinzl, Sophie Zarotti, Herbert Kiss, Silke Wegener, Iris Dressler-Steinbach, Wolfgang Henrich, Micaela Morettini, Andrea Tura and Christian S. Göbl
Nutrients 2025, 17(20), 3252; https://doi.org/10.3390/nu17203252 - 16 Oct 2025
Abstract
Background/Objectives: The classification of patients with diabetes into phenotypes with distinct risks and therapeutic needs is crucial for individualized care. We recently introduced a clustering model for gestational diabetes mellitus (GDM). This study aims to further characterize the proposed clusters and to identify
[...] Read more.
Background/Objectives: The classification of patients with diabetes into phenotypes with distinct risks and therapeutic needs is crucial for individualized care. We recently introduced a clustering model for gestational diabetes mellitus (GDM). This study aims to further characterize the proposed clusters and to identify cluster-specific differences in glucometabolic parameters during early pregnancy in an independent cohort. The metabolic profiles and dietary habits of GDM clusters will be compared with those of a normal glucose-tolerant (NGT) control group. Methods: 1088 women (195 who developed GDM and 893 who remained NGT) underwent a broad risk evaluation at early pregnancy. GDM patients were further categorized into the three proposed GDM subtypes (CL1 to CL3). Results: Among GDM patients, 7.7% were classified as CL1, 35.9% as CL2, and 56.4% as CL3. CL1 showed higher age, pregestational BMI, and increased glucose concentrations both at fasting and during the diagnostic oral glucose tolerance test. CL2 was characterized by elevated BMI and fasting glucose, while CL3 showed higher glucose concentrations after the oral glucose load, with BMI levels comparable to NGT mothers. Women in the CL1 group exhibited impaired insulin sensitivity and β-cell function at early pregnancy and showed elevated lipid levels. Compared to NGT women, a positive family history of diabetes was more prevalent in CL1 and CL3, but not in CL2. Dietary patterns were similar across all groups. Conclusions: Our study showed distinct alterations in glucometabolic parameters already at early pregnancy among GDM subtypes. Patients in CL1 exhibited the most unfavorable risk constellation and could benefit from lifestyle changes and nutrition therapy in early pregnancy, despite showing similar dietary patterns as the NGT group.
Full article
(This article belongs to the Section Nutrition in Women)
►▼
Show Figures

Figure 1
Open AccessSystematic Review
Impact of Artificial Sweeteners on Inflammation Markers: A Systematic Review of Animal Studies
by
Pauline Celine Raoul, Maurizio Romano, Francesca Sofia Galli, Marco Cintoni, Esmeralda Capristo, Vincenzina Mora, Maria Cristina Mele, Antonio Gasbarrini and Emanuele Rinninella
Nutrients 2025, 17(20), 3251; https://doi.org/10.3390/nu17203251 - 16 Oct 2025
Abstract
Background: Artificial sweeteners, widely used as non-nutritive sugar substitutes, are increasingly prevalent in ultra-processed products. Although promoted for weight management due to their minimal caloric content, their impact on systemic inflammation remains uncertain. This systematic review of animal studies aims to evaluate the
[...] Read more.
Background: Artificial sweeteners, widely used as non-nutritive sugar substitutes, are increasingly prevalent in ultra-processed products. Although promoted for weight management due to their minimal caloric content, their impact on systemic inflammation remains uncertain. This systematic review of animal studies aims to evaluate the association between artificial sweetener consumption and inflammatory biomarkers. Methods: A systematic literature search was conducted up to May 2025 across PubMed, Web of Science, and Scopus, following PRISMA guidelines and registered in PROSPERO (CRD420251084004). Risk of bias was assessed using the ARRIVE guidelines and SCYRCLE’s risk of bias tool. Results: Thirty-seven animal studies were included: aspartame (n = 17), sucralose (n = 16), acesulfame potassium (n = 5), and saccharin (n = 4). Protocols varied in terms of dosage, exposure duration, animal models, and assessment of inflammatory outcomes, including C-reactive protein, interleukins (IL-6 and IL-1β), and tumor necrosis factor alpha. Aspartame and sucralose could elevate inflammatory markers, with sucralose also disrupting gut integrity and microbiota. Acesulfame K and saccharin showed variable, dose-dependent effects. Conclusions: This systematic review of animal studies suggests a possible mechanistic association between the consumption of certain artificial sweeteners and systemic inflammation. However, this relationship remains to be clarified and warrants exploration through well-designed, large-scale randomized controlled trials.
Full article
(This article belongs to the Special Issue Hot Topics in Clinical Nutrition (3rd Edition))
Open AccessArticle
Gut Microbiota Enterotype as a Predictor of Sarcopenia in the Japanese Elderly Population
by
Sayaka Hotta, Michiko Matsunaga, Akimitsu Miyake, Aya K. Takeda, Satoshi Watanabe, Naoki Hosen and Keisuke Hagihara
Nutrients 2025, 17(20), 3250; https://doi.org/10.3390/nu17203250 - 16 Oct 2025
Abstract
Background/Objectives: Frailty and sarcopenia are age-related conditions that impair quality of life in older adults. Although the gut microbiota affects muscle health, its role in sarcopenia remains unclear. This study investigated the association between gut microbiota enterotypes and sarcopenia in community-dwelling older
[...] Read more.
Background/Objectives: Frailty and sarcopenia are age-related conditions that impair quality of life in older adults. Although the gut microbiota affects muscle health, its role in sarcopenia remains unclear. This study investigated the association between gut microbiota enterotypes and sarcopenia in community-dwelling older Japanese adults. Methods: In this cross-sectional study, 322 community-dwelling adults from the Japanese Frailty Scale cohort aged ≥65 years were assessed for sarcopenia using standardized criteria. Physical measures included grip strength, gait speed, and skeletal muscle mass index (SMI). Gut microbiota profiles were analyzed using 16S rRNA sequencing and classified into four enterotypes (ET-B1, ET-B2, ET-R, ET-P). Associations with sarcopenia were evaluated using multivariable logistic regression. Results: Participants with enterotype ET-B2 had significantly lower microbial diversity (p < 0.01) and reduced grip strength (p < 0.05), whereas the difference in SMI compared with ET-P individuals did not reach statistical significance (p = 0.0625). Sarcopenia prevalence differed significantly between enterotypes (p < 0.01). A predictive model incorporating age and ET-B2 exhibited an area under the receiver operating characteristic curve (AUC) of 0.795, significantly higher than the age-only model (AUC = 0.686, DeLong’s test, p < 0.05). Conclusions: Gut microbiota composition, especially enterotype ET-B2, is significantly associated with sarcopenia in older Japanese adults. These findings indicate the potential for using the gut microbiota as a biomarker and therapeutic target in treating age-related muscle decline.
Full article
(This article belongs to the Section Geriatric Nutrition)
►▼
Show Figures

Figure 1
Open AccessArticle
The Anti-Digestive Characteristics, Effects of Prebiotic Properties on NC and T2DM Mice of Achyranthes bidentata Polysaccharide, and the Hypoglycemic Effect of Its Fermentation Products
by
Ting Xia, Zhenjie Liu, Wenya Ding, Liting Deng, Xinyang Ning and Jianfang Feng
Nutrients 2025, 17(20), 3249; https://doi.org/10.3390/nu17203249 - 16 Oct 2025
Abstract
Background/Objectives: Achyranthes bidentata (AB), recognized as a food and traditional Chinese medicine, exhibits notable biological activity. Our previous study showed the hypoglycemic effect of Achyrantha bidentata polysaccharide (ABP). The properties and digestion process of polysaccharides affect their pharmacological activities. The digestion characteristics
[...] Read more.
Background/Objectives: Achyranthes bidentata (AB), recognized as a food and traditional Chinese medicine, exhibits notable biological activity. Our previous study showed the hypoglycemic effect of Achyrantha bidentata polysaccharide (ABP). The properties and digestion process of polysaccharides affect their pharmacological activities. The digestion characteristics of ABP are unclear. In this study, we aimed to explore the characteristics of ABP’s simulated digestion and its prebiotic properties and hypoglycemic effects. Methods: We used simulated digestion methods to investigate the alterations in ABP levels in the process of digestion and fermentation. Animal experiments were used to compare the effects of the prebiotic properties of ABP on normal control (NC) and type 2 diabetes mellitus (T2DM) mice. Then, in order to further verify the hypoglycemic effect of ABP after fermentation (ABPF), α-glucosidase activity and glucose uptake in Caco-2 cells were examined. Results: The results showed that ABP was anti-digestive and mainly degraded by the intestinal flora. Moreover, ABP showed a stronger promoting advantage against beneficial bacteria and inhibited harmful bacteria in the T2DM mice. Compared with NC mice, after ABP treatment, T2DM mice showed a higher increase in levels of short-chain fatty acids (SCFAs). Additionally, the glucose uptake and α-glucosidase activity of Caco-2 cells were significantly decreased after treatment with ABPF. Conclusions: These results underscore the potential of ABP as a prebiotic candidate for gut health promotion and T2DM alleviation.
Full article
(This article belongs to the Special Issue Dietary Polysaccharides: Functional Properties and Health Implications)
►▼
Show Figures

Figure 1
Open AccessArticle
Mitochondrial DNA DAMPs, Inflammation, and Insulin Sensitivity After Dietary Interventions in Adults with Type 2 Diabetes
by
Yenni E. Cedillo, Melissa J. Sammy, Meghan G. Taylor, Cody J. Hanick, Courtney M. Peterson and Barbara A. Gower
Nutrients 2025, 17(20), 3248; https://doi.org/10.3390/nu17203248 - 16 Oct 2025
Abstract
Background/Objectives: Mitochondrial damage is implicated in metabolic dysfunction and may contribute to inflammation and insulin resistance, key features of type 2 diabetes. This study examined the relationship among inflammatory markers, mtDNA DAMPs, and insulin sensitivity/resistance, and evaluated their response to three dietary
[...] Read more.
Background/Objectives: Mitochondrial damage is implicated in metabolic dysfunction and may contribute to inflammation and insulin resistance, key features of type 2 diabetes. This study examined the relationship among inflammatory markers, mtDNA DAMPs, and insulin sensitivity/resistance, and evaluated their response to three dietary interventions in type 2 diabetes. Methods: Data was pooled from two clinical trials involving adults aged 35 to 75 with type 2 diabetes (n = 39). Participants followed one of three 12-week diet interventions aimed at enhancing glucose metabolism without causing weight loss. The sample was 74% female and 64% African American with a mean age of 55.6 ± 7.7 years, and 92.3% (n = 36) had overweight/obesity. Participants were assigned to either a carbohydrate-restricted, low-fat, or fruit-rich Mediterranean diet. Primary outcomes included insulin resistance (HOMA-IR), insulin sensitivity (Matsuda index), mtDNA DAMPs (ND1, ND6), pro/anti-inflammatory cytokines (IFN-γ, IL-10, IL-6, IL-8, TNF-α), CRP, and cortisol. Associations among mtDNA DAMPs, inflammation, and insulin sensitivity/resistance were examined using regression analysis Results: The carbohydrate-restricted diet led to the greatest improvements in insulin sensitivity (72.7%) and reductions in HOMA-IR (41.3%) (p = 0.03). All diets increased mtDNA DAMPs, with most observed in the fruit-rich Mediterranean diet and low-fat diet groups and the smallest in the carbohydrate-restricted group. Total mtDNA DAMPs were associated with lower insulin sensitivity (Matsuda index: β = –0.77; SE = 0.31; p = 0.02), and ND6 mtDNA DAMP levels were associated with greater insulin resistance (HOMA-IR: β = 0.90; SE = 0.40; p = 0.03) and lower insulin sensitivity (Matsuda index: β = –0.86; SE = 0.33; p = 0.01), independent of BMI and race. Proinflammatory cytokines were associated with increased HOMA-IR (β = 0.45; p = 0.007) and reduced Matsuda index (β = –0.43; p = 0.009) and moderated effects of mtDNA DAMPs on insulin sensitivity/resistance. Conclusions: These findings highlight mtDNA DAMPs in metabolic dysfunction in the context of inflammation.
Full article
(This article belongs to the Section Nutrition and Diabetes)
►▼
Show Figures

Figure 1
Open AccessCorrection
Correction: Xu et al. Ursolic Acid Ameliorates Myocardial Ischaemia/Reperfusion Injury by Improving Mitochondrial Function via Immunoproteasome-PP2A-AMPK Signalling. Nutrients 2023, 15, 1049
by
Luo-Luo Xu, Hui-Xiang Su, Pang-Bo Li and Hui-Hua Li
Nutrients 2025, 17(20), 3247; https://doi.org/10.3390/nu17203247 - 16 Oct 2025
Abstract
In the original publication [...]
Full article
Open AccessSystematic Review
Non-Digestible Oligosaccharides and Constipation: A Systematic Review and Meta-Analysis of Randomized Trials on Stool Frequency, Stool Consistency, and Fermentation Biomarkers
by
Huiyu Chen, Jiale Ren, Langrun Wang, Wenyi Zhang, Sufang Duan, Jie Guo, Qingshan Chen, Ran Wang, Jian He, Jingjing He and Ruixin Zhu
Nutrients 2025, 17(20), 3246; https://doi.org/10.3390/nu17203246 - 16 Oct 2025
Abstract
Background: Chronic constipation lacks effective long-term treatments. Non-digestible oligosaccharides (NDOs) are short-chain carbohydrates that resist digestion and may improve bowel function. This systematic review and meta-analysis examines the effect of NDOs on constipation-related outcomes in humans. Methods: We searched Ovid MEDLINE,
[...] Read more.
Background: Chronic constipation lacks effective long-term treatments. Non-digestible oligosaccharides (NDOs) are short-chain carbohydrates that resist digestion and may improve bowel function. This systematic review and meta-analysis examines the effect of NDOs on constipation-related outcomes in humans. Methods: We searched Ovid MEDLINE, Embase, and Web of Science (2010–May 2025) for randomized controlled trials (RCTs) comparing NDOs with placebo, reporting stool frequency, stool consistency, fecal pH, or short-chain fatty acids (SCFAs). Data were pooled using random-effects meta-analysis. All effect estimates are reported as standardized mean differences (SMDs) with 95% confidence intervals (CIs). Subgroups were analyzed based on baseline constipation status and treatment duration. Results: We included 20 RCTs (1786 participants) evaluating seven NDO types. NDO supplementation significantly increased stool frequency overall, with larger effects in constipated individuals (SMD 0.99, 95% CI 0.58–1.28) than in non-constipated population (SMD 0.30, 95% CI 0.10–0.51). By duration, shorter interventions (≤3 weeks) yielded greater frequency gains (SMD 0.89, 95% CI 0.40–1.38) than longer ones (SMD 0.24, 95% CI 0.09–0.38). While the overall effect on stool consistency was non-significant, constipated patients (SMD 0.46, 95% CI 0.19–0.74) and short-term trials (SMD 0.20, 95% CI 0.03–0.37) showed modest improvements. NDOs also lowered fecal pH (SMD −1.02, 95% CI −1.25–−0.79). Data on SCFAs were inconclusive and based on very limited studies. Conclusions: NDOs modestly increase stool frequency and lower fecal pH, with greater effects in constipated individuals and short-term interventions. However, evidence certainty remains low due to heterogeneity and study limitations. Further studies are needed to establish clinical utility.
Full article
(This article belongs to the Special Issue Advances in Nutrition and Dietetics in Gastroenterology)
►▼
Show Figures

Figure 1
Open AccessArticle
Ashwagandha Does Not Enhance the Effect of High-Intensity Interval Training on Selected Energy Metabolism Parameters in Young Healthy Men
by
Małgorzata Charmas, Ewa Jówko, Barbara Długołęcka, Andrzej Klusiewicz, Iwona Przybylska and Anna Galczak-Kondraciuk
Nutrients 2025, 17(20), 3245; https://doi.org/10.3390/nu17203245 - 16 Oct 2025
Abstract
Background/Objectives: High-intensity interval training (HIIT) is considered an effective way in improving aerobic capacity and selected health parameters. Ashwagandha is an herb with possible health-promoting properties that may affect metabolism and performance. The aim of this study was to evaluate the effects of
[...] Read more.
Background/Objectives: High-intensity interval training (HIIT) is considered an effective way in improving aerobic capacity and selected health parameters. Ashwagandha is an herb with possible health-promoting properties that may affect metabolism and performance. The aim of this study was to evaluate the effects of ashwagandha supplementation (600 mg/day) during an 8-week HIIT on body composition, lipid profile and hormone levels related to energy homeostasis in healthy young men. Methods: The study was randomised, double-blind and placebo-controlled (Placebo group, PL, n = 20; ashwagandha, A, n = 18). HIIT was conducted on a rowing ergometer (3 times per week, 5–7 series of 1.5 min at 85–95% of maximum power, with intervals of 1.5 min at 70 W). Body composition (BIA, Tanita TBF 300P), serum lipid profile (tChol, HDL-cholesterol, LDL-cholesterol, TG) and serum levels of adiponectin, asprosin and irisin were analysed before (term 1) and after the8-week study (term 2). Both the lipid and hormonal profiles were measured in three time points: pre- and post-graded exercise test and after 24 h recovery period. Results: Analysis showed no effect of training or supplementation on body composition and lipid profile (p > 0.05). In turn, the 8-week HIIT decreased resting levels of adiponectin and increased irisin levels post-exercise and after 24 h (p < 0.05). Conclusions: In young, healthy men, an 8-week HIIT programme significantly affects selected hormones related to energy metabolism of adipose (adiponectin) and muscle (irisin) tissues, but ashwagandha supplementation did not significantly affect any of the hormonal parameters analysed.
Full article
(This article belongs to the Special Issue Functional Foods and Physical Exercise: A Winning Combination for Health)
Open AccessArticle
Regular or Irregular Breakfast Skipping Suppresses the Vascular Endothelial Function of the Brachial Artery
by
Hideaki Kashima, Yui Morinaka, Kano Endo, Mizuki Sugimoto, Naho Nagao, Ryota Mabuchi, Masako Yamaoka Endo, Naomi Kashima, Yasuhiko Kitadai, Akira Miura and Yoshiyuki Fukuba
Nutrients 2025, 17(20), 3244; https://doi.org/10.3390/nu17203244 - 15 Oct 2025
Abstract
Background: Habitual breakfast skipping is associated with an increased risk of cardiovascular and cardiometabolic diseases. However, the effects of skipping breakfast regularly versus irregularly on vascular endothelial function (VEF), a key marker of cardiovascular health, remain unclear. This study aimed to investigate the
[...] Read more.
Background: Habitual breakfast skipping is associated with an increased risk of cardiovascular and cardiometabolic diseases. However, the effects of skipping breakfast regularly versus irregularly on vascular endothelial function (VEF), a key marker of cardiovascular health, remain unclear. This study aimed to investigate the effects of eight-Day regular or irregular breakfast skipping on brachial artery VEF in healthy habitual breakfast eaters using a three-condition, randomized controlled crossover trial. Methods: Ten young healthy adults (seven females, three males) completed three randomized nine-Day trials: (1) Eat (three meals per day), (2) Skip (breakfast skipped on days 1–8, consumed on Day 9), and (3) Eat/Skip (alternating breakfast consumption and skipping). Flow-mediated dilation (FMD) of the right brachial artery was assessed at 7:45–55 am on days 1, 2, 5, and 9, expressed as the percentage change in the brachial artery diameter normalized to the shear rate area under the curve (Δ%FMD/SRAUC). Blood samples were collected before and 30 min after breakfast or lunch for glucose, insulin, free fatty acids, and triglyceride analyses. Insulin resistance was estimated using the homeostasis model assessment of insulin resistance calculated from fasting glucose and fasting insulin values. Objective measurements of sleep, physical activity, and continuous glucose monitoring were obtained. Results: On Day 9, the Skip and Eat/Skip trials had significantly lower %FMD/SRAUC and significantly higher levels of fasting plasma insulin than the Eat trial. Exploratory analyses within the Skip and Eat/Skip trials suggested a weak negative association between changes in %FMD/SRAUC and fasting blood glucose and insulin from day 1 to day 9. Conclusions: These findings suggest that both regular and irregular breakfast skipping may impair early morning VEF, possibly through alterations in glucose metabolism, whereas regular breakfast consumption may help preserve VEF and support cardiovascular health. Clinical Trial Registry: Clinical Trial Registry: University Hospital Medical Information Network (UMIN000053117, registered 20 December 2023).
Full article
(This article belongs to the Section Nutrition and Metabolism)
►▼
Show Figures

Figure 1
Open AccessArticle
Association Between Mediterranean Diet Consumption and the Physical and Mental Components of HRQL in Community-Dwelling Older Adults in Valencia
by
Pilar Pérez-Ros, Ayde Rios-Corral and Omar Cauli
Nutrients 2025, 17(20), 3243; https://doi.org/10.3390/nu17203243 - 15 Oct 2025
Abstract
Background/Objectives: The relationship between health-related quality of life (HRQL) in community-dwelling older adults and the consumption of foods typical of the Mediterranean diet (MD) has not been studied. The main objective of this study was to determine which MD foods, as well as
[...] Read more.
Background/Objectives: The relationship between health-related quality of life (HRQL) in community-dwelling older adults and the consumption of foods typical of the Mediterranean diet (MD) has not been studied. The main objective of this study was to determine which MD foods, as well as overall MD adherence, are associated with HRQL in community-dwelling older adults, taking into account both physical and mental components. Methods: A cross-sectional study was conducted including community-dwelling older adults aged 60 years or over. Sociodemographic variables, the Spanish version of the SF-12v2 quality-of-life questionnaire (physical and mental component scores), and data on the consumption of MD foods and adherence to the Mediterranean Diet Adherence Screener (MEDAS) were collected. Two binary logistic regression models, adjusted for age and sex, were fitted to analyse which food types included in the MEDAS questionnaire were significantly associated with a higher probability of having good physical and mental components of HRQL. Results: A total of 285 participants were recruited, with a mean age of 74.97 (SD 5.75) years, predominantly female (87.7%, n = 250) and 36.3% (n = 104) lived alone. The sample showed low physical quality of life [PCS-12: 42.88 IQR (33.61–51.09)], moderately good mental quality of life [MCS-12: 51.09 (39.97–57.42)] and good adherence to the Mediterranean diet [MEDAS: 9 (8–10)]. Binary logistic regression for PCS-12 showed that younger age, the joint consumption of less than one serving of butter per day, less than one cup of sugar-sweetened beverages per day and two or more servings of vegetables per day were significantly (p < 0.05) associated with good physical quality of life. Similarly, living alone, four or more tablespoons of olive oil per day and less than 2 servings of desserts per week were associated with good mental quality of life (MCS-12). Conclusions: The Mediterranean diet is related to physical and mental quality of life in older adults, with the consumption of specific foods within the MD showing significant associations in multivariate analyses. Identifying the items that are most closely related to good physical and mental health is key to promoting healthy lifestyle habits that are directly linked to improving quality of life from a holistic perspective. Understanding the associations between quality of life and consumption or avoidance of certain foods could help inform future nutritional interventions aimed at improving both physical and mental health in older adults.
Full article
(This article belongs to the Special Issue Association between Nutrition, Diet Quality, Dietary Patterns, and Human Health and Diseases—2nd Edition)
►▼
Show Figures

Figure 1
Open AccessArticle
Sesaminol Inhibits Adipogenesis by Suppressing Mitotic Clonal Expansion and Activating the Nrf2-ARE Pathway
by
Saki Nakamatsu, Miki Nakata, Toshio Norikura, Yutaro Sasaki, Isao Matsui-Yuasa, Ayano Omura, Kunio Kiyomoto and Akiko Kojima-Yuasa
Nutrients 2025, 17(20), 3242; https://doi.org/10.3390/nu17203242 - 15 Oct 2025
Abstract
Background: As a key contributor to metabolic disorders, obesity is recognized as a critical global health challenge. Adipocyte differentiation depends on the mitotic clonal expansion (MCE) phase, which is controlled by oxidative balance and transcription factors like C/EBPβ. Sesaminol, a lignan derived from
[...] Read more.
Background: As a key contributor to metabolic disorders, obesity is recognized as a critical global health challenge. Adipocyte differentiation depends on the mitotic clonal expansion (MCE) phase, which is controlled by oxidative balance and transcription factors like C/EBPβ. Sesaminol, a lignan derived from Sesamum indicum, has potent antioxidant properties. This study aimed to investigate whether sesaminol suppresses adipogenesis by modulating ROS signaling, MCE, and the Nrf2-ARE pathway. Methods: In the early period of adipogenic induction, 3T3-L1 preadipocytes received treatment with sesaminol. Adipogenic development was evaluated through Oil Red O staining together with the assay of GPDH activity. Assays of cell proliferation and expression of cell cycle-related proteins, along with ROS measurement, qRT-PCR, Western blotting, and immunofluorescence, were performed to evaluate the effects on oxidative stress, transcriptional regulation, and AMPK-Nrf2 signaling. Results: Sesaminol significantly inhibited lipid accumulation and GPDH activity without cytotoxicity. It suppressed MCE by inhibiting DNA synthesis and reducing the expression of cyclin E1/E2 and CDK2. Sesaminol decreased C/EBPβ expression and its nuclear localization, resulting in lower levels of C/EBPα and PPARγ. It also reduced intracellular ROS, promoted nuclear translocation of Nrf2, and upregulated antioxidant genes HO-1 and GCLC. AMPK phosphorylation was concurrently enhanced. Conclusions: Sesaminol inhibits early adipogenesis by suppressing ROS-mediated MCE and activating the AMPK-Nrf2-ARE signaling pathway, leading to downregulation of key adipogenic transcription factors. The present study supports the potential of sesaminol as an effective strategy for obesity prevention.
Full article
(This article belongs to the Special Issue Polyphenols in Foods and Their Impact on Human Health and Diseases)
►▼
Show Figures

Figure 1
Open AccessArticle
Interaction Between First-Trimester Energy-Adjusted Dietary Inflammatory Index and Educational Level on the Risk of Anemia During the Second and Third Trimesters: A Prospective Cohort Study
by
Fan Xia, Cong Huang, Zhitan Zhang, Junwei He, Hongzhuan Tan, Tingting Wang, Lizhang Chen, Mengshi Chen and Jing Deng
Nutrients 2025, 17(20), 3241; https://doi.org/10.3390/nu17203241 - 15 Oct 2025
Abstract
Objectives: The aim of this cohort study was to assess the associations of first-trimester energy-adjusted Dietary Inflammatory Index (E-DII) and maternal educational level with anemia during the second and third trimesters, as well as their potential interactions. Methods: This study enrolled
[...] Read more.
Objectives: The aim of this cohort study was to assess the associations of first-trimester energy-adjusted Dietary Inflammatory Index (E-DII) and maternal educational level with anemia during the second and third trimesters, as well as their potential interactions. Methods: This study enrolled 562 eligible pregnant women. Multivariable modified Poisson regression with robust variance was used to assess the associations of first-trimester E-DII and maternal educational level with anemia during the second and third trimesters. Restricted cubic splines (RCS) explored nonlinear associations, while additive and multiplicative interaction models evaluated the interaction between first-trimester E-DII and maternal education. Results: The participants, with a mean age of 29.45 ± 4.28 years, had an anemia incidence of 14.59% during the second and third trimesters. In fully adjusted models, higher first-trimester E-DII (T3 vs. T1) significantly increased anemia risk (RR = 2.30, 95% CI: 1.36–3.90). Lower education (below bachelor’s degree) independently elevated anemia risk (RR = 2.27, 95% CI: 1.52–3.39). RCS revealed no significant nonlinear relationship between the E-DII and anemia (p > 0.05). Although no significant multiplicative interaction was observed, a positive additive interaction was identified between first-trimester E-DII and educational level on the risk of anemia after adjustment for covariates, including age, ethnicity, pre-pregnancy BMI, employment, and baseline serum iron, among others. The measures of additive interaction were statistically significant: RERI = 4.64 (95% CI: 1.51–11.34), AP = 0.68 (95% CI: 0.26–0.86), and S = 4.91 (95% CI: 1.16–20.69) (all p < 0.05). Conclusions: First-trimester pro-inflammatory diets and lower educational attainment independently predicted anemia during the second and third trimesters and demonstrated a significant positive additive interaction. Combined nutritional and educational interventions integrated into prenatal care targeting pregnant women with limited education could effectively reduce anemia in pregnancy and improve perinatal outcomes.
Full article
(This article belongs to the Special Issue Advances in Maternal Diet and Diet-Related Lifestyles with Maternal and Child Health)
►▼
Show Figures

Figure 1
Open AccessArticle
Impact of a Transition Clinic on Long-Term Care and Nutritional Management in Patients with Inborn Errors of Metabolism
by
Everardo Josué Díaz-López, Antia Fernández-Pombo, Álvaro Hermida-Ameijeiras, Eva Gómez-Vázquez, Gemma Rodríguez-Carnero, Noemí Jiménez-López, Rocío Villar-Taibo, Ana Cantón-Blanco, Virginia Muñoz-Leira, Paula Sánchez-Pintos, Maria-Luz Couce and Miguel A. Martínez Olmos
Nutrients 2025, 17(20), 3240; https://doi.org/10.3390/nu17203240 - 15 Oct 2025
Abstract
Background/Objectives: The transition from pediatric to adult care in inborn errors of metabolism (IEM) is considered important to ensure continuity of care, adherence to treatment, and long-term metabolic control. However, transition processes are often delayed, and standardized protocols are lacking, which can
[...] Read more.
Background/Objectives: The transition from pediatric to adult care in inborn errors of metabolism (IEM) is considered important to ensure continuity of care, adherence to treatment, and long-term metabolic control. However, transition processes are often delayed, and standardized protocols are lacking, which can negatively impact patient outcomes. This study aimed to evaluate the impact of structured transition consultations on adult care engagement, nutritional management, and follow-up adherence in patients with IEM. Methods: This retrospective study included 160 patients (59.4% women) diagnosed with IEM and with a mean age of 36.2 ± 11.6 years. Patients were divided into two groups: those who underwent a structured transition consultation (n = 41) and those who did not (n = 119). Data on demographic and clinical characteristics, dietary management, and follow-up adherence were collected. Results: Patients who underwent structured transition consultations were significantly younger at diagnosis (1 [IQR 131] months vs. 66 [IQR 359] months, p = 0.001) and at their first adult visit (24.4 ± 9.5 vs. 32.3 ± 10.6 years, p < 0.001) compared to those who did not. Neonatal screening (45% of the overall cohort) was more common among these patients (65.9% vs. 37.8%, p = 0.007) suggesting a trend toward smoother integration into adult care. The absence of dietary records was considerably more frequent in the non-transition group (43.7% vs. 17.1%), with a significant crude association (p = 0.007) that was attenuated after age adjustment (p = 0.064). Overall follow-up adherence was high (88.1%) and comparable between groups. Conclusions: Structured transition consultations in patients with IEM were associated with earlier participation in adult care, better maintenance of dietary records, and high overall follow-up adherence, even among younger patients typically at higher risk of disengagement.
Full article
(This article belongs to the Special Issue Dietary Management for Patients with Inborn Errors of Metabolism)
►▼
Show Figures

Figure 1
Open AccessArticle
L-Arginine Supplementation Improves Endurance Under Chronic Fatigue: Inducing In Vivo Paradigms with In Vitro Support
by
Somin Lee, Woo Nam, Kyu Sup An, Eun-Ji Cho, Yong-Min Choi and Hyeon Yeol Ryu
Nutrients 2025, 17(20), 3239; https://doi.org/10.3390/nu17203239 - 15 Oct 2025
Abstract
Background: L-arginine is a conditionally essential amino acid that serves as a substrate for nitric oxide synthase and regulates energy metabolism. While its ergogenic effects have been proposed, the mechanisms underlying its anti-fatigue properties are not fully understood. Methods: Male ICR mice were
[...] Read more.
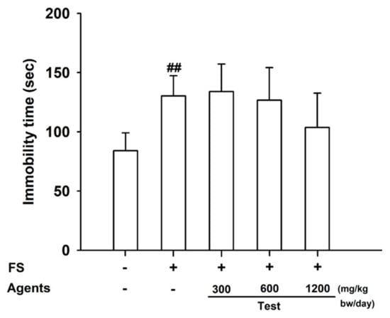
Background: L-arginine is a conditionally essential amino acid that serves as a substrate for nitric oxide synthase and regulates energy metabolism. While its ergogenic effects have been proposed, the mechanisms underlying its anti-fatigue properties are not fully understood. Methods: Male ICR mice were orally administered L-arginine (300, 600, or 1200 mg/kg bw/day) for 28 days. Fatigue was chronically induced using twice-weekly forced swimming or treadmill running, and fatigue resistance was then assessed under these paradigms. Blood, skeletal muscle, and liver were analyzed for biomarkers including glucose, lactate, LDH, CPK, NEFA, ammonia, glycogen, nitric oxide, cortisol, and antioxidant enzymes. In parallel, C2C12 myoblasts were treated with L-arginine under proliferative and differentiated conditions to assess hexokinase (HK) activity, myogenin expression, and ROS generation. Results: In vivo, L-arginine decreased serum LDH, CPK, NEFA, ammonia, nitric oxide, and cortisol, while enhancing blood glucose and glycogen storage in both muscle and liver. Forced swimming reduced serum lactate, whereas treadmill exercise elevated intramuscular lactate, suggesting context-dependent lactate regulation. Importantly, L-arginine did not significantly improve forced-swimming immobility time, whereas treadmill time-to-exhaustion increased at the highest dose. Antioxidant responses were improved, as reflected by normalized hepatic catalase activity. In vitro, L-arginine increased HK activity, promoted myogenin expression, and reduced ROS levels, supporting improved glucose utilization, muscle differentiation, and oxidative stress resistance. Conclusions: These findings demonstrate that L-arginine supplementation under chronic fatigue-inducing paradigms improves endurance and alleviates fatigue by enhancing energy metabolism, preserving glycogen, reducing muscle injury, and attenuating oxidative stress. L-arginine shows potential as a functional ingredient for promoting exercise performance and recovery.
Full article
(This article belongs to the Section Nutrition and Metabolism)
►▼
Show Figures

Figure 1

Journal Menu
► ▼ Journal Menu-
- Nutrients Home
- Aims & Scope
- Editorial Board
- Reviewer Board
- Topical Advisory Panel
- Instructions for Authors
- Special Issues
- Topics
- Sections & Collections
- Article Processing Charge
- Indexing & Archiving
- Editor’s Choice Articles
- Most Cited & Viewed
- Journal Statistics
- Journal History
- Journal Awards
- Society Collaborations
- Conferences
- Editorial Office
Journal Browser
► ▼ Journal BrowserHighly Accessed Articles
Latest Books
E-Mail Alert
News
Topics
Topic in
Agriculture, Economies, Foods, Land, Water, Nutrients
Food Security and Healthy Nutrition
Topic Editors: Xinru Han, Ehsan Elahi, Guo WeiDeadline: 31 October 2025
Topic in
Biomolecules, Cancers, IJMS, Nutrients, Antioxidants
Advances in Adiponectin
Topic Editors: Puran S. Bora, Mayank ChoubeyDeadline: 24 November 2025
Topic in
Cancers, Children, Nutrients
Nutrition and Health During and After Childhood Cancer
Topic Editors: Valérie Marcil, Joya ChandraDeadline: 15 December 2025
Topic in
Applied Microbiology, Fermentation, Foods, Microbiology Research, Microorganisms, Nutrients
News and Updates on Probiotics
Topic Editors: Alessandra Pino, Mutamed AyyashDeadline: 31 December 2025

Conferences
Special Issues
Special Issue in
Nutrients
Hot Topics in Nutrition and Obesity
Guest Editors: Javier Gómez-Ambrosi, Victoria CatalánDeadline: 20 October 2025
Special Issue in
Nutrients
Maternal Nutrition, Metabolic Factors and Offspring Health
Guest Editor: Zhaomin LiuDeadline: 20 October 2025
Special Issue in
Nutrients
Nutritional and Dietary Interventions to Improve Cardiovascular Outcomes
Guest Editor: Marilyn NehlsDeadline: 20 October 2025
Special Issue in
Nutrients
Interactions of Intestinal Microbiomes, Hosts and Nutritional Factors Involved in Liver Physiology
Guest Editor: Francesca Romana PonzianiDeadline: 20 October 2025
Topical Collections
Topical Collection in
Nutrients
Connection between Microbiome, Lifestyle and Diet
Collection Editors: Eva Untersmayr, Peter M. Abuja
Topical Collection in
Nutrients
Diet and Multi-Omics
Collection Editors: Mohsen Mazidi, Richard Webb
Topical Collection in
Nutrients
Plant-Based Diets in Sports Nutrition and Performance
Collection Editors: D. Enette Larson-Meyer, Heidi Lynch
Topical Collection in
Nutrients
Clinical Nutrition in Kidney Disease
Collection Editor: Piergiorgio BolascoConference Reports
Nutrients 2024, 16(15), 2528; https://doi.org/10.3390/nu16152528
Nutrients 2024, 16(8), 1157; https://doi.org/10.3390/nu16081157