-
A Novel Railgun-Based Actuation System for Ultrafast DC Circuit Breakers in EV Fast-Charging Applications -
The Impact of Weight Distribution in Heavy Battery Electric Vehicles on Pavement Performance: A Preliminary Study -
Equity Considerations in Public Electric Vehicle Charging: A Review -
Efficient Drone Data Collection in WSNs: ILP and mTSP Integration with Quality Assessment -
Enhancing Thermal Comfort and Efficiency in Fuel Cell Trucks: A Predictive Control Approach for Cabin Heating
Journal Description
World Electric Vehicle Journal
World Electric Vehicle Journal
is the first peer-reviewed, international, scientific journal that comprehensively covers all studies related to battery, hybrid, and fuel cell electric vehicles. The journal is owned by the World Electric Vehicle Association (WEVA) and its members, the E-Mobility Europe, Electric Drive Transportation Association (EDTA), and Electric Vehicle Association of Asia Pacific (EVAAP). It has been published monthly online by MDPI since Volume 9, Issue 1 (2018).
- Open Access— free for readers, with article processing charges (APC) paid by authors or their institutions.
- High Visibility: indexed within Scopus, ESCI (Web of Science), Ei Compendex, and other databases.
- Journal Rank: JCR - Q2 (Engineering, Electrical and Electronic) / CiteScore - Q2 (Automotive Engineering)
- Rapid Publication: manuscripts are peer-reviewed and a first decision is provided to authors approximately 17.6 days after submission; acceptance to publication is undertaken in 2.9 days (median values for papers published in this journal in the first half of 2025).
- Recognition of Reviewers: reviewers who provide timely, thorough peer-review reports receive vouchers entitling them to a discount on the APC of their next publication in any MDPI journal, in appreciation of the work done.
Impact Factor:
2.6 (2024)
Latest Articles
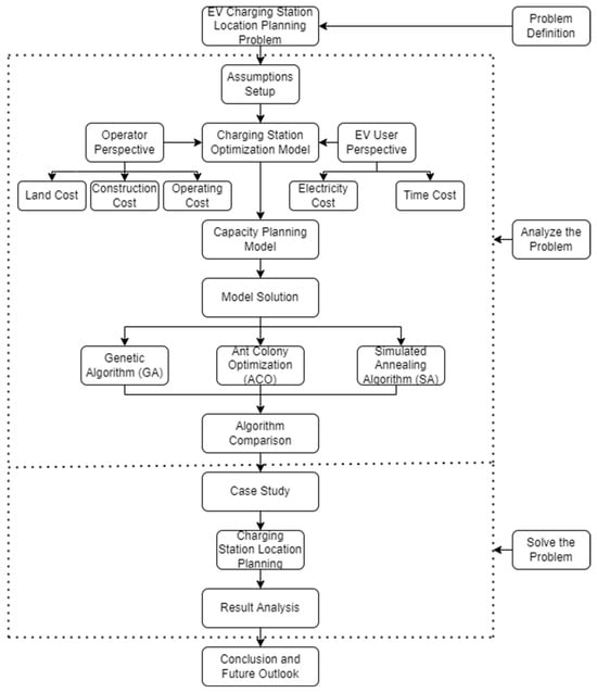
Towards Sustainable EV Infrastructure: Site Selection and Capacity Planning with Charger Type Differentiation and Queuing-Theoretic Modeling
World Electr. Veh. J. 2025, 16(11), 600; https://doi.org/10.3390/wevj16110600 (registering DOI) - 29 Oct 2025
Abstract
The rapid adoption of electric vehicles (EVs) requires efficient charging infrastructure planning. This study proposes a multi-objective optimization model for siting and capacity planning of EV charging stations, distinguishing between fast and slow chargers. The model integrates investment, dynamic electricity costs, and user
[...] Read more.
The rapid adoption of electric vehicles (EVs) requires efficient charging infrastructure planning. This study proposes a multi-objective optimization model for siting and capacity planning of EV charging stations, distinguishing between fast and slow chargers. The model integrates investment, dynamic electricity costs, and user experience, factoring in congestion-adjusted travel distances, time-of-use pricing, and queuing delays using an enhanced M/M/c approach. A comparison of algorithm reveals that the simulated annealing (SA) algorithm outperforms the genetic algorithm (GA) and ant colony optimization (ACO) in minimizing total costs. A case study in Changchun’s urban core demonstrates the model’s applicability, resulting in an optimal plan of 15 stations with 110 fast and 40 slow chargers, providing 11,544 kVA capacity at an annual cost of 38.2651 million yuan. Compared to traditional models that ignore charger types and simplify delays, the proposed model reduces total system costs by 4.31%, investment costs by 5.31%, and user costs by 3%, while easing delays in high-demand areas. This framework provides practical insights for urban planners and policymakers, helping balance investment and user satisfaction, and promoting sustainable EV mobility.
Full article
(This article belongs to the Section Charging Infrastructure and Grid Integration)
►
Show Figures
Open AccessArticle
The Design Optimization of a Harmonic-Excited Synchronous Machine Operating in the Field-Weakening Region
by
Vladimir Prakht, Vladimir Dmitrievskii, Vadim Kazakbaev, Eduard Valeev and Victor Goman
World Electr. Veh. J. 2025, 16(11), 599; https://doi.org/10.3390/wevj16110599 (registering DOI) - 29 Oct 2025
Abstract
In this paper, the optimization of a harmonic-excited synchronous machine (HESM) is carried out. A two-phase harmonic exciter winding of the HESM provides brushless excitation and sufficient starting torque at any rotor position. The HESM under consideration is intended to be used for
[...] Read more.
In this paper, the optimization of a harmonic-excited synchronous machine (HESM) is carried out. A two-phase harmonic exciter winding of the HESM provides brushless excitation and sufficient starting torque at any rotor position. The HESM under consideration is intended to be used for applications requiring speed control, especially in the field-weakening region. The novelty of the proposed approach is that a two-level optimization based on a two-stage model is used to reduce the computational burden. It includes a finite-element model that takes into account only the fundamental current harmonic (basic model). Using the output of the basic model, a reduced-order model (ROM) is parametrized. The ROM considers pulse-width-modulated components of the inverter output current, zero-sequence current injected into the stator winding, and harmonic excitation winding currents. A two-level optimization technique is developed based on the Nelder–Mead method, taking into account the significantly different computational complexity of the basic and reduced-order models. Optimization is performed considering two operating points: base and maximum speed. The results show that an optimized design provides significantly higher efficiency and reduced inverter power requirements. This allows the use of more compact and cheaper power switches. Therefore, the advantage of the presented approach lies in the computationally effective optimization of HESMs (optimization time is reduced by approximately three orders of magnitude compared to calculations using FEA alone), which enhances HESMs’ performance in various applications.
Full article
(This article belongs to the Special Issue Design, Analysis and Optimization of Electrical Machines and Drives for Electric Vehicles, 2nd Edition)
►▼
Show Figures

Figure 1
Open AccessArticle
Structural Safety Performance Simulation Analysis of a Certain Electric Vehicle Battery Pack Based on Multi-Working-Condition Safety Evaluation
by
Jinbo Wang, Wei Liao, Weihai Zhang and Tingwei Du
World Electr. Veh. J. 2025, 16(11), 598; https://doi.org/10.3390/wevj16110598 (registering DOI) - 29 Oct 2025
Abstract
This study takes the power battery pack of a pure electric vehicle as the research object, focusing on safety—a core concern widely emphasized in the automotive industry. In practical application scenarios, evaluating the safety of the power battery pack through a single operating
[...] Read more.
This study takes the power battery pack of a pure electric vehicle as the research object, focusing on safety—a core concern widely emphasized in the automotive industry. In practical application scenarios, evaluating the safety of the power battery pack through a single operating condition fails to fully reflect its comprehensive safety performance throughout the vehicle’s entire life cycle. To overcome this limitation, a systematic analysis process was established. First, Catia geometric modeling software was used to simplify the battery pack structure, and HyperMesh was then employed for mesh generation. Second, three core analyses were conducted: static analysis, modal analysis, and extrusion condition analysis. A multi-condition safety evaluation system for electric vehicle battery packs during computer simulation analysis was proposed, which evaluates the battery pack from three dimensions: “dynamic stiffness-static strength-extrusion safety”. Results show that: modal analysis reveals the battery pack’s low-order natural frequencies exceed the vehicle’s excitation frequency (excitation point on the case cover); static analysis confirms it meets operational requirements; extrusion verification proves its safety complies with new national standards. The coupling effect of this multi-dimensional analysis breaks through the limitations of safety performance evaluation under a single operating condition, more realistically reflecting the battery pack’s comprehensive safety over its life cycle and providing a more systematic basis for power battery pack optimization.
Full article
(This article belongs to the Section Storage Systems)
►▼
Show Figures

Figure 1
Open AccessArticle
Experimental Study on Low-Temperature Thermal Management of Lithium Battery with Pulsating Heat Pipe
by
Keyong Li and Xianchao Wang
World Electr. Veh. J. 2025, 16(11), 597; https://doi.org/10.3390/wevj16110597 (registering DOI) - 29 Oct 2025
Abstract
To address the serious decline in charge and discharge performance of lithium batteries in low temperatures, this paper proposes a thermal management scheme with pulsating heat pipes, which effectively achieves the advantages of pulsating heat transfer in heat pipes and large-scale equalization heating
[...] Read more.
To address the serious decline in charge and discharge performance of lithium batteries in low temperatures, this paper proposes a thermal management scheme with pulsating heat pipes, which effectively achieves the advantages of pulsating heat transfer in heat pipes and large-scale equalization heating in aluminum plates. Optimal energy consumption thermal management strategies (OECTMS) and optimal performance thermal management strategies (OPTMS) were proposed. The OECTMS aims to reduce the system energy consumption while ensuring thermal management performance, whereas the OPTMS is intended to maximize the performance of the heating system, ensuring that lithium batteries achieve optimal thermal and electrical performance. Experimental results show that in low-temperature discharge scenarios (−10 °C, −20 °C, and −30 °C), compared with batteries without TMS, the OECTMS implements intermittent heating for the battery, achieving discharge capacities as high as 60.06 Ah, 54.76 Ah, and 48.66 Ah, which correspond to increases of 10.67%, 14.11%, and 29.83%, respectively. For the OPTMS, which applies continuous heating to the battery, the discharge capacities are increased by 19.5%, 23.7%, and 56.6% compared with batteries without TMS at a 0.5C rate. Notably, the battery with the OPTMS, which originally could not discharge at all under −30 °C, achieves a discharge capacity of 61.55 Ah, exhibiting a higher discharge capacity at a 1.5C rate. Furthermore, compared with the OECTMS, the battery temperature under the OPTMS is consistently maintained above 0 °C, and the temperature changes stably throughout the discharge process without temperature spikes. This manuscript introduces pulsating heat pipe technology and proposes a novel low-temperature thermal management scheme and provides new insights for the efficient operation of lithium batteries in low-temperature environments.
Full article
(This article belongs to the Section Storage Systems)
►▼
Show Figures

Figure 1
Open AccessArticle
The Reverse Path Tracking Control of Articulated Vehicles Based on Nonlinear Model Predictive Control
by
Pengcheng Liu, Guoxing Bai, Zeshuo Liu, Yu Meng and Fusheng Zhang
World Electr. Veh. J. 2025, 16(11), 596; https://doi.org/10.3390/wevj16110596 (registering DOI) - 29 Oct 2025
Abstract
Mining articulated vehicles (MAVs) are widely used as primary transportation equipment in both underground and open-pit mines. These include various machines such as Load–Haul–Dump machines and mining trucks. Path tracking control for MAVs has been an important research topic. Most current research focuses
[...] Read more.
Mining articulated vehicles (MAVs) are widely used as primary transportation equipment in both underground and open-pit mines. These include various machines such as Load–Haul–Dump machines and mining trucks. Path tracking control for MAVs has been an important research topic. Most current research focuses on path tracking control during forward driving. However, there are relatively limited studies on reverse path tracking control. Reversing plays a crucial role in the operation of MAVs. Nevertheless, existing methods typically use the center of the front axle as the control point; therefore, the positioning system is usually installed at the front axle. In practice, however, this means the positioning system is actually located at the rear axle during reverse operations. While it is theoretically possible to infer the position and orientation of the front axle from the rear axle, a strong nonlinear relationship exists between the motion states of the front and rear axles, which introduces significant errors in the system. As a result, these existing methods are not suitable for reverse driving conditions. To address this issue, this paper proposes a nonlinear model predictive control (NMPC) method for path tracking during mining-articulated vehicle (MAV) reverse operations. This method innovatively reconstructs the reverse-motion model by selecting the center of the rear axle as the control point, effectively addressing the instability issues encountered in traditional control methods during reverse maneuvers without requiring additional positioning devices. A comparative analysis with other control strategies, such as NMPC for forward driving, reverse NMPC using the front axle model, and reverse linear model predictive control (LMPC), reveals that the proposed NMPC method achieves excellent control accuracy. Displacement and heading error amplitudes do not exceed 0.101 m and 0.0372 rad, respectively. The maximum solution time per control period is 0.007 s. In addition, as the complexity of the reverse path increases, it continues to perform excellently. Simulation results show that as the curvature of the U-shaped curve increases, the proposed NMPC method consistently maintains high accuracy under various operational conditions.
Full article
(This article belongs to the Special Issue Motion Planning and Control of Autonomous Vehicles)
►▼
Show Figures

Figure 1
Open AccessArticle
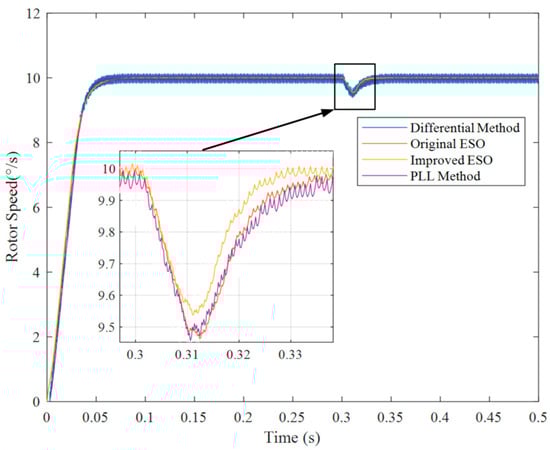
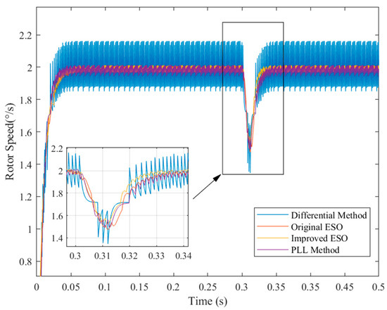
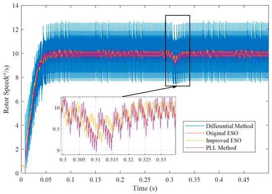
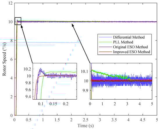
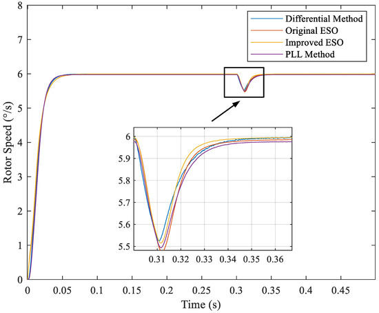
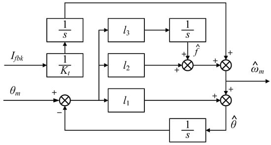
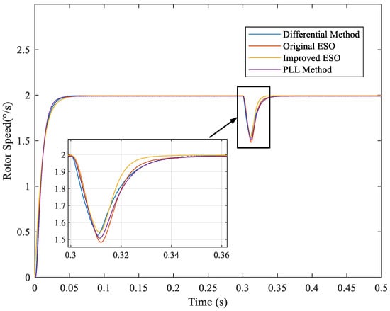
High-Precision Low-Speed Measurement for Permanent Magnet Synchronous Motors Using an Improved Extended State Observer
by
Runze Ji, Kai Liu, Yingsong Wang and Rana Md Sohel
World Electr. Veh. J. 2025, 16(11), 595; https://doi.org/10.3390/wevj16110595 - 28 Oct 2025
Abstract
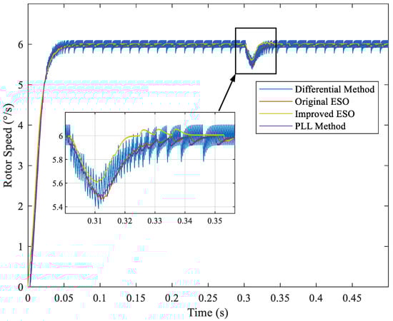
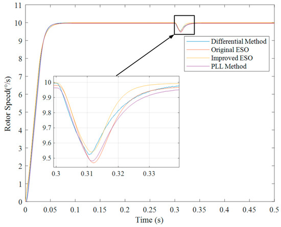
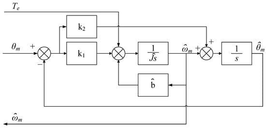
High-precision speed measurement at low speeds in PMSM drives is hindered by encoder quantization noise. This paper proposes an enhanced extended state observer (ESO)-based method to overcome limitations of conventional approaches such as direct differentiation with the low-pass filter (high noise), the phase-locked
[...] Read more.
High-precision speed measurement at low speeds in PMSM drives is hindered by encoder quantization noise. This paper proposes an enhanced extended state observer (ESO)-based method to overcome limitations of conventional approaches such as direct differentiation with the low-pass filter (high noise), the phase-locked loop (PLL)-based method (limited dynamic response), and standard ESO (sensitivity to disturbance). The improved ESO incorporates reference torque feedforward and disturbance feedback, significantly suppressing noise and enhancing robustness. Simulations and experiments demonstrate that the proposed method reduces steady-state speed fluctuation by up to 42% compared to standard ESO and over 90.1% relative to differentiation-based methods, while also improving transient performance. It exhibits superior accuracy and stability across various low-speed conditions, offering a practical solution for high-performance servo applications.
Full article
(This article belongs to the Section Propulsion Systems and Components)
►▼
Show Figures

Figure 1
Open AccessReview
Machine Learning Techniques for Battery State of Health Prediction: A Comparative Review
by
Leila Mbagaya, Kumeshan Reddy and Annelize Botes
World Electr. Veh. J. 2025, 16(11), 594; https://doi.org/10.3390/wevj16110594 - 28 Oct 2025
Abstract
Accurate estimation of the state of health (SOH) of lithium-ion batteries is essential for the safe and efficient operation of electric vehicles (EVs). Conventional approaches, including Coulomb counting, electrochemical impedance spectroscopy, and equivalent circuit models, provide useful insights but face practical limitations such
[...] Read more.
Accurate estimation of the state of health (SOH) of lithium-ion batteries is essential for the safe and efficient operation of electric vehicles (EVs). Conventional approaches, including Coulomb counting, electrochemical impedance spectroscopy, and equivalent circuit models, provide useful insights but face practical limitations such as error accumulation, high equipment requirements, and limited applicability across different conditions. These challenges have encouraged the use of machine learning (ML) methods, which can model nonlinear relationships and temporal degradation patterns directly from cycling data. This paper reviews four machine learning algorithms that are widely applied in SOH estimation: support vector regression (SVR), random forest (RF), convolutional neural networks (CNNs), and long short-term memory networks (LSTMs). Their methodologies, advantages, limitations, and recent extensions are discussed with reference to the existing literature. To complement the review, MATLAB-based simulations were carried out using the NASA Prognostics Center of Excellence (PCoE) dataset. Training was performed on three cells (B0006, B0007, B0018), and testing was conducted on an unseen cell (B0005) to evaluate cross-battery generalisation. The results show that the LSTM model achieved the highest accuracy (RMSE = 0.0146, MAE = 0.0118, R2 = 0.980), followed by CNN and RF, both of which provided acceptable accuracy with errors below 2% SOH. SVR performed less effectively (RMSE = 0.0457, MAPE = 4.80%), reflecting its difficulty in capturing sequential dependencies. These outcomes are consistent with findings in the literature, indicating that deep learning models are better suited for modelling long-term battery degradation, while ensemble approaches such as RF remain competitive when supported by carefully engineered features. This review also identifies ongoing and future research directions, including the use of optimisation algorithms for hyperparameter tuning, transfer learning for adaptation across battery chemistries, and explainable AI to improve interpretability. Overall, LSTM and hybrid models that combine complementary methods (e.g., CNN-LSTM) show strong potential for deployment in battery management systems, where reliable SOH prediction is important for safety, cost reduction, and extending battery lifetime.
Full article
(This article belongs to the Section Storage Systems)
►▼
Show Figures

Figure 1
Open AccessArticle
Technical Architecture and Control Strategy for Residential Community Orderly Charging Based on an Active Reservation Mechanism for Unconnected Charging Pile
by
Shuang Hao, Minghui Jia, Jian Zhang, Zhijie Zhang, Guoqiang Zu and Shaoxiong Li
World Electr. Veh. J. 2025, 16(11), 593; https://doi.org/10.3390/wevj16110593 - 24 Oct 2025
Abstract
The large-scale adoption of electric vehicles has created an urgent need for the orderly management of charging loads in residential communities. While existing research on community-based orderly charging architectures and control strategies primarily focuses on connected charging piles (CPs) equipped with remote power
[...] Read more.
The large-scale adoption of electric vehicles has created an urgent need for the orderly management of charging loads in residential communities. While existing research on community-based orderly charging architectures and control strategies primarily focuses on connected charging piles (CPs) equipped with remote power control functions. However, in practical scenarios, most residential communities still rely on unconnected charging piles (UCPs) that lack remote communication capabilities, making it difficult to practically deploy many intelligent orderly architectures and control strategies that rely on communication with charging piles. Therefore, this paper proposes a non-intrusive orderly charging architecture tailored for UCPs. This architecture does not require modifying the hardware of UCPs; instead, it introduces pile-end management units (PMUs) to interact with users for orderly charging, thereby facilitating easier deployment and promotion. Based on this architecture, an optimized control strategy using the GD-SA (greedy-simulated annealing) algorithm for orderly charging is constructed, which considers the dual constraints of transformer capacity and charging demand. Case studies on a typical community in Tianjin, China, demonstrate that with the proposed order charging architecture and strategy, when users fully accept the orderly charging approach, the peak load can be reduced by over 17% compared to uncontrolled charging scenarios. Additionally, the effectiveness of the method has been validated through sensitivity analysis of user acceptance, stress scenario testing, and statistical analysis with a 95% confidence interval. Finally, this paper summarizes the practical value potential of supporting UCPs in achieving orderly charging, while also pointing out the limitations of the current research and identifying directions for further in-depth exploration.
Full article
(This article belongs to the Section Charging Infrastructure and Grid Integration)
►▼
Show Figures

Figure 1
Open AccessArticle
Comparison of Advanced Predictive Controllers for IPMSMs in BEV and PHEV Traction Applications
by
Romain Cocogne, Sebastien Bilavarn, Mostafa El-Mokadem and Khaled Douzane
World Electr. Veh. J. 2025, 16(11), 592; https://doi.org/10.3390/wevj16110592 - 24 Oct 2025
Abstract
The adoption of Interior Permanent Magnet Synchronous Motor (IPMSM) in Battery Electric Vehicle (BEV) and Plug-in Hybrid Electric Vehicle (PHEV) drives the need for innovative approaches to improve control performance and power conversion efficiency. This paper aims at evaluating advanced Model Predictive Control
[...] Read more.
The adoption of Interior Permanent Magnet Synchronous Motor (IPMSM) in Battery Electric Vehicle (BEV) and Plug-in Hybrid Electric Vehicle (PHEV) drives the need for innovative approaches to improve control performance and power conversion efficiency. This paper aims at evaluating advanced Model Predictive Control (MPC) strategies for IPMSM drives in a methodic comparison with the most widespread Field Oriented Control (FOC). Different extensions of direct Finite Control Set MPC (FCS-MPC) and indirect Continuous Control Set MPC (CCS-MPC) MPCs are considered and evaluated in terms of reference tracking performance, robustness, power efficiency, and complexity based on Matlab, Simulink™ simulations. Results confirm the inherent better control quality of MPCs over FOC in general and allow us to further identify some possible directions for improvement. Moreover, indirect MPCs perform better, but complexity may prevent them from supporting real-time implementation in some cases. On the other hand, direct MPCs are less complex and reduce inverter losses but at the cost of increased Total Harmonic Distortion (THD) and decreased robustness to parameters deviations. These results also highlight various trade-offs between different predictive control strategies and their feasibility for high-performance automotive applications.
Full article
(This article belongs to the Section Propulsion Systems and Components)
►▼
Show Figures

Figure 1
Open AccessArticle
Research on Small Object Detection in Degraded Visual Scenes: An Improved DRF-YOLO Algorithm Based on YOLOv11
by
Yan Gu, Lingshan Chen and Tian Su
World Electr. Veh. J. 2025, 16(11), 591; https://doi.org/10.3390/wevj16110591 - 23 Oct 2025
Abstract
►▼
Show Figures
Object detection in degraded environments such as low-light and nighttime conditions remains a challenging task, as conventional computer vision techniques often fail to achieve high precision and robust performance. With the increasing adoption of deep learning, this paper aims to enhance object detection
[...] Read more.
Object detection in degraded environments such as low-light and nighttime conditions remains a challenging task, as conventional computer vision techniques often fail to achieve high precision and robust performance. With the increasing adoption of deep learning, this paper aims to enhance object detection under such adverse conditions by proposing an improved version of YOLOv11, named DRF-YOLO (Degradation-Robust and Feature-enhanced YOLO). The proposed framework incorporates three innovative components: (1) a lightweight Cross Stage Partial Multi-Scale Edge Enhancement (CSP-MSEE) module that combines multi-scale feature extraction with edge enhancement to strengthen feature representation; (2) a Focal Modulation attention mechanism that improves the network’s responsiveness to target regions and contextual information; and (3) a self-developed Dynamic Interaction Head (DIH) that enhances detection accuracy and spatial adaptability for small objects. In addition, a lightweight unsupervised image enhancement algorithm, Zero-DCE (Zero-Reference Deep Curve Estimation), is introduced prior to training to improve image contrast and detail, and Generalized Intersection over Union (GIoU) is employed as the bounding box regression loss. To evaluate the effectiveness of DRF-YOLO, experiments are conducted on two representative low-light datasets: ExDark and the nighttime subset of BDD100K, which include images of vehicles, pedestrians, and other road objects. Results show that DRF-YOLO achieves improvements of 3.4% and 2.3% in mAP@0.5 compared with the original YOLOv11, demonstrating enhanced robustness and accuracy in degraded environments while maintaining lightweight efficiency.
Full article

Figure 1
Open AccessArticle
Transmission Network Expansion Planning Method Based on Feasible Region Description of Virtual Power Plant
by
Li Guo, Guiyuan Xue, Zheng Xu, Wenjuan Niu, Chenyu Wang, Jiacheng Li, Huixiang Li and Xun Dou
World Electr. Veh. J. 2025, 16(11), 590; https://doi.org/10.3390/wevj16110590 - 23 Oct 2025
Abstract
►▼
Show Figures
In response to China’s “Dual Carbon” goals, this paper proposes a Transmission Network Expansion Planning (TNEP) model that explicitly incorporates the operational flexibility of Virtual Power Plants (VPPs). Unlike conventional approaches that focus mainly on transmission investment, the proposed method accounts for the
[...] Read more.
In response to China’s “Dual Carbon” goals, this paper proposes a Transmission Network Expansion Planning (TNEP) model that explicitly incorporates the operational flexibility of Virtual Power Plants (VPPs). Unlike conventional approaches that focus mainly on transmission investment, the proposed method accounts for the aggregated dispatchable capability of VPPs, providing a more accurate representation of distributed resources. The VPP aggregation model is characterized by the inclusion of electric vehicles, which act not only as load-side demand but also as flexible energy storage units through vehicle-to-grid interaction. By coordinating EV charging/discharging with photovoltaics, wind generation, and other distributed resources, the VPP significantly enhances system flexibility and provides essential support for grid operation. The vertex search method is employed to delineate the boundary of the VPP’s dispatchable feasible region, from which an equivalent model is established to capture its charging, discharging, and energy storage characteristics. This model is then integrated into the TNEP framework, which minimizes the comprehensive cost, including annualized line investment and the operational costs of both the VPP and the power grid. The resulting non-convex optimization problem is solved using the Quantum Particle Swarm Optimization (QPSO) algorithm. A case study based on the Garver-6 bus and Garver-18 bus systems demonstrates the effectiveness of the approach. The results show that, compared with traditional planning methods, strategically located VPPs can save up to 6.65% in investment costs. This VPP-integrated TNEP scheme enhances system flexibility, improves economic efficiency, and strengthens operational security by smoothing load profiles and optimizing power flows, thereby offering a more reliable and sustainable planning solution.
Full article

Figure 1
Open AccessArticle
A Comparative Study on the Acceptance of Autonomous Driving Technology by China and Europe: A Cross-Cultural Empirical Analysis Based on the Technology Acceptance Model
by
Yifan Yang, Ling Peng and Dan Wan
World Electr. Veh. J. 2025, 16(11), 589; https://doi.org/10.3390/wevj16110589 - 22 Oct 2025
Abstract
As the global automobile industry undergoes rapid intelligent transformation, understanding public acceptance of autonomous driving emerges as a critical research challenge. This study adopts the Technology Acceptance Model (TAM) as its theoretical framework to conduct a comparative analysis between China and Europe, two
[...] Read more.
As the global automobile industry undergoes rapid intelligent transformation, understanding public acceptance of autonomous driving emerges as a critical research challenge. This study adopts the Technology Acceptance Model (TAM) as its theoretical framework to conduct a comparative analysis between China and Europe, two major automotive markets and central arenas for the development of autonomous driving. It investigates how contextual factors—including policy support, infrastructure, social trust, and cultural values—influence acceptance patterns. The findings show that in China, strong policy guidance, rapid infrastructure deployment, and large-scale demonstration projects have substantially increased willingness to adopt, while the widespread use of L2-level systems has enhanced public familiarity with the technology. Nonetheless, high-profile accidents have also exposed vulnerabilities in public trust. In contrast, European consumers demonstrate a more cautious stance, emphasizing legal liability, data privacy, and ethical compliance, while simultaneously regarding autonomous driving as a means of achieving carbon reduction, traffic safety, and sustainable mobility. The results further indicate that in the European context, institutional guarantees and prior experience are decisive, with accident memory and institutional trust serving as critical moderators within TAM pathways.
Full article
(This article belongs to the Special Issue Recent Advances in Autonomous Vehicles)
►▼
Show Figures

Figure 1
Open AccessCorrection
Correction: Zhang et al. Design of Coordinated EV Traffic Control Strategies for Expressway System with Wireless Charging Lanes. World Electr. Veh. J. 2025, 16, 496
by
Yingying Zhang, Yifeng Hong and Zhen Tan
World Electr. Veh. J. 2025, 16(10), 588; https://doi.org/10.3390/wevj16100588 - 21 Oct 2025
Abstract
In the original publication [...]
Full article
Open AccessArticle
FPGA Implementation of Battery State-of-Charge Estimation Using Extended Kalman Filter and Dynamic Sampling
by
Seungjae Yun, Jeongju Jeon, Eunseong Lee, Taeyeon Jeong and Sunhee Kim
World Electr. Veh. J. 2025, 16(10), 587; https://doi.org/10.3390/wevj16100587 - 20 Oct 2025
Abstract
The rapid increase in the adoption of electric vehicles (EVs) has highlighted issues related to the safety and efficiency of lithium-ion batteries. This study implemented a hardware module to effectively estimate the state of charge (SOC), which is a core element of the
[...] Read more.
The rapid increase in the adoption of electric vehicles (EVs) has highlighted issues related to the safety and efficiency of lithium-ion batteries. This study implemented a hardware module to effectively estimate the state of charge (SOC), which is a core element of the battery management system (BMS), using an extended Kalman filter (EKF)-based approach. A method to reduce the power consumption during hardware design through adjustments to the sampling period according to the SOC range was proposed. The root mean square error was obtained as below 0.75, with only 2455 samples out of the 700,000 measurements, achieving a reduction of 99.65%. Following the evaluation of the accuracy of the software model, the results were compared through hardware implementation. Consequently, the performance was verified via synthesis using a DE2-115 FPGA board from Terasic in Taiwan.
Full article
(This article belongs to the Special Issue Electric Vehicles and Charging Facilities for a Sustainable Transport Sector)
►▼
Show Figures

Figure 1
Open AccessArticle
Analysis and Improvement of the Dynamic Characteristics of an Electro-Hydrostatic Actuator Based on a Vehicle’s Active Suspension
by
Peng Chen and Xing Chen
World Electr. Veh. J. 2025, 16(10), 586; https://doi.org/10.3390/wevj16100586 - 20 Oct 2025
Abstract
►▼
Show Figures
This study investigates the dynamic characteristics of electro-hydrostatic actuators (EHA), which serve as the core actuating element in vehicle active suspension systems, with the aim of enhancing overall system performance. The purpose of this research is to identify and address the factors limiting
[...] Read more.
This study investigates the dynamic characteristics of electro-hydrostatic actuators (EHA), which serve as the core actuating element in vehicle active suspension systems, with the aim of enhancing overall system performance. The purpose of this research is to identify and address the factors limiting EHA dynamic response. Through theoretical analysis from the perspectives of natural frequency properties and power demand, the study reveals that the natural frequency of the motor-pump assembly acts as the primary bottleneck, while insufficient motor output torque represents another major constraint. To overcome these limitations, a method is proposed involving increased maximum motor output torque and reduced rotational inertia of the motor-pump assembly. The feasibility of this approach is validated via frequency domain simulation analysis. Comparative simulations demonstrate that the enhanced EHA system exhibits significantly improved dynamic performance under both step and sinusoidal position commands compared to the baseline system. These findings provide important theoretical insights and practical directions for overcoming actuator performance limitations in vehicle active suspension systems.
Full article

Figure 1
Open AccessArticle
Fuzzy Control with Modified Fireworks Algorithm for Fuel Cell Commercial Vehicle Seat Suspension
by
Nannan Jiang and Xiaoliang Chen
World Electr. Veh. J. 2025, 16(10), 585; https://doi.org/10.3390/wevj16100585 - 17 Oct 2025
Abstract
Enhancing ride comfort and vibration control performance is a critical requirement for fuel cell commercial vehicles (FCCVs). This study develops a semi-active seat suspension control strategy that integrates a fuzzy logic controller with a Modified Fireworks Algorithm (MFWA) to systematically optimize fuzzy parameters.
[...] Read more.
Enhancing ride comfort and vibration control performance is a critical requirement for fuel cell commercial vehicles (FCCVs). This study develops a semi-active seat suspension control strategy that integrates a fuzzy logic controller with a Modified Fireworks Algorithm (MFWA) to systematically optimize fuzzy parameters. A seven-degree-of-freedom (7-DOF) half-vehicle model, including the magnetorheological damper (MRD)-based seat suspension system, is established in MATLAB/Simulink to evaluate the methodology under both random and bump road excitations. In addition, a hardware-in-the-loop (HIL) experimental validation was conducted, confirming the real-time feasibility and effectiveness of the proposed controller. Comparative simulations are conducted against passive suspension (comprising elastic and damping elements) and conventional PID control. Results show that the proposed MFWA-FL approach significantly improves ride comfort, reducing vertical acceleration of the human body by up to 49.29% and seat suspension dynamic deflection by 12.50% under C-Class road excitation compared with the passive system. Under bump excitations, vertical acceleration is reduced by 43.03% and suspension deflection by 11.76%. These improvements effectively suppress vertical vibrations, minimize the risk of suspension bottoming, and highlight the potential of intelligent optimization-based control for enhancing FCCV reliability and passenger comfort.
Full article
(This article belongs to the Section Propulsion Systems and Components)
►▼
Show Figures

Figure 1
Open AccessArticle
Trigger-Based PDCA Framework for Sustainable Grid Integration of Second-Life EV Batteries
by
Ganna Kostenko and Artur Zaporozhets
World Electr. Veh. J. 2025, 16(10), 584; https://doi.org/10.3390/wevj16100584 - 17 Oct 2025
Abstract
Second-life electric vehicle batteries (SLBs) represent a promising asset for enhancing grid flexibility and advancing circular economy objectives in the power sector. This paper proposes a conceptual trigger-based PDCA (Plan–Do–Check–Act) framework for the sustainable grid integration of SLBs, enabling adaptive operational control across
[...] Read more.
Second-life electric vehicle batteries (SLBs) represent a promising asset for enhancing grid flexibility and advancing circular economy objectives in the power sector. This paper proposes a conceptual trigger-based PDCA (Plan–Do–Check–Act) framework for the sustainable grid integration of SLBs, enabling adaptive operational control across diverse application scenarios. The framework combines lifecycle KPI monitoring, degradation and performance tracking, and economic feasibility assessment with trigger-driven dispatch logic. Technical, financial, and environmental indicators are systematically integrated into the four PDCA phases, providing a structured basis for adaptive management. To illustrate applicability, indicative KPI calculations are presented for three representative scenarios (HV Backup, RES Smoothing, and Frequency Regulation). These examples demonstrate how the framework supports scenario-based planning, performance evaluation, and decision-making under uncertainty. Compared with existing state-of-the-art approaches, which typically analyse technical or economic aspects in isolation, the proposed framework introduces a modular, multi-model architecture that aligns operational triggers with long-term sustainability goals. By embedding reuse-oriented strategies into an adaptive PDCA cycle, the study offers a clear and practical methodology for maximising SLB value while minimising degradation and environmental impacts. The framework provides a valuable reference framework for structured SLB deployment, supporting more resilient, cost-effective, and low-carbon energy systems.
Full article
(This article belongs to the Special Issue Power and Energy Systems for E-Mobility, 2nd Edition)
►▼
Show Figures

Figure 1
Open AccessArticle
Multidisciplinary Engineering Educational Programme Based on the Development of Photovoltaic Electric Vehicles
by
Daniel Rosas-Cervantes and José Fernández-Ramos
World Electr. Veh. J. 2025, 16(10), 583; https://doi.org/10.3390/wevj16100583 - 17 Oct 2025
Abstract
This study compares two methodologies for organising the working groups of a multidisciplinary project-based learning programme aimed at strengthening students’ transversal skills. The subject of the project was the design and manufacture of prototypes of light electric vehicles powered exclusively by photovoltaic energy.
[...] Read more.
This study compares two methodologies for organising the working groups of a multidisciplinary project-based learning programme aimed at strengthening students’ transversal skills. The subject of the project was the design and manufacture of prototypes of light electric vehicles powered exclusively by photovoltaic energy. The difference between the two methodologies was the way in which the tasks were distributed among the working groups. In the first method, each group of students specialised in one of the tasks and many of these tasks were carried out simultaneously. In the second method, the tasks were organised sequentially and all groups were involved in some part of them. The results have shown that the first method allows a higher net return on the students’ work and a greater reinforcement of the skills acquired in the project, while the second method requires a rather less complex organisation, enables a more balanced distribution of the students’ work, allows rapid progress in the acquisition of a greater number of practical skills and presents a greater opportunity for implementing multidisciplinary teaching.
Full article
(This article belongs to the Section Marketing, Promotion and Socio Economics)
►▼
Show Figures

Figure 1
Open AccessArticle
Position Sensorless Control of BLDCM Fed by FSTP Inverter with Capacitor Voltage Compensation
by
Hanrui Wang, Lu Zhou, Qinghui Meng, Ying Xin, Xinmin Li and Chen Li
World Electr. Veh. J. 2025, 16(10), 582; https://doi.org/10.3390/wevj16100582 - 15 Oct 2025
Abstract
Aiming at the commutation error in position sensorless control of brushless DC motors (BLDCMs) driven by four-switch three-phase (FSTP) inverters—caused by ignoring capacitor voltage fluctuations—this paper proposes a novel position sensorless control method based on voltage offset compensation. By independently performing PWM modulation
[...] Read more.
Aiming at the commutation error in position sensorless control of brushless DC motors (BLDCMs) driven by four-switch three-phase (FSTP) inverters—caused by ignoring capacitor voltage fluctuations—this paper proposes a novel position sensorless control method based on voltage offset compensation. By independently performing PWM modulation on the switches of the non-capacitor-connected phases (Phase a and Phase b), the method suppresses three-phase current distortion. Meanwhile, it calculates the terminal voltages using switch signals and constructs a G(θ) function independent of the motor speed. Based on the voltage compensation amount derived in this paper, the influence of capacitor voltage fluctuations on this function is compensated. According to the relationship between the extreme value jump edges of the G(θ) function (after voltage compensation) and the commutation points, the accurate commutation signals required for motor operation are determined. The proposed strategy eliminates the need for filters, which not only avoids phase delay but also is suitable for motor rotor position estimation over a wider speed range. Experimental results show that compared with the uncompensated method, the average commutation error is reduced from approximately 18° to less than 3° electrical angle. Under different operating conditions, the proposed method can always obtain uniform commutation signals and exhibits strong robustness.
Full article
(This article belongs to the Special Issue Vehicle Control and Drive Systems for Electric Vehicles)
►▼
Show Figures

Figure 1
Open AccessArticle
Research on Deep Adaptive Clustering Method Based on Stacked Sparse Autoencoders for Concrete Truck Mixers Driving Conditions
by
Ying Huang, Fachao Jiang and Haiming Xie
World Electr. Veh. J. 2025, 16(10), 581; https://doi.org/10.3390/wevj16100581 - 15 Oct 2025
Abstract
Existing standard driving conditions fail to accurately characterize the complex characteristics of heavy-duty commercial vehicles such as concrete truck mixers (CTMs), while traditional dimensionality reduction methods have strong empirical dependence and an insufficient ability to capture nonlinear relationships. To address these issues, a
[...] Read more.
Existing standard driving conditions fail to accurately characterize the complex characteristics of heavy-duty commercial vehicles such as concrete truck mixers (CTMs), while traditional dimensionality reduction methods have strong empirical dependence and an insufficient ability to capture nonlinear relationships. To address these issues, a novel method for constructing typical composite driving conditions that integrates deep feature learning and adaptive clustering is proposed. Firstly, a vehicle data monitoring system is used to collect real-world driving data, and a data processing and filtering criterion specific to CTMs is designed to provide effective input for feature extraction. Then, stacked sparse autoencoders (SSAE) are employed to extract deep features from normalized driving data. Finally, the K-means++ algorithm is improved using a nearest neighbor effective index minimization strategy to construct an adaptive driving condition clustering model. Validation results based on a real-world dataset of 8779 driving condition segments demonstrate that this method enables the precise extraction of complex driving condition features and optimal cluster partitioning. It provides a reliable basis for subsequent research on typical composite driving conditions construction and energy management strategies for heavy-duty commercial vehicles.
Full article
(This article belongs to the Section Vehicle and Transportation Systems)
►▼
Show Figures

Figure 1
Journal Menu
► ▼ Journal Menu-
- WEVJ Home
- Aims & Scope
- Editorial Board
- Topical Advisory Panel
- Instructions for Authors
- Special Issues
- Topics
- Sections
- Article Processing Charge
- Indexing & Archiving
- Editor’s Choice Articles
- Most Cited & Viewed
- Journal Statistics
- Journal History
- Journal Awards
- Society Collaborations
- Conferences
- Editorial Office
Journal Browser
► ▼ Journal BrowserHighly Accessed Articles
Latest Books
E-Mail Alert
News
Topics
Conferences
Special Issues
Special Issue in
WEVJ
Theory, Method and Application of New Energy and Intelligent Transportation
Guest Editors: Zonghai Chen, Zhiling Wang, Yujie Wang, Jikai Wang, Kailong LiuDeadline: 31 October 2025
Special Issue in
WEVJ
Recent Developments and Research in Vehicular Ad Hoc Networks (VANETs)
Guest Editors: Carolina Tripp-Barba, Luis Urquiza, José Alfonso Aguilar CalderónDeadline: 31 October 2025
Special Issue in
WEVJ
Exploring Beyond Electric Cars: Comprehensive Charging Solutions and Innovations in Land, Sea, and Air Mobility
Guest Editors: Sonia Yeh, Patrick PlötzDeadline: 31 October 2025
Special Issue in
WEVJ
Vehicle Safe Motion in Mixed Vehicle Technologies Environment
Guest Editors: Stergios Mavromatis, Yasser Hassan, George YannisDeadline: 31 October 2025





