Research on the Spatiotemporal Patterns of New Energy Vehicle Promotion Level in China
Abstract
1. Introduction
2. Study Area, Evaluation Index System, and Data Sources
2.1. Study Area
2.2. Evaluation Index System and Data Sources
- (1)
- NEV ownership refers to the total number of NEVs in use at a given point in time. A higher ownership level generally indicates stronger and more stable market demand, along with a more mature user base.
- (2)
- Annual NEV sales capture the year-on-year market expansion and reflect consumers’ willingness to adopt NEVs. Sales growth is typically associated with improved technological performance and enhanced policy support.
- (3)
- The number of public charging piles measures the availability of essential infrastructure for NEV operation. A greater charging density indicates a more complete charging network and contributes to improved usage convenience and market growth.
- (4)
- The vehicle-to-pile ratio is defined as the number of NEVs per public charging pile. This metric reflects the adequacy of charging infrastructure relative to vehicle ownership. A more balanced ratio improves the charging efficiency and mitigates infrastructure-related bottlenecks.
3. Research Methods
3.1. Entropy-TOPSIS Model
3.2. Spatial Distribution Analysis Model
3.3. Spatial Disparity Analysis Method
3.3.1. Dagum Gini Coefficient
3.3.2. Kernel Density Estimation
4. Results
4.1. Temporal Distribution Characteristics of NEVPL in China
4.2. Spatial Characteristics of NEVPL in China
5. Spatiotemporal Evolution Characteristic Analysis
5.1. Spatial Distribution Characteristics of NEVPL in China
5.1.1. Directionality Analysis of Spatial Distribution
5.1.2. Gravity Center Migration Analysis of Spatial Distribution
5.2. Spatial Disparities and Dynamic Evolution of NEVPL in China
5.2.1. Spatial Disparity Analysis
5.2.2. Dynamic Evolution of Spatial Disparities
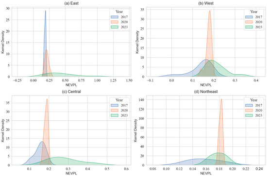
- (1)
- As shown in Figure 7a, the distribution of the NEVPL in the eastern region was relatively concentrated in 2017, with a sharp peak, indicating that provinces within the region were relatively homogeneous in the NEVPL. By 2020, the distribution range widened, the main peak shifted slightly to the right, and its height decreased, suggesting the emergence of internal disparities. In 2023, the distribution continued to shift rightward, the tail extended significantly, and the peak further declined, indicating a general increase in the NEVPL accompanied by growing internal inequality.
- (2)
- Figure 7b shows that the western region exhibited a more dispersed distribution in 2017, with notable inter-provincial differences. By 2020, the distribution became more concentrated, the main peak moved rightward, and the peak value rose significantly, suggesting that the NEVPL had improved across the region and became more consistent. However, in 2023, the distribution returned to a more dispersed form similar to 2017, but with a more pronounced right skew, indicating a renewed expansion in disparities, driven by accelerated NEV promotion in certain provinces.
- (3)
- The central region displayed a pattern similar to the western region, as illustrated in Figure 7c. In 2017, the distribution range was broad, reflecting large differences in the NEVPL among provinces. In 2020, the concentration increased noticeably, with the main peak shifting rightward and rising in height, signifying marked progress in NEV promotion. In 2023, the distribution continued to shift right and became more spread out, with the peak declining substantially, indicating that despite overall improvement, internal disparities re-emerged.
- (4)
- As shown in Figure 7d, the northeastern region exhibited more distinct stage-based characteristics. In 2017, the distribution was broad with a low peak, indicating substantial internal disparity. By 2020, the main peak shifted clearly to the right, the distribution became more concentrated, and the peak value increased, reflecting both improvement and convergence in the NEVPL. However, in 2023, the main peak slightly shifted leftward and declined in height, and the distribution once again became more dispersed, suggesting a resurgence of internal disparities and a divergence in the pace of NEV promotion.
6. Conclusions and Policy Recommendations
6.1. Conclusions
- (1)
- The NEVPL has continuously improved, though the overall level remains relatively low. From 2017 to 2023, China’s national average NEVPL rose from 0.158 to 0.293, with an average annual growth rate of 10.84%, indicating significant national progress in NEV adoption. The eastern region consistently led in the NEVPL, while the central and western regions exhibited steady growth. In contrast, the northeastern region lagged behind, reflecting pronounced regional disparities.
- (2)
- The spatial pattern is characterized by a coexistence of agglomeration and differentiation. Analysis using the SDE and gravity center migration shows that the promotional center has gradually shifted southeastward, with spatial distribution evolving from early dispersion to notable agglomeration. High-density promotion zones emerged along the eastern side of the “Hu Huanyong Line,” particularly in the Yangtze River Delta, Pearl River Delta, and Beijing-Tianjin-Hebei regions.
- (3)
- Regional disparities are expanding, with especially pronounced intra-regional differences in the east. Gini coefficient analysis reveals an overall trend of “initial moderation followed by expansion” in regional inequality, with the national Gini coefficient reaching 0.260 in 2023. Inter-regional disparities were identified as the primary source of spatial inequality, accounting for over 70% of the total variance. Although the eastern region maintained a high average NEVPL, it also exhibited the most substantial internal divergence.
- (4)
- A “high-value island” effect has emerged in the dynamic evolution process. Kernel density estimation indicates a shift from a bimodal to a right-skewed unimodal distribution, reflecting widening gaps between high- and low-performing provinces. A few leading provinces have formed high-value promotion “islands,” underscoring intensifying regional imbalances and polarization.
6.2. Policy Recommendations
- (1)
- Strengthen regional coordination and implement differentiated policy guidance. While maintaining the eastern region’s leading edge, greater policy attention should be directed toward the central, western, and northeastern regions. Tailored fiscal incentives, technological support, and infrastructure investment should be adopted to address local shortcomings, narrow development gaps, and establish a multi-tiered, collaborative promotion mechanism.
- (2)
- Improve infrastructure systems and optimize vehicle-to-charger coordination. Local governments should plan charging infrastructure based on regional NEV promotion needs, increase the public charging density, and improve operational efficiency. Dynamic monitoring of the vehicle-to-charger ratio and the development of intelligent management platforms are essential to ensure charging convenience and mitigate structural mismatches between vehicles and charging infrastructure.
- (3)
- Promote technological innovation and enhance the industrial chain. Greater emphasis should be placed on breakthroughs in core NEV technologies, including traction batteries, drive systems, and lightweight vehicle design. Encouraging integration among industry, academia, and research, as well as supporting technological upgrades among local manufacturers, will foster regional industrial clusters and strengthen the sustainability and competitiveness of NEV promotion.
- (4)
- Establish dynamic monitoring and feedback mechanisms. A nationwide NEVPL monitoring system should be established to regularly evaluate and disclose regional promotion data. This would enhance transparency and policy responsiveness. Policy instruments should be adjusted in a timely manner based on observed spatiotemporal patterns, transitioning from static subsidies to performance-based incentives to improve precision and sustainability.
- (5)
- Promote green mobility culture and increase public acceptance. The public awareness and acceptance of NEVs should be enhanced through education campaigns, test-driving programs, and purchase incentives. Governments and institutions should take the lead in adopting NEVs, thereby serving as models for broader public engagement and fostering a favorable ecosystem for green travel.
Author Contributions
Funding
Data Availability Statement
Conflicts of Interest
References
- UNEP. Emissions Gap Report 2024; United Nations Environment Programme: Nairobi, Kenya, 2024; Available online: https://www.unep.org/zh-hans/resources/2024nianpaifangchajubaogao (accessed on 24 October 2024).
- Wang, S.; Wang, J.; Cheng, J. Does the promotion and application of new energy vehicles contribute to the reduction of carbon intensity? A quasi-natural experiment analysis. Sustain. Futures 2025, 9, 100455. [Google Scholar] [CrossRef]
- Wang, K.; Zheng, L.J.; Zhang, J.Z.; Yao, H. The impact of promoting new energy vehicles on carbon intensity: Causal evidence from China. Energy Econ. 2022, 114, 106255. [Google Scholar] [CrossRef]
- Gu, X.; Wang, M.; Wu, J. An empirical study on the green effects of new energy vehicle promotion in the context of global carbon neutrality. Chin. J. Popul. Resour. Environ. 2022, 20, 332–340. [Google Scholar] [CrossRef]
- Zahoor, A.; Yu, Y.; Zhang, H.; Nihed, B.; Afrane, S.; Peng, S.; Mao, G. Can the new energy vehicles (NEVs) and power battery industry help China to meet the carbon neutrality goal before 2060? J. Environ. Manag. 2023, 336, 117663. [Google Scholar] [CrossRef]
- Dong, Y.; Zeng, F.; Sun, H. Research on the Evaluation of Urban Green Transportation Development Level in Guangzhou Under the Promotion of New Energy Vehicles. World Electr. Veh. J. 2025, 16, 253. [Google Scholar] [CrossRef]
- Pan, R.; Liang, Y.; Li, Y.; Zhou, K.; Miao, J. Environmental and Health Benefits of Promoting New Energy Vehicles: A Case Study Based on Chongqing City. Sustainability 2023, 15, 9257. [Google Scholar] [CrossRef]
- Zhu, Y.; Liu, Y.; Liu, X.; Wang, H. Carbon mitigation and health effects of fleet electrification in China’s Yangtze River Delta. Environ. Int. 2023, 180, 108203. [Google Scholar] [CrossRef]
- Xue, Y.; Zhu, C.; Lu, Y. Research on the Influence Mechanism of New Energy Vehicle Promotion Policy. Sustainability 2025, 17, 3699. [Google Scholar] [CrossRef]
- Yang, X.; Lin, W.; Gong, R.; Zhu, M.; Springer, C. Transport decarbonization in big cities: An integrated environmental co-benefit analysis of vehicles purchases quota-limit and new energy vehicles promotion policy in Beijing. Sustain. Cities Soc. 2021, 71, 102976. [Google Scholar] [CrossRef]
- Liu, B.; Song, C.; Wang, Q.; Zhang, X.; Chen, J. Research on regional differences of China’s new energy vehicles promotion policies: A perspective of sales volume forecasting. Energy 2022, 248, 123541. [Google Scholar] [CrossRef]
- Wang, Z.; Li, X.; Xue, X.; Liu, Y. More government subsidies, more green innovation? The evidence from Chinese new energy vehicle enterprises. Renew. Energy 2022, 197, 11–21. [Google Scholar] [CrossRef]
- Qian, B. Financial subsidies, tax incentives, and new energy vehicle enterprises’ innovation efficiency: Evidence from Chinese listed enterprises. PLoS ONE 2023, 18, e0293117. [Google Scholar] [CrossRef] [PubMed]
- Li, J.; Ku, Y.; Liu, C.; Zhou, Y. Dual credit policy: Promoting new energy vehicles with battery recycling in a competitive environment? J. Clean. Prod. 2020, 243, 118456. [Google Scholar] [CrossRef]
- Zhou, J.; Fang, W.; Han, X.; Sun, Q.; Liu, D.; Liu, S. Rebound effect of carbon emissions of new energy vehicle consumption: A case study of Beijing. Int. J. Environ. Sci. Technol. 2023, 20, 7603–7620. [Google Scholar] [CrossRef]
- Tang, X.; Feng, J.; Feng, B.; Mao, X.; Wei, X.Z. Policy analysis on the promotion of new energy vehicles in China considering consumers’ car purchasing choices in the “post-subsidy era”: Based on the study of a three-party evolutionary game. Environ. Dev. Sustain. 2024, 1–32. [Google Scholar] [CrossRef]
- Yuan, K.; Wu, G. Can the battery leasing mode promote new energy vehicle adoption and reduce carbon emission in a competitive environment? Energy Rep. 2025, 13, 5915–5930. [Google Scholar] [CrossRef]
- Liu, B.; Wang, Y.; Wang, S. Matching analysis of new energy vehicle charging demand and charging infrastructure power supply capacity: A case study of China’s capital Beijing. Energy Environ. 2024. [Google Scholar] [CrossRef]
- Li, C.; Lu, X.; Liu, Y.; Xia, Z.; Wang, X.; Zhao, H. A Study of Tripartite Strategies for Closed-Loop Charging Infrastructure Construction of New Energy Vehicles in China under the Expectation of Government Withdrawal Subsidies. J. Clean. Prod. 2025, 493, 144943. [Google Scholar] [CrossRef]
- Sun, B.; Ju, Z. Research on the promotion of new energy vehicles based on multi-source heterogeneous data: Consumer and manufacturer perspectives. Environ. Sci. Pollut. Res. 2023, 30, 28863–28873. [Google Scholar] [CrossRef]
- Wang, C.; Sinha, P.N.; Zhang, X.; Wang, S.; Lee, Y.K. The impact of NEV users’ perceived benefits on purchase intention. Travel Behav. Soc. 2024, 34, 100681. [Google Scholar] [CrossRef]
- Xiong, Y.; Wang, L. Policy cognition of potential consumers of new energy vehicles and its sensitivity to purchase willingness. J. Clean. Prod. 2020, 261, 121032. [Google Scholar] [CrossRef]
- Jiang, Y.; Wu, Q.; Li, M.; Gu, Y.; Yang, J. What is affecting the popularity of new energy vehicles? A systematic review based on the public perspective. Sustainability 2023, 15, 13471. [Google Scholar] [CrossRef]
- Dong, Y.; Wang, D.; Zeng, F.; Zhang, Y. A novel MADM model integrating hybrid information for evaluating the development prospects of urban new energy vehicles. PLoS ONE 2025, 20, e0314026. [Google Scholar] [CrossRef]
- Cui, Y.; Khan, S.U.; Deng, Y.; Zhao, M. Regional difference decomposition and its spatiotemporal dynamic evolution of Chinese agricultural carbon emission: Considering carbon sink effect. Environ. Sci. Pollut. Res. 2021, 28, 38909–38928. [Google Scholar] [CrossRef]
- Wu, M.; Zhao, M.; Wu, Z. Evaluation of development level and economic contribution ratio of science and technology innovation in eastern China. Technol. Soc. 2019, 59, 101194. [Google Scholar] [CrossRef]
- Qin, M.; Huang, Z. A study on the differences in the synergistic development level of digitalization and greenization in the eastern and central regions of China. Sustainability 2023, 15, 16688. [Google Scholar] [CrossRef]
- Deng, X.; Liang, L.; Wu, F.; Wang, Z.; He, S. A review of the balance of regional development in China from the perspective of development geography. J. Geogr. Sci. 2022, 32, 3–22. [Google Scholar] [CrossRef]
- Luo, Y.; Fang, S.; Wu, H.; Zhou, X.; He, Z.; Gao, L. Spatial and temporal evolution of habitat quality and its shrinkage effect in shrinking cities: Evidence from Northeast China. Ecol. Indic. 2024, 161, 111919. [Google Scholar] [CrossRef]
- Tao, M. Dynamics between electric vehicle uptake and green development: Understanding the role of local government competition. Transp. Policy 2024, 146, 227–240. [Google Scholar] [CrossRef]
- Shang, W.L.; Zhang, J.; Wang, K.; Yang, H.; Ochieng, W. Can financial subsidy increase electric vehicle (EV) penetration—Evidence from a quasi-natural experiment. Renew. Sustain. Energy Rev. 2024, 190, 114021. [Google Scholar] [CrossRef]
- Zhang, H.; Liu, Y.; Tan, X.; Qi, Y.; Yang, L.; Jia, M. Research on the impact of leap-forward development of new energy vehicles on urban traffic congestion. Chin. J. Manag. Sci. 2024, 1–19. [Google Scholar] [CrossRef]
- Liu, Q.; Le, W.; Guo, B. Research on the Efficiency of New Energy Vehicle Charging Facilities Based on Complex Network. Manage. Rev. 2021, 33, 284–293. [Google Scholar]
- Ju, Q.; Ju, P.; Dai, W.; Ran, L. Adoption of new energy vehicles under subsidy policies: Unit subsidies, sales incentives and product differentiation. J. Manag. Sci. China 2021, 24, 101–116. [Google Scholar]
- Tang, B.; Wang, X.; Wang, B.; Wu, Y.; Zou, Y.; Xu, H.; Ma, Y. Analysis and Prospect of China’s New Energy Vehicles Industry Development Level. J. Beijing Inst. Technol. (Soc. Sci. Ed.) 2019, 21, 6–11. [Google Scholar]
- Satı, Z.E. Comparison of the criteria affecting the digital innovation performance of the European Union (EU) member and candidate countries with the entropy weight-TOPSIS method and investigation of its importance for SMEs. Technol. Forecast. Soc. Change 2024, 200, 123094. [Google Scholar] [CrossRef]
- Jing, X.; Tao, S.; Hu, H.; Sun, M.; Wang, M. Spatio-temporal evaluation of ecological security of cultivated land in China based on DPSIR-entropy weight TOPSIS model and analysis of obstacle factors. Ecol. Indic. 2024, 166, 112579. [Google Scholar] [CrossRef]
- Yang, H.; Liu, N.; Li, M.; Gu, M.; Gao, Q. Design and optimization of heat pipe-assisted liquid cooling structure for power battery thermal management based on NSGA-II and entropy Weight-TOPSIS method. Appl. Therm. Eng. 2025, 272, 126416. [Google Scholar] [CrossRef]
- Han, Q.; Chen, L.; Tang, X.; Weng, T.; Yang, G.; Zhang, B.; Zhang, Y. Research on TOPSIS multi-indicator evaluation model based on entropy weight method for C2N site selection. Ann. Nucl. Energy 2025, 221, 111566. [Google Scholar] [CrossRef]
- Zournatzidou, G.; Sklavos, G.; Ragazou, K.; Sariannidis, N. Anti-competition and anti-corruption controversies in the European financial sector: Examining the anti-ESG factors with entropy weight and TOPSIS methods. J. Risk Financ. Manag. 2024, 17, 492. [Google Scholar] [CrossRef]
- Ni, Y.; Chen, Y. Spatial–temporal distribution measurement of input–output efficiency of the water–energy–food nexus of the Yangtze River Economic Belt, China. Front. Ecol. Evol. 2022, 10, 944397. [Google Scholar] [CrossRef]
- Wen, G.; Zhang, Z.; Tian, Y.; Fang, L.; Wang, Z.; Ding, X.; Huang, Y. Temporal and spatial characteristics of cultivated land non-point source pollution in the main grain producing areas of the middle and lower Yangtze region. J. Agro-Environ. Sci. 2024, 43, 133–142. [Google Scholar]
- He, M.; Xiao, W.; Li, Y.; Chen, X.; Huang, J. Spatio-Temporal Differentiation, Driving Force and Response Characteristics of China’s Forest Carbon Sink Efficiency from the Perspective of New Urbanization. Ecol. Econ. 2025, 41, 127–135. [Google Scholar]
- Dagum, C. Decomposition and interpretation of Gini and the generalized entropy inequality measures. Statistica 1997, 57, 295–308. [Google Scholar]
- Ma, T.; Liu, Y.; Yang, M. Spatial-temporal heterogeneity for commercial building carbon emissions in China: Based on the Dagum Gini coefficient. Sustainability 2022, 14, 5243. [Google Scholar] [CrossRef]
- Huang, M.; Wang, H. Dynamic Evolution and Spatiotemporal Convergence on the Construction of Unified Market of China’s Urban Agglomerations. J. Xi’an Jiaotong Univ. (Soc. Sci.) 2024, 44, 77–91. [Google Scholar]








| Year | Rotation Angle (°) | Minor Axis (km) | Major Axis (km) | Axis Ratio |
|---|---|---|---|---|
| 2017 | 55.70 | 1023.56 | 1175.81 | 1.15 |
| 2023 | 40.67 | 998.53 | 1076.26 | 1.08 |
| Year | Overall | Intra-Regional | Inter-Regional | ||||||||
|---|---|---|---|---|---|---|---|---|---|---|---|
| East (E) | Central (C) | West (W) | Northeast (NE) | E-C | E-W | E-NE | C-W | C-NE | W-NE | ||
| 2017 | 0.114 | 0.034 | 0.067 | 0.089 | 0.174 | 0.082 | 0.090 | 0.137 | 0.083 | 0.130 | 0.135 |
| 2018 | 0.085 | 0.050 | 0.053 | 0.063 | 0.098 | 0.068 | 0.084 | 0.107 | 0.066 | 0.084 | 0.084 |
| 2019 | 0.082 | 0.057 | 0.022 | 0.035 | 0.106 | 0.061 | 0.067 | 0.115 | 0.030 | 0.074 | 0.078 |
| 2020 | 0.061 | 0.073 | 0.024 | 0.006 | 0.035 | 0.073 | 0.077 | 0.094 | 0.022 | 0.038 | 0.025 |
| 2021 | 0.113 | 0.144 | 0.056 | 0.031 | 0.019 | 0.141 | 0.172 | 0.177 | 0.063 | 0.064 | 0.027 |
| 2022 | 0.198 | 0.236 | 0.091 | 0.063 | 0.020 | 0.229 | 0.284 | 0.320 | 0.112 | 0.141 | 0.057 |
| 2023 | 0.260 | 0.273 | 0.140 | 0.111 | 0.030 | 0.275 | 0.358 | 0.418 | 0.177 | 0.224 | 0.099 |
| Year | Overall | Contribution | Contribution Rate (%) | ||||
|---|---|---|---|---|---|---|---|
| 2017 | 0.114 | 0.031 | 0.060 | 0.023 | 27.14 | 52.65 | 20.22 |
| 2018 | 0.085 | 0.022 | 0.046 | 0.017 | 25.93 | 53.57 | 20.49 |
| 2019 | 0.082 | 0.022 | 0.051 | 0.008 | 27.45 | 62.47 | 10.07 |
| 2020 | 0.061 | 0.014 | 0.040 | 0.006 | 23.52 | 66.66 | 9.82 |
| 2021 | 0.113 | 0.024 | 0.081 | 0.007 | 21.69 | 72.05 | 6.27 |
| 2022 | 0.198 | 0.045 | 0.142 | 0.011 | 22.61 | 71.81 | 5.58 |
| 2023 | 0.260 | 0.059 | 0.183 | 0.018 | 22.71 | 70.39 | 6.90 |
Disclaimer/Publisher’s Note: The statements, opinions and data contained in all publications are solely those of the individual author(s) and contributor(s) and not of MDPI and/or the editor(s). MDPI and/or the editor(s) disclaim responsibility for any injury to people or property resulting from any ideas, methods, instructions or products referred to in the content. |
© 2025 by the authors. Published by MDPI on behalf of the World Electric Vehicle Association. Licensee MDPI, Basel, Switzerland. This article is an open access article distributed under the terms and conditions of the Creative Commons Attribution (CC BY) license (https://creativecommons.org/licenses/by/4.0/).
Share and Cite
Wang, Y.; Zeng, F.; He, M. Research on the Spatiotemporal Patterns of New Energy Vehicle Promotion Level in China. World Electr. Veh. J. 2025, 16, 456. https://doi.org/10.3390/wevj16080456
Wang Y, Zeng F, He M. Research on the Spatiotemporal Patterns of New Energy Vehicle Promotion Level in China. World Electric Vehicle Journal. 2025; 16(8):456. https://doi.org/10.3390/wevj16080456
Chicago/Turabian StyleWang, Yanmei, Fanlong Zeng, and Mingke He. 2025. "Research on the Spatiotemporal Patterns of New Energy Vehicle Promotion Level in China" World Electric Vehicle Journal 16, no. 8: 456. https://doi.org/10.3390/wevj16080456
APA StyleWang, Y., Zeng, F., & He, M. (2025). Research on the Spatiotemporal Patterns of New Energy Vehicle Promotion Level in China. World Electric Vehicle Journal, 16(8), 456. https://doi.org/10.3390/wevj16080456

