Previous Issue
Volume 11, September
 
 

Batteries, Volume 11, Issue 10 (October 2025) – 32 articles

  • Issues are regarded as officially published after their release is announced to the table of contents alert mailing list.
  • You may sign up for e-mail alerts to receive table of contents of newly released issues.
  • PDF is the official format for papers published in both, html and pdf forms. To view the papers in pdf format, click on the "PDF Full-text" link, and use the free Adobe Reader to open them.
Order results
Result details
Section
Select all
Export citation of selected articles as:
20 pages, 5178 KB  
Article
Unveiling the Thermal Behavior of SnS2 Anodes Across Delithiation Stages
by Mahmoud Reda, Jana Kupka, Yuri Surace, Damian M. Cupid and Hans Flandorfer
Batteries 2025, 11(10), 378; https://doi.org/10.3390/batteries11100378 (registering DOI) - 16 Oct 2025
Abstract
This study investigates the thermal behavior of SnS2 anodes for lithium-ion batteries at seven different states of charge (fully discharged (lithiated) at 0 mAh/g, partially charged at 100, 200, 300, 400, and 500 mAh/g, and fully charged (delithiated) at 550 mAh/g) using [...] Read more.
This study investigates the thermal behavior of SnS2 anodes for lithium-ion batteries at seven different states of charge (fully discharged (lithiated) at 0 mAh/g, partially charged at 100, 200, 300, 400, and 500 mAh/g, and fully charged (delithiated) at 550 mAh/g) using differential scanning calorimetry (DSC). To better understand the observed thermal behavior, complementary XRD and XPS analyses were performed. Generally, in all electrodes, the thermal decomposition of the electrode material is initiated by the exothermic decomposition of the SEI followed by a binder decomposition reaction around 265 °C. Interestingly, with increased states of delithiation from 400 mAh/g, endothermic peaks in the heat-flow signal of the DSC measurements are observed, which can be correlated with the structural and compositional changes in the electrode material as determined by XRD and XPS, respectively. These analyses confirmed the progressive formation of metallic tin on advanced delithiation. Additionally, the total heat generation from the electrodes decreased with increased delithiation. The results of this study serve as the basis for better understanding the thermal decomposition of SnS2-based anodes, which are considered promising for advanced lithium-ion battery chemistries. Full article
Show Figures

Graphical abstract

24 pages, 3066 KB  
Article
Online Parameter Identification of a Fractional-Order Chaotic System for Lithium-Ion Battery RC Equivalent Circuit Using a State Observer
by Yanzeng Gao, Donghui Xu, Haiou Wen and Liqin Xu
Batteries 2025, 11(10), 377; https://doi.org/10.3390/batteries11100377 (registering DOI) - 16 Oct 2025
Abstract
Due to the highly nonlinear, dynamic, and slowly time-varying nature of lithium-ion batteries (LIBs) during operation, achieving accurate and real-time parameters online identification in first-order RC equivalent circuit models (ECMs) remains a significant challenge, including low accuracy and poor real-time performance. This paper [...] Read more.
Due to the highly nonlinear, dynamic, and slowly time-varying nature of lithium-ion batteries (LIBs) during operation, achieving accurate and real-time parameters online identification in first-order RC equivalent circuit models (ECMs) remains a significant challenge, including low accuracy and poor real-time performance. This paper establishes a fractional-order chaotic system for first-order RC-ECM based on a charge-controlled memristor. The system exhibits chaotic behavior when parameters are tuned. Then, based on the principle of the state observer, an identification observer is designed for each unknown parameter of the first-order RC-ECM, achieving online identification of these unknown parameters of the first-order RC-ECM of LIB. The proposed method addresses key limitations of traditional parameter identification techniques, which often rely on large sample datasets and are sensitive to variations in ambient temperature, road conditions, load states, and battery chemistry. Experimental validation was conducted under the HPPC, DST, and UDDS conditions. Using the actual terminal voltage of a single cell as a reference, the identified first-order RC-ECM parameters enabled accurate prediction of the online terminal voltage. Comparative results demonstrate that the proposed state observer achieves significantly higher accuracy than the forgetting factor recursive least squares (FFRLS) algorithm and Kalman filter (KF) algorithm, while offering superior real-time performance, robustness, and faster convergence. Full article
Show Figures

Figure 1

26 pages, 2798 KB  
Review
A Critical Review of AI-Based Battery Remaining Useful Life Prediction for Energy Storage Systems
by Kuo Yang, Shunli Wang, Lei Zhou, Carlos Fernandez and Frede Blaabjerg
Batteries 2025, 11(10), 376; https://doi.org/10.3390/batteries11100376 - 15 Oct 2025
Abstract
This paper provides a comprehensive review of recent advances in remaining useful life prediction for lithium-ion battery energy storage systems. Existing approaches are generally categorized into model-based methods, data-driven methods, and hybrid methods. A systematic comparison of these three methodological paradigms is presented, [...] Read more.
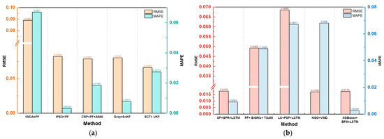
This paper provides a comprehensive review of recent advances in remaining useful life prediction for lithium-ion battery energy storage systems. Existing approaches are generally categorized into model-based methods, data-driven methods, and hybrid methods. A systematic comparison of these three methodological paradigms is presented, with hybrid methods further divided into filter-based hybrids and data-driven hybrids, followed by a comparative analysis of remaining useful life prediction accuracy. The literature analysis indicates that data-driven hybrid methods, by integrating the strengths of physical mechanism modeling and machine learning algorithms, exhibit superior robustness under complex operating conditions. Among them, the hybrid framework combining long short-term memory networks with an eXtreme Gradient Boosting model optimized by the Binary Firefly Algorithm demonstrates the highest stability and accuracy in the reviewed studies, achieving a root mean squared error below 2% and a mean absolute percentage error below 1%. Future research may further enhance the generalization capability of this framework, reduce computational cost, and improve model interpretability. Full article
(This article belongs to the Section Battery Performance, Ageing, Reliability and Safety)
Show Figures

Figure 1

16 pages, 2558 KB  
Article
Rapid Prediction of Maximum Remaining Capacity in Lithium-Ion Batteries Based on Charging Segment Features and GA_DBO_BPNN
by Yifei Cao, Rui Wang, Qizhi Li, Peng Zhou, Aqing Li, Penghao Cui, Quanhong Tao and Zhendong Shao
Batteries 2025, 11(10), 375; https://doi.org/10.3390/batteries11100375 - 13 Oct 2025
Viewed by 83
Abstract
Rapid and accurate prediction of the maximum remaining life of lithium-ion batteries is a critical technical challenge for enhancing battery management system reliability and enabling the efficient secondary utilization of retired batteries. Traditional approaches that rely on full charge–discharge cycles or complex electrochemical [...] Read more.
Rapid and accurate prediction of the maximum remaining life of lithium-ion batteries is a critical technical challenge for enhancing battery management system reliability and enabling the efficient secondary utilization of retired batteries. Traditional approaches that rely on full charge–discharge cycles or complex electrochemical models often suffer from long detection time and limited adaptability, making them unsuitable for fast testing scenarios. To address these limitations, this study proposes a novel capacity prediction method that integrates charging segment feature extraction with a back-propagation neural network (BPNN) co-optimized using the genetic algorithm (GA) and dung beetle optimizer (DBO). Leveraging the public CALCE datasets, key degradation-related features were extracted from partial charging segments to serve as inputs to the prediction framework. The hybrid GA_DBO algorithm is employed to jointly optimize the BPNN’s weights, learning rate, and activation thresholds. A comparative analysis is conducted across various charging durations (900 s, 1800 s, and 2700 s) to evaluate performance under different input lengths. Results reveal that the model using 1800 s charging segment features achieves the best overall accuracy, with a test set mean squared error (MSE) of 0.0001 Ah2, mean absolute error (MAE) of 0.0092 Ah, root mean square error (RMSE) of 0.0122 Ah, and a coefficient of determination (R2) of 99.66%, demonstrating strong robustness and predictive capability. This research overcomes the traditional reliance on full cycles, demonstrating the effectiveness of short charging segments combined with intelligent optimization algorithms. The proposed method offers a high-precision, low-cost solution for online battery health monitoring and rapid sorting of retired batteries, highlighting its significant engineering application potential. Full article
Show Figures

Figure 1

20 pages, 1689 KB  
Article
Economic Aspect and Secondary Use of Electric Vehicle Batteries: EU Trends and Household Energy Balance Optimization Using Linear Programming
by Jozsef Menyhart
Batteries 2025, 11(10), 374; https://doi.org/10.3390/batteries11100374 - 13 Oct 2025
Viewed by 79
Abstract
The rapid development and spread of electric vehicles is fundamentally revolutionizing transportation in the European Union and around the world. With the diffusion of electric vehicles, issues related to the batteries that power them have also become more prominent. Given that the production [...] Read more.
The rapid development and spread of electric vehicles is fundamentally revolutionizing transportation in the European Union and around the world. With the diffusion of electric vehicles, issues related to the batteries that power them have also become more prominent. Given that the production of these components is one of the most environmentally burdensome processes, the need for their secondary use has quickly become evident. Based on the Eurostat database, this article analyzes the indicators that may influence the prospects for the secondary use of batteries. It examines the relationship between the GDP (Gross Domestic Product) of European Union member states and the number of electric vehicles, the share of renewable energy, and household electricity consumption. The results show that electric vehicle penetration and the use of renewable energy vary greatly among EU member states. The second part of the article examines battery data from an electric vehicle, the solar panel production of a family home, and electricity consumption using a linear programming model on a monthly basis. The objective function of the model makes it possible to minimize the amount of energy purchased from the grid. The resulting savings can be quantified. The article focuses on providing a foundation for the opportunities offered by the secondary-use battery market. Full article
(This article belongs to the Special Issue Second-Life Batteries)
Show Figures

Graphical abstract

32 pages, 5297 KB  
Review
Research Progress on the Influence of Cathode Materials on Thermal Runaway Behavior of Lithium-Ion Batteries
by Yanru Yang, Yang Gao, Yu Miao, Yuan Liang and Xiaoqiang Ren
Batteries 2025, 11(10), 373; https://doi.org/10.3390/batteries11100373 - 12 Oct 2025
Viewed by 305
Abstract
The structure, chemical composition, thermal stability, and abuse responses of cathode materials are critical to the safety and economy of lithium-ion batteries (LIBs). This review systematically summarizes advances in research on how cathode materials influence LIB thermal runaway (TR) behavior. It analyzes the [...] Read more.
The structure, chemical composition, thermal stability, and abuse responses of cathode materials are critical to the safety and economy of lithium-ion batteries (LIBs). This review systematically summarizes advances in research on how cathode materials influence LIB thermal runaway (TR) behavior. It analyzes the oxygen release from cathodes in TR mechanisms and the hazards of such oxygen generation during TR, expounds on how differences in cathode structure, chemical composition, and thermal stability affect TR behavior, and summarizes the thermal characteristics of LIBs with different cathodes under mechanical, electrical, and thermal abuse. Results indicate that oxygen released from cathode decomposition during TR oxidizes electrolytes, releasing substantial heat and gas and causing more severe TR hazards. Structural instability of cathodes leads to accelerated release of lattice oxygen, speeding up TR initiation. Chemical composition regulates thermal stability, phase transition pathways, and gas generation rates during TR, while elemental ratios affect the ease of TR triggering. Cathodes with poor thermal stability have lower thermal decomposition onset temperatures, making TR more likely to occur and intensifying reaction severity. All three abuse types trigger inherent risks of cathodes, inducing TR and significantly increasing its occurrence probability. Differences in intrinsic properties further extend to the system level, also influencing thermal runaway propagation and fire dynamics at the module level. Future research focusing on the intrinsic properties of cathodes and external abuse is of great significance for addressing LIB TR behavior. Full article
Show Figures

Figure 1

22 pages, 15904 KB  
Article
Multi-Timescale Estimation of SOE and SOH for Lithium-Ion Batteries with a Fractional-Order Model and Multi-Innovation Filter Framework
by Jing Yu and Fang Yao
Batteries 2025, 11(10), 372; https://doi.org/10.3390/batteries11100372 - 10 Oct 2025
Viewed by 161
Abstract
Based on a fractional-order equivalent circuit model, this paper proposes a multi-timescale collaborative State of Energy (SOE) and State of Health (SOH) estimation method (FOASTFREKF-EKF) for lithium batteries to mitigate the influence of model inaccuracies and battery aging on SOE estimation. Initially, a [...] Read more.
Based on a fractional-order equivalent circuit model, this paper proposes a multi-timescale collaborative State of Energy (SOE) and State of Health (SOH) estimation method (FOASTFREKF-EKF) for lithium batteries to mitigate the influence of model inaccuracies and battery aging on SOE estimation. Initially, a fractional-order equivalent circuit model is built, and its parameters are identified offline using the Starfish Optimization Algorithm (SFOA) to establish a high-fidelity battery model. An H∞ filter is then integrated to improve the algorithm’s resilience to external disturbances. Furthermore, an adaptive noise covariance adjustment mechanism is employed to reduce the effect of operational noise, and a time-varying attenuation factor is introduced to improve the algorithm’s tracking and convergence capabilities during abrupt system-state changes. A joint estimator is subsequently constructed, which uses an Extended Kalman Filter (EKF) for the online determination of battery parameters and SOH assessment. This approach minimizes the effect of varying model parameters on SOE accuracy while reducing computational load through multi-timescale methods. Experimental validation under diverse operating conditions shows that the proposed algorithm achieves root mean square errors (RMSE) of less than 0.21% for SOE and 0.31% for SOH. These findings demonstrate that the method provides high accuracy and reliability under complex operating conditions. Full article
(This article belongs to the Special Issue Control, Modelling, and Management of Batteries)
Show Figures

Figure 1

23 pages, 3066 KB  
Article
An Empirical Multi-Stage One-Step Battery Thermal Runaway Model Based on Arrhenius Reaction Rate Formalism
by Alexander Ruth, Martin Hantinger, Alexander Machold and Andreas Ennemoser
Batteries 2025, 11(10), 371; https://doi.org/10.3390/batteries11100371 - 9 Oct 2025
Viewed by 263
Abstract
This study develops a multi-stage, Arrhenius-type reaction rate model for exothermic heat release during thermal runaway (TR) that depends on the local active material temperature, TCell, and the remaining reactant fraction, Y. Model parameters are identified from an accelerating rate calorimetry [...] Read more.
This study develops a multi-stage, Arrhenius-type reaction rate model for exothermic heat release during thermal runaway (TR) that depends on the local active material temperature, TCell, and the remaining reactant fraction, Y. Model parameters are identified from an accelerating rate calorimetry (ARC) test on an NMC721 pouch cell. Validation across other cell formats (cylindric and prismatic) and cathode chemistries (LCO, LMO, NCA, LFP) is left for future work. Model performance is evaluated in a 3D CFD (AVL FIRE™ M 2021.2) representation of the ARC assembly and benchmarked against Gaussian and polynomial one-step TR formulations that depend solely on TCell. The three TR models are further applied to a generic 4S4P pouch cell module under stagnant and actively cooled conditions to assess thermal propagation. In the ARC test, the Arrhenius-type model shows improved agreement with measured cell skin temperatures for the NMC721 cell; in the 4S4P module, it exhibits a trend toward higher thermal propagation rates relative to the Gaussian and polynomial models. Full article
Show Figures

Graphical abstract

10 pages, 1979 KB  
Article
A Novel Approach to Day-Ahead Forecasting of Battery Discharge Profiles in Grid Applications Using Historical Daily
by Marek Bobček, Róbert Štefko, Július Šimčák and Zsolt Čonka
Batteries 2025, 11(10), 370; https://doi.org/10.3390/batteries11100370 - 6 Oct 2025
Viewed by 229
Abstract
This paper presents a day-ahead forecasting approach for discharge profiles of a 0.5 MW battery energy storage system connected to the power grid, utilizing historical daily discharge profiles collected over one year to capture key operational patterns and variability. Two forecasting techniques are [...] Read more.
This paper presents a day-ahead forecasting approach for discharge profiles of a 0.5 MW battery energy storage system connected to the power grid, utilizing historical daily discharge profiles collected over one year to capture key operational patterns and variability. Two forecasting techniques are employed: a Kalman filter for dynamic state estimation and Holt’s exponential smoothing method enhanced with adaptive alpha to capture trend changes more responsively. These methods are applied to generate next-day discharge forecasts, aiming to support better battery scheduling, improve grid interaction, and enhance overall energy management. The accuracy and robustness of the forecasts are evaluated against real operational data. The results confirm that combining model-based and statistical techniques offers a reliable and flexible solution for short-term battery discharge prediction in real-world grid applications. Full article
(This article belongs to the Special Issue Towards a Smarter Battery Management System: 3rd Edition)
Show Figures

Figure 1

33 pages, 10540 KB  
Article
Impact Response of a Thermoplastic Battery Housing for Transport Applications
by Aikaterini Fragiadaki and Konstantinos Tserpes
Batteries 2025, 11(10), 369; https://doi.org/10.3390/batteries11100369 - 5 Oct 2025
Viewed by 331
Abstract
The transition to electric mobility has intensified efforts to develop battery technologies that are not only high-performing but also environmentally sustainable. A critical element in battery system design is the structural housing, which must provide effective impact protection to ensure passenger safety and [...] Read more.
The transition to electric mobility has intensified efforts to develop battery technologies that are not only high-performing but also environmentally sustainable. A critical element in battery system design is the structural housing, which must provide effective impact protection to ensure passenger safety and prevent catastrophic failures. This study examines the impact response of an innovative sheet molding compound (SMC) composite battery housing, manufactured from an Elium resin modified with Martinal ATH matrix, reinforced with glass fibers, that combines fire resistance and recyclability, unlike conventional thermoset and metallic housings. The material was characterized through standardized mechanical tests, and its impact performance was evaluated via drop-weight experiments on plates and a full-scale housing. The impact tests were conducted at varying energy levels to induce barely visible impact damage (BVID) and visible impact damage (VID). A finite element model was developed in LS-DYNA using the experimentally derived material properties and was validated against the impact tests. Parametric simulations of ground and pole collisions revealed the critical velocity thresholds at which housing deformation begins to affect the first battery cells, while lower-energy impacts were absorbed without compromising the pack. The study provides one of the first combined experimental and numerical assessments of Elium SMC in battery enclosures, emphasizing its potential as a sustainable alternative for next-generation battery systems for transport applications. Full article
(This article belongs to the Section Battery Performance, Ageing, Reliability and Safety)
Show Figures

Graphical abstract

12 pages, 2569 KB  
Article
A MOF-Mediated Strategy for In Situ Niobium Doping and Synthesis of High-Performance Single-Crystal Ni-Rich Cathodes
by Yinkun Gao, Huazhang Zhou, Shumin Liu, Shuyun Guan, Mingyang Liu, Peng Gao, Yongming Zhu and Xudong Li
Batteries 2025, 11(10), 368; https://doi.org/10.3390/batteries11100368 - 5 Oct 2025
Viewed by 608
Abstract
The development of single-crystal Ni-rich layered cathode materials (SC-NCMs) is regarded as an effective strategy to address the mechanical failure issues commonly associated with polycrystalline counterparts. However, the industrial production of SC-NCM faces challenges such as lengthy processing steps, high manufacturing costs, and [...] Read more.
The development of single-crystal Ni-rich layered cathode materials (SC-NCMs) is regarded as an effective strategy to address the mechanical failure issues commonly associated with polycrystalline counterparts. However, the industrial production of SC-NCM faces challenges such as lengthy processing steps, high manufacturing costs, and inconsistent product quality. In this study, we innovatively propose a metal/organic framework (MOF)-mediated one-step synthesis strategy to achieve controllable structural preparation and in situ Nb5+ doping in SC-NCM. Using a Ni–Co–Mn-based MOF as both precursor and self-template, we precisely regulated the thermal treatment pathway to guide the nucleation and oriented growth of high-density SC-NCM particles. Simultaneously, Nb5+ was pre-anchored within the MOF framework, enabling atomic-level homogeneous doping into the transition metal layers during crystal growth. Exceptional electrochemical performance is revealed in the in situ Nb-doped SC-NCM, with an initial discharge capacity reaching 176 mAh/g at a 1C rate and a remarkable capacity retention of 86.36% maintained after 200 cycles. This study paves a versatile and innovative pathway for the design of high-stability, high-energy-density cathode materials via a MOF-mediated synthesis strategy, enabling precise manipulation of both morphology and chemical composition. Full article
Show Figures

Graphical abstract

13 pages, 2030 KB  
Article
Electrode Capacity Balancing for Accurate Battery State of Health Prediction and Degradation Analysis
by Jianghui Wen, Yu Zhu and Shixue Wang
Batteries 2025, 11(10), 367; https://doi.org/10.3390/batteries11100367 - 3 Oct 2025
Viewed by 466
Abstract
Battery technology plays an increasingly vital role in portable electronic devices, electric vehicles, and renewable energy storage. During operation, batteries undergo performance degradation, which not only reduces device efficiency, but may also pose safety risks. The State of Health (SOH) is a crucial [...] Read more.
Battery technology plays an increasingly vital role in portable electronic devices, electric vehicles, and renewable energy storage. During operation, batteries undergo performance degradation, which not only reduces device efficiency, but may also pose safety risks. The State of Health (SOH) is a crucial indicator for assessing battery condition. Traditional SOH prediction methods face limitations in real-time adjustment and accuracy under complex operating conditions. By determining electrode capacity loss and identifying complex patterns that traditional methods struggle to detect, prediction accuracy can be improved. Based on electrode capacity matching and compensation relationships, this paper proposes an electrode capacity balance model to evaluate battery development trends and degradation during cycling. We use qLiqp state assessment as a trend criterion, qp to quantify aging, and Qc to identify thermal runaway risk levels, developing more efficient SOH prediction indicators and methods to ensure battery safety and performance. Full article
(This article belongs to the Special Issue State-of-Health Estimation of Batteries)
Show Figures

Figure 1

15 pages, 3687 KB  
Article
Evaluating the Status of Lithium-Ion Cells Without Historical Data Using the Distribution of Relaxation Time Method
by Muhammad Sohaib and Woojin Choi
Batteries 2025, 11(10), 366; https://doi.org/10.3390/batteries11100366 - 2 Oct 2025
Viewed by 365
Abstract
In this paper, Distribution of Relaxation Time (DRT) analysis is presented as a powerful tool for understanding the aging mechanisms in lithium-ion batteries, with a focus on its application to estimating the State of Health (SOH). A novel parameter, the characteristic relaxation time, [...] Read more.
In this paper, Distribution of Relaxation Time (DRT) analysis is presented as a powerful tool for understanding the aging mechanisms in lithium-ion batteries, with a focus on its application to estimating the State of Health (SOH). A novel parameter, the characteristic relaxation time, derived from DRT analysis, is introduced to enhance SOH estimation. By analyzing the ratio of the central relaxation time (τ) between the charge transfer and diffusion peaks, the battery status can be determined without the need for historical data. Experimental data from lithium-ion batteries, including 18650 cells and LR2032 coin cells, were examined until the end of their life. Nyquist and DRT plots across various frequency ranges revealed consistent aging trends, particularly in the charge transfer and diffusion processes. These processes appeared as shifting and merging peaks in the DRT plots, signifying progressive degradation. A polynomial equation fitted to the τ ratio graph achieved a high accuracy (Adj. R2 = 0.9994), enabling reliable battery lifespan prediction. Validation with a Samsung Galaxy S9+ battery demonstrated that the method could estimate its remaining life, predicting a total lifespan of approximately 2100 cycles (compared to 1000 cycles already completed). These results confirm that SOH estimation is feasible without prior data and highlight the potential of DRT analysis for accurate and quantitative prediction of battery longevity. Full article
Show Figures

Figure 1

13 pages, 1846 KB  
Article
Toward Circular Carbon: Upcycling Coke Oven Waste into Graphite Anodes for Lithium-Ion Batteries
by Seonhui Choi, Inchan Yang, Byeongheon Lee, Tae Hun Kim, Sei-Min Park and Jung-Chul An
Batteries 2025, 11(10), 365; https://doi.org/10.3390/batteries11100365 - 2 Oct 2025
Viewed by 348
Abstract
This study presents a sustainable upcycling strategy to convert “Pit,” a carbon-rich coke oven by-product from steel manufacturing, into high-purity graphite for use as an anode material in lithium-ion batteries. Despite its high carbon content, raw Pit contains significant impurities and has irregular [...] Read more.
This study presents a sustainable upcycling strategy to convert “Pit,” a carbon-rich coke oven by-product from steel manufacturing, into high-purity graphite for use as an anode material in lithium-ion batteries. Despite its high carbon content, raw Pit contains significant impurities and has irregular particle morphology, which limits its direct application in batteries. We employed a multi-step, additive-free refinement process—including jet milling, spheroidization, and high-temperature graphitization—to enhance carbon purity and structural properties. The processed Pit-derived graphite showed a much-improved particle size distribution (D50 reduced from 25.3 μm to 14.8 μm & Span reduced from 1.72 to 1.23), increased tap density (from 0.54 to 0.80 g/cm3), and reduced BET surface area, making it suitable for high-performance lithium-ion batteries anodes. Structural characterization by XRD and TEM confirmed dramatically enhanced crystallinity after graphitization (graphitization degree increasing from ~13 for raw Pit to 95.7% for graphitized Pit at 3000 °C). The fully processed graphite (denoted S_Pit3000) delivered a reversible discharge capacity of 346.7 mAh/g with an initial Coulombic efficiency of 93.5% in half-cell tests—comparable to commercial artificial graphite. Furthermore, when composited with silicon oxide to form a hybrid anode, the material achieved an even higher capacity of 418.0 mAh/g under high mass loading conditions. These results highlight the feasibility of transforming industrial coke waste into value-added electrode materials through environmentally friendly physical processes. The upcycled graphite anode meets industrial performance standards, demonstrating a promising route toward circular economy solutions in both the steel and battery industries. Full article
Show Figures

Figure 1

45 pages, 2145 KB  
Review
MXenes in Solid-State Batteries: Multifunctional Roles from Electrodes to Electrolytes and Interfacial Engineering
by Francisco Márquez
Batteries 2025, 11(10), 364; https://doi.org/10.3390/batteries11100364 - 2 Oct 2025
Viewed by 385
Abstract
MXenes, a rapidly emerging family of two-dimensional transition metal carbides and nitrides, have attracted considerable attention in recent years for their potential in next-generation energy storage technologies. In solid-state batteries (SSBs), they combine metallic-level conductivity (>103 S cm−1), adjustable surface [...] Read more.
MXenes, a rapidly emerging family of two-dimensional transition metal carbides and nitrides, have attracted considerable attention in recent years for their potential in next-generation energy storage technologies. In solid-state batteries (SSBs), they combine metallic-level conductivity (>103 S cm−1), adjustable surface terminations, and mechanical resilience, which makes them suitable for diverse functions within the cell architecture. Current studies have shown that MXene-based anodes can deliver reversible lithium storage with Coulombic efficiencies approaching ~98% over 500 cycles, while their use as conductive additives in cathodes significantly improves electron transport and rate capability. As interfacial layers or structural scaffolds, MXenes effectively buffer volume fluctuations and suppress lithium dendrite growth, contributing to extended cycle life. In solid polymer and composite electrolytes, MXene fillers have been reported to increase Li+ conductivity to the 10−3–10−2 S cm−1 range and enhance Li+ transference numbers (up to ~0.76), thereby improving both ionic transport and mechanical stability. Beyond established Ti-based systems, double transition metal MXenes (e.g., Mo2TiC2, Mo2Ti2C3) and hybrid heterostructures offer expanded opportunities for tailoring interfacial chemistry and optimizing energy density. Despite these advances, large-scale deployment remains constrained by high synthesis costs (often exceeding USD 200–400 kg−1 for Ti3C2Tx at lab scale), restacking effects, and stability concerns, highlighting the need for greener etching processes, robust quality control, and integration with existing gigafactory production lines. Addressing these challenges will be crucial for enabling MXene-based SSBs to transition from laboratory prototypes to commercially viable, safe, and high-performance energy storage systems. Beyond summarizing performance, this review elucidates the mechanistic roles of MXenes in SSBs—linking lithiophilicity, field homogenization, and interphase formation to dendrite suppression at Li|SSE interfaces, and termination-assisted salt dissociation, segmental-motion facilitation, and MWS polarization to enhanced electrolyte conductivity—thereby providing a clear design rationale for practical implementation. Full article
(This article belongs to the Collection Feature Papers in Batteries)
Show Figures

Figure 1

12 pages, 2582 KB  
Communication
Intergranular Crack of Cathode Materials in Lithium-Ion Batteries Subjected to Rapid Cooling During Transient Thermal Runaway
by Siqi Li, Changchun Ye, Ming Jin, Guobin Zhong, Shi Liu, Yajie Liu and Zhixin Tai
Batteries 2025, 11(10), 363; https://doi.org/10.3390/batteries11100363 - 30 Sep 2025
Viewed by 249
Abstract
In metallurgy, the quenching process often induces changes in certain material properties, such as hardness and ductility, through the rapid cooling of a workpiece in water, gas, oil, polymer, air, or other fluids. Given that lithium-ion batteries operate under relatively benign conditions, conventional [...] Read more.
In metallurgy, the quenching process often induces changes in certain material properties, such as hardness and ductility, through the rapid cooling of a workpiece in water, gas, oil, polymer, air, or other fluids. Given that lithium-ion batteries operate under relatively benign conditions, conventional rapid cooling does not significantly affect the property variations in their internal electrode materials during normal use. However, thermal runaway presents an exception due to its dramatic temperature fluctuations from room temperature to several hundred degrees Celsius. In this study, we investigated NCM811 cathodes in 18,650 batteries subjected to transient thermal runaway followed by rapid cooling using several advanced analytical techniques. The results reveal a phenomenon characterized by intergranular cracking within NCM811 cathode materials when exposed to rapid cooling during transient thermal runaway. Furthermore, lithium-ion cells utilizing reused NCM-182.4 electrodes in fresh electrolyte demonstrate a reversible capacity of 231.4 mAh/g after 30 cycles at 0.1 C, highlighting the potential for reusing NCM811 cathodes in the lithium-ion battery recycling process. These findings not only illustrate that NCM811 particles may experience intergranular cracking when subjected to rapid cooling during transient thermal runaway, but also the rapidly cooled NCM811 electrodes exhibit potential for reuse. Full article
(This article belongs to the Special Issue Battery Interface: Analysis & Design)
Show Figures

Figure 1

25 pages, 2970 KB  
Article
A Smart Evolving Fuzzy Predictor with Customized Firefly Optimization for Battery RUL Prediction
by Mohamed Ahwiadi and Wilson Wang
Batteries 2025, 11(10), 362; https://doi.org/10.3390/batteries11100362 - 30 Sep 2025
Viewed by 216
Abstract
Accurate prediction of system degradation and remaining useful life (RUL) is essential for reliable health monitoring of Lithium-ion (Li-ion) batteries, as well as other dynamic systems. While evolving systems can offer adequate adaptability to the nonstationary and nonlinear behavior of battery degradation, existing [...] Read more.
Accurate prediction of system degradation and remaining useful life (RUL) is essential for reliable health monitoring of Lithium-ion (Li-ion) batteries, as well as other dynamic systems. While evolving systems can offer adequate adaptability to the nonstationary and nonlinear behavior of battery degradation, existing methods often face challenges such as uncontrolled rule growth, limited adaptability, and reduced accuracy under noisy conditions. To address these limitations, this paper presents a smart evolving fuzzy predictor with customized firefly optimization (SEFP-FO) to provide a better solution for battery RUL prediction. The proposed SEFP-FO technique introduces two main contributions: (1) An activation- and distance-aware penalization strategy is proposed to govern rule evolution by evaluating the structural relevance of incoming data. This mechanism can control rule growth while maintaining model convergence. (2) A customized firefly algorithm is suggested to optimize the antecedent parameters of newly generated fuzzy rules, thereby enhancing prediction accuracy and improving the predictor’s adaptive capability to time-varying system conditions. The effectiveness of the proposed SEFP-FO technique is first validated by simulation using nonlinear benchmark datasets, which is then applied to Li-ion battery RUL predictions. Full article
Show Figures

Graphical abstract

35 pages, 5230 KB  
Article
Electrochemical Performances of Li-Ion Batteries Based on LiFePO4 Cathodes Supported by Bio-Sourced Activated Carbon from Millet Cob (MC) and Water Hyacinth (WH)
by Wend-Waoga Anthelme Zemane and Oumarou Savadogo
Batteries 2025, 11(10), 361; https://doi.org/10.3390/batteries11100361 - 30 Sep 2025
Viewed by 455
Abstract
The electrochemical performance of Li-ion batteries employing LiFePO4 (LFP) cathodes supported by bio-sourced activated carbon derived from millet cob (MC) and water hyacinth (WH) were systematically investigated. Carbon activation was carried out using potassium hydroxide (KOH) at varying mass ratios of KOH [...] Read more.
The electrochemical performance of Li-ion batteries employing LiFePO4 (LFP) cathodes supported by bio-sourced activated carbon derived from millet cob (MC) and water hyacinth (WH) were systematically investigated. Carbon activation was carried out using potassium hydroxide (KOH) at varying mass ratios of KOH to precursor material: 1:1, 2:1, and 5:1 for both WH and MC-derived carbon. The physical properties (X-ray diffraction patterns, BET surface area, micropore and mesopore volume, conductivity, etc.) and electrochemical performance (specific capacity, discharge at various current rates, electrochemical impedance measurement, etc.) were determined. Material characterization revealed that the activated carbon derived from MC exhibits an amorphous structure, whereas that obtained from WH is predominantly crystalline. High specific surface areas were achieved with activated carbons synthesized using a low KOH-to-carbon mass ratio (1:1), reaching 413.03 m2·g−1 for WH and 216.34 m2·g−1 for MC. However, larger average pore diameters were observed at higher activation ratios (5:1), measuring 8.38 nm for KOH/WH and 5.28 nm for KOH/MC. For both biomass-derived carbons, optimal electrical conductivity was obtained at a 2:1 activation ratio, with values of 14.7 × 10−3 S·cm−1 for KOH/WH and 8.42 × 10−3 S·cm−1 for KOH/MC. The electrochemical performance of coin cells based on cathodes composed of 85% LiFePO4, 8% of these activated carbons, and 7% polyvinylidene fluoride (PVDF) as a binder, with lithium metal as the anode were studied. The LiFePO4/C (LFP/C) cathodes exhibited specific capacities of up to 160 mAh·g−1 at a current rate of C/12 and 110 mAh·g−1 at 5C. Both LFP/MC and LFP/WH cathodes exhibit optimal energy density at specific values of pore size, pore volume, charge transfer resistance (Rct), and diffusion coefficient (DLi), reflecting a favorable balance between ionic transport, accessible surface area, and charge conduction. Maximum energy densities relative to active mass were recorded at 544 mWh·g−1 for LFP/MC 2:1, 554 mWh·g−1 for LFP/WH 2:1, and 568 mWh·g−1 for the reference LFP/graphite system. These performance results demonstrate that the development of high-performing bio-sourced activated carbon depends on the optimization of various parameters, including chemical composition, specific surface area, pore volume and size distribution, as well as electrical conductivity. Full article
Show Figures

Figure 1

16 pages, 2423 KB  
Article
Numerical Simulation Study and Stress Prediction of Lithium-Ion Batteries Based on an Electrochemical–Thermal–Mechanical Coupled Model
by Juanhua Cao and Yafang Zhang
Batteries 2025, 11(10), 360; https://doi.org/10.3390/batteries11100360 - 29 Sep 2025
Viewed by 544
Abstract
In lithium-ion batteries, the fracture of active particles that are under stress is a key cause of battery aging, which leads to a reduction in active materials, an increase in internal resistance, and a decay in battery capacity. A coupled electrochemical–thermal–mechanical model was [...] Read more.
In lithium-ion batteries, the fracture of active particles that are under stress is a key cause of battery aging, which leads to a reduction in active materials, an increase in internal resistance, and a decay in battery capacity. A coupled electrochemical–thermal–mechanical model was established to study the concentration and stress distributions of negative electrode particles under different charging rates and ambient temperatures. The results show that during charging, the maximum lithium-ion concentration occurs on the particle surface, while the minimum concentration appears at the particle center. Moreover, as the temperature decreases, the concentration distribution of negative electrode active particles becomes more uneven. Stress analysis indicates that when charging at a rate of 1C and 0 °C, the maximum stress of particles at the negative electrode–separator interface reaches 123.7 MPa, while when charging at 30 °C, the maximum particle stress is 24.3 MPa. The maximum shear stress occurs at the particle center, presenting a tensile stress state, while the minimum shear stress is located on the particle surface, showing a compressive stress state. Finally, to manage the stress of active materials in lithium-ion batteries while charging for health maintenance, this study uses a DNN (Deep Neural Network) to predict the maximum shear stress of particles based on simulation results. The predicted indicators, MAE (Mean Absolute Error) and RMSE (Root Mean Square Error), are 0.034 and 0.046, respectively. This research is helpful for optimizing charging strategies based on the stress of active materials in lithium-ion batteries during charging, inhibiting battery aging and improving safety performance. Full article
Show Figures

Figure 1

15 pages, 1772 KB  
Article
Towards a Porous Zinc Anode Design for Enhanced Durability in Alkaline Zinc–Air Batteries
by Sarmila Dutta, Yasin Emre Durmus, Eunmi Im, Hans Kungl, Hermann Tempel and Rüdiger-A. Eichel
Batteries 2025, 11(10), 359; https://doi.org/10.3390/batteries11100359 - 29 Sep 2025
Viewed by 517
Abstract
The commercialization of rechargeable alkaline zinc–air batteries has been constrained by critical challenges associated with the zinc electrode, including passivation, dendrite growth, and hydrogen evolution reaction. These issues severely limit the cycle life and pose a major barrier to large-scale industrial deployment. Integration [...] Read more.
The commercialization of rechargeable alkaline zinc–air batteries has been constrained by critical challenges associated with the zinc electrode, including passivation, dendrite growth, and hydrogen evolution reaction. These issues severely limit the cycle life and pose a major barrier to large-scale industrial deployment. Integration of porous anode structures and electrode additives—two widely investigated approaches for mitigating challenges related to zinc anode—shows significant promise. However, effectively combining these approaches remains challenging. This study introduces a method for fabricating zinc anodes that can combine the benefits of a porous structure and electrode additive. The polytetrafluoroethylene (PTFE) polymer binder used in fabricating the anode material resulted in a stable scaffold, providing the desired anode porosity of approximately 60% and effectively anchoring ZnO nanoparticles. The zinc anodes prepared using a nickel mesh current collector without any electrode additives demonstrated stable cycling performance, sustaining 350 cycles at a current density of 60 mA gZn−1 with a coulombic efficiency of approximately 95%. Incorporating 2 wt.% Bi2O3 as an electrode additive further enhanced the cycling performance, achieving 200 stable cycles with 100% coulombic efficiency under an increased current density of 120 mA gZn−1, signifying the effectiveness of the proposed fabrication strategy. Full article
Show Figures

Figure 1

1 pages, 120 KB  
Correction
Correction: Yadasu et al. Sensor Fusion-Based Pulsed Controller for Low Power Solar-Charged Batteries with Experimental Tests: NiMH Battery as a Case Study. Batteries 2024, 10, 335
by Shyam Yadasu, Vinay Kumar Awaar, Vatsala Rani Jetti and Mohsen Eskandari
Batteries 2025, 11(10), 358; https://doi.org/10.3390/batteries11100358 - 29 Sep 2025
Viewed by 159
Abstract
In the original publication [...] Full article
23 pages, 1147 KB  
Article
Understanding Heat Generation of LNMO Cathodes in Lithium-Ion Batteries via Entropy and Resistance
by Kevin Böhm, Aleksandr Kondrakov, Torsten Markus and David Henriques
Batteries 2025, 11(10), 357; https://doi.org/10.3390/batteries11100357 - 28 Sep 2025
Viewed by 433
Abstract
The heat generation of lithium-ion batteries is a critical parameter, as it significantly affects cell temperature. Poor thermal management can lead to elevated cell temperatures, accelerating side reactions, reducing cell lifetime, and, in extreme cases, causing thermal runaway. Therefore, understanding heat generation is [...] Read more.
The heat generation of lithium-ion batteries is a critical parameter, as it significantly affects cell temperature. Poor thermal management can lead to elevated cell temperatures, accelerating side reactions, reducing cell lifetime, and, in extreme cases, causing thermal runaway. Therefore, understanding heat generation is crucial for the commercialization of emerging battery materials. Due to its high energy density, lithium–nickel–manganese–oxide (LNMO) is an attractive candidate for next-generation cathode materials; however, the composition of its heat generation is not yet fully understood. To address this, the state-of-charge (SoC)-dependent entropy coefficient and resistance of disordered LNMO cathodes are determined using the potentiometric method. The results show that both values are strongly influenced by the redox reactions of Ni and Mn. The entropy coefficient varies between 5.2 and −32.4 J mol1 K1, depending on the SoC. Furthermore, the resistance exhibits a switching dependence on kinetics and mass transfer. The resulting heat flux calculations indicate that, at SoC < 20%, heat generation is dominated by the kinetic behavior of LNMO, leading to two exothermal peaks during discharge and one exothermal peak during charge. This behavior is validated through a comparison with a low-current calorimetric measurement. Full article
Show Figures

Graphical abstract

36 pages, 3877 KB  
Review
Swelling Mechanisms, Diagnostic Applications, and Mitigation Strategies in Lithium-Ion Batteries
by Sahithi Maddipatla, Huzaifa Rauf, Michael Osterman, Naveed Arshad and Michael Pecht
Batteries 2025, 11(10), 356; https://doi.org/10.3390/batteries11100356 - 28 Sep 2025
Viewed by 706
Abstract
Electrochemical processes within a lithium-ion battery cause electrode expansion and gas generation, thus resulting in battery swelling and, in severe cases, reliability and safety issues. This paper presents the mechanisms responsible for swelling, including thermal expansion, lithium intercalation, electrode interphase layer growth, lithium [...] Read more.
Electrochemical processes within a lithium-ion battery cause electrode expansion and gas generation, thus resulting in battery swelling and, in severe cases, reliability and safety issues. This paper presents the mechanisms responsible for swelling, including thermal expansion, lithium intercalation, electrode interphase layer growth, lithium plating, and gas generation, while highlighting their dependence on material properties, design considerations, C-rate, temperature, state of charge (SoC), and voltage. The paper then discusses how swelling correlates with capacity fade, impedance rise, and thermal runaway, and demonstrates the potential of using swelling as a diagnostic and prognostic metric for battery health. Swelling models that connect microscopic mechanisms to macroscopic deformation are then presented. Finally, the paper presents strategies to mitigate swelling, including materials engineering, surface coatings, electrolyte formulation, and mechanical design modifications. Full article
Show Figures

Graphical abstract

15 pages, 3058 KB  
Article
Hollow Carbon Nanorod-Encapsulated Eu2O3 for High-Energy Hybrid Supercapacitors
by Arslan Umer, Daniel W. Tague, Muhammad Abbas, John P. Ferraris and Kenneth J. Balkus, Jr.
Batteries 2025, 11(10), 355; https://doi.org/10.3390/batteries11100355 - 27 Sep 2025
Viewed by 337
Abstract
Carbon nanorods have been synthesized from acetylene and steam using europium oxide nanorods as a template. The resulting carbon exhibits a high conductivity of 4.66 × 105 S/m and a surface area of 1226 m2/g. The Eu2O3 [...] Read more.
Carbon nanorods have been synthesized from acetylene and steam using europium oxide nanorods as a template. The resulting carbon exhibits a high conductivity of 4.66 × 105 S/m and a surface area of 1226 m2/g. The Eu2O3 was partially or completely washed from the carbon, creating hollow nanorods. Hybrid supercapacitors were fabricated where the Eu2O3 contributes a redox pseudocapacitance. A gravimetric capacitance of 501.2 F/g for the hybrid cell and 202 F/g for the carbon-only cell was measured at 1 A/g using 1 M lithium bis(trifluoromethanesulfonyl)imide (LiTFSI) in propylene carbonate as an electrolyte. The hybrid supercapacitor exhibited an excellent energy density of 108 Wh/kg at 1 A/g compared to 43 Wh/g at 1 A/g for the carbon-only supercapacitor. Full article
Show Figures

Graphical abstract

17 pages, 3364 KB  
Article
Investigation of Pr3+ and Nd3+ Doping Effects on Sodium Gadolinium Silicate Ceramics as Fast Na+ Conductors
by Abinaya Sivakumaran, Shantel Butler, Samuel Reid and Venkataraman Thangadurai
Batteries 2025, 11(10), 354; https://doi.org/10.3390/batteries11100354 - 27 Sep 2025
Viewed by 532
Abstract
Sodium metal batteries (SMBs) with ceramic solid electrolytes offer a promising route to improve the energy density of conventional Na-ion batteries (SIBs). Silicate-based ceramics have recently gained attention for their favourable properties, including better ionic conduction and wider stability windows. In this study, [...] Read more.
Sodium metal batteries (SMBs) with ceramic solid electrolytes offer a promising route to improve the energy density of conventional Na-ion batteries (SIBs). Silicate-based ceramics have recently gained attention for their favourable properties, including better ionic conduction and wider stability windows. In this study, 10% Pr3+ and Nd3+ were doped into sodium gadolinium silicate ceramics to examine the effects on phase purity, ionic conductivity, and interfacial compatibility with sodium metal anodes. The materials were synthesized via solid-state methods and sintered at 950–1075 °C to study the impact of sintering temperature on densification and microstructure. Na5Gd0.9Pr0.1Si4O12 (NGPS) and Na5Gd0.9Nd0.1Si4O12 (NGNS) sintered at 1075 °C showed the highest room temperature total ionic conductivities of 1.64 and 1.74 mS cm−1, respectively. The highest critical current density of 0.5 mA cm−2 is achieved with a low interfacial area-specific resistance of 29.47 Ω cm2 for NGPS and 22.88 Ω cm2 for NGNS after Na plating/stripping experiments. These results highlight how doping enhances phase purity, ionic conductivity, and interfacial stability of silicates with Na metal anodes. Full article
Show Figures

Graphical abstract

12 pages, 2405 KB  
Article
Impact of Inert Materials on Commercial Lithium–Ion Cell Energy Density
by William Yourey, Kayla Nong and Bhanu Babaiahgari
Batteries 2025, 11(10), 353; https://doi.org/10.3390/batteries11100353 - 27 Sep 2025
Viewed by 487
Abstract
With the goal of increasing energy density in lithium–ion cells, new active materials continue to be developed and evaluated. Similarly, in commercial lithium–ion cells, inert materials present in manufactured cells should also be evaluated. The impact of the thickness of inert materials on [...] Read more.
With the goal of increasing energy density in lithium–ion cells, new active materials continue to be developed and evaluated. Similarly, in commercial lithium–ion cells, inert materials present in manufactured cells should also be evaluated. The impact of the thickness of inert materials on EV-sized lithium–ion cells was evaluated. The impact of the thicknesses of the positive current collector, negative current collector, separator, and aluminum laminate package on cell properties is presented. The impact of these materials varies greatly over different cell designs, with one of the largest impacts being from a decrease in separator material thickness, especially in cells with a high number of electrode pairs, specifically, cells with a larger thickness or cells with low-capacity loadings. For high-capacity positive electrode loading, a decrease in separator thickness from 16 to 8 microns results in an increase in stack volumetric energy density from 502 to 531 Wh/L or an increase of 5.7%. Full article
(This article belongs to the Special Issue Battery Manufacturing: Current Status, Challenges, and Opportunities)
Show Figures

Figure 1

18 pages, 10787 KB  
Article
Experimental Investigations into the Ignitability of Real Lithium Iron Phosphate (LFP) Battery Vent Gas at Concentrations Below the Theoretical Lower Explosive Limit (LEL)
by Jason Gill, Jonathan E. H. Buston, Gemma E. Howard, Steven L. Goddard, Philip A. P. Reeve and Jack W. Mellor
Batteries 2025, 11(10), 352; https://doi.org/10.3390/batteries11100352 - 27 Sep 2025
Viewed by 469
Abstract
Lithium iron phosphate (LFP) batteries have become a popular choice for energy storage, electrified mobility, and plants. All lithium-based batteries produce flammable vent gas as a result of failure through thermal runaway. LFP cells produce less gas by volume than nickel-based cells, but [...] Read more.
Lithium iron phosphate (LFP) batteries have become a popular choice for energy storage, electrified mobility, and plants. All lithium-based batteries produce flammable vent gas as a result of failure through thermal runaway. LFP cells produce less gas by volume than nickel-based cells, but the composition of this gas most often contains less carbon dioxide and more hydrogen. However, when LFP cells fail, they generate lower temperatures, so the vent gas is rarely ignited. Therefore, the hazard presented by a LFP cell in thermal runaway is less of a direct battery fire hazard but more of a flammable gas source hazard. This research identified the constituents and components of the vent gas for different sized LFP prismatic cells when overcharged to failure. This data was used to calculate the maximum homogenous concentration of gas that would be released into a 1.73 m3 test rig and the percentage of the lower explosive limit (LEL). Overcharge experiments were conducted using the same type of cells in the test rig in the presence of remote ignition sources. Ignition and deflagration of the vent gas were possible at concentrations below the theoretical LEL of the vent gas if it was homogeneously mixed. Full article
Show Figures

Figure 1

19 pages, 912 KB  
Article
An Integrated Co-Simulation Framework for the Design, Analysis, and Performance Assessment of EIS-Based Measurement Systems for the Online Monitoring of Battery Cells
by Nicola Lowenthal, Roberta Ramilli, Marco Crescentini and Pier Andrea Traverso
Batteries 2025, 11(10), 351; https://doi.org/10.3390/batteries11100351 - 26 Sep 2025
Viewed by 277
Abstract
Electrochemical impedance spectroscopy (EIS) is widely used at the laboratory level for monitoring/diagnostics of battery cells, but the design and validation of in situ, online measurement systems based on EIS face challenges due to complex hardware–software interactions and non-idealities. This study aims to [...] Read more.
Electrochemical impedance spectroscopy (EIS) is widely used at the laboratory level for monitoring/diagnostics of battery cells, but the design and validation of in situ, online measurement systems based on EIS face challenges due to complex hardware–software interactions and non-idealities. This study aims to develop an integrated co-simulation framework to support the design, debugging, and validation of EIS measurement systems devoted to the online monitoring of battery cells, helping to predict experimental results and identify/correct the non-ideality effects and sources of uncertainty. The proposed framework models both the hardware and software components of an EIS-based system to simulate and analyze the impedance measurement process as a whole. It takes into consideration the effects of physical non-idealities on the hardware–software interactions and how those affect the final impedance estimate, offering a tool to refine designs and interpret test results. For validation purposes, the proposed general framework is applied to a specific EIS-based laboratory prototype, previously designed by the research group. The framework is first used to debug the prototype by uncovering hidden non-idealities, thus refining the measurement system, and then employed as a digital model of the latter for fast development of software algorithms. Finally, the results of the co-simulation framework are compared against a theoretical model, the real prototype, and a benchtop instrument to assess the global accuracy of the framework. Full article
Show Figures

Figure 1

25 pages, 6367 KB  
Article
Multiphysics Optimization of Graphite-Buffered Bilayer Anodes with Diverse Inner Materials for High-Energy Lithium-Ion Batteries
by Juan C. Rubio and Martin Bolduc
Batteries 2025, 11(10), 350; https://doi.org/10.3390/batteries11100350 - 25 Sep 2025
Viewed by 583
Abstract
This study presents a multiphysics simulation approach to optimize graphite-buffered bilayer anodes for enhanced energy density in lithium-ion batteries, assessing the electrochemical impact of diverse inner-layer materials, including silicon, hard carbon, lithium titanate (LTO), and metallic lithium, in pure and graphite-composite forms. A [...] Read more.
This study presents a multiphysics simulation approach to optimize graphite-buffered bilayer anodes for enhanced energy density in lithium-ion batteries, assessing the electrochemical impact of diverse inner-layer materials, including silicon, hard carbon, lithium titanate (LTO), and metallic lithium, in pure and graphite-composite forms. A coupled finite-element model implemented in COMSOL Multiphysics 6.2 was used to integrate spherical lithium diffusion, charge conservation, and the solid electrolyte interphase (SEI) formation kinetics. The evaluated anode structure consisted of a 60 µm-thick bilayer: a 30 µm graphite surface layer coupled with a 30 µm inner layer of alternative active materials. Simulations were performed using an NMC622 cathode, LiPF6 in EC:EMC electrolyte, at room temperature, under a charge rate of 1 C, considering realistic particle sizes (graphite: 2.5 µm; Si: 0.1 µm; hard carbon: 2.5 µm; LTO: 0.2 µm; Li metal: 0.5 µm), and evaluated over 2000 cycles. The hard carbon/graphite configuration exhibited a capacity fade of 5.8% compared with 7.1% in pure graphite. Additionally, the SEI thickness decreased to 0.20 µm (from 0.25 µm), the overpotential dropped to −17 mV (from −59 mV), and the electrolyte consumption was reduced to 20.8% (from 42.9%). The analysis highlights hard carbon and LTO inner layers as optimal trade-offs between capacity and cycle stability, whereas silicon and lithium metal significantly increased the initial capacity but accelerated SEI formation and impedance growth. These findings demonstrate the graphite-buffered bilayer’s potential to decouple interfacial degradation from high-capacity materials, providing valuable guidelines for the design of advanced lithium-ion battery anodes. Full article
Show Figures

Figure 1

10 pages, 1673 KB  
Communication
The Origin of Improved Cycle Stability of Li-O2 Batteries Using High-Concentration Electrolytes
by Wei Fan, Xu Liu, Guangqian Li, Ke Yu, Peng Wang, Min Lei, Ce Zhen, Lei Miao, Jialiang Wang, Chun Li, Junliang Hou, Hongtao Ji and Licheng Miao
Batteries 2025, 11(10), 349; https://doi.org/10.3390/batteries11100349 - 23 Sep 2025
Viewed by 362
Abstract
The intrinsic instability of organic electrolytes seriously impedes practical applications of lithium–oxygen (Li-O2) batteries. Recent studies have shown that the use of high-concentration electrolytes can suppress the decomposition reaction of electrolytes and help enhance cell reversibility. However, the fundamental nature of [...] Read more.
The intrinsic instability of organic electrolytes seriously impedes practical applications of lithium–oxygen (Li-O2) batteries. Recent studies have shown that the use of high-concentration electrolytes can suppress the decomposition reaction of electrolytes and help enhance cell reversibility. However, the fundamental nature of concentrated electrolytes’ ability to improve the chemical durability and stability of Li-O2 batteries remains unclear. In this work, we conducted computational studies to elucidate the origin of the enhanced oxidative/reductive stability of three representative solvents—DMSO, DME, and EC—in high-concentration electrolytes. The modeling results identify that Li+-solvent complexes, one of the solvate components, are the easiest to decompose in concentrated electrolytes. Thermodynamic and kinetic characterizations reveal that more anions in concentrated electrolytes are responsible for improving the oxidative and reductive stability of electrolytes. In addition, more Li+ ions, acting as a scavenging or stabilizing agent for superoxide anion (O2), also improve the stability of electrolytes against oxidation in Li-O2 batteries. This work provides a mechanistic understanding of the enhanced cycle stability of a Li-O2 battery using high-concentration electrolytes. Full article
(This article belongs to the Special Issue Batteries: 10th Anniversary)
Show Figures

Graphical abstract

Previous Issue
Back to TopTop