A Critical Review of AI-Based Battery Remaining Useful Life Prediction for Energy Storage Systems
Abstract
1. Introduction
2. Definition of Remaining Useful Life
3. Discussion on the Classification of Methods for RUL Prediction
3.1. Model-Based Approaches for RUL Prediction
3.1.1. Electrochemical Model-Based RUL Prediction
3.1.2. Equivalent Circuit Model-Based RUL Prediction
3.1.3. Filtering Model-Based RUL Prediction
3.2. RUL Prediction Based on the Data-Driven Approach
3.2.1. Stochastic Process Methods for RUL Prediction
3.2.2. Traditional Machine Learning Methods for RUL Prediction
3.2.3. Deep Learning Methods for RUL Prediction
4. Fusion-Based RUL Prediction Using Multi-Scale Methods
5. Conclusions and Prospects
5.1. Conclusions
5.2. Prospect
Author Contributions
Funding
Acknowledgments
Conflicts of Interest
References
- Masias, A.; Marcicki, J.; Paxton, W.A. Opportunities and challenges of lithium ion batteries in automotive applications. ACS Energy Lett. 2021, 6, 621–630. [Google Scholar] [CrossRef]
- He, W.; Guo, W.; Wu, H.; Lin, L.; Liu, Q.; Han, X.; Xie, Q.; Liu, P.; Zheng, H.; Wang, L.; et al. Challenges and recent advances in high capacity Li-rich cathode materials for high energy density lithium-ion batteries. Adv. Mater. 2021, 33, 205–237. [Google Scholar] [CrossRef] [PubMed]
- See, K.W.; Wang, G.; Zhang, Y.; Wang, Y.; Meng, L.; Gu, X.; Zhang, N.; Lim, K.C.; Zhao, L.; Xie, B. Critical review and functional safety of a battery management system for large-scale lithium-ion battery pack technologies. Int. J. Coal Sci. Technol. 2022, 9, 36–57. [Google Scholar] [CrossRef]
- Citaristi, I. International Energy Agency—IEA, 24th ed.; Routledge: Oxfordshire, UK, 2022; ISBN 978-1-003-29254-8. [Google Scholar]
- He, J.; Meng, J.; Huang, Y. Challenges and recent progress in fast-charging lithium-ion battery materials. J. Power Sources 2023, 570, 232–265. [Google Scholar] [CrossRef]
- Walter, M.; Kovalenko, M.V.; Kravchyk, K.V. Challenges and benefits of post-lithium-ion batteries. New J. Chem. 2020, 44, 1677–1683. [Google Scholar] [CrossRef]
- Shu, X.; Guo, Y.; Yang, W.; Wei, K.; Zhu, G. Life-cycle assessment of the environmental impact of the batteries used in pure electric passenger cars. Energy Rep. 2021, 7, 2302–2315. [Google Scholar] [CrossRef]
- Duan, J.; Tang, X.; Dai, H.; Yang, Y.; Wu, W.; Wei, X.; Huang, Y. Building safe lithium-ion batteries for electric vehicles: A review. Electrochem. Energy Rev. 2020, 3, 1–42. [Google Scholar] [CrossRef]
- Qiu, Y.; Jiang, F. A review on passive and active strategies of enhancing the safety of lithium-ion batteries. Int. J. Heat Mass Transfer 2022, 184, 122–148. [Google Scholar] [CrossRef]
- Zheng, Y.; Che, Y.; Hu, X.; Sui, X.; Stroe, D.-I.; Teodorescu, R. Thermal state monitoring of lithium-ion batteries: Progress, challenges, and opportunities. Prog. Energy Combust. Sci. 2024, 100, 101–120. [Google Scholar] [CrossRef]
- Pradhan, S.K.; Chakraborty, B. Battery management strategies: An essential review for battery state of health monitoring techniques. J. Energy Storage 2022, 51, 104–127. [Google Scholar] [CrossRef]
- Das, K.; Kumar, R. Electric vehicle battery capacity degradation and health estimation using machine-learning techniques: A review. Clean Energy 2023, 7, 1268–1281. [Google Scholar] [CrossRef]
- Habib, A.K.M.A.; Hasan, M.K.; Issa, G.F.; Singh, D.; Ghazal, T.M. Lithium-ion battery management system for electric vehicles: Constraints, challenges, and recommendations. Batteries 2023, 9, 152–174. [Google Scholar] [CrossRef]
- Gabbar, H.A.; Othman, A.M.; Abdussami, M.R. Review of battery management systems (BMS) development and industrial standards. Technologies 2021, 9, 28–422. [Google Scholar] [CrossRef]
- Ansari, S.; Ayob, A.; Lipu, M.S.H.; Hussain, A.; Saad, M.H.M. Remaining useful life prediction for lithium-ion battery storage system: A comprehensive review of methods, key factors, issues and future outlook. Energy Rep. 2022, 8, 12153–12185. [Google Scholar] [CrossRef]
- Tao, J.; Wang, S.; Cao, W.; Fernandez, C.; Blaabjerg, F.; Cheng, L. An innovative multitask learning-long short-term memory neural network for the online anti-aging state of charge estimation of lithium-ion batteries adaptive to varying temperature and current conditions. Energy 2025, 314, 134–162. [Google Scholar] [CrossRef]
- Qiao, Y.; Zhao, H.; Shen, Y.; Li, L.; Rao, Z.; Shao, G.; Lei, Y. Recycling of graphite anode from spent lithium-ion batteries: Advances and perspectives. Ecomat 2023, 5, 123–141. [Google Scholar] [CrossRef]
- Hou, L.; Liu, Q.; Chen, X.; Yang, Q.; Mu, D.; Li, L.; Wu, F.; Chen, R. In-depth understanding of the deterioration mechanism and modification engineering of high energy density Ni-rich layered lithium transition-metal oxide cathode for lithium-ion batteries. Chem. Eng. J. 2023, 465, 142–156. [Google Scholar] [CrossRef]
- Hubble, D.; Emory Brown, D.; Zhao, Y.; Fang, C.; Lau, J.; McCloskey, B.D.; Liu, G. Liquid electrolyte development for low-temperature lithium-ion batteries. Energy Environ. Sci. 2022, 15, 550–578. [Google Scholar] [CrossRef]
- Liu, Z.; Jiang, Y.; Hu, Q.; Guo, S.; Yu, L.; Li, Q.; Liu, Q.; Hu, X. Safer lithium-ion batteries from the separator aspect: Development and future perspectives. Energy Environ. Mater. 2021, 4, 336–362. [Google Scholar] [CrossRef]
- Zhu, J.; Wang, Y.; Huang, Y.; Bhushan Gopaluni, R.; Cao, Y.; Heere, M.; Mühlbauer, M.J.; Mereacre, L.; Dai, H.; Liu, X.; et al. Data-driven capacity estimation of commercial lithium-ion batteries from voltage relaxation. Nat. Commun. 2022, 13, 2261–2274. [Google Scholar] [CrossRef]
- Wang, Y.; Xiang, H.; Soo, Y.-Y.; Fan, X. Aging mechanisms, prognostics and management for lithium-ion batteries: Recent advances. Renew. Sustain. Energy Rev. 2025, 207, 1149–1165. [Google Scholar] [CrossRef]
- Yang, Y.; Yang, W.; Yang, H.; Zhou, H. Electrolyte design principles for low-temperature lithium-ion batteries. Escience 2023, 3, 100–117. [Google Scholar] [CrossRef]
- Li, B.; Chao, Y.; Li, M.; Xiao, Y.; Li, R.; Yang, K.; Cui, X.; Xu, G.; Li, L.; Yang, C.; et al. A review of solid electrolyte interphase (SEI) and dendrite formation in lithium batteries. Electrochem. Energy Rev. 2023, 6, 7–21. [Google Scholar] [CrossRef]
- Sun, J.; Huang, L.; Xu, G.; Dong, S.; Wang, C.; Cui, G. Mechanistic insight into the impact of pre-lithiation on the cycling stability of lithium-ion battery BY translation is waiting. Mater. Today 2022, 58, 110–118. [Google Scholar] [CrossRef]
- Jiang, J.-M.; Li, Z.-W.; Zhang, Z.-T.; Wang, S.-J.; Xu, H.; Zheng, X.-R.; Chen, Y.-X.; Ju, Z.-C.; Dou, H.; Zhang, X.-G. Recent advances and perspectives on prelithiation strategies for lithium-ion capacitors. Rare Met. 2022, 41, 3322–3335. [Google Scholar] [CrossRef]
- Nyamathulla, S.; Dhanamjayulu, C. A review of battery energy storage systems and advanced battery management system for different applications: Challenges and recommendations. J. Energy Storage 2024, 86, 111–129. [Google Scholar] [CrossRef]
- Nasajpour-Esfahani, N.; Garmestani, H.; Bagheritabar, M.; Jasim, D.J.; Toghraie, D.; Dadkhah, S.; Firoozeh, H. Comprehensive review of lithium-ion battery materials and development challenges. Renew. Sustain. Energy Rev. 2024, 203, 1147–1163. [Google Scholar] [CrossRef]
- Cao, C.; Zhong, Y.; Shao, Z. Electrolyte engineering for safer lithium-ion batteries: A review. Chin. J. Chem. 2023, 41, 1119–1141. [Google Scholar] [CrossRef]
- Guo, Y.; Cai, J.; Liao, Y.; Hu, J.; Zhou, X. Insight into fast charging/discharging aging mechanism and degradation-safety analytics of 18650 lithium-ion batteries. J. Energy Storage 2023, 72, 108–131. [Google Scholar] [CrossRef]
- Zhang, G.; Wei, X.; Chen, S.; Wei, G.; Zhu, J.; Wang, X.; Han, G.; Dai, H. Research on the impact of high-temperature aging on the thermal safety of lithium-ion batteries. J. Energy Chem. 2023, 87, 378–389. [Google Scholar] [CrossRef]
- Bokstaller, J.; Schneider, J.; vom Brocke, J. Estimating SoC, SoH, or RuL of rechargeable batteries via IoT: A review. IEEE Internet Things J. 2024, 11, 7559–7582. [Google Scholar] [CrossRef]
- Chen, L.; Wang, S.; Chen, L.; Fernandez, C.; Blaabjerg, F. A multi-timescale estimator for state of energy and maximum available energy of lithium-ion batteries based on variable order online identification. J. Energy Storage 2025, 110, 115350. [Google Scholar] [CrossRef]
- Rahman, T.; Alharbi, T. Exploring lithium-ion battery degradation: A concise review of critical factors, impacts, data-driven degradation estimation techniques, and sustainable directions for energy storage systems. Batteries 2024, 10, 220–234. [Google Scholar] [CrossRef]
- Ouyang, D.; Liu, B.; Huang, J.; Wang, Z. Degradation and safety performance of lithium-ion cells under high-rate charging/discharging scenarios. Process Saf. Environ. Prot. 2024, 185, 76–85. [Google Scholar] [CrossRef]
- Zhang, Y.; Lu, Y.; Jin, J.; Wu, M.; Yuan, H.; Zhang, S.; Davey, K.; Guo, Z.; Wen, Z. Electrolyte design for lithium-ion batteries for extreme temperature applications. Adv. Mater. 2024, 36, 230–241. [Google Scholar] [CrossRef] [PubMed]
- Mehta, R.; Gupta, A. Mathematical modelling of electrochemical, thermal and degradation processes in lithium-ion cells—A comprehensive review. Renew. Sustain. Energy Rev. 2024, 192, 1142–1154. [Google Scholar] [CrossRef]
- Hossain Lipu, M.S.; Rahman, M.S.A.; Mansor, M.; Rahman, T.; Ansari, S.; Fuad, A.M.; Hannan, M.A. Data driven health and life prognosis management of supercapacitor and lithium-ion battery storage systems: Developments, implementation aspects, limitations, and future directions. J. Energy Storage 2024, 98, 113–132. [Google Scholar] [CrossRef]
- Xu, L.; Wu, F.; Chen, R.; Li, L. Data-driven-aided strategies in battery lifecycle management: Prediction, monitoring, and optimization BY translation is waiting. Energy Storage Mater. 2023, 59, 102–115. [Google Scholar] [CrossRef]
- Lin, R.; Shi, H.; Wang, S.; Yu, C.; Nie, S.; Fernandez, C.; Meisam Kazmi, M. Improved dynamic discount function identification strategy for adaptive current transients and capturing complex carrier behavior inside lithium-ion batteries. J. Electrochem. Soc. 2025, 172, 705–718. [Google Scholar] [CrossRef]
- Wang, S.; Jin, S.; Bai, D.; Fan, Y.; Shi, H.; Fernandez, C. A critical review of improved deep learning methods for the remaining useful life prediction of lithium-ion batteries. Energy Rep. 2021, 7, 5562–5574. [Google Scholar] [CrossRef]
- Zhou, Y.; Wang, S.; Li, Z.; Feng, R.; Fernandez, C. Battery pack capacity estimation based on improved cooperative co-evolutionary strategy and LightGBM hybrid models using indirect health features. J. Energy Storage 2025, 114, 115–124. [Google Scholar] [CrossRef]
- Iurilli, P.; Brivio, C.; Wood, V. On the use of electrochemical impedance spectroscopy to characterize and model the aging phenomena of lithium-ion batteries: A critical review. J. Power Sources 2021, 505, 229–241. [Google Scholar] [CrossRef]
- Shu, X.; Yang, W.; Yang, B.; Wei, K.; Punyawudho, K.; Liu, C. Research on EIS characterization and internal morphological changes of LIBs during degradation process. Eng. Fail. Anal. 2024, 155, 124–152. [Google Scholar] [CrossRef]
- Shu, X.; Li, Y.; Yang, B.; Wang, Q.; Punyawudho, K. Research on the electrochemical impedance spectroscopy evolution of sodium-ion batteries in different states. Molecules 2024, 29, 4963–4972. [Google Scholar] [CrossRef]
- Xie, Y.; Wang, S.; Zhang, G.; Takyi-Aninakwa, P.; Fernandez, C.; Blaabjerg, F. A review of data-driven whole-life state of health prediction for lithium-ion batteries: Data preprocessing, aging characteristics, algorithms, and future challenges. J. Energy Chem. 2024, 97, 630–649. [Google Scholar] [CrossRef]
- Huang, Y.; Zhang, P.; Lu, J.; Xiong, R.; Cai, Z. A transferable long-term lithium-ion battery aging trajectory prediction model considering internal resistance and capacity regeneration phenomenon. Appl. Energy 2024, 360, 122–135. [Google Scholar] [CrossRef]
- S, V.; Che, H.S.; Selvaraj, J.; Tey, K.S.; Lee, J.W.; Shareef, H.; Errouissi, R. State of health (SoH) estimation methods for second life lithium-ion battery—Review and challenges. Appl. Energy 2024, 369, 123–142. [Google Scholar] [CrossRef]
- Ji, S.; Zhu, J.; Yang, Y.; dos Reis, G.; Zhang, Z. Data-driven battery characterization and prognosis: Recent progress, challenges, and prospects. Small Methods 2024, 8, 2301–2314. [Google Scholar] [CrossRef]
- Sharma, P.; Bora, B.J. A review of modern machine learning techniques in the prediction of remaining useful life of lithium-ion batteries. Batteries 2023, 9, 13. [Google Scholar] [CrossRef]
- Wu, W.; Wang, S.; Fan, Y.; Liu, D.; Long, G.; Fernandez, C. A hybrid squeeze excitation gate recurrent unit-autoregressive integrated moving average model for long-term state of health estimation of lithium-ion batteries with adaptive enhancement ability. J. Energy Storage 2025, 131, 117–134. [Google Scholar] [CrossRef]
- Shi, C.; Zhu, D.; Zhang, L.; Song, S.; Sheldon, B.W. Transfer learning prediction on lithium-ion battery heat release under thermal runaway condition. Nano Res. Energy 2024, 3, 912–927. [Google Scholar] [CrossRef]
- Zou, Y.; Wang, S.; Hai, N.; Blaabjerg, F.; Fernandez, C.; Cao, W. Enhanced quantile regression long short-term memory hybrid neural network for the state of charge point and interval estimation of lithium-ion batteries. Energy 2025, 332, 137–151. [Google Scholar] [CrossRef]
- Ren, Y.; Jin, C.; Fang, S.; Yang, L.; Wu, Z.; Wang, Z.; Peng, R.; Gao, K. A comprehensive review of key technologies for enhancing the reliability of lithium-ion power batteries. Energies 2023, 16, 6144–6157. [Google Scholar] [CrossRef]
- Shan, C.; Chin, C.S.; Mohan, V.; Zhang, C. Review of various machine learning approaches for predicting parameters of lithium-ion batteries in electric vehicles. Batteries 2024, 10, 181–193. [Google Scholar] [CrossRef]
- Shahjalal, M.; Roy, P.K.; Shams, T.; Fly, A.; Chowdhury, J.I.; Ahmed, M.R.; Liu, K. A review on second-life of Li-ion batteries: Prospects, challenges, and issues. Energy 2022, 241, 122–134. [Google Scholar] [CrossRef]
- Ren, J.; Ma, J.; Wang, H.; Yu, T.; Wang, K. A comprehensive review on research methods for lithium-ion battery of state of health estimation and end of life prediction: Methods, properties, and prospects. Prot. Control Mod. Power Syst. 2024, 10, 146–165. [Google Scholar] [CrossRef]
- Li, X.; Yu, D.; Søren Byg, V.; Daniel Ioan, S. The development of machine learning-based remaining useful life prediction for lithium-ion batteries. J. Energy Chem. 2023, 82, 103–121. [Google Scholar] [CrossRef]
- Xu, Y.; Ge, X.; Guo, R.; Shen, W. Recent advances in model-based fault diagnosis for lithium-ion batteries: A comprehensive review. Renew. Sustain. Energy Rev. 2025, 207, 114–126. [Google Scholar] [CrossRef]
- Lucaferri, V.; Quercio, M.; Laudani, A.; Riganti Fulginei, F. A review on battery model-based and data-driven methods for battery management systems. Energies 2023, 16, 7807–7818. [Google Scholar] [CrossRef]
- You, H.; Wang, X.; Zhu, J.; Jiang, B.; Han, G.; Wei, X.; Dai, H. Investigation of lithium-ion battery nonlinear degradation by experiments and model-based simulation. Energy Storage Mater. 2024, 65, 103–113. [Google Scholar] [CrossRef]
- Rauf, H.; Khalid, M.; Arshad, N. A novel smart feature selection strategy of lithium-ion battery degradation modelling for electric vehicles based on modern machine learning algorithms. J. Energy Storage 2023, 68, 1075–1097. [Google Scholar] [CrossRef]
- Amiri, M.N.; Håkansson, A.; Burheim, O.S.; Lamb, J.J. Lithium-ion battery digitalization: Combining physics-based models and machine learning. Renew. Sustain. Energy Rev. 2024, 200, 114–132. [Google Scholar] [CrossRef]
- Singh, S.; Ebongue, Y.E.; Rezaei, S.; Birke, K.P. Hybrid modeling of lithium-ion battery: Physics-informed neural network for battery state estimation. Batteries 2023, 9, 301–312. [Google Scholar] [CrossRef]
- Liu, K.; Gao, Y.; Zhu, C.; Li, K.; Fei, M.; Peng, C.; Zhang, X.; Han, Q.-L. Electrochemical modeling and parameterization towards control-oriented management of lithium-ion batteries. Control Eng. Pract. 2022, 124, 105176–105191. [Google Scholar] [CrossRef]
- O’Kane, S.E.; Ai, W.; Madabattula, G.; Alonso-Alvarez, D.; Timms, R.; Sulzer, V.; Sophie Edge, J.; Wu, B.; Offer, G.J.; Marinescu, M. Lithium-ion battery degradation: How to model it. Phys. Chem. Chem. Phys. 2022, 24, 7909–7922. [Google Scholar] [CrossRef]
- Sun, G.; Liu, Y.; Liu, X. A method for estimating lithium-ion battery state of health based on physics-informed machine learning. J. Power Sources 2025, 627, 235–251. [Google Scholar] [CrossRef]
- Arshad, F.; Lin, J.; Manurkar, N.; Fan, E.; Ahmad, A.; Tariq, M.-N.; Wu, F.; Chen, R.; Li, L. Life cycle assessment of lithium-ion batteries: A critical review. Resour. Conserv. Recycl. 2022, 180, 106–134. [Google Scholar] [CrossRef]
- Song, K.; Hu, D.; Tong, Y.; Yue, X. Remaining life prediction of lithium-ion batteries based on health management: A review. J. Energy Storage 2023, 57, 106–118. [Google Scholar] [CrossRef]
- Zhang, J.; Jiang, Y.; Li, X.; Luo, H.; Yin, S.; Kaynak, O. Remaining useful life prediction of lithium-ion battery with adaptive noise estimation and capacity regeneration detection. IEEE/ASME Trans. Mechatron. 2023, 28, 632–643. [Google Scholar] [CrossRef]
- Barzacchi, L.; Lagnoni, M.; Rienzo, R.D.; Bertei, A.; Baronti, F. Enabling early detection of lithium-ion battery degradation by linking electrochemical properties to equivalent circuit model parameters. J. Energy Storage 2022, 50, 104–132. [Google Scholar] [CrossRef]
- Tao, J.; Wang, S.; Cao, W.; Fernandez, C.; Blaabjerg, F. A comprehensive review of multiple physical and data-driven model fusion methods for accurate lithium-ion battery inner state factor estimation. Batteries 2024, 10, 442–453. [Google Scholar] [CrossRef]
- Madani, S.S.; Shabeer, Y.; Allard, F.; Fowler, M.; Ziebert, C.; Wang, Z.; Panchal, S.; Chaoui, H.; Mekhilef, S.; Dou, S.X.; et al. A comprehensive review on lithium-ion battery lifetime prediction and aging mechanism analysis. Batteries 2025, 11, 127–142. [Google Scholar] [CrossRef]
- Tao, Z.; Zhao, Z.; Wang, C.; Huang, L.; Jie, H.; Li, H.; Hao, Q.; Zhou, Y.; See, K.Y. State of charge estimation of lithium batteries: Review for equivalent circuit model methods. Measurement 2024, 236, 115–128. [Google Scholar] [CrossRef]
- Wang, X.; Ye, P.; Liu, S.; Zhu, Y.; Deng, Y.; Yuan, Y.; Ni, H. Research progress of battery life prediction methods based on physical model. Energies 2023, 16, 3858–3867. [Google Scholar] [CrossRef]
- Xia, F.; Wang, K.; Chen, J. State of health and remaining useful life prediction of lithium-ion batteries based on a disturbance-free incremental capacity and differential voltage analysis method. J. Energy Storage 2023, 64, 107–121. [Google Scholar] [CrossRef]
- Vasta, E.; Scimone, T.; Nobile, G.; Eberhardt, O.; Dugo, D.; De Benedetti, M.M.; Lanuzza, L.; Scarcella, G.; Patanè, L.; Arena, P.; et al. Models for battery health assessment: A comparative evaluation. Energies 2023, 16, 632–645. [Google Scholar] [CrossRef]
- Nuroldayeva, G.; Serik, Y.; Adair, D.; Uzakbaiuly, B.; Bakenov, Z. State of health estimation methods for lithium-ion batteries. Int. J. Energy Res. 2023, 2023, 429–445. [Google Scholar] [CrossRef]
- Fahmy, H.M.; Hasanien, H.M.; Alharbi, M.; Ji, H. Hybrid extended kalman filter with newton raphson method for lifetime prediction of lithium-ion batteries. Sci. Rep. 2025, 15, 5–22. [Google Scholar] [CrossRef]
- Li, X.; Yuan, C.; Wang, Z.; He, J.; Yu, S. Lithium battery state-of-health estimation and remaining useful lifetime prediction based on non-parametric aging model and particle filter algorithm. Etransportation 2022, 11, 100–116. [Google Scholar] [CrossRef]
- Shrivastava, P.; Naidu, P.A.; Sharma, S.; Panigrahi, B.K.; Garg, A. Review on technological advancement of lithium-ion battery states estimation methods for electric vehicle applications. J. Energy Storage 2023, 64, 107–119. [Google Scholar] [CrossRef]
- Elmahallawy, M.; Elfouly, T.; Alouani, A.; Massoud, A.M. A comprehensive review of lithium-ion batteries modeling, and state of health and remaining useful lifetime prediction. IEEE Access 2022, 10, 119040–119070. [Google Scholar] [CrossRef]
- Xi, R.; Mu, Z.; Ma, Z.; Jin, W.; Ma, H.; Liu, K.; Li, J.; Yu, M.; Jin, D.; Cheng, F. Lifetime prediction of rechargeable lithium-ion battery using multi-physics and multiscale model. J. Power Sources 2024, 608, 2346–2358. [Google Scholar] [CrossRef]
- Khodadadi Sadabadi, K.; Jin, X.; Rizzoni, G. Prediction of remaining useful life for a composite electrode lithium ion battery cell using an electrochemical model to estimate the state of health. J. Power Sources 2021, 481, 228–241. [Google Scholar] [CrossRef]
- Chen, L.; Ding, S.; Wang, L.; Zhu, F.; Zhu, X.; Zhang, S.; Dai, H.; He, X.; Cao, G.; Qiu, J.; et al. Electrochemical model boosting accurate prediction of calendar life for commercial LiFePO4|graphite cells by combining solid electrolyte interface side reactions. Appl. Energy 2024, 376, 124–135. [Google Scholar] [CrossRef]
- El-Dalahmeh, M.; Al-Greer, M.; El-Dalahmeh, M.; Bashir, I. Physics-based model informed smooth particle filter for remaining useful life prediction of lithium-ion battery. Measurement 2023, 214, 112–138. [Google Scholar] [CrossRef]
- Graule, A.; Oehler, F.F.; Schmitt, J.; Li, J.; Jossen, A. Development and evaluation of a physicochemical equivalent circuit model for lithium-ion batteries. J. Electrochem. Soc. 2024, 171, 205–213. [Google Scholar] [CrossRef]
- Hu, W.; Qian, Q. Lithium-ion battery state of health and failure analysis with mixture weibull and equivalent circuit model. Iscience 2024, 27, 54–71. [Google Scholar] [CrossRef]
- Elio, C.; De Falco, P.; Di Noia, L.P. Probabilistic modeling of Li-ion battery remaining useful life. IEEE Trans. Ind. Appl. 2022, 58, 5214–5226. [Google Scholar] [CrossRef]
- Chen, G.; Zhou, H.; Ba, T.; Xu, Y.; Yang, J.; Xiao, R.; Pan, N.; Gong, H. Online joint estimation of state of charge and state of health based on equivalent circuit model with limited test time for lithium-ion batteries. Sens. Actuators A 2025, 383, 116–130. [Google Scholar] [CrossRef]
- Pai, H.Y.; Liu, Y.H.; Ye, S.P. Online estimation of lithium-ion battery equivalent circuit model parameters and state of charge using time-domain assisted decoupled recursive least squares technique. J. Energy Storage 2023, 62, 106–118. [Google Scholar] [CrossRef]
- Li, X.; Fan, D.; Liu, X.; Xu, S.; Huang, B. State of health estimation for lithium-ion batteries based on improved bat algorithm optimization kernel extreme learning machine. J. Energy Storage 2024, 101, 113–124. [Google Scholar] [CrossRef]
- Shi, H.; Liang, Y.; Wu, B.; Zhang, X.; Wang, Z.; Sun, C. Time-varying nonparametric remaining useful life of systems based on adaptive kernel auxiliary particle filter. IEEE Trans. Instrum. Meas. 2025, 74, 1–14. [Google Scholar] [CrossRef]
- Xiong, R.; Wang, S.; Huang, Q.; Yu, C.; Fernandez, C.; Xiao, W.; Jia, J.; Guerrero, J.M. Improved cooperative competitive particle swarm optimization and nonlinear coefficient temperature decreasing simulated annealing-back propagation methods for state of health estimation of energy storage batteries. Energy 2024, 292, 130–144. [Google Scholar] [CrossRef]
- Wu, T.; Zhao, T.; Xu, S. Prediction of remaining useful life of the lithium-ion battery based on improved particle filtering. Front. Energy Res. 2022, 10, 23–41. [Google Scholar] [CrossRef]
- Xu, Z.; Xie, N.; Li, K. Remaining useful life prediction for lithium-ion batteries with an improved grey particle filter model. J. Energy Storage 2024, 78, 110–121. [Google Scholar] [CrossRef]
- Fall, M.; Yu, C.; Takyi-Aninakwa, P.; Wang, S.; Ali, T.S.; Zhang, L. A multi-measurement exponential gain unscented kalman filter-based state of charge estimation for lithium-ion batteries with temperature adaptability. Ionics 2025, 31, 6919–6933. [Google Scholar] [CrossRef]
- Shah, A.; Shah, K.; Shah, C.; Shah, M. State of charge, remaining useful life and knee point estimation based on artificial intelligence and machine learning in lithium-ion EV batteries: A comprehensive review. Renew. Energy Focus 2022, 42, 146–164. [Google Scholar] [CrossRef]
- Li, W.; Chen, J.; Quade, K.; Luder, D.; Gong, J.; Sauer, D.U. Battery degradation diagnosis with field data, impedance-based modeling and artificial intelligence. Energy Storage Mater. 2022, 53, 391–403. [Google Scholar] [CrossRef]
- Zhou, Y.; Wang, S.; Xie, Y.; Zeng, J.; Fernandez, C. Remaining useful life prediction and state of health diagnosis of lithium-ion batteries with multiscale health features based on optimized CatBoost algorithm. Energy 2024, 300, 131–150. [Google Scholar] [CrossRef]
- Li, Y.; Wang, S.; Chen, L.; Qi, C.; Fernandez, C. Multiple layer kernel extreme learning machine modeling and eugenics genetic sparrow search algorithm for the state of health estimation of lithium-ion batteries. Energy 2023, 282, 128–146. [Google Scholar] [CrossRef]
- Wang, S.; Jin, S.; Deng, D.; Fernandez, C. A critical review of online battery remaining useful lifetime prediction methods. Front. Mech. Eng. 2021, 7, 562–574. [Google Scholar] [CrossRef]
- Zhang, Z.; Jeong, Y.; Jang, J.; Lee, C.-G. A pattern-driven stochastic degradation model for the prediction of remaining useful life of rechargeable batteries. IEEE Trans. Ind. Informat. 2022, 18, 8586–8594. [Google Scholar] [CrossRef]
- Mo, D.; Wang, S.; Fan, Y.; Takyi-Aninakwa, P.; Zhang, M.; Wang, Y.; Fernandez, C. Enhanced multi-constraint dung beetle optimization-kernel extreme learning machine for lithium-ion battery state of health estimation with adaptive enhancement ability. Energy 2024, 307, 1327–1343. [Google Scholar] [CrossRef]
- Xu, X.; Tang, S.; Yu, C.; Xie, J.; Han, X.; Ouyang, M. Remaining useful life prediction of lithium-ion batteries based on wiener process under time-varying temperature condition. Reliab. Eng. Syst. Saf. 2021, 214, 107–125. [Google Scholar] [CrossRef]
- Keshun, Y.; Guangqi, Q.; Yingkui, G. Remaining useful life prediction of lithium-ion batteries using EM-PF-SSA-SVR with gamma stochastic process. Meas. Sci. Technol. 2023, 35, 150–164. [Google Scholar] [CrossRef]
- Zhang, Y.; Feng, F.; Wang, S.; Meng, J.; Xie, J.; Ling, R.; Yin, H.; Zhang, K.; Chai, Y. Joint nonlinear-drift-driven wiener process-markov chain degradation switching model for adaptive online predicting lithium-ion battery remaining useful life. Appl. Energy 2023, 341, 121–143. [Google Scholar] [CrossRef]
- Chen, Z.; Wang, Z.; Wu, W.; Xia, T.; Pan, E. Neural representation-based wiener process with meta-learning for battery RUL prediction under time-varying degradation rate. IEEE Trans. Instrum. Meas. 2025, 74, 1–13. [Google Scholar] [CrossRef]
- Rauf, H.; Khalid, M.; Arshad, N. Machine learning in state of health and remaining useful life estimation: Theoretical and technological development in battery degradation modelling. Renew. Sustain. Energy Rev. 2022, 156, 131–153. [Google Scholar] [CrossRef]
- Wu, J.; Kong, L.; Cheng, Z.; Yang, Y.; Zuo, H. RUL prediction for lithium batteries using a novel ensemble learning method. Energy Rep. 2022, 8, 313–326. [Google Scholar] [CrossRef]
- Wang, Y.; Chen, X.; Li, C.; Yu, Y.; Zhou, G.; Wang, C.; Zhao, W. Temperature prediction of lithium-ion battery based on artificial neural network model. Appl. Therm. Eng. 2023, 228, 120–132. [Google Scholar] [CrossRef]
- Driscoll, L.; de la Torre, S.; Gomez-Ruiz, J.A. Feature-based lithium-ion battery state of health estimation with artificial neural networks. J. Energy Storage 2022, 50, 104–123. [Google Scholar] [CrossRef]
- Zhang, X.; Feng, J.; Cai, F.; Huang, K.; Wang, S. A novel state of health estimation model for lithium-ion batteries incorporating signal processing and optimized machine learning methods. Front. Energy 2025, 19, 348–364. [Google Scholar] [CrossRef]
- Ansari, S.; Ayob, A.; Hossain Lipu, M.S.; Hussain, A.; Saad, M.H.M. Multi-channel profile based artificial neural network approach for remaining useful life prediction of electric vehicle lithium-ion batteries. Energies 2021, 14, 75–91. [Google Scholar] [CrossRef]
- Tang, T.; Yuan, H. An indirect remaining useful life prognosis for Li-ion batteries based on health indicator and novel artificial neural network. J. Energy Storage 2022, 52, 1047–1057. [Google Scholar] [CrossRef]
- Pugalenthi, K.; Park, H.; Hussain, S.; Raghavan, N. Remaining useful life prediction of lithium-ion batteries using neural networks with adaptive bayesian learning. Sensors 2022, 22, 3803–3814. [Google Scholar] [CrossRef] [PubMed]
- Chen, L.; Ding, Y.; Liu, B.; Wu, S.; Wang, Y.; Pan, H. Remaining useful life prediction of lithium-ion battery using a novel particle filter framework with grey neural network. Energy 2022, 244, 122–141. [Google Scholar] [CrossRef]
- Jafari, S.; Kim, J.; Choi, W.; Byun, Y.-C. Integrating multilayer perceptron and support vector regression for enhanced state of health estimation in lithium-ion batteries. IEEE Access 2025, 13, 11463–11478. [Google Scholar] [CrossRef]
- Qiu, J.-S.; Fan, Y.-C.; Wang, S.-L.; Yang, X.; Qiao, J.-L.; Liu, D.-L. Research on the remaining useful life prediction method of lithium-ion batteries based on aging feature extraction and multi-kernel relevance vector machine optimization model. Int. J. Energy Res. 2022, 46, 13931–13946. [Google Scholar] [CrossRef]
- Li, S.; Fang, H.; Shi, B. Remaining useful life estimation of lithium-ion battery based on interacting multiple model particle filter and support vector regression. Reliab. Eng. Syst. Saf. 2021, 210, 1075–1092. [Google Scholar] [CrossRef]
- Li, X.; Ma, Y.; Zhu, J. An online dual filters RUL prediction method of lithium-ion battery based on unscented particle filter and least squares support vector machine. Measurement 2021, 184, 1099–1115. [Google Scholar] [CrossRef]
- Yao, F.; He, W.; Wu, Y.; Ding, F.; Meng, D. Remaining useful life prediction of lithium-ion batteries using a hybrid model. Energy 2022, 248, 123–132. [Google Scholar] [CrossRef]
- Chen, Z.; Shi, N.; Ji, Y.; Niu, M.; Wang, Y. Lithium-ion batteries remaining useful life prediction based on BLS-RVM. Energy 2021, 234, 121–139. [Google Scholar] [CrossRef]
- Guo, W.; He, M. An optimal relevance vector machine with a modified degradation model for remaining useful lifetime prediction of lithium-ion batteries. Appl. Soft Comput. 2022, 124, 108–122. [Google Scholar] [CrossRef]
- Jiang, B.; Dai, H.; Wei, X.; Jiang, Z. Multi-kernel relevance vector machine with parameter optimization for cycling aging prediction of lithium-ion batteries. IEEE J. Emerg. Sel. Top. Power Electron. 2023, 11, 175–186. [Google Scholar] [CrossRef]
- Jia, S.; Ma, B.; Guo, W.; Li, Z.S. A sample entropy based prognostics method for lithium-ion batteries using relevance vector machine. J. Manuf. Syst. 2021, 61, 773–781. [Google Scholar] [CrossRef]
- Xing, J.; Zhang, H.; Zhang, J. Remaining useful life prediction of—Lithium batteries based on principal component analysis and improved gaussian process regression. Int. J. Electrochem. Sci. 2023, 18, 100–118. [Google Scholar] [CrossRef]
- Wei, Z.; Liu, C.; Sun, X.; Li, Y.; Lu, H. Two-phase early prediction method for remaining useful life of lithium-ion batteries based on a neural network and gaussian process regression. Front. Energy 2024, 18, 447–462. [Google Scholar] [CrossRef]
- Olabi, A.G.; Abdelghafar, A.A.; Soudan, B.; Alami, A.H.; Semeraro, C.; Al Radi, M.; Al-Murisi, M.; Abdelkareem, M.A. Artificial neural network driven prognosis and estimation of lithium-ion battery states: Current insights and future perspectives. Ain Shams Eng. J. 2024, 15, 102–119. [Google Scholar] [CrossRef]
- Xiong, W.; Xu, G.; Li, Y.; Zhang, F.; Ye, P.; Li, B. Early prediction of lithium-ion battery cycle life based on voltage-capacity discharge curves. J. Energy Storage 2023, 62, 1067–1080. [Google Scholar] [CrossRef]
- Zhang, L.; Sun, C.; Liu, S. State of health prediction of lithium-ion batteries based on multi-kernel relevance vector machine and error compensation. World Electr. Veh. J. 2024, 15, 248–261. [Google Scholar] [CrossRef]
- Jia, J.; Liang, J.; Shi, Y.; Wen, J.; Pang, X.; Zeng, J. SOH and RUL prediction of lithium-ion batteries based on gaussian process regression with indirect health indicators. Energies 2020, 13, 375–386. [Google Scholar] [CrossRef]
- Yu, Q.; Wang, F.; Zhai, Z.; Zheng, S.; Liu, B.; Zhao, Z.; Chen, X. Multi-time scale feature extraction for early prediction of battery RUL and knee point using a hybrid deep learning approach. J. Energy Storage 2025, 117, 116–134. [Google Scholar] [CrossRef]
- Li, Y.; Qin, X.; Chai, M.; Wu, H.; Zhang, F.; Jiang, F.; Wen, C. SOH evaluation and RUL estimation of lithium-ion batteries based on MC-CNN-TimesNet model. Reliab. Eng. Syst. Saf. 2025, 261, 111–125. [Google Scholar] [CrossRef]
- Chen, Y.; Duan, W.; He, Y.; Wang, S.; Fernandez, C. A hybrid data driven framework considering feature extraction for battery state of health estimation and remaining useful life prediction. Green Energy Intell. Transp. 2024, 3, 100–121. [Google Scholar] [CrossRef]
- Hao, X.; Wang, S.; Fan, Y.; Liu, D.; Liang, Y.; Zhang, M.; Fernandez, C. A novel least squares support vector machine-particle filter algorithm to estimate the state of energy of lithium-ion battery under a wide temperature range. J. Energy Storage 2024, 89, 118–132. [Google Scholar] [CrossRef]
- Sultan, Y.A.; Eladl, A.A.; Hassan, M.A.; Gamel, S.A. Enhancing electric vehicle battery lifespan: Integrating active balancing and machine learning for precise RUL estimation. Sci. Rep. 2025, 15, 777–791. [Google Scholar] [CrossRef]
- Zhao, J.; Qu, X.; Li, Y.; Nan, J.; Burke, A.F. Real-time prediction of battery remaining useful life using hybrid-fusion deep neural networks. Energy 2025, 328, 136–148. [Google Scholar] [CrossRef]
- Zhang, Y.; Li, Y.-F. Prognostics and health management of lithium-ion battery using deep learning methods: A review. Renew. Sustain. Energy Rev. 2022, 161, 112–122. [Google Scholar] [CrossRef]
- Ansari, S.; Ammirrul Atiqi Mohd Zainuri, M.; Ayob, A.; Hossain Lipu, M.S.; Siddikur Rahman, M.; Ibrahim, M.; Hannan, M.A. Expert deep learning techniques for remaining useful life prediction of diverse energy storage systems: Recent advances, execution features, issues and future outlooks. Expert Syst. Appl. 2024, 258, 125–153. [Google Scholar] [CrossRef]
- Xu, J.; Qu, J.; Xu, H. Capacity estimation of lithium-ion batteries with automatic feature extraction and graph-enhanced LSTM. J. Energy Storage 2024, 85, 111–131. [Google Scholar] [CrossRef]
- Takyi-Aninakwa, P.; Wang, S.; Liu, G.; Fernandez, C.; Kang, W.; Song, Y. Deep learning framework designed for high-performance lithium-ion batteries state monitoring. Renew. Sustain. Energy Rev. 2025, 218, 115–128. [Google Scholar] [CrossRef]
- Kara, A. A data-driven approach based on deep neural networks for lithium-ion battery prognostics. Neural Comput. Appl. 2021, 33, 13525–13538. [Google Scholar] [CrossRef]
- Catelani, M.; Ciani, L.; Fantacci, R.; Patrizi, G.; Picano, B. Remaining useful life estimation for prognostics of lithium-ion batteries based on recurrent neural network. IEEE Trans. Instrum. Meas. 2021, 70, 1–11. [Google Scholar] [CrossRef]
- Wang, Z.; Liu, N.; Chen, C.; Guo, Y. Adaptive self-attention LSTM for RUL prediction of lithium-ion batteries. Inf. Sci. 2023, 635, 398–413. [Google Scholar] [CrossRef]
- Liu, D.; Wang, S.; Li, X.; Fan, Y.; Fernandez, C.; Blaabjerg, F. A novel extended kalman filter-guided long short-term memory algorithm for power lithium-ion battery state of charge estimation at multiple temperatures. Energy 2025, 335, 1379–1388. [Google Scholar] [CrossRef]
- Zhao, J.; Zhu, Y.; Zhang, B.; Liu, M.; Wang, J.; Liu, C.; Zhang, Y. Method of predicting SOH and RUL of lithium-ion battery based on the combination of LSTM and GPR. Sustainability 2022, 14, 118–135. [Google Scholar] [CrossRef]
- Chen, B.; Liu, Y.; Xiao, B. A novel hybrid neural network-based SOH and RUL estimation method for lithium-ion batteries. J. Energy Storage 2024, 98, 113–141. [Google Scholar] [CrossRef]
- Wang, Y.; Wang, S.; Fan, Y.; Xie, Y.; Hao, X.; Guerrero, J.M. High-precision collaborative estimation of lithium-ion battery state of health and remaining useful life based on call activation function library-long short term memory neural network algorithm. J. Energy Storage 2024, 83, 1107–1118. [Google Scholar] [CrossRef]
- Wang, S.; Fan, Y.; Jin, S.; Takyi-Aninakwa, P.; Fernandez, C. Improved anti-noise adaptive long short-term memory neural network modeling for the robust remaining useful life prediction of lithium-ion batteries. Reliab. Eng. Syst. Saf. 2023, 230, 108–124. [Google Scholar] [CrossRef]
- Li, P.; Zhang, Z.; Grosu, R.; Deng, Z.; Hou, J.; Rong, Y.; Wu, R. An end-to-end neural network framework for state-of-health estimation and remaining useful life prediction of electric vehicle lithium batteries. Renew. Sustain. Energy Rev. 2022, 156, 1118–1131. [Google Scholar] [CrossRef]
- Feng, J.; Cai, F.; Zhao, Y.; Zhang, X.; Zhan, X.; Wang, S. A novel feature optimization and ensemble learning method for state-of-health prediction of mining lithium-ion batteries. Energy 2024, 299, 131–154. [Google Scholar] [CrossRef]
- Park, K.; Choi, Y.; Choi, W.J.; Ryu, H.-Y.; Kim, H. LSTM-based battery remaining useful life prediction with multi-channel charging profiles. IEEE Access 2020, 8, 20786–20798. [Google Scholar] [CrossRef]
- Ouyang, M.; Shen, P. Prediction of remaining useful life of lithium batteries based on WOA-VMD and LSTM. Energies 2022, 15, 89–98. [Google Scholar] [CrossRef]
- Li, Z.; Bai, F.; Zuo, H.; Zhang, Y. Remaining useful life prediction for lithium-ion batteries based on iterative transfer learning and mogrifier LSTM. Batteries 2023, 9, 448–461. [Google Scholar] [CrossRef]
- Hossain Lipu, M.S.; Ansari, S.; Miah, M.S.; Meraj, S.T.; Hasan, K.; Shihavuddin, A.S.M.; Hannan, M.A.; Muttaqi, K.M.; Hussain, A. Deep learning enabled state of charge, state of health and remaining useful life estimation for smart battery management system: Methods, implementations, issues and prospects. J. Energy Storage 2022, 55, 105–122. [Google Scholar] [CrossRef]
- Rouhi Ardeshiri, R.; Ma, C. Multivariate gated recurrent unit for battery remaining useful life prediction: A deep learning approach. Int. J. Energy Res. 2021, 45, 16633–16648. [Google Scholar] [CrossRef]
- Wei, M.; Gu, H.; Ye, M.; Wang, Q.; Xu, X.; Wu, C. Remaining useful life prediction of lithium-ion batteries based on monte carlo dropout and gated recurrent unit. Energy Rep. 2021, 7, 2862–2871. [Google Scholar] [CrossRef]
- Ardeshiri, R.R.; Razavi-Far, R.; Li, T.; Wang, X.; Ma, C.; Liu, M. Gated recurrent unit least-squares generative adversarial network for battery cycle life prediction. Measurement 2022, 196, 111–136. [Google Scholar] [CrossRef]
- Yang, Y. A machine-learning prediction method of lithium-ion battery life based on charge process for different applications. Appl. Energy 2021, 292, 116–127. [Google Scholar] [CrossRef]
- Ding, P.; Liu, X.; Li, H.; Huang, Z.; Zhang, K.; Shao, L.; Abedinia, O. Useful life prediction based on wavelet packet decomposition and two-dimensional convolutional neural network for lithium-ion batteries. Renew. Sustain. Energy Rev. 2021, 148, 111–127. [Google Scholar] [CrossRef]
- Hong, J.; Lee, D.; Jeong, E.-R.; Yi, Y. Towards the swift prediction of the remaining useful life of lithium-ion batteries with end-to-end deep learning. Appl. Energy 2020, 278, 115–126. [Google Scholar] [CrossRef]
- Hsu, C.-W.; Xiong, R.; Chen, N.-Y.; Li, J.; Tsou, N.-T. Deep neural network battery life and voltage prediction by using data of one cycle only. Appl. Energy 2022, 306, 118–134. [Google Scholar] [CrossRef]
- Xiong, R.; Tian, J.; Shen, W.; Lu, J.; Sun, F. Semi-supervised estimation of capacity degradation for lithium ion batteries with electrochemical impedance spectroscopy. J. Energy Chem. 2023, 76, 404–413. [Google Scholar] [CrossRef]
- Reza, M.S.; Hannan, M.A.; Mansor, M.B.; Ker, P.J.; Tiong, S.K.; Hossain, M.J. Gravitational search algorithm based LSTM deep neural network for battery capacity and remaining useful life prediction with uncertainty. IEEE Trans. Ind. Appl. 2024, 60, 9171–9183. [Google Scholar] [CrossRef]
- Guo, F.; Wu, X.; Liu, L.; Ye, J.; Wang, T.; Fu, L.; Wu, Y. Prediction of remaining useful life and state of health of lithium batteries based on time series feature and savitzky-golay filter combined with gated recurrent unit neural network. Energy 2023, 270, 126–148. [Google Scholar] [CrossRef]
- He, N.; Wang, Q.; Lu, Z.; Chai, Y.; Yang, F. Early prediction of battery lifetime based on graphical features and convolutional neural networks. Appl. Energy 2024, 353, 122–148. [Google Scholar] [CrossRef]
- Hossain Lipu, M.S.; Abd Rahman, M.S.; Mansor, M.; Ansari, S.; Meraj, S.T.; Hannan, M.A. Hybrid and combined states estimation approaches for lithium-ion battery management system: Advancement, challenges and future directions. J. Energy Storage 2024, 92, 112–137. [Google Scholar] [CrossRef]
- Qu, X.; Shi, D.; Zhao, J.; Tran, M.-K.; Wang, Z.; Fowler, M.; Lian, Y.; Burke, A.F. Insights and reviews on battery lifetime prediction from research to practice. J. Energy Chem. 2024, 94, 716–739. [Google Scholar] [CrossRef]
- Zhou, J.; Wang, S.; Cao, W.; Xie, Y.; Fernandez, C. State of health prediction of lithium-ion batteries based on SSA optimized hybrid neural network model. Electrochim. Acta 2024, 487, 144–156. [Google Scholar] [CrossRef]
- Zhou, Y.; Wang, S.; Xie, Y.; Shen, X.; Fernandez, C. Remaining useful life prediction and state of health diagnosis for lithium-ion batteries based on improved grey wolf optimization algorithm-deep extreme learning machine algorithm. Energy 2023, 285, 128–141. [Google Scholar] [CrossRef]
- Cui, Z.; Dai, J.; Sun, J.; Li, D.; Wang, L.; Wang, K. Hybrid methods using neural network and kalman filter for the state of charge estimation of lithium-ion battery. Math. Probl. Eng. 2022, 2022, 961–978. [Google Scholar] [CrossRef]
- Ye, L.-H.; Chen, S.-J.; Shi, Y.-F.; Peng, D.-H.; Shi, A.-P. Remaining useful life prediction of lithium-ion battery based on chaotic particle swarm optimization and particle filter. Int. J. Electrochem. Sci. 2023, 18, 100–122. [Google Scholar] [CrossRef]
- Duan, W.; Song, S.; Xiao, F.; Chen, Y.; Peng, S.; Song, C. Battery SOH estimation and RUL prediction framework based on variable forgetting factor online sequential extreme learning machine and particle filter. J. Energy Storage 2023, 65, 107–122. [Google Scholar] [CrossRef]
- Pang, H.; Chen, K.; Geng, Y.; Wu, L.; Wang, F.; Liu, J. Accurate capacity and remaining useful life prediction of lithium-ion batteries based on improved particle swarm optimization and particle filter. Energy 2024, 293, 130–145. [Google Scholar] [CrossRef]
- He, N.; Yang, Z.; Qian, C.; Li, R.; Gao, F.; Cheng, F. Remaining useful life prediction of lithium-ion battery based on fusion model considering capacity regeneration phenomenon. J. Energy Storage 2024, 85, 111–128. [Google Scholar] [CrossRef]
- Li, K.; Xie, N.; Li, H. A hybrid grey approach for battery remaining useful life prediction considering capacity regeneration. Expert Syst. Appl. 2025, 274, 1269–1281. [Google Scholar] [CrossRef]
- Ren, Y.; Tang, T.; Xia, Q.; Zhang, K.; Tian, J.; Hu, D.; Yang, D.; Sun, B.; Feng, Q.; Qian, C. A data and physical model joint driven method for lithium-ion battery remaining useful life prediction under complex dynamic conditions. J. Energy Storage 2024, 79, 110–125. [Google Scholar] [CrossRef]
- Ahwiadi, M.; Wang, W. Battery health monitoring and remaining useful life prediction techniques: A review of technologies. Batteries 2025, 11, 31–51. [Google Scholar] [CrossRef]
- Wang, S.; Wu, F.; Takyi-Aninakwa, P.; Fernandez, C.; Stroe, D.-I.; Huang, Q. Improved singular filtering-gaussian process regression-long short-term memory model for whole-life-cycle remaining capacity estimation of lithium-ion batteries adaptive to fast aging and multi-current variations. Energy 2023, 284, 128–147. [Google Scholar] [CrossRef]
- Zhang, J.; Huang, C.; Chow, M.-Y.; Li, X.; Tian, J.; Luo, H.; Yin, S. A data-model interactive remaining useful life prediction approach of lithium-ion batteries based on PF-BiGRU-TSAM. IEEE Trans. Ind. Informat. 2024, 20, 1144–1154. [Google Scholar] [CrossRef]
- Lyu, G.; Zhang, H.; Miao, Q. Parallel State Fusion LSTM-based Early-cycle Stage Lithium-ion Battery RUL Prediction Under Lebesgue Sampling Framework Lebesgue. Reliab. Eng. Syst. Saf. 2023, 236, 109–125. [Google Scholar] [CrossRef]
- Li, Y.; Li, L.; Mao, R.; Zhang, Y.; Xu, S.; Zhang, J. Hybrid data-driven approach for predicting the remaining useful life of lithium-ion batteries. IEEE Trans. Transport. Electrific. 2024, 10, 2789–2805. [Google Scholar] [CrossRef]
- Jin, Z.; Li, X.; Qiu, Z.; Li, F.; Kong, E.; Li, B. A data-driven framework for lithium-ion battery RUL using LSTM and XGBoost with feature selection via binary firefly algorithm. Energy 2025, 314, 1342–1361. [Google Scholar] [CrossRef]









| Group | Method | Advantage | Disadvantage | Reference |
|---|---|---|---|---|
| Electrochemical Model (EM) | Pseudo Two-Dimensional (P2D) | High-precision simulation capability High prediction accuracy | High computational complexity Rely on experimental data | Tao et al. (2024) [72] |
| Single-Particle Model (SPM) | High computational efficiency Parameter identification is simple | Limited applicable scenarios Poor adaptability to dynamic working conditions | Madani et al. (2025) [73] | |
| Equivalent Circuit Model (ECM) | Rint | Simple structure Easy to implement Low calculation complexity | Two polarization phenomena are ignored Low accuracy Dynamic performance | Tao et al. (2024) [74] |
| Thevenin | Relatively simple structure Relatively low calculation complexity | Relatively low model accuracy in the low SOC region | Wang et al. (2023) [75] | |
| Second-Order RC | Relatively high model accuracy | Relatively complex structure | Xia et al. (2023) [76] | |
| Partnership for a New Generation of Vehicles (PNGV) | Relatively high model accuracy Loading effects considered Excellent dynamic performance | Relatively long computational time Relatively complex structure | Vasta et al. (2023) [77] | |
| Gaussian Negative Log-Likelihood (GNL) | High model accuracy Self-discharge effect considered | Long computational time | Nuroldayeva et al. (2023) [78] | |
| Filtering Model (FM) | Kalman Filter (KF) | High computational efficiency Suitable for real-time applications | Applies only to linear systems | Fahmy et al. (2025) [79] |
| Particle Filter (PF) | Can handle nonlinear and non-Gaussian noise | Suitable for offline or high-performance computing scenarios | Li et al. (2022) [80] | |
| Adaptive Filter (AF) | Adapt to the change in system parameters Improve the prediction accuracy | Necessary to design a suitable adaptive algorithm | Shrivastava et al. (2023) [81] |
| Method | Advantage | Disadvantage | Reference |
|---|---|---|---|
| Wiener Process | Facilitate the theory analysis and real-time computing Suitable for modeling continuous evolution phenomena | Only applicable to continuous diffusion processes Parameter sensitivity | Xu et al. (2021) [105] |
| Gamma Process | Suitable to describe the irreversibility of the process of degradation Flexible time evolution | High computational cost Additional parameters need to be introduced for time-varying systems | Keshun et al. (2023) [106] |
| Markov process | Suitable for multi-stage aging modeling Excellent uncertainty description capability | Difficulty in capturing continuous, nonlinear degradation trends Unsuitability for modeling sudden degradation | Zhang et al. (2023) [107] |
| Method | Advantage | Disadvantage | Ref. |
|---|---|---|---|
| ANN | Deal with highly nonlinear problems High flexibility and strong scalability | Requires large amounts of training data Prone to getting stuck in local optima Poor interpretability | Olabi et al. (2024) [129] |
| SVM | According to the structural risk minimization criterion Strong generalization ability | Sensitive to parameter selection Slow training speed and high computational cost on large-scale datasets | Xiong et al. (2023) [130] |
| RVM | Adaptive nuclear selection Quantify uncertainty Multi-task learning and scene transfer | Model training complexity is relatively high Sparsity may be unstable in certain scenarios Limited applicability in practical deployment | Zhang et al. (2024) [131] |
| GPR | Flexibly approximating intricate nonlinear degradation trajectories Robust small-sample learning capability | High computational complexity, difficult to scale with large sample sizes Sensitive to kernel function selection, highly dependent on modeling experience | Jia et al. (2020) [132] |
| Method | Advantage | Disadvantage | Ref. |
|---|---|---|---|
| LSTM | Control the information flow that has long been relied upon Eliminate gradient explosion | Complex structure, lengthy training time Numerous parameters, prone to overfitting High computational cost | Reza et al. (2024) [165] |
| GRU | Simple structure and high calculation efficiency Strong anti-noise robustness | Limited capacity in capturing very long-term dependencies Risk of underfitting in complex prediction tasks | Guo et al. (2023) [166] |
| CNN | Local information extraction Multi-level feature abstraction Multi-data channel fusion | Insufficient ability to model long-range temporal dependencies High computational demand with large-scale data | He et al. (2024) [167] |
| Prediction Condition | Preferred Methods | Characteristics | Ref. |
|---|---|---|---|
| Small sample size | RVM, GPR | RVM and GPR perform well with limited data and provide uncertainty quantification, but suffer from high computational cost | Chen et al. [123] Jia et al. [132] |
| Large sample size | ANN, SVM | ANN learns complex nonlinear mappings given sufficient data; SVM is robust for medium-to-large datasets but sensitive to kernel and parameter selection | Olabi et al. [129] Xiong et al. [130] |
| Time series forecasting | LSTM, GRU | Capable of capturing long- and short-term dependencies in sequential battery data; well-suited for degradation trajectory modeling, though computationally expensive | Wang et al. [150] Rouhi et al. [157] |
| Multidimensional mixed features | ANN, SVM | The ANN can automatically extract features from high-dimensional data; the SVM handles nonlinear relationships effectively in structured feature spaces | Tang et al. [115] Jafari et al. [118] |
| Nonlinear degradation modeling | ANN, CNN | The ANN is powerful in learning complex nonlinear degradation patterns; the CNN automatically extracts features from curves or spectrograms | Olabi et al. [129] He et al. [167] |
| RUL prediction | LSTM, GRU, GPR | LSTM/GRU model long-term cycling trends; GPR provides probabilistic predictions with confidence intervals for reliability assessment | Park et al. [153] Jia et al. [132] |
| Safety prediction | CNN, SVM | The CNN extracts abnormal patterns from voltage/temperature signals; the SVM is widely used for anomaly classification in battery safety monitoring | Hong et al. [162] Xiong et al. [130] |
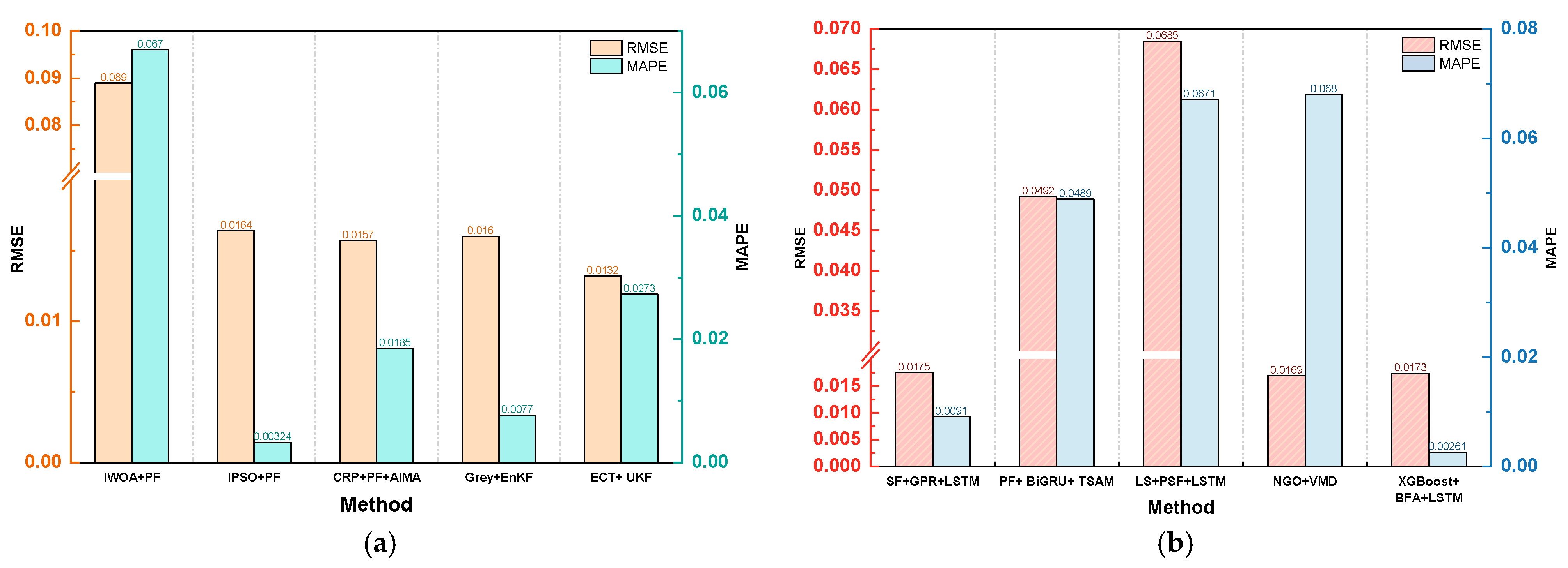
| Method | Characteristic | Datasets | Criteria | Ref. |
|---|---|---|---|---|
| Improved WOA+PF | Superior ability to resist noise | NASA (B5, 6, 7, 18) Oxford (Cell1, 2, 3, 6, 7, 8) | RMSE = 0.089 MAPE = 0.067 | Duan et al. (2023) [174] |
| Improved PSO+PF | Strong ability to resist environmental interference | NASA (B5, 6, 7, 18) CALCE (CS2-34, CS2-36, CS2-37) | RMSE = 0.0164 MAPE = 0.00324 | Pang et al. (2024) [175] |
| Capacity Regeneration Point (CRP)+PF+Autoregressive Integrated Moving Average (AIMA) | Effectively addresses capacity regeneration interference to improve RUL prediction accuracy | NASA (B5, 6, 7, 18) | RMSE = 0.0157 MAPE = 0.0185 | He et al. (2024) [176] |
| Gray+Ensemble Kalman Filter (EnKF) | Adaptable to varying Requires minimal historical data, low modeling costs | NASA (B5, 6, 7, 18) | RMSE = 0.016 MAPE = 0.0077 | Li et al. (2025) [177] |
| Electrochemical–Thermal model (ECT)+Unscented Kalman Filter (UKF) | Improve the accuracy of the prediction Enhance the generalization ability of the model | NASA (RW13, 14) Self-made dataset: 18,650 LiFePO4/C | RMSE = 0.0132 MAPE = 0.0273 | Ren et al. (2024) [178] |
| Method | Characteristic | Datasets | Criteria | Ref. |
|---|---|---|---|---|
| Singular Filtering (SF)+GPR+LSTM | Accurately quantify the remaining capacity of lithium batteries at extremely low temperatures | Self-made dataset | RMSE = 0.0175 MAPE = 0.0091 | Wang et al. (2023) [180] |
| PF+Bidirectional Gated Recurrent Unit (BiGRU)+Temporal Attention Mechanism (TSAM) | Based on historical data, offline modeling is carried out to achieve the quantitative representation of battery capacity in the time series dimension | NASA (B5, 6, 7, 18) | RMSE = 0.0492 MAPE = 0.0489 | Zhang et al. (2024) [181] |
| Lebesgue Sampling (LS)+Parallel State Fusion (PSF)+LSTM | Addresses early-cycle lithium-ion battery RUL prediction challenges | MIT (M#1, 2, 3, 4) Tongji (T#1, 2, 3, 4) | RMSE = 0.0685 MAPE = 0.0671 | Lyu et al. (2023) [182] |
| Northern Goshawk Optimization (NGO)+Variational Mode Decomposition (VMD) | Effectively extract multi-scale useful information and significantly reduce the complexity of battery capacity sequences | NASA (B5, 6, 7, 18) CALCE (CS2-33, CS2-34, CX2-33, CX2-34) | RMSE = 0.0169 MAPE = 0.068 | Li et al. (2024) [183] |
| eXtreme Gradient Boosting (XGBoost)+Binary Firefly Algorithm (BFA)+LSTM | Deep exploration of the relationship between battery health indicators and RUL degradation | NASA (B5, 6, 7, 18) | RMSE = 0.0173 MAPE = 0.00261 | Jin et al. (2025) [184] |
Disclaimer/Publisher’s Note: The statements, opinions and data contained in all publications are solely those of the individual author(s) and contributor(s) and not of MDPI and/or the editor(s). MDPI and/or the editor(s) disclaim responsibility for any injury to people or property resulting from any ideas, methods, instructions or products referred to in the content. |
© 2025 by the authors. Licensee MDPI, Basel, Switzerland. This article is an open access article distributed under the terms and conditions of the Creative Commons Attribution (CC BY) license (https://creativecommons.org/licenses/by/4.0/).
Share and Cite
Yang, K.; Wang, S.; Zhou, L.; Fernandez, C.; Blaabjerg, F. A Critical Review of AI-Based Battery Remaining Useful Life Prediction for Energy Storage Systems. Batteries 2025, 11, 376. https://doi.org/10.3390/batteries11100376
Yang K, Wang S, Zhou L, Fernandez C, Blaabjerg F. A Critical Review of AI-Based Battery Remaining Useful Life Prediction for Energy Storage Systems. Batteries. 2025; 11(10):376. https://doi.org/10.3390/batteries11100376
Chicago/Turabian StyleYang, Kuo, Shunli Wang, Lei Zhou, Carlos Fernandez, and Frede Blaabjerg. 2025. "A Critical Review of AI-Based Battery Remaining Useful Life Prediction for Energy Storage Systems" Batteries 11, no. 10: 376. https://doi.org/10.3390/batteries11100376
APA StyleYang, K., Wang, S., Zhou, L., Fernandez, C., & Blaabjerg, F. (2025). A Critical Review of AI-Based Battery Remaining Useful Life Prediction for Energy Storage Systems. Batteries, 11(10), 376. https://doi.org/10.3390/batteries11100376

