A Novel Approach to Day-Ahead Forecasting of Battery Discharge Profiles in Grid Applications Using Historical Daily
Abstract
1. Introduction
2. Data Description and Preprocessing
3. Forecasting Methodology
3.1. Mathematical Formulation of the Kalman Filter
3.2. Mathematical Formulation of the Holt’s Linear Model
4. Evaluation and Results
4.1. Simulation Setup
- Low Variability (±10 kW): Represents stable grid support with minimal changes in discharge between days.
- Moderate Variability (±50 kW): Simulates moderate fluctuations, possibly driven by seasonal renewable integration or variable load support.
- High Variability (±90 kW): Emulates highly dynamic operational environments such as price-driven arbitrage or response to volatile grid conditions.
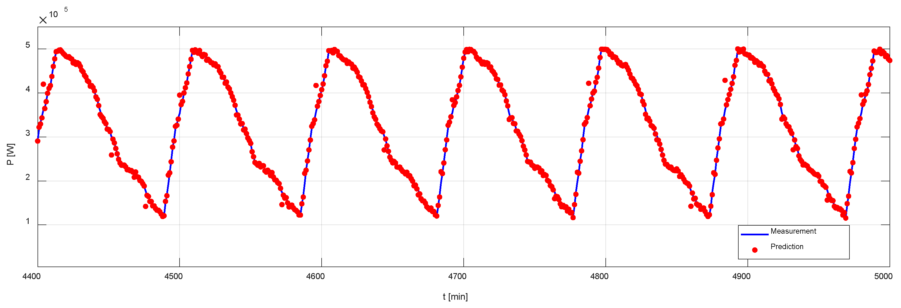
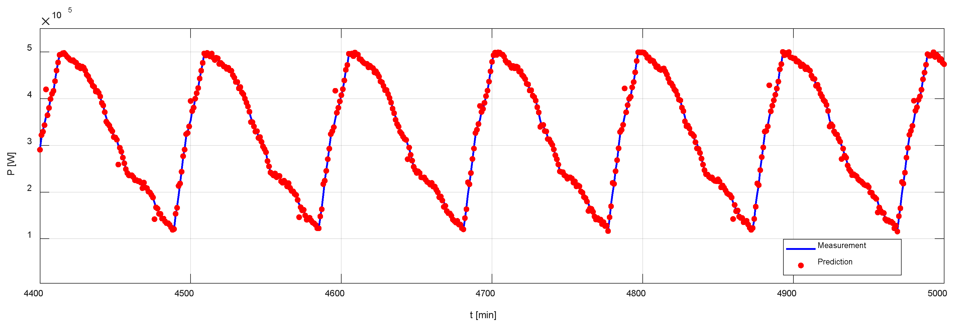
4.2. Simulation Results
4.3. Evaluation Metrics
- Mean Absolute Error (MAE);
- Root Mean Squared Error (RMSE);
- Mean Absolute Percentage Error (MAPE).
5. Conclusions
Author Contributions
Funding
Data Availability Statement
Conflicts of Interest
References
- Kwon, K.; Lee, H.-B.; Kim, N.; Park, S.; Joshua, S.R. Integrated Battery and Hydrogen Energy Storage for Enhanced Grid Power Savings and Green Hydrogen Utilization. Appl. Sci. 2024, 14, 7631. [Google Scholar] [CrossRef]
- Zhan, R.; Wan, J. Iterated Unscented Kalman Filter for Passive Target Tracking. IEEE Trans. Aerosp. Electron. Syst. 2007, 43, 1155–1163. [Google Scholar] [CrossRef]
- Altay, N.; Rudisill, F.; Litteral, L. Adapting Wright’s modification of Holt’s method to forecasting intermittent demand. Int. J. Prod. Econ. 2008, 111, 389–408. [Google Scholar] [CrossRef]
- Sugiarto, V.C.; Sarno, R.; Sunaryono, D. Sales forecasting using Holt-Winters in Enterprise Resource Planning at sales and distribution module. In Proceedings of the 2016 International Conference on Information & Communication Technology and Systems (ICTS), Surabaya, Indonesia, 12 October 2016; pp. 8–13. [Google Scholar] [CrossRef]
- Lee, K.-T.; Dai, M.-J.; Chuang, C.-C. Temperature-Compensated Model for Lithium-Ion Polymer Batteries With Extended Kalman Filter State-of-Charge Estimation for an Implantable Charger. IEEE Trans. Ind. Electron. 2018, 65, 589–596. [Google Scholar] [CrossRef]
- Wei, M.; Ye, M.; Zhang, C.; Lian, G.; Xia, B.; Wang, Q. Robust state of charge estimation of LiFePO4 batteries based on Sage_Husa adaptive Kalman filter and dynamic neural network. Electrochim. Acta 2024, 477, 143778. [Google Scholar] [CrossRef]
- Zhang, J.; Xiao, B.; Niu, G.; Xie, X.; Wu, S. Joint estimation of state-of-charge and state-of-power for hybrid supercapacitors using fractional-order adaptive unscented Kalman filter. Energy 2024, 294, 130942. [Google Scholar] [CrossRef]
- Jiang, H. Research on SOC estimation of residual power of lithium-ion batteries for electric vehicles based on extended Kalman filtering algorithm. Appl. Math. Nonlinear Sci. 2023, 8, 2849–2860. [Google Scholar] [CrossRef]
- Kaczorowska, D.; Rezmer, J.; Jasinski, M.; Sikorski, T.; Suresh, V.; Leonowicz, Z.; Kostyla, P.; Szymanda, J.; Janik, P. A Case Study on Battery Energy Storage System in a Virtual Power Plant: Defining Charging and Discharging Characteristics. Energies 2020, 13, 6670. [Google Scholar] [CrossRef]
- Zhang, D.; Shafiullah, G.; Das, C.K.; Wong, K.W. Optimal Allocation of Battery Energy Storage Systems to Enhance System Performance and Reliability in Unbalanced Distribution Networks. Energies 2023, 16, 7127. [Google Scholar] [CrossRef]
- Pu, L.; Wang, C. Combined State-of-Charge Estimation Method for Lithium-Ion Batteries Using Long Short-Term Memory Network and Unscented Kalman Filter. Energies 2025, 18, 1106. [Google Scholar] [CrossRef]
- Qi, J.; Li, P.; Dong, Y.; Fu, Z.; Wang, Z.; Yi, Y.; Tian, J. Remaining Available Energy Prediction for Energy Storage Batteries Based on Interpretable Generalized Additive Neural Network. Batteries 2025, 11, 276. [Google Scholar] [CrossRef]
- Hussain, Q.; Yun, S.; Jeong, J.; Lee, M.; Kim, J. Prediction of Remaining Useful Life of Battery Using Partial Discharge Data. Electronics 2024, 13, 3475. [Google Scholar] [CrossRef]
- Jiang, Y.; Song, W. Predicting the Cycle Life of Lithium-Ion Batteries Using Data-Driven Machine Learning Based on Discharge Voltage Curves. Batteries 2023, 9, 413. [Google Scholar] [CrossRef]
- Zhou, J.; Tong, X.; Zhou, J.; Bai, S.; Liu, R.; Zhao, H. Application of a Hybrid ARIMA-LSTM Model Based on the LightGBM in Grid Frequency Prediction. In Proceedings of the 2024 3rd Asian Conference on Frontiers of Power and Energy (ACFPE), Chengdu, China, 2–4 April 2024; Chen, L., Liu, Y., Eds.; IEEE: Piscataway, NJ, USA, 2024; pp. 409–413. [Google Scholar] [CrossRef]
- Oladapo, B.I.; Olawumi, M.A.; Omigbodun, F.T. Machine Learning for Optimising Renewable Energy and Grid Efficiency. Atmosphere 2024, 15, 1250. [Google Scholar] [CrossRef]
- György, K.; Kelemen, A.; Dávid, L. Unscented Kalman Filters and Particle Filter Methods for Nonlinear State Estimation. Procedia Technol. 2014, 12, 65–74. [Google Scholar] [CrossRef]
- Wang, H.; Zheng, X.; Li, H. Kalman Filtering With Unlimited Sensing. In Proceedings of the ICASSP 2024—2024 IEEE International Conference on Acoustics, Speech and Signal Processing (ICASSP), Seoul, Republic of Korea, 14–19 April 2024; pp. 9826–9830. [Google Scholar] [CrossRef]
- Al-Gounmeein, R.; Ismail, M.T.; Al-Hasanat, B.; Awajan, A. Improving models accuracy using Kalman filter and Holt-Winters approaches based on ARFIMA models. IAENG Int. J. Appl. Math. 2023, 53, 869–878. [Google Scholar]
- Maia, A.L.S.; de Carvalho, F.D.A. Holt’s exponential smoothing and neural network models for forecasting interval-valued time series. Int. J. Forecast. 2011, 27, 740–759. [Google Scholar] [CrossRef]
- Aimran, A. A comparison between single exponential smoothing (SES), double exponential smoothing (DES), holt’s (brown) and adaptive response rate exponential smoothing (ARRES) techniques in forecasting Malaysia population. Glob. J. Math. Anal. 2014, 2, 276–280. [Google Scholar] [CrossRef]
- Li, G.; Mao, Q.; Yang, F. Extended Kalman Filter Algorithm for Accurate State-of-Charge Estimation in Lithium Batteries. Processes 2024, 12, 1560. [Google Scholar] [CrossRef]
- Khalid, A.; Kashif, S.A.R.; Ain, N.U.; Awais, M.; Ali Smieee, M.; Carreño, J.E.M.; Vasquez, J.C.; Guerrero, J.M.; Khan, B. Comparison of Kalman Filters for State Estimation Based on Computational Complexity of Li-Ion Cells. Energies 2023, 16, 2710. [Google Scholar] [CrossRef]
- Hu, L.; Hu, R.; Ma, Z.; Jiang, W. State of Charge Estimation and Evaluation of Lithium Battery Using Kalman Filter Algorithms. Materials 2022, 15, 8744. [Google Scholar] [CrossRef]









| Variability Scenario | Method | MAE (kW) | RMSE (kW) | MAPE (%) |
|---|---|---|---|---|
| 10 kW | Kalman | 4.812 | 8.482 | 1.82 |
| Holt’s | 15.559 | 22.205 | 5.26 | |
| 50 kW | Kalman | 23.146 | 29.326 | 8.73 |
| Holt’s | 21.489 | 27.600 | 8.56 | |
| 90 kW | Kalman | 44.306 | 53.527 | 16.66 |
| Holt’s | 30.389 | 37.196 | 14.21 |
Disclaimer/Publisher’s Note: The statements, opinions and data contained in all publications are solely those of the individual author(s) and contributor(s) and not of MDPI and/or the editor(s). MDPI and/or the editor(s) disclaim responsibility for any injury to people or property resulting from any ideas, methods, instructions or products referred to in the content. |
© 2025 by the authors. Licensee MDPI, Basel, Switzerland. This article is an open access article distributed under the terms and conditions of the Creative Commons Attribution (CC BY) license (https://creativecommons.org/licenses/by/4.0/).
Share and Cite
Bobček, M.; Štefko, R.; Šimčák, J.; Čonka, Z. A Novel Approach to Day-Ahead Forecasting of Battery Discharge Profiles in Grid Applications Using Historical Daily. Batteries 2025, 11, 370. https://doi.org/10.3390/batteries11100370
Bobček M, Štefko R, Šimčák J, Čonka Z. A Novel Approach to Day-Ahead Forecasting of Battery Discharge Profiles in Grid Applications Using Historical Daily. Batteries. 2025; 11(10):370. https://doi.org/10.3390/batteries11100370
Chicago/Turabian StyleBobček, Marek, Róbert Štefko, Július Šimčák, and Zsolt Čonka. 2025. "A Novel Approach to Day-Ahead Forecasting of Battery Discharge Profiles in Grid Applications Using Historical Daily" Batteries 11, no. 10: 370. https://doi.org/10.3390/batteries11100370
APA StyleBobček, M., Štefko, R., Šimčák, J., & Čonka, Z. (2025). A Novel Approach to Day-Ahead Forecasting of Battery Discharge Profiles in Grid Applications Using Historical Daily. Batteries, 11(10), 370. https://doi.org/10.3390/batteries11100370

