Next Issue
Volume 11, October
Previous Issue
Volume 11, August
 
 

Batteries, Volume 11, Issue 9 (September 2025) – 30 articles

Cover Story (view full-size image): In their pristine state, silicon particles, carbon black, and binder form a compact and well-adhered network on the copper current collector, with about 40% porosity. Upon lithiation, however, silicon expands nearly 300%, forcing the composite to rearrange and partially detach from the collector. This expansion leads to cracks and delamination, weakening the electrode’s integrity. The binders used to make composites in this study are intended to accommodate these structural changes, highlighting the urgent need for binder designs that can withstand silicon’s immense volume fluctuations. View this paper
  • Issues are regarded as officially published after their release is announced to the table of contents alert mailing list.
  • You may sign up for e-mail alerts to receive table of contents of newly released issues.
  • PDF is the official format for papers published in both, html and pdf forms. To view the papers in pdf format, click on the "PDF Full-text" link, and use the free Adobe Reader to open them.
Order results
Result details
Section
Select all
Export citation of selected articles as:
46 pages, 7184 KB  
Review
Various Technologies to Mitigate Volume Expansion of Silicon Anode Materials in Lithium-Ion Batteries
by Jihun Jang and Taegyun Kwon
Batteries 2025, 11(9), 346; https://doi.org/10.3390/batteries11090346 - 21 Sep 2025
Cited by 7 | Viewed by 8033
Abstract
Silicon anodes for lithium-ion batteries (LIBs) offer exceptional theoretical capacity (~4200 mAh/g) but face critical challenges due to significant volume expansion (>300%) during lithiation, leading to mechanical degradation and rapid capacity fading. This review highlights recent advancements in mitigating these issues, including structural [...] Read more.
Silicon anodes for lithium-ion batteries (LIBs) offer exceptional theoretical capacity (~4200 mAh/g) but face critical challenges due to significant volume expansion (>300%) during lithiation, leading to mechanical degradation and rapid capacity fading. This review highlights recent advancements in mitigating these issues, including structural designs such as core–shell architectures, porous composites, and multidimensional encapsulation techniques that buffer mechanical stress and stabilize the solid electrolyte interphase (SEI). Binder innovations and hybrid material systems further enhance electrode integrity and cycling stability. While substantial progress has been made, challenges remain in scaling these solutions for commercial applications. This paper provides insights into current strategies and future directions for enabling silicon-based anodes in next-generation LIBs. Full article
Show Figures

Graphical abstract

28 pages, 5785 KB  
Review
From Thermosetting Resins to Energy Devices: A Review on Polybenzoxazine-Derived Materials for Supercapacitors
by Shakila Parveen Asrafali, Thirukumaran Periyasamy and Jaewoong Lee
Batteries 2025, 11(9), 345; https://doi.org/10.3390/batteries11090345 - 19 Sep 2025
Cited by 1 | Viewed by 1428
Abstract
Polybenzoxazines (PBZs) have garnered significant attention as a versatile class of precursors for the development of advanced carbon-based materials, particularly in the field of electrochemical energy storage. This review comprehensively examines recent progress in the synthesis, structural design, and application of polybenzoxazine-derived materials [...] Read more.
Polybenzoxazines (PBZs) have garnered significant attention as a versatile class of precursors for the development of advanced carbon-based materials, particularly in the field of electrochemical energy storage. This review comprehensively examines recent progress in the synthesis, structural design, and application of polybenzoxazine-derived materials for supercapacitor electrodes. Owing to their intrinsic nitrogen content, tunable functionality, and excellent thermal and mechanical stability, polybenzoxazines serve as ideal precursors for producing nitrogen-doped porous carbons with high surface areas and desirable electrochemical properties. This review discusses the influence of molecular design, polymerization conditions, and carbonization parameters on the resulting microstructure and performance of the materials. Furthermore, the electrochemical behavior of these materials in both electric double-layer capacitors (EDLCs) and pseudocapacitors is analyzed in detail. Challenges such as optimizing pore architecture, improving conductivity, and achieving scalable synthesis are also addressed. This article highlights emerging trends and offers perspectives on the future development of polybenzoxazine-derived materials for next-generation high-performance supercapacitors. Full article
Show Figures

Figure 1

20 pages, 5724 KB  
Article
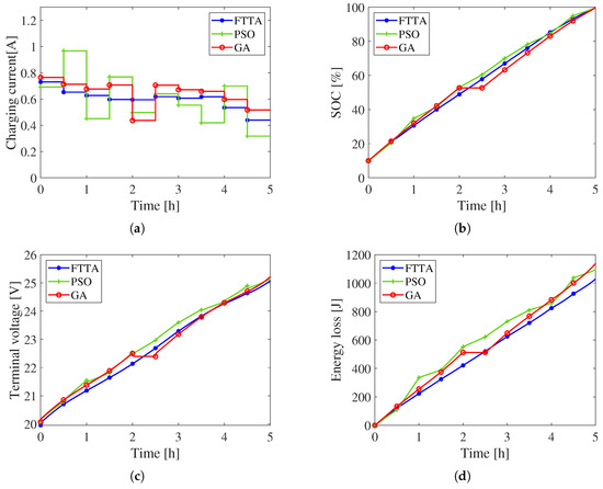
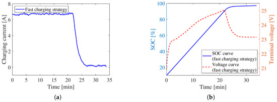
User-Demand-Oriented Healthy Charging Control Strategy for EVs Based on Football Team Training Algorithm
by Haoyi Liu, Lianghui Huang, Quan Ouyang, Yujia Li and Yong Wan
Batteries 2025, 11(9), 344; https://doi.org/10.3390/batteries11090344 - 19 Sep 2025
Viewed by 1021
Abstract
With the rapid development of the electric vehicle (EV) market, effective charging control is essential for enhancing user experience and preserving battery health. Across various scenarios, this work proposes a user-demand-oriented healthy charging control strategy that balances charging efficiency and battery lifespan using [...] Read more.
With the rapid development of the electric vehicle (EV) market, effective charging control is essential for enhancing user experience and preserving battery health. Across various scenarios, this work proposes a user-demand-oriented healthy charging control strategy that balances charging efficiency and battery lifespan using the football team training algorithm (FTTA). Firstly, an enhanced hybrid stacking–boosting ensemble (EHSBE) model is designed to predict user charging duration through different feature selections and a hybrid framework. Secondly, a healthy charging control strategy based on the FTTA is developed. This strategy addresses a multi-objective optimization problem, considering two charging objectives: completing the charging task and reducing energy loss, as well as three safety-related constraints. The algorithm achieves a healthy strategy through interaction and iterative refinement among potential solutions. Simulation and experimental results show that the proposed strategy significantly reduces energy loss, generating only 5.8% and 24% of the energy loss generated by the fast charging approach under two different durations. With user expectations and maintenance of battery health, the charging process is optimized so that battery life is extended by 25.7% and user demand is satisfied. Full article
Show Figures

Graphical abstract

11 pages, 2071 KB  
Article
Composite Electroforming of a Binder-Free Porous Ni/S-PTh Electrode for Li–S Batteries by Combining 3D Printing, Pulse Plating, and Composite Electrodeposition
by Wassima El Mofid, Robin Arnet, Oliver Kesten and Timo Sörgel
Batteries 2025, 11(9), 343; https://doi.org/10.3390/batteries11090343 - 19 Sep 2025
Viewed by 1988
Abstract
A novel process for the synthesis of binder-free, porous nickel/polythiophene-functionalized sulfur (Ni/S-PTh) composite cathodes for lithium–sulfur (Li–S) batteries is introduced in this paper. Initially, a polyvinyl butyl polymer scaffold is 3D printed, then coated with a graphite-based conducting layer, and, finally, it is [...] Read more.
A novel process for the synthesis of binder-free, porous nickel/polythiophene-functionalized sulfur (Ni/S-PTh) composite cathodes for lithium–sulfur (Li–S) batteries is introduced in this paper. Initially, a polyvinyl butyl polymer scaffold is 3D printed, then coated with a graphite-based conducting layer, and, finally, it is pulse-plated for nickel deposition to produce a high-surface-area, mechanically stable current collector. S-PTh particles are afterwards co-deposited into the Ni matrix through composite electrodeposition. After the dissolution of the polymer template, the resulting self-standing electrodes still maintain porous structure with uniform sulfur distribution and a distinct transition between the dense Ni layer and the Ni/S-PTh composite layer. Electrochemical characterization of the Ni/S-PTh composite cathodes by galvanostatic cycling at C/10 rate results in an initial specific discharge capacity of ~1120 mAh·g−1 and a specific capacity of ~910 mAh·g−1 after 200 cycles, resulting in a high capacity retention of ~81 %. For our novel approach, no steps at high temperatures or toxic solvents are involved and the need for polymer binders and conductive additives is avoided. These results demonstrate the potential of composite electrodeposition in combination with 3D printing for producing sustainable, high-performance sulfur cathodes with tunable architecture. Full article
Show Figures

Figure 1

15 pages, 3746 KB  
Article
Enhanced Electrochemical Performance of Carbon-Coated Nano-ZnO as an Anode Material for High-Rate Ni-Zn Batteries
by Wei Cao, Chenhan Xiong, Yanqiu Yu, Xiang Ji, Hao Xu, Ziwei Chen, Jun Chen and Rui Wang
Batteries 2025, 11(9), 342; https://doi.org/10.3390/batteries11090342 - 17 Sep 2025
Viewed by 1623
Abstract
Nickel–zinc batteries are promising candidates for safe, cost-effective, and high-power energy storage. However, the poor cycling stability of zinc anodes, mainly caused by dendrite growth and dissolution, remains a major challenge for their practical application. Herein, carbon-coated nano-ZnO (ZnO@C) composites were synthesized via [...] Read more.
Nickel–zinc batteries are promising candidates for safe, cost-effective, and high-power energy storage. However, the poor cycling stability of zinc anodes, mainly caused by dendrite growth and dissolution, remains a major challenge for their practical application. Herein, carbon-coated nano-ZnO (ZnO@C) composites were synthesized via a sol–gel method using polyvinyl alcohol (PVA) and zinc acetate as precursors. By systematically tuning the carbon content, the ZnO@C-6 sample with a carbon-to-ZnO mass ratio of 1:6 exhibited the best structural and electrochemical performance. Characterization confirmed a uniform amorphous carbon layer that enhanced conductivity and inhibited ZnO dissolution. Electrochemical tests demonstrated that ZnO@C-6 exhibited high reversible capacity (500 mAh g−1 at 12 C after 1000 cycles), coulombic efficiency (>80%), and superior rate capability up to 30 C. Post-cycling SEM confirmed that the carbon coating effectively inhibits dendrite formation and preserves electrode morphology. These findings highlight the critical role of carbon coatings in stabilizing ZnO-based anodes and offer a viable pathway toward high-performance Ni-Zn batteries. Full article
Show Figures

Figure 1

46 pages, 3434 KB  
Review
System-Level Compact Review of On-Board Charging Technologies for Electrified Vehicles: Architectures, Components, and Industrial Trends
by Pierpaolo Dini, Sergio Saponara, Sajib Chakraborty and Omar Hegazy
Batteries 2025, 11(9), 341; https://doi.org/10.3390/batteries11090341 - 17 Sep 2025
Cited by 2 | Viewed by 4032
Abstract
The increasing penetration of electrified vehicles is accelerating the evolution of on-board and off-board charging systems, which must deliver higher efficiency, power density, safety, and bidirectionality under increasingly demanding constraints. This article presents a system-level review of state-of-the-art charging architectures, with a focus [...] Read more.
The increasing penetration of electrified vehicles is accelerating the evolution of on-board and off-board charging systems, which must deliver higher efficiency, power density, safety, and bidirectionality under increasingly demanding constraints. This article presents a system-level review of state-of-the-art charging architectures, with a focus on galvanically isolated power conversion stages, wide-bandgap-based switching devices, battery pack design, and real-world implementation trends. The analysis spans the full energy path—from grid interface to battery terminals—highlighting key aspects such as AC/DC front-end topologies (Boost, Totem-Pole, Vienna, T-Type), high-frequency isolated DC/DC converters (LLC, PSFB, DAB), transformer modeling and optimization, and the functional integration of the Battery Management System (BMS). Attention is also given to electrochemical cell characteristics, pack architecture, and their impact on OBC design constraints, including voltage range, ripple sensitivity, and control bandwidth. Commercial solutions are examined across Tier 1–3 suppliers, illustrating how technical enablers such as SiC/GaN semiconductors, planar magnetics, and high-resolution BMS coordination are shaping production-grade OBCs. A system perspective is maintained throughout, emphasizing co-design approaches across hardware, firmware, and vehicle-level integration. The review concludes with a discussion of emerging trends in multi-functional power stages, V2G-enabled interfaces, predictive control, and platform-level convergence, positioning the on-board charger as a key node in the energy and information architecture of future electric vehicles. Full article
Show Figures

Figure 1

17 pages, 2017 KB  
Article
Sustainable Recovery of Critical Metals from Spent Lithium-Ion Batteries Using Deep Eutectic Solvents
by Jafar Goudarzi, Zhi Chen, Gaixia Zhang, Jinguang Hu, Karim Zaghib, Sixu Deng, Afzal Ahmed Dar, Xiaolei Wang, Fariborz Haghighat, Catherine N. Mulligan, Chunjiang An and Antonio Avalos Ramirez
Batteries 2025, 11(9), 340; https://doi.org/10.3390/batteries11090340 - 14 Sep 2025
Cited by 5 | Viewed by 4639
Abstract
The surging demand for lithium-ion batteries (LIBs) has intensified the need for sustainable recovery of critical metals such as lithium, manganese, cobalt, and nickel from spent cathodes. While conventional hydrometallurgical and pyrometallurgical methods are widely used, they involve high energy consumption, hazardous waste [...] Read more.
The surging demand for lithium-ion batteries (LIBs) has intensified the need for sustainable recovery of critical metals such as lithium, manganese, cobalt, and nickel from spent cathodes. While conventional hydrometallurgical and pyrometallurgical methods are widely used, they involve high energy consumption, hazardous waste generation, and complex processing steps, underscoring the urgency of developing eco-friendly alternatives. This study presents a novel, water-enhanced deep eutectic solvent (DES) system composed of choline chloride and D-glucose for the efficient leaching of valuable metals from spent LiMn-based battery cathodes. The DES was synthesized under mild conditions and applied to dissolve cathode powder, with leaching performance optimized by varying temperature and duration. Under optimal conditions (100 °C, 24 h), exceptional recovery efficiencies were achieved: 98.9% for lithium, 98.4% for manganese, and 71.7% for nickel. Material characterization using X-ray diffraction (XRD), Fourier-transform infrared spectroscopy (FTIR), differential scanning calorimetry (DSC), and inductively coupled plasma mass spectrometer (ICP-MS) confirm effective phase dissolution and metal release. Although this DES system requires relatively higher temperature and longer reaction time compared to traditional acid leaching, it offers clear advantages in terms of non-toxicity, biodegradability, and elimination of strong oxidizing agents. These results demonstrate the potential of water-enhanced choline chloride–glucose DES as a green alternative for future development in sustainable battery recycling, supporting circular economy objectives. Full article
Show Figures

Figure 1

16 pages, 3149 KB  
Article
Thermal Runaway Hazards of Ternary Lithium-Ion Batteries Under Different Ambient Pressure Environments
by Huajian Cui, Maoyong Zhi, Qiang Sun, Mingge Zhang and Kenan Zhang
Batteries 2025, 11(9), 339; https://doi.org/10.3390/batteries11090339 - 12 Sep 2025
Viewed by 2438
Abstract
Aiming for the safety requirements of aviation transportation of lithium-ion batteries, the thermal runaway characteristics of ternary lithium-ion batteries in a low ambient pressure environment were systematically explored. The results showed that the low ambient pressure significantly reduced the peak temperature of battery [...] Read more.
Aiming for the safety requirements of aviation transportation of lithium-ion batteries, the thermal runaway characteristics of ternary lithium-ion batteries in a low ambient pressure environment were systematically explored. The results showed that the low ambient pressure significantly reduced the peak temperature of battery thermal runaway. The critical trigger temperature was increased by about 30 °C because of the suppression of convective heat transfer and side reactions inside the battery by the low ambient pressure. At 50 kPa ambient pressure, the injection stage of batteries with 100% SOC and 50% SOC were delayed by 16 s and 99 s, respectively, and the combustion intensity was also significantly weakened. The violent eruption of the battery with 100% SOC caused the rupture of the aluminum–plastic film, and the battery with 0% SOC only expanded inward. Constant ambient pressure (96 kPa) and high SOCs (≥50%) are a high-risk combination, and fire monitoring needs to be strengthened. Low ambient pressure (≤50 kPa) and low SOCs (≤30%) are less dangerous for thermal runaway. It is suggested that the SOC should not be higher than 50% in aviation transportation. This work provides an important reference for the safety of lithium-ion batteries in aviation transportation. Full article
(This article belongs to the Section Energy Storage System Aging, Diagnosis and Safety)
Show Figures

Graphical abstract

17 pages, 3881 KB  
Article
Influence of Lithium Plating on the Thermal Properties of Automotive High Energy Pouch Batteries
by Syed Muhammad Abbas, Gregor Gstrein, Andrey W. Golubkov, Oliver Korak, Simon Erker and Christian Ellersdorfer
Batteries 2025, 11(9), 338; https://doi.org/10.3390/batteries11090338 - 10 Sep 2025
Cited by 3 | Viewed by 1253
Abstract
In this study, the effect of lithium plating (LP) on the thermal properties of lithium-ion batteries (LIBs) was investigated. A large-format pouch 64.6 Ah cell with a graphite-SiOx/NMC chemistry was artificially aged (AA_LP) in the laboratory under specific conditions to induce [...] Read more.
In this study, the effect of lithium plating (LP) on the thermal properties of lithium-ion batteries (LIBs) was investigated. A large-format pouch 64.6 Ah cell with a graphite-SiOx/NMC chemistry was artificially aged (AA_LP) in the laboratory under specific conditions to induce LP on the anode. For thermal behavior analysis, temperature ramp experiments were conducted in a nitrogen-filled steel container on the cycled cell, as well as on fresh and real-life aged cells with the same specifications. Characteristic temperatures, such as first venting and safety critical temperatures, were monitored; additionally, the exhaust gas composition was analyzed using Fourier transform infrared spectroscopy (FTIR) and gas chromatography. It was revealed that the voltage decay of the cells started well before any safety-critical temperature, and the first venting of the AA_LP cell was significantly reduced to 112 °C in comparison to the fresh and real-life aged cells, in which it occurred at 130 °C and 134 °C, respectively. The earlier venting of the AA_LP cell was attributed to the reaction of the plated metallic lithium and the electrolyte. The safety-critical temperature rate (>10 °C/min) occurred at 160.9 °C for AA_LP and at around 159.1 °C for the fresh and real-life aged cells. The maximum temperatures reached were 616 °C, 553 °C, and 566 °C for the fresh, real-life aged, and AA_LP cells, respectively. No significant difference was observed in the exhaust gas after the thermal runaway for the tested cells. Full article
(This article belongs to the Collection Feature Papers in Batteries)
Show Figures

Graphical abstract

17 pages, 2856 KB  
Article
An Adaptive Grid-Forming Control Strategy Based on Capacitor Energy State Estimation
by Xinghu Liu, Yingying Chen and Yongfeng Fu
Batteries 2025, 11(9), 337; https://doi.org/10.3390/batteries11090337 - 9 Sep 2025
Viewed by 1711
Abstract
Conventional grid-forming (GFM) inverter control strategies often rely on fixed parameters and overlook the dynamic variation in energy stored in the DC link capacitor. This limitation can degrade transient performance and stability, particularly under power fluctuations and grid disturbances in renewable energy systems. [...] Read more.
Conventional grid-forming (GFM) inverter control strategies often rely on fixed parameters and overlook the dynamic variation in energy stored in the DC link capacitor. This limitation can degrade transient performance and stability, particularly under power fluctuations and grid disturbances in renewable energy systems. To address this issue, this paper proposes an adaptive GFM control method that integrates real-time estimation of the DC link capacitor energy into the control loop. A Kalman filter-based observer is designed to estimate the capacitor energy state accurately and robustly using only local voltage and current measurements. The estimated energy deviation is then used to dynamically adjust key control parameters, including the virtual inertia and droop coefficients in the virtual synchronous generator (VSG) framework. These adaptive adjustments enhance the inverter’s damping and inertial behavior according to the internal energy buffer, improving performance under variable operating conditions. Simulation results in MATLAB/Simulink R2023b demonstrate that the proposed method significantly reduces power and voltage overshoots, shortens settling time, and improves DC link voltage regulation compared to conventional fixed-parameter control. Full article
Show Figures

Figure 1

15 pages, 3176 KB  
Article
SoC Fusion Estimation Based on Neural Network Long and Short Time Series
by Bosong Zou, Wang Fu, Chunxia Yan, Qingshuang Zeng, Zheng Wang, Rong Wang, Wenlong Ding, Xianglong Chen and Qiuju Gao
Batteries 2025, 11(9), 336; https://doi.org/10.3390/batteries11090336 - 9 Sep 2025
Viewed by 1608
Abstract
Accurate prediction of state-of-charge (SoC) is critical to ensure battery performance, extend lifetime and ensure safety. Data-driven methods for SoC prediction are highly adaptable and generalizable. However, the current method of estimating SoC using a single model suffers from the difficulty of accommodating [...] Read more.
Accurate prediction of state-of-charge (SoC) is critical to ensure battery performance, extend lifetime and ensure safety. Data-driven methods for SoC prediction are highly adaptable and generalizable. However, the current method of estimating SoC using a single model suffers from the difficulty of accommodating both global variations in the long time domain and local variations in the short time domain, which in turn leads to limited accuracy. Therefore, this paper proposes a dual-model fusion of Transformer and long short-term memory (LSTM) network for SoC estimation. Transformer and LSTM are used to capture the global change features of the battery in the long time domain and the local change features in the short time domain, respectively. First, we employ a single model to obtain separate SoC estimations for the long-term and short-term domains. Then, we fuse these long-term and short-term estimations using a neural network. Finally, we apply Kalman filtering to process the fused data and obtain the final SoC estimation. The proposed method is finally validated under different operating conditions and different temperatures, respectively. The results show that the root mean square error of the fused model is as low as 1.69%. This method can fully combine the advantages of LSTM for short-time sequences and Transformer for long-time sequence capture. The fused model is able to achieve satisfactory estimation accuracy under different temperatures and different working conditions with high accuracy and adaptability. Full article
Show Figures

Figure 1

3 pages, 133 KB  
Editorial
Thermal Management in Lithium-Ion Batteries: Latest Advances and Prospects
by Xianglin Li, Chuanbo Yang and Prahit Dubey
Batteries 2025, 11(9), 335; https://doi.org/10.3390/batteries11090335 - 7 Sep 2025
Viewed by 3544
Abstract
We are excited to present a Special Issue (SI) for Batteries on battery thermal management systems (BTMS) [...] Full article
14 pages, 6680 KB  
Article
In Situ Engineered Plastic–Crystal Interlayers Enable Li-Rich Cathodes in PVDF-HFP-Based All-Solid-State Polymer Batteries
by Fei Zhou, Jinwei Tan, Feixiang Wang and Meiling Sun
Batteries 2025, 11(9), 334; https://doi.org/10.3390/batteries11090334 - 6 Sep 2025
Viewed by 2797
Abstract
All-solid-state lithium batteries (ASSLBs) employing Li-rich layered oxide (LLO) cathodes are regarded as promising next-generation energy storage systems owing to their outstanding energy density and intrinsic safety. Polymer-in-salt solid electrolytes (PISSEs) offer advantages such as high room-temperature ionic conductivity, enhanced Li anode interfacial [...] Read more.
All-solid-state lithium batteries (ASSLBs) employing Li-rich layered oxide (LLO) cathodes are regarded as promising next-generation energy storage systems owing to their outstanding energy density and intrinsic safety. Polymer-in-salt solid electrolytes (PISSEs) offer advantages such as high room-temperature ionic conductivity, enhanced Li anode interfacial compatibility, and low processing costs; however, their practical deployment is hindered by poor oxidative stability especially under high-voltage conditions. In this study, we report the rational design of a bilayer electrolyte architecture featuring an in situ solidified LiClO4-doped succinonitrile (LiClO4–SN) plastic–crystal interlayer between a Li1.2Mn0.6Ni0.2O2 (LMNO) cathode and a poly (vinylidene fluoride-co-hexafluoropropylene) (PVDF-HFP)-based PISSE. This PISSE/SN–LiClO4 configuration exhibits a wide electrochemical stability window up to 4.7 V vs. Li+/Li and delivers a high ionic conductivity of 5.68 × 10−4 S cm−1 at 25 °C. The solidified LiClO4-SN layer serves as an effective physical barrier, shielding the PVDF-HFP matrix from direct interfacial contact with LMNO and thereby suppressing its oxidative decomposition at elevated potentials. As a result, the bilayer polymer-based cells with the LMNO cathode demonstrate an initial discharge capacity of ∼206 mAh g−1 at 0.05 C and exhibit good cycling stability with 85.7% capacity retention after 100 cycles at 0.5 C under a high cut-off voltage of 4.6 V. This work not only provides a promising strategy to enhance the compatibility of PVDF-HFP-based electrolytes with high-voltage cathodes through the facile in situ solidification of plastic interlayers but also promotes the application of LMNO cathode material in high-energy ASSLBs. Full article
Show Figures

Graphical abstract

28 pages, 3620 KB  
Review
Transition Metal-Based Catalysts Powering Practical Room-Temperature Na-S Batteries: From Advances to Further Perspectives
by Junsheng Li, Yongli Wang, Yuanyuan Yang, Peng Lei, Huatang Cao and Yinyu Xiang
Batteries 2025, 11(9), 333; https://doi.org/10.3390/batteries11090333 - 5 Sep 2025
Cited by 1 | Viewed by 1720
Abstract
Room-temperature sodium–sulfur (RT Na-S) batteries hold great potential in the field of large-scale energy storage due to their high theoretical energy density and low cost of raw materials. However, the inherent low conductivity, notorious shuttling, and sluggish kinetics of cathode materials cause the [...] Read more.
Room-temperature sodium–sulfur (RT Na-S) batteries hold great potential in the field of large-scale energy storage due to their high theoretical energy density and low cost of raw materials. However, the inherent low conductivity, notorious shuttling, and sluggish kinetics of cathode materials cause the loss of active substances and capacity delay, hindering the practical application of RT Na-S batteries. Owing to their low cost, variable oxidation states, and unsaturated d orbitals, transition metal (TM)-based catalysts have been extensively studied in circumventing the above shortcomings. Herein, the review first elaborates on the reaction mechanisms and current challenges of RT Na-S batteries. Subsequently, the role and function mechanism of TM-based catalysts (including single/dual atoms, nanoparticles, compounds, and heterostructures) in RT Na-S batteries are described. Specifically, based on the theories of electronic transfer and atomic orbital hybridization, the interaction mechanism between TM-based catalysts and polysulfides, as well as the catalytic performance, are systematically discussed and summarized. Finally, a discussion on the challenges and future research perspectives associated with TM-based catalysts for RT Na-S batteries is provided. Full article
(This article belongs to the Special Issue 10th Anniversary of Batteries: Interface Science in Batteries)
Show Figures

Graphical abstract

22 pages, 4693 KB  
Article
Experience-Driven NeuroSymbolic System for Efficient Robotic Bolt Disassembly
by Pengxu Chang, Zhigang Wang, Yanlong Peng, Ziwen He and Ming Chen
Batteries 2025, 11(9), 332; https://doi.org/10.3390/batteries11090332 - 5 Sep 2025
Cited by 1 | Viewed by 1716
Abstract
With the rapid growth of electric vehicles, the efficient and safe recycling of high-energy battery packs, particularly the removal of structural bolts, has become a critical challenge. This study presents a NeuroSymbolic robotic system for battery disassembly, driven by autonomous learning capabilities. The [...] Read more.
With the rapid growth of electric vehicles, the efficient and safe recycling of high-energy battery packs, particularly the removal of structural bolts, has become a critical challenge. This study presents a NeuroSymbolic robotic system for battery disassembly, driven by autonomous learning capabilities. The system integrates deep perception modules, symbolic reasoning, and action primitives to achieve interpretable and efficient disassembly. To improve adaptability, we introduce an offline learning framework driven by a large language model (LLM), which analyzes historical disassembly trajectories and generates optimized action sequences via prompt-based reasoning. This enables the synthesis of new action primitives tailored to familiar scenarios. The system is validated on a real-world UR10e robotic platform across various battery configurations. Experimental results show a 17 s reduction in average disassembly time per bolt and a 154.4% improvement in overall efficiency compared with traditional approaches. These findings demonstrate that combining neural perception, symbolic reasoning, and LLM-guided learning significantly enhances robotic disassembly performance and offers strong potential for generalization in future battery recycling applications. Full article
(This article belongs to the Special Issue Batteries: 10th Anniversary)
Show Figures

Figure 1

37 pages, 12841 KB  
Review
Designing Highly Reversible and Stable Zn Anodes for Next-Generation Aqueous Batteries
by Xinzu Yue, Weibao Wang, Zhongqi Liang, Dongping Wang, Jie Deng, Yachao Zhu, Hang Zhou, Jun Yu and Guoshen Yang
Batteries 2025, 11(9), 331; https://doi.org/10.3390/batteries11090331 - 4 Sep 2025
Cited by 2 | Viewed by 2778
Abstract
The global imperative for sustainable energy has catalyzed the pursuit of next-generation energy storage technologies that are intrinsically safe, economically viable, and scalable. Aqueous zinc-ion batteries (AZIBs) present a promising solution to meet these demands. However, the metallic Zn anode, the heart of [...] Read more.
The global imperative for sustainable energy has catalyzed the pursuit of next-generation energy storage technologies that are intrinsically safe, economically viable, and scalable. Aqueous zinc-ion batteries (AZIBs) present a promising solution to meet these demands. However, the metallic Zn anode, the heart of this technology, suffers from fundamental electrochemical instabilities—manifesting as dendrite growth and rampant parasitic reactions (e.g., corrosion and passivation)—that critically curtail battery lifespan and impede practical application. This review offers a comprehensive overview of the latest strategies designed to achieve a highly reversible and stable Zn anode. We meticulously categorize and analyze these innovations through the three integral components of the AZIBs: (i) intrinsic anode engineering, (ii) interfacial electrolyte chemistry regulation, and (iii) separator-induced transport modulation. By delving into the core scientific mechanisms and critically evaluating each approach, this work synthesizes a holistic understanding of the structure-property-performance relationships. We conclude by identifying the persistent challenges and, more importantly, proposing visionary perspectives on future research directions. This review aims to serve as a scientific guide for the rational design of highly reversible Zn anodes, paving the way for the next generation of high-performance, commercially viable aqueous batteries. Full article
(This article belongs to the Special Issue Rechargeable Aqueous Zn-Ion Batteries)
Show Figures

Figure 1

17 pages, 5236 KB  
Article
Influence of Lithium Plating on the Mechanical Properties of Automotive High-Energy Pouch Batteries
by Syed Muhammad Abbas, Gregor Gstrein, Alois David Jauernig, Alexander Schmid, Emanuele Michelini, Michael Hinterberger and Christian Ellersdorfer
Batteries 2025, 11(9), 330; https://doi.org/10.3390/batteries11090330 - 3 Sep 2025
Cited by 3 | Viewed by 1800
Abstract
Lithium plating (LP), as a specific degradation mechanism in lithium-ion batteries (LIBs), has been thoroughly investigated regarding formation conditions and potential safety hazards, but it is yet unknown how this effect influences the mechanical properties of batteries in the case of mechanical deformation. [...] Read more.
Lithium plating (LP), as a specific degradation mechanism in lithium-ion batteries (LIBs), has been thoroughly investigated regarding formation conditions and potential safety hazards, but it is yet unknown how this effect influences the mechanical properties of batteries in the case of mechanical deformation. To address this issue, pouch cells used in EVs were artificially aged (AA) to a state of health of 80–82% in conditions that predominantly cause the formation of LP. These cells were subjected to a mechanical abuse load, and safety-relevant parameters, such as tolerated deformation level, failure force, and the process of thermal runaway (TR), were analyzed and compared with respective fresh (F) and aged cells of the same type. Complementary microscopy analyses were carried out to compare the found changed mechanical response with the different layer morphology caused by LP. The tests did exhibit a significantly different mechanical response of cells in the three states but also clearly altered short-circuiting behavior. The tolerated peak force at discharge state dropped by −28% and at charge state by −37% compared to fresh cells, while the deformation at failure slightly increased by +6% for the AA cells. A clear reduction in stiffness (−16%) of the LP cells was attributed to the formed layer, identified as mossy LP. The significantly stronger voltage drop at failure, seen for the LP cells, was associated with severe exothermal reactions of LP in contact with air and moisture during TR. This study revealed the strong influence of LP on the mechanical properties of LIBs. However, the transferability of the findings to other cell chemistries or formats is unclear, emphasizing the need for further investigations in this research field. Full article
(This article belongs to the Collection Feature Papers in Batteries)
Show Figures

Graphical abstract

21 pages, 4773 KB  
Article
Effect of Short-Chain Polymer Binders on the Mechanical and Electrochemical Performance of Silicon Anodes
by Fei Sun, L. Zurita-Garcia and Dean R. Wheeler
Batteries 2025, 11(9), 329; https://doi.org/10.3390/batteries11090329 - 1 Sep 2025
Viewed by 2406
Abstract
Polymer binders are crucial components in providing both mechanical support and chemical stability to the structure of porous Li-ion electrodes. Particularly in silicon anodes, the active material undergoes substantial volume expansion of up to 275%. Due to the mechanical constraint of the current [...] Read more.
Polymer binders are crucial components in providing both mechanical support and chemical stability to the structure of porous Li-ion electrodes. Particularly in silicon anodes, the active material undergoes substantial volume expansion of up to 275%. Due to the mechanical constraint of the current collector, these silicon materials tend to expand in the normal direction while exhibiting substantial particle rearrangement and plastic deformation. Conventional rigid binders such as polyacrylic acid (PAA) and polyimide (PI), while providing satisfactory initial capacity, do not eliminate diminished long-term performance. Our research attempts to develop binder formulations that can accommodate sufficient flexibility for the substantial volume changes of silicon particles. Specifically, we explore the use of short-chain polymer binders and a strategic blend of binders with different molecular weights. Experiments have demonstrated that cells combining both long- and short-chain PAA binders delivered an initial capacity of 2200 mAh/g at a 0.1C rate, compared to 1700 mAh/g for pristine PAA cells. Initial work indicated that shorter polymer chains might compromise the adhesion to the current collector, so we developed a multilayer anode (MLA) structure to mitigate this issue. Nevertheless, at this early stage of development, there was no observed increase in cycling performance for the MLA electrodes. Full article
Show Figures

Figure 1

13 pages, 3249 KB  
Article
Stable Manganese-Based High-Entropy Prussian Blue for Enhanced Sodium-Ion Storage
by Congcong Li, Yang Xiao, Dingyi Zhang, Xinyao Yuan, Jun Xiao, Yufei Zhao, Hong Gao and Hao Liu
Batteries 2025, 11(9), 328; https://doi.org/10.3390/batteries11090328 - 1 Sep 2025
Cited by 2 | Viewed by 3377
Abstract
Prussian blue (PB) and its analogs (PBAs) are considered ideal cathode materials for sodium-ion batteries (SIBs) due to the following merits, including high redox potential, simple synthesis methods, and excellent structural stability. Herein, we synthesized a high-entropy PB cathode material, Na1.20Mn [...] Read more.
Prussian blue (PB) and its analogs (PBAs) are considered ideal cathode materials for sodium-ion batteries (SIBs) due to the following merits, including high redox potential, simple synthesis methods, and excellent structural stability. Herein, we synthesized a high-entropy PB cathode material, Na1.20Mn0.38Fe0.15Ni0.14Co0.15Cu0.16[Fe(CN)6]0.820.18·0.38H2O (HE-HCF), through a facile co-precipitation method. The five transition metals in HE-HCF have similar atomic sizes and electronegativity, collectively occupying the high-spin Fe-HS sites. The manganese-based system design reduces the preparation cost, and the high-entropy doping approach further decreases the content of crystalline water in the structure. Benefiting from the synergistic effects of the multiple component elements, HE-HCF demonstrates a capacity retention rate of 72.7% at 0.1 A g−1. Moreover, it even maintains 85.3% of its initial capacity after 1000 cycles at 1 A g−1. Electrochemical impedance spectroscopy (EIS) and galvanostatic intermittent titration technique (GITT) analyses further confirm that HE-HCF exhibits low charge transfer resistance and a small reaction activation energy. Full article
(This article belongs to the Special Issue Battery Interface: Analysis & Design)
Show Figures

Figure 1

26 pages, 4652 KB  
Review
A Comprehensive Review of Equalization Techniques for Reconfigured Second-Life Battery Systems
by Jiajin Qi, Yuefei Xu, Shizhe Chen, Jinggui Shen, Ranchen Yang and Huajun Xu
Batteries 2025, 11(9), 327; https://doi.org/10.3390/batteries11090327 - 30 Aug 2025
Cited by 1 | Viewed by 2970
Abstract
As the demand for second-life lithium-ion battery applications continues to grow, efficient cell equalization has become essential to mitigate parameter inconsistencies and extend system longevity. Owing to their diverse origins and varying aging paths, second-life batteries exhibit significant parameter dispersion, which poses distinct [...] Read more.
As the demand for second-life lithium-ion battery applications continues to grow, efficient cell equalization has become essential to mitigate parameter inconsistencies and extend system longevity. Owing to their diverse origins and varying aging paths, second-life batteries exhibit significant parameter dispersion, which poses distinct challenges. In light of these issues, this paper presents a comprehensive review of passive, active, and dynamic equalization technologies. It analyzes the circuit topologies and control strategies associated with each method, with a particular focus on their applicability to second-life battery systems. Furthermore, emerging trends toward intelligent, modular, and adaptive equalization are discussed. Full article
(This article belongs to the Section Battery Processing, Manufacturing and Recycling)
Show Figures

Figure 1

31 pages, 5394 KB  
Article
Research on Thermal Characteristics and Algorithm Prediction Analysis of Liquid Cooling System for Leaf Vein Structure Power Battery
by Mingfei Yang, Shanhua Zhang, Han Tian, Li Lv and Jiqing Han
Batteries 2025, 11(9), 326; https://doi.org/10.3390/batteries11090326 - 29 Aug 2025
Cited by 2 | Viewed by 2070
Abstract
With the increase in energy density of power batteries, the risk of thermal runaway significantly increases under extreme working conditions. Therefore, this article proposes a biomimetic liquid cooling plate design based on the fractal structure of fir needle leaf veins, combined with Murray’s [...] Read more.
With the increase in energy density of power batteries, the risk of thermal runaway significantly increases under extreme working conditions. Therefore, this article proposes a biomimetic liquid cooling plate design based on the fractal structure of fir needle leaf veins, combined with Murray’s mass transfer law, which has significantly improved the heat dissipation performance under extreme working conditions. A multi-field coupling model of electrochemistry fluid heat transfer was established using ANSYS 2022 Fluent, and the synergistic mechanism of environmental temperature, coolant parameters, and heating power was systematically analyzed. Research has found that compared to traditional serpentine channels, leaf vein biomimetic structures can reduce the maximum temperature of batteries by 11.78 °C at a flow rate of 4 m/s and 5000 W/m3. Further analysis reveals that there is a critical flow rate threshold of 2.5 m/s for cooling efficiency (beyond which the effectiveness of temperature reduction decreases by 86%), as well as a thermal saturation temperature of 28 °C (with a sudden increase in temperature rise slope by 284%). Under low-load conditions of 2600 W/m 3, the system exhibits a thermal hysteresis plateau of 40.29 °C. To predict the battery temperature in advance and actively intervene in cooling the battery pack, based on the experimental data and thermodynamic laws of the biomimetic liquid cooling system mentioned above, this study further constructed a support vector machine (SVM) prediction model to achieve real-time and accurate prediction of the highest temperature of the battery pack (validation set average relative error 1.57%), providing new ideas for intelligent optimization of biomimetic liquid cooling systems. Full article
(This article belongs to the Section Battery Modelling, Simulation, Management and Application)
Show Figures

Figure 1

25 pages, 3388 KB  
Article
Rapid and Non-Invasive SoH Estimation of Lithium-Ion Cells via Automated EIS and EEC Models
by Ignacio Ezpeleta, Javier Fernández, David Giráldez and Lorena Freire
Batteries 2025, 11(9), 325; https://doi.org/10.3390/batteries11090325 - 29 Aug 2025
Cited by 4 | Viewed by 2828
Abstract
The growing need for efficient battery reuse and recycling requires rapid, reliable methods to assess the state of health (SoH) of lithium-ion cells. Conventional SoH estimation based on full charge–discharge cycling is slow, energy-intensive, and unsuitable for dismantled cells with unknown histories. This [...] Read more.
The growing need for efficient battery reuse and recycling requires rapid, reliable methods to assess the state of health (SoH) of lithium-ion cells. Conventional SoH estimation based on full charge–discharge cycling is slow, energy-intensive, and unsuitable for dismantled cells with unknown histories. This work presents an automated diagnostic approach using Electrochemical Impedance Spectroscopy (EIS) combined with Electrical Equivalent Circuit (EEC) modeling for fast, non-invasive SoH estimation. A correlation between fitted EIS parameters and cell degradation stages was established through controlled aging tests on NMC-based lithium-ion cells. The methodology was implemented in custom software (BaterurgIA) integrated into a robotic testing bench, enabling automatic EIS acquisition, data fitting, and SoH determination. The system achieves SoH estimation with 5–10% accuracy for cells in intermediate and advanced degradation stages, while additional parameters improve sensitivity during early aging. Compared to conventional cycling methods, the proposed approach reduces diagnostic time from hours to minutes, minimizes energy consumption, and offers predictive insights into internal degradation mechanisms. This enables fast and reliable cell grading for reuse, reconditioning, or recycling, supporting the development of scalable solutions for battery second-life applications and circular economy initiatives. Full article
(This article belongs to the Section Energy Storage System Aging, Diagnosis and Safety)
Show Figures

Figure 1

12 pages, 2381 KB  
Article
Interface Stabilization of Aqueous Aluminum Batteries via Non-Flammable Co-Solvent
by Keun-il Kim
Batteries 2025, 11(9), 324; https://doi.org/10.3390/batteries11090324 - 29 Aug 2025
Cited by 1 | Viewed by 1813
Abstract
Aqueous aluminum-ion batteries (AAIBs) face significant challenges due to interfacial instability and parasitic side reactions during the reversible deposition of aluminum. Here, we introduce a hybrid electrolyte incorporating triethyl phosphate (TEP), a non-flammable co-solvent that reconstructs the Al3+ solvation environment by suppressing [...] Read more.
Aqueous aluminum-ion batteries (AAIBs) face significant challenges due to interfacial instability and parasitic side reactions during the reversible deposition of aluminum. Here, we introduce a hybrid electrolyte incorporating triethyl phosphate (TEP), a non-flammable co-solvent that reconstructs the Al3+ solvation environment by suppressing water activity. This design extends the electrochemical stability window and enables uniform Al–Zn alloy formation at the anode interface. As a result, symmetric Al–Zn cells achieve over 4000 h of stable cycling. In full-cell configurations with V2O5/C cathodes, the system demonstrates high capacity retention (~96% over 450 cycles at 2 A g−1) and coulombic efficiency. This work underscores the potential of solvation structure engineering via functional, flame-retarding co-solvent to advance the development of safe and durable aqueous electrolytes. Full article
(This article belongs to the Special Issue Research on Aqueous Rechargeable Batteries—2nd Edition)
Show Figures

Figure 1

11 pages, 1796 KB  
Article
NVPF Sodium-Ion Versus NMC and LFP Lithium-Ion Batteries in Thermal Runaway: Vent Gas Composition and Thermal Analysis
by Gabriel Ferdigg and Christiane Mair (Essl)
Batteries 2025, 11(9), 323; https://doi.org/10.3390/batteries11090323 - 29 Aug 2025
Cited by 3 | Viewed by 5599
Abstract
In this study, cells with three different cell chemistries Na3V2(PO4)2F3 (NVPF), LiNi0.6Mn0.2Co0.2O2 (NMC) and LiFePO4 (LFP) are analyzed in exactly the same setup to compare the [...] Read more.
In this study, cells with three different cell chemistries Na3V2(PO4)2F3 (NVPF), LiNi0.6Mn0.2Co0.2O2 (NMC) and LiFePO4 (LFP) are analyzed in exactly the same setup to compare the hazardous vent gases and their thermal behavior during thermal runaway (TR). Additionally, the influence of different triggers on the failure behavior of NVPF cells is elucidated. The innovative perspective is providing a direct comparison of the three cell chemistries, the influence of the trigger method on the vent gas composition and the thermal behavior. Of the three cell chemistries, LFP releases the least amount of vent gas at 0.02 mol/Ah (41% H2, 27% CO2, 8% CO), followed by NVPF at 0.05 mol/Ah (42% CO2, 17% electrolyte solvent, 15% H2 and 10% CO) and NMC at 0.07 mol/Ah (36% CO, 24% CO2, 19% H2). The maximum vent gas temperature increases from NVPF (265 °C) to LFP (446 °C) and NMC (1050 °C). As for the triggers, overcharge has the highest vent gas production of the NVPF cells at 0.07 mol/Ah. The results offer valuable insight into storage system design and expand the assessment of battery cells. Full article
Show Figures

Graphical abstract

23 pages, 7024 KB  
Article
Aging Estimation and Clustering of Used EV Batteries for Second-Life Applications
by Álvaro Pérez-Borondo, Jon Sagardui-Lacalle and Lucia Gauchia
Batteries 2025, 11(9), 322; https://doi.org/10.3390/batteries11090322 - 28 Aug 2025
Cited by 1 | Viewed by 1764
Abstract
This study presents an integrated machine learning framework to evaluate the aging states of lithium-ion batteries and to classify them according to their second-life application potential. The methodology combines two key components: a set of regression models to estimate critical health indicators, such [...] Read more.
This study presents an integrated machine learning framework to evaluate the aging states of lithium-ion batteries and to classify them according to their second-life application potential. The methodology combines two key components: a set of regression models to estimate critical health indicators, such as capacity and internal resistance, and a classification stage to group batteries based on these parameters. The proposed models were trained and validated using the NASA Battery Aging Datasets. Through an in-depth analysis of environmental conditions, the study identifies their influence on aging metrics, reinforcing the relevance of the input features selected. Furthermore, a clustering-based approach was employed to validate the classification performance and to reveal the link between a battery’s operation and its aging in the Euclidean space. The results show accurate predictions without signs of overfitting or underfitting, and the classification framework proved robust across the evaluated cases. This suggests that the proposed method can serve as a scalable and adaptable tool to guide battery repurposing strategies. Overall, the findings contribute to bridging the gap between battery diagnostics and real-world energy storage applications, offering practical insights to optimize second-life deployment. Full article
Show Figures

Figure 1

13 pages, 2289 KB  
Article
State-of-Health Estimation of LiFePO4 Batteries via High-Frequency EIS and Feature-Optimized Random Forests
by Zhihan Yan, Xueyuan Wang, Xuezhe Wei, Haifeng Dai and Lifang Liu
Batteries 2025, 11(9), 321; https://doi.org/10.3390/batteries11090321 - 28 Aug 2025
Cited by 2 | Viewed by 2153
Abstract
Accurate state-of-health (SOH) estimation of lithium iron phosphate (LiFePO4) batteries is critical for ensuring the safety and performance of electric vehicles, particularly under extreme operating conditions. This study presents a data-driven SOH prediction framework based on high-frequency electrochemical impedance spectroscopy (EIS) [...] Read more.
Accurate state-of-health (SOH) estimation of lithium iron phosphate (LiFePO4) batteries is critical for ensuring the safety and performance of electric vehicles, particularly under extreme operating conditions. This study presents a data-driven SOH prediction framework based on high-frequency electrochemical impedance spectroscopy (EIS) measurements conducted at −5 °C across various states of charge (SOCs). Feature parameters were extracted from the impedance spectra using equivalent circuit modeling. These features were optimized through Bayesian weighting and subsequently fed into three machine learning models: Random Forest (RF), Gradient Boosting (GB), and Extreme Gradient Boosting (XGB). To mitigate SOC-dependent variations, the models were trained, validated, and tested using features from different SOC levels for each aging cycle. This work provides a practical and interpretable approach for battery health monitoring using high-frequency EIS data, even under sub-zero temperature and partial-SOC conditions. The findings offer valuable insights for developing SOC-agnostic SOH estimation models, advancing the reliability of battery management systems in real-world applications. Full article
Show Figures

Figure 1

16 pages, 3686 KB  
Article
The Effects of Cell Chemistry, State of Charge, and Abuse Method on Gas Generation in Li-Ion Cell Failure
by Gemma E. Howard, Jonathan E. H. Buston, Jason Gill, Steven L. Goddard, Jack W. Mellor and Philip A. P. Reeve
Batteries 2025, 11(9), 320; https://doi.org/10.3390/batteries11090320 - 27 Aug 2025
Cited by 4 | Viewed by 2458
Abstract
We report on the effect state of charge (SoC), cell format, and chemistry have on the volume and composition (H2, CO2, CO, CH4, C2H4, C2H6, C3H6 [...] Read more.
We report on the effect state of charge (SoC), cell format, and chemistry have on the volume and composition (H2, CO2, CO, CH4, C2H4, C2H6, C3H6, and C3H8) of cell failure gas from Li-ion cells. Nickel manganese cobalt oxide (NMC) 21700 cells with a 5 Ah capacity were externally heated to failure at a 5–100% SoC under an inert atmosphere. This showed that the volume of gas increased with cell SoC (1.8 L at 5% SoC vs. 8.3 L at 100% SoC). The effect of the cell chemistry format and abuse method was also investigated using 18650, pouch, and prismatic cells (2.3–50 Ah) with Ni-based or lithium cobalt oxide (LCO) cathodes or lithium titanium oxide (LTO) anodes. The results showed that at higher SoCs, larger quantities of gas were generated; however, there was no correlation between the cell SoC and the composition of gases produced. Tests on the other cells found that the Ni-based cell generated 1.29–1.89 L/Ah of gas. The main constituents of this were H2, CO, and CO2; however, all other hydrocarbons were identified in varying quantities. The LTO cells generated lower volumes of gas, 0.8 L/Ah compared to Ni-based cells, and the gas was found to contain lower H2 concentrations but higher concentrations of CO2. The LCO cell was found to generate a gas volume of 1.2 L/Ah. This forms the final of four papers which cover a total of 213 tests on 29 cell types with six different chemistries, all tested using a single robust testing method. Full article
Show Figures

Figure 1

24 pages, 6368 KB  
Article
Electro-Thermal Modeling and Parameter Identification of an EV Battery Pack Using Drive Cycle Data
by Vinura Mannapperuma, Lalith Chandra Gaddala, Ruixin Zheng, Doohyun Kim, Youngki Kim, Ankith Ullal, Shengrong Zhu and Kyoung Pyo Ha
Batteries 2025, 11(9), 319; https://doi.org/10.3390/batteries11090319 - 27 Aug 2025
Cited by 2 | Viewed by 3821
Abstract
This paper presents a novel electro-thermal modeling approach for a lithium-ion battery pack in an electric vehicle (EV), along with parameter identification using controller area network (CAN) data collected from chassis dynamometer and real-world driving tests. The proposed electro-thermal model consists of a [...] Read more.
This paper presents a novel electro-thermal modeling approach for a lithium-ion battery pack in an electric vehicle (EV), along with parameter identification using controller area network (CAN) data collected from chassis dynamometer and real-world driving tests. The proposed electro-thermal model consists of a first-order equivalent circuit model (ECM) and a lumped-parameter thermal network in considering a simplified cooling circuit layout and temperature distributions across four distinct zones within the battery pack. This model captures the nonuniform heat transfer between the pack modules and the coolant, as well as variations in coolant temperature and flow rates. Model parameters are identified directly from vehicle-level test data without relying on laboratory-level measurements. Validation results demonstrate that the model can predict terminal voltage with an RMSE of less than 6 V (normalized root mean square error of less than 2%), and battery module surface temperatures with root mean square errors of less than 2 °C for over 90% of the test cases. The proposed approach provides a cost-effective and accurate solution for predicting electro-thermal behavior of EV battery systems, making it a valuable tool for battery design and management to optimize performance and ensure the safety of EVs. Full article
Show Figures

Figure 1

22 pages, 8525 KB  
Review
Protein-Based Strategies for Non-Alkali Metal-Ion Batteries
by Qian Wang, Chenxu Wang and Wei-Hong Zhong
Batteries 2025, 11(9), 318; https://doi.org/10.3390/batteries11090318 - 26 Aug 2025
Viewed by 2246
Abstract
Batteries are a cornerstone of modern technology that supports a wide range of applications including portable electronics, electric vehicles and large-scale energy storage for renewable power systems. Despite their widespread use, commercial Li-ion batteries are limited by the mineral resources of Li. The [...] Read more.
Batteries are a cornerstone of modern technology that supports a wide range of applications including portable electronics, electric vehicles and large-scale energy storage for renewable power systems. Despite their widespread use, commercial Li-ion batteries are limited by the mineral resources of Li. The rapidly growing battery market demands alternative battery systems, such as non-alkali metal-ion batteries, that are capable of delivering comparative energy densities. In the meantime, improving the performance of the batteries via generating sustainable strategies has been broadly studied. Proteins, as re naturally evolved macromolecules that possess diverse structures and functional groups, have been demonstrated to be able to transport various metallic ions inside bio-organisms. Therefore, active studies have been carried out on the use of natural proteins (e.g., zein, soy, fibroin, bovine serum albumin, etc.) to enhance the electrochemical performance of non-alkali metal-ion batteries. This review provides a comprehensive summary of recent advances on the studies of protein-based strategies for non-alkali metal-ion batteries and outlines perspectives for future sustainable electrochemical energy storage systems. Full article
(This article belongs to the Special Issue Sustainable Materials and Recycling Processes for Battery Production)
Show Figures

Figure 1

37 pages, 5256 KB  
Review
Carbon/High-Entropy Alloy Nanocomposites: Synergistic Innovations and Breakthrough Challenges for Electrochemical Energy Storage
by Li Sun, Hangyu Li, Yu Dong, Wan Rong, Na Zhou, Rui Dang, Jianle Xu, Qigao Cao and Chunxu Pan
Batteries 2025, 11(9), 317; https://doi.org/10.3390/batteries11090317 - 23 Aug 2025
Cited by 2 | Viewed by 2614
Abstract
Against the backdrop of accelerating global energy transition, developing high-performance energy-storage systems is crucial for achieving carbon neutrality. Traditional electrode materials are limited by a single densification storage mechanism and low conductivity, struggling to meet demands for high energy/power density and a long [...] Read more.
Against the backdrop of accelerating global energy transition, developing high-performance energy-storage systems is crucial for achieving carbon neutrality. Traditional electrode materials are limited by a single densification storage mechanism and low conductivity, struggling to meet demands for high energy/power density and a long cycle life. Carbon/high-entropy alloy nanocomposites provide an innovative solution through multi-component synergistic effects and cross-scale structural design: the “cocktail effect” of high-entropy alloys confers excellent redox activity and structural stability, while the three-dimensional conductive network of the carbon skeleton enhances charge transfer efficiency. Together, they achieve synergistic enhancement via interfacial electron coupling, stress buffering, and dual storage mechanisms. This review systematically analyzes the charge storage/attenuation mechanisms and performance advantages of this composite material in diverse energy-storage devices (lithium-ion batteries, lithium-sulfur batteries, etc.), evaluates the characteristics and limitations of preparation techniques such as mechanical alloying and chemical vapor deposition, identifies five major challenges (including complex and costly synthesis, ambiguous interfacial interaction mechanisms, lagging theoretical research, performance-cost trade-offs, and slow industrialization processes), and prospectively proposes eight research directions (including multi-scale structural regulation and sustainable preparation technologies, etc.). Through interdisciplinary perspectives, this review aims to provide a theoretical foundation for deepening the understanding of carbon/high-entropy alloy composite energy-storage mechanisms and guiding industrial applications, thereby advancing breakthroughs in electrochemical energy-storage technology under the energy transition. Full article
Show Figures

Graphical abstract

Previous Issue
Next Issue
Back to TopTop