Rapid Prediction of Maximum Remaining Capacity in Lithium-Ion Batteries Based on Charging Segment Features and GA_DBO_BPNN
Abstract
1. Introduction
2. Description of Datasets and Definition
2.1. A Brief Account of CALCE Datasets and Experiment
2.2. Definition of Maximum Remaining Capacity
2.3. Increment Capacity
3. Theory and Models
3.1. Dung Beetle Optimizer
3.2. Genetic Algorithm
3.3. Construction of BPNN Model for GA_DBO Collaborative Optimization
3.4. Performance Evaluation Indicators
4. Results and Discussion
4.1. Maximum Remaining Capacity Prediction Performance of BPNN Models Based on Varied Charging Time Segments
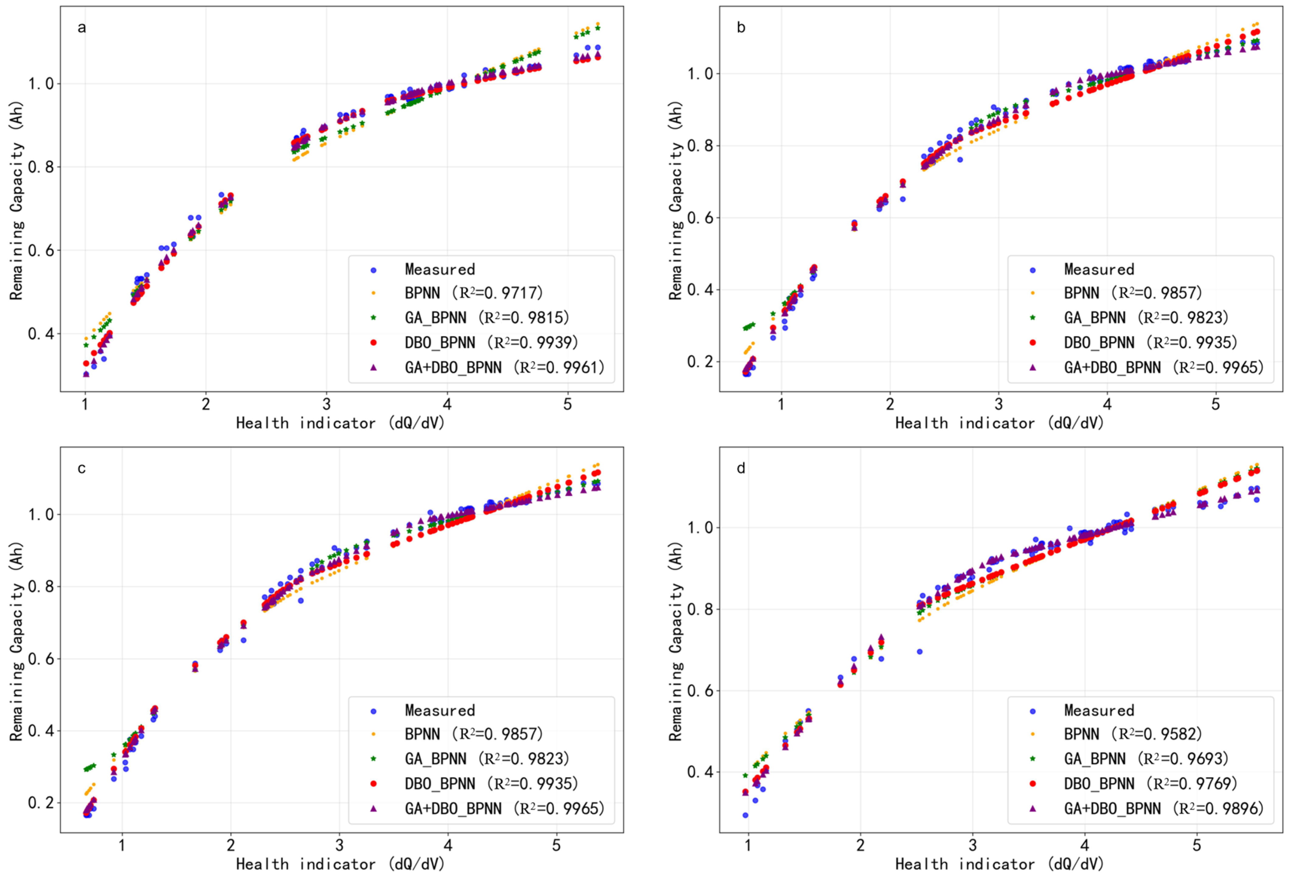
4.2. Maximum Remaining Capacity Prediction Performance of BPNN Models Based on Different Enhanced BPNNs
5. Conclusions
- (1)
 - A novel method is proposed for predicting the maximum remaining capacity of lithium batteries based on key features extracted from charging segments. Compared to traditional methods that rely on complete charge–discharge curves, this method extracts key features of the constant current charging stage, while retaining core information about battery aging, significantly reducing data computation and achieving rapid prediction of the maximum remaining capacity of lithium batteries.
 - (2)
 - The proposed method reduces capacity detection time from hours to 1800 s. While ensuring prediction accuracy, the detection efficiency is improved by more than 6 times, providing a feasible solution for rapid evaluation of the maximum remaining capacity of lithium batteries.
 - (3)
 - By jointly applying the GA and DBO to optimize the BPNN model, the initial weights and hyperparameters are effectively adjusted. This helps avoid local optima and accelerates convergence. The co-optimized BPNN achieved an average accuracy improvement of 2.2 percentage points compared to the baseline BPNN, with a maximum R2 of 99.66%, providing a robust and scalable solution for lithium batteries’ capacity prediction.
 - (4)
 - The proposed approach is suitable for real-time health monitoring in battery management systems. It enables early and accurate detection of capacity grading and cascading utilization of retired lithium batteries, underscoring its engineering relevance and practical significance.
 
Author Contributions
Funding
Data Availability Statement
Conflicts of Interest
References
- Li, J.; Adewuyi, K.; Lotfi, N.; Landers, R.G.; Park, J. A single particle model with chemical/mechanical degradation physics for lithium ion battery State of Health (SOH) estimation. Appl. Energy 2018, 212, 1178–1190. [Google Scholar] [CrossRef]
 - Wang, Z.; Zhao, X.; Fu, L.; Zhen, D.; Gu, F.; Ball, A.D. A review on rapid state of health estimation of lithium-ion batteries in electric vehicles. Sustain. Energy Technol. Assess. 2023, 60, 103457. [Google Scholar] [CrossRef]
 - Teng, J.; Chen, R.; Lee, P.; Hsu, C. Accurate and Efficient SOH Estimation for Retired Batteries. Energies 2023, 16, 1240. [Google Scholar] [CrossRef]
 - Wang, Z.; Feng, G.; Zhen, D.; Gu, F.; Ball, A. A review on online state of charge and state of health estimation for lithium-ion batteries in electric vehicles. Energy Rep. 2021, 7, 5141–5161. [Google Scholar] [CrossRef]
 - Liu, Y.; Liu, C.; Liu, Y.; Sun, F.; Qiao, J.; Xu, T. Review on degradation mechanism and health state estimation methods of lithium-ion batteries. J. Traffic Transp. Eng. 2023, 10, 578–610. [Google Scholar] [CrossRef]
 - Lin, C.; Tuo, X.; Wu, L.; Zhang, G.; Zeng, X. Accurate Capacity Prediction and Evaluation with Advanced SSA-CNN-BiLSTM Framework for Lithium-Ion Batteries. Batteries 2024, 10, 71. [Google Scholar] [CrossRef]
 - Tao, S.; Guo, R.; Lee, J.; Moura, S.; Casals, L.C.; Jiang, S.; Shi, J.; Harris, S.; Zhang, T.; Chung, C.Y.; et al. Immediate remaining capacity estimation of heterogeneous second-life lithium-ion batteries via deep generative transfer learning. Energy Environ. Sci. 2025, 13, 7413–7426. [Google Scholar] [CrossRef]
 - Gao, K.; Sun, J.; Huang, Z.; Liu, C. Capacity prediction of lithium-ion batteries based on ensemble empirical mode decomposition and hybrid machine learning. Ionics 2024, 30, 6915–6932. [Google Scholar] [CrossRef]
 - Li, L.; Hou, J. Capacity detection of electric vehicle lithium-ion batteries based on X-ray computed tomography. RSC Adv. 2018, 8, 25325–25333. [Google Scholar] [CrossRef]
 - Jafari, S.; Byun, Y.; Ko, S. A Novel Approach for Predicting Remaining Useful Life and Capacity Fade in Lithium-Ion Batteries Using Hybrid Machine Learning. IEEE Access 2023, 11, 131950–131963. [Google Scholar] [CrossRef]
 - Zhang, Z.; Yu, W.; Yan, Z.; Zhu, W.; Li, H.; Liu, Q.; Guan, Q.; Tan, N. State of charge estimation of lithium-ion batteries using a fractional-order multi-dimensional Taylor network with adaptive Kalman filter. Energy 2025, 316, 134577. [Google Scholar] [CrossRef]
 - Pang, H.; Chen, K.; Geng, Y.; Wu, L.; Wang, F.; Liu, J. Accurate capacity and remaining useful life prediction of lithium-ion batteries based on improved particle swarm optimization and particle filter. Energy 2024, 293, 130555. [Google Scholar] [CrossRef]
 - Cheng, X.; Hu, X.; Li, Z.; Geng, C.; Liu, J.; Liu, M.; Zhu, B.; Li, Q.; Chen, Q. Using Genetic Algorithm and Particle Swarm Optimization BP Neural Network Algorithm to Improve Marine Oil Spill Prediction. Water Air Soil Pollut. 2022, 233, 354. [Google Scholar] [CrossRef]
 - Song, Y.; Lei, Z.; Lu, X.; Xu, G.; Zhu, J. Optimization of a Lobed Mixer with BP Neural Network and Genetic Algorithm. J. Therm. Sci. 2023, 32, 387–400. [Google Scholar] [CrossRef]
 - Xue, J.; Shen, B. Dung beetle optimizer: A new meta-heuristic algorithm for global optimization. J. Supercomput. 2023, 79, 7305–7336. [Google Scholar] [CrossRef]
 - Peng, S.; Wang, Y.; Tang, A.; Jiang, Y.; Kan, J.; Pecht, M. State of health estimation joint improved grey wolf optimization algorithm and LSTM using partial discharging health features for lithium-ion batteries. Energy 2025, 315, 134293. [Google Scholar] [CrossRef]
 - Peng, S.; Zhu, J.; Wu, T.; Tang, A.; Kan, J.; Pecht, M. SOH early prediction of lithium-ion batteries based on voltage interval selection and features fusion. Energy 2024, 308, 132993. [Google Scholar] [CrossRef]
 - Tian, J.; Xiong, R.; Shen, W.; Lu, J.; Yang, X. Deep neural network battery charging curve prediction using 30 points collected in 10 min. Joule 2021, 5, 1521–1534. [Google Scholar] [CrossRef]
 - Available online: https://calce.umd.edu/battery-data (accessed on 7 March 2025).
 - Spitthoff, L.; Vie, P.J.S.; Wahl, M.S.; Wind, J.; Burheim, O.S. Incremental capacity analysis (dQ/dV) as a tool for analysing the effect of ambient temperature and mechanical clamping on degradation. J. Electroanal. Chem. 2023, 944, 117627. [Google Scholar] [CrossRef]
 - Fly, A.; Chen, R. Rate dependency of incremental capacity analysis (dQ/dV) as a diagnostic tool for lithium-ion batteries. J. Energy Storage 2020, 29, 101329. [Google Scholar] [CrossRef]
 - Li, Q.; Shi, H.; Zhao, W.; Ma, C. Enhanced Dung Beetle Optimization Algorithm for Practical Engineering Optimization. Mathematics 2024, 12, 1084. [Google Scholar] [CrossRef]
 - Wang, X.; Wei, Y.; Guo, Z.; Wang, J.; Yu, H.; Hu, B. A Sinh-Cosh-Enhanced DBO Algorithm Applied to Global Optimization Problems. Biomimetics 2024, 9, 271. [Google Scholar] [CrossRef]
 - Wang, L.; Wang, F.; Xu, L.; Li, W.; Tang, J.; Wang, Y. SOC estimation of lead–carbon battery based on GA-MIUKF algorithm. Sci. Rep. 2024, 14, 3347. [Google Scholar] [CrossRef]
 - Ye, M.; Zhou, H.; Yang, H.; Hu, B.; Wang, X. Multi-Strategy Improved Dung Beetle Optimization Algorithm and Its Applications. Biomimetics 2024, 9, 291. [Google Scholar] [CrossRef]
 - Xia, H.; Chen, L.; Xu, H. Multi-strategy dung beetle optimizer for global optimization and feature selection. Int. J. Mach. Learn. Cybern. 2025, 16, 189–231. [Google Scholar] [CrossRef]
 - Cao, Y.; Xu, H.; Song, J.; Yang, Y.; Hu, X.; Wiyao, K.T.; Zhai, Z. Applying spectral fractal dimension index to predict the SPAD value of rice leaves under bacterial blight disease stress. Plant Methods 2022, 18, 67. [Google Scholar] [CrossRef]
 









| Battery (Parameters) | Specifications (Value) | 
|---|---|
| Capacity rating | 1100 mAh | 
| Material | LiCoO2 | 
| Weight (w/o safety circuit) | 21.1 g | 
| Dimensions of lithium battery | 5.4 × 33.6 × 50.6 mm | 
| Constant current charging current | 0.55 A (0.5 C) | 
| Cut-off current for constant voltage charging | 0.05 A | 
| Constant current discharge current | 1.1 A (1 C) | 
| Charging cut-off voltage | 4.2 V | 
| Discharge cut-off voltage | 2.7 V | 
| Hyperparameters | Number of Hidden Layer Neurons | Learning Rate | Regularization Parameter | |
|---|---|---|---|---|
| Algorithms | ||||
| BPNN | 50 | 0.001 | 0.0001 | |
| GA_BPNN | 20 | 0.001 | 0.0001 | |
| DBO_BPNN | 50 | 0.0121 | 0.0016 | |
| GA_DBO_BPNN | 20 | 0.0121 | 0.0016 | |
| Battery | Evaluation | 900 s | 1800 s | 2700 s | 
|---|---|---|---|---|
| CS2_35 | MSE/Ah2 | 0.0018 | 0.0014 | 0.0008 | 
| MAE/Ah | 0.0309 | 0.0267 | 0.0161 | |
| RMSE/Ah | 0.0418 | 0.0377 | 0.0283 | |
| R2/% | 78.45 | 95.39 | 97.68 | |
| CS2_36 | MSE/Ah2 | 0.0026 | 0.0020 | 0.0016 | 
| MAE/Ah | 0.0319 | 0.0230 | 0.0168 | |
| RMSE/Ah | 0.0509 | 0.0448 | 0.0401 | |
| R2/% | 80.02 | 95.96 | 96.65 | |
| CS2_37 | MSE/Ah2 | 0.0018 | 0.0017 | 0.0008 | 
| MAE/Ah | 0.0294 | 0.0279 | 0.0150 | |
| RMSE/Ah | 0.0420 | 0.0410 | 0.0287 | |
| R2/% | 79.30 | 96.30 | 97.51 | |
| CS2_38 | MSE/Ah2 | 0.0022 | 0.0018 | 0.0013 | 
| MAE/Ah | 0.0340 | 0.0266 | 0.0193 | |
| RMSE/Ah | 0.0474 | 0.0429 | 0.0361 | |
| R2/% | 80.46 | 94.75 | 96.29 | 
| Results | Training Set | Validation Set | |||||||
|---|---|---|---|---|---|---|---|---|---|
| Models | MSE | MAE | RMSE | R2/% | MSE | MAE | RMSE | R2/% | |
| BPNN | CS2_35 | 0.0014 | 0.0267 | 0.0377 | 95.39 | 0.0022 | 0.0359 | 0.0464 | 96.14 | 
| GA_BPNN | 0.0010 | 0.0196 | 0.0322 | 97.51 | 0.0008 | 0.0192 | 0.0275 | 98.65 | |
| DBO_BPNN | 0.0007 | 0.0139 | 0.0261 | 98.36 | 0.0004 | 0.0111 | 0.0189 | 99.09 | |
| GA+DBO_BPNN | 0.0006 | 0.0113 | 0.0236 | 98.63 | 0.0003 | 0.0096 | 0.0174 | 99.46 | |
| BPNN | CS2_36 | 0.0020 | 0.0230 | 0.0448 | 94.42 | 0.0016 | 0.0312 | 0.0403 | 97.71 | 
| GA_BPNN | 0.0019 | 0.0204 | 0.0431 | 95.42 | 0.0008 | 0.0183 | 0.0290 | 98.81 | |
| DBO_BPNN | 0.0015 | 0.0187 | 0.0386 | 95.70 | 0.0007 | 0.0179 | 0.0260 | 99.04 | |
| GA+DBO_BPNN | 0.0014 | 0.0168 | 0.0374 | 96.27 | 0.0003 | 0.0117 | 0.0166 | 99.61 | |
| BPNN | CS2_37 | 0.0017 | 0.0279 | 0.0410 | 96.30 | 0.0008 | 0.0230 | 0.0281 | 98.28 | 
| GA_BPNN | 0.0014 | 0.0196 | 0.0373 | 96.79 | 0.0005 | 0.0153 | 0.0221 | 98.94 | |
| DBO_BPNN | 0.0012 | 0.0168 | 0.0353 | 97.13 | 0.0002 | 0.0113 | 0.0145 | 99.54 | |
| GA+DBO_BPNN | 0.0010 | 0.0123 | 0.0311 | 97.76 | 0.0001 | 0.0079 | 0.0116 | 99.73 | |
| BPNN | CS2_38 | 0.0018 | 0.0266 | 0.0429 | 94.75 | 0.0048 | 0.0379 | 0.0695 | 90.07 | 
| GA_BPNN | 0.0016 | 0.0241 | 0.0398 | 96.17 | 0.0033 | 0.0294 | 0.0574 | 93.23 | |
| DBO_BPNN | 0.0013 | 0.0221 | 0.0358 | 96.91 | 0.0021 | 0.0262 | 0.0453 | 95.79 | |
| GA+DBO_BPNN | 0.0006 | 0.0132 | 0.0253 | 98.45 | 0.0014 | 0.0158 | 0.0373 | 97.15 | |
Disclaimer/Publisher’s Note: The statements, opinions and data contained in all publications are solely those of the individual author(s) and contributor(s) and not of MDPI and/or the editor(s). MDPI and/or the editor(s) disclaim responsibility for any injury to people or property resulting from any ideas, methods, instructions or products referred to in the content.  | 
© 2025 by the authors. Licensee MDPI, Basel, Switzerland. This article is an open access article distributed under the terms and conditions of the Creative Commons Attribution (CC BY) license (https://creativecommons.org/licenses/by/4.0/).
Share and Cite
Cao, Y.; Wang, R.; Li, Q.; Zhou, P.; Li, A.; Cui, P.; Tao, Q.; Shao, Z. Rapid Prediction of Maximum Remaining Capacity in Lithium-Ion Batteries Based on Charging Segment Features and GA_DBO_BPNN. Batteries 2025, 11, 375. https://doi.org/10.3390/batteries11100375
Cao Y, Wang R, Li Q, Zhou P, Li A, Cui P, Tao Q, Shao Z. Rapid Prediction of Maximum Remaining Capacity in Lithium-Ion Batteries Based on Charging Segment Features and GA_DBO_BPNN. Batteries. 2025; 11(10):375. https://doi.org/10.3390/batteries11100375
Chicago/Turabian StyleCao, Yifei, Rui Wang, Qizhi Li, Peng Zhou, Aqing Li, Penghao Cui, Quanhong Tao, and Zhendong Shao. 2025. "Rapid Prediction of Maximum Remaining Capacity in Lithium-Ion Batteries Based on Charging Segment Features and GA_DBO_BPNN" Batteries 11, no. 10: 375. https://doi.org/10.3390/batteries11100375
APA StyleCao, Y., Wang, R., Li, Q., Zhou, P., Li, A., Cui, P., Tao, Q., & Shao, Z. (2025). Rapid Prediction of Maximum Remaining Capacity in Lithium-Ion Batteries Based on Charging Segment Features and GA_DBO_BPNN. Batteries, 11(10), 375. https://doi.org/10.3390/batteries11100375
        
