Electrochemical Performances of Li-Ion Batteries Based on LiFePO4 Cathodes Supported by Bio-Sourced Activated Carbon from Millet Cob (MC) and Water Hyacinth (WH)
Abstract
1. Introduction
2. Materials and Methods
2.1. Materials, Electrodes, Li-Ion Battery Cell Elaboration and Fabrications
2.2. Methods
2.2.1. X-Ray Diffraction (XRD)
2.2.2. Specific Surface Area Determination Using BET Technic
2.2.3. Pore Size Distribution Techniques
2.2.4. Surface Morphology Characterisation and Qualitative Chemical Composition Analysis
2.2.5. Conductivity Measurement of the Activated Carbons
2.2.6. Electrochemical Studies
3. Results and Discussion
3.1. Morphological and Structural Characterization of Pure LiFePO4
3.2. Chemical and Physical Characterization of Activated Carbons at 700 °C from Millet Cob (MC) and Water Hyacinth (WH)
3.2.1. BET Surface, Pore Size and Pore Distribution Determination of Activated Carbons at 700 °C from MC and WH
Adsorption and Desorption Isotherms of Activated Carbons from MC and WH
Distribution of the Pore Dimensions of the Activated Carbons
- Case of the Water Hyacinth (WH) Sample
- Case of the Millet cob (MC) sample
BET Surface Area of Functionalized Carbons from MC and at WH
3.2.2. SEM Characterization of Activated Carbons at 460 °C and 700 °C from Millet Cob and Water Hyacinth
3.2.3. Elemental Composition of Porous Carbons from MC and WH Using EDS
3.2.4. X-Ray Diffraction Studies of Porous Carbons from Millet Cob and Water Hyacinth
3.2.5. Electric Conductivity of Activated Carbons from MC and WH
3.3. Electrochemical Characterization
3.3.1. Specific Capacity of Anodes Based on Synthesized Activated Carbon
3.3.2. EIS Study of Synthesized Activated Carbon
3.3.3. Analysis of the Electrochemical Characteristics of LiFePO4/C Electrode
Study of Coulombic Efficiency
Study of the Discharge of LiFePO4 (LFP)/C at Different Current Rates
Cycling Performance of LiFePO4 (LFP)/C Sample
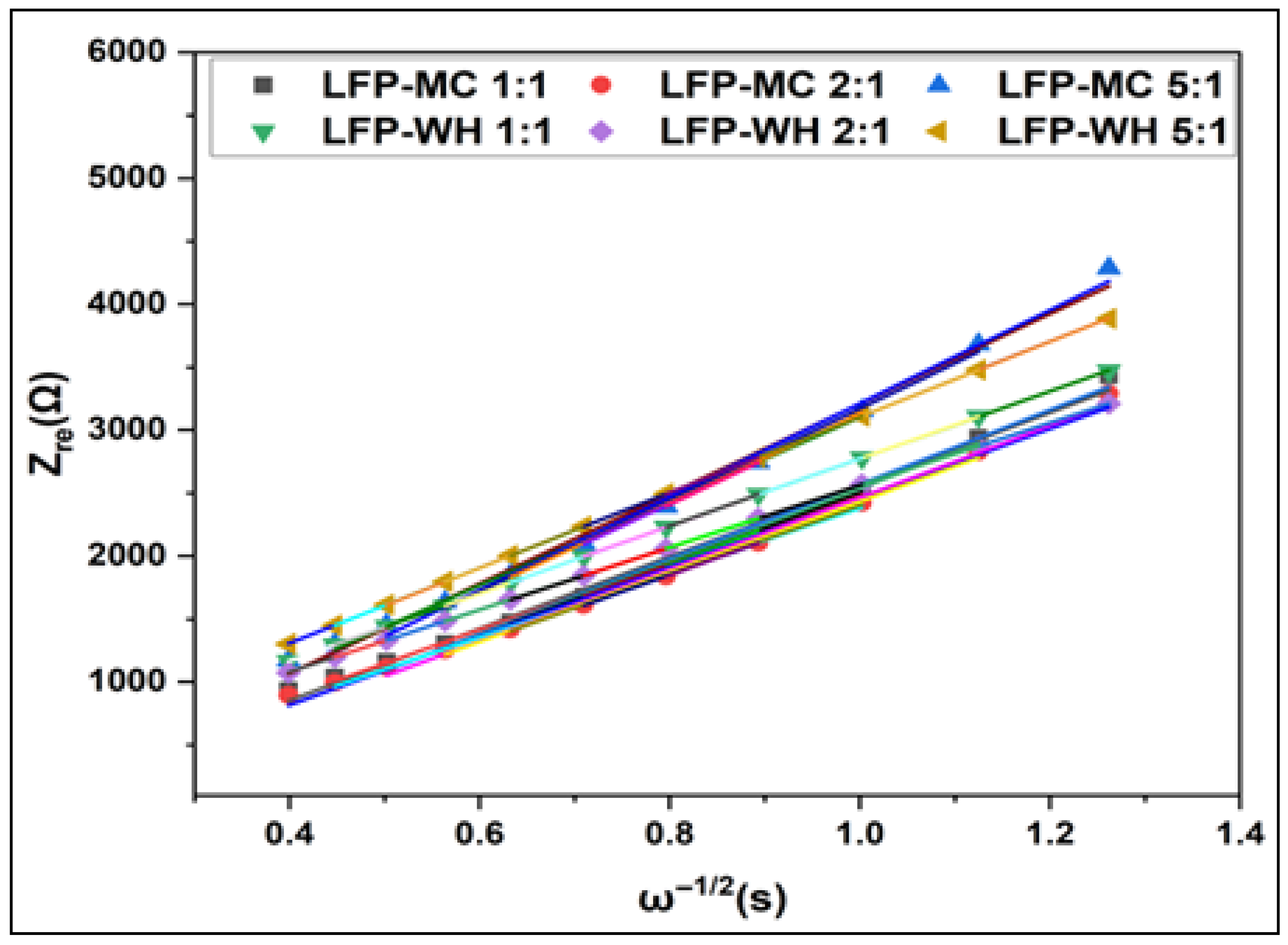
EIS Analysis of LiFePO4/C Cathodes
3.4. Correlation Between the Various Results
4. Conclusions
Author Contributions
Funding
Data Availability Statement
Acknowledgments
Conflicts of Interest
Abbreviations
| BET | Brunauer, Emmett, and Teller |
| BJH | Barrett, Joyner, and Halenda |
| C | Carbon, Current Rate |
| CS | Specific Capacitances |
| D | Diameter |
| DMAC | Dimethylacetamide |
| XRD | X-ray Diffraction |
| EIS | Electrochemical Impedance Spectroscopy |
| MC | Millet Cob |
| EDS | Energy Dispersive Spectroscopy |
| HCl | Hydrogen Chloride |
| HK | Horváth-Kawazoe |
| H3PO4 | Phosphoric Acid |
| WH | Water Hyacinth |
| KOH | Potassium Hydroxide |
| LiFePO4 or LFP | Lithium Iron Phosphate |
| Li+ | Lithium Ion |
| LiPF6 | Lithium Hexafluorophosphate |
| CM | Carbonaceous Materials |
| SEM | Scanning Electron Microscopy |
| N2 | Nitrogen |
| NLDFT | Non-Local Density Functional Theory |
| PVDF | Polyvinylidene Fluoride |
| Rct | Charge Transfer Resistance |
| Re | Electrolyte Resistance |
References
- Padhi, A.K.; Nanjundaswamy, K.S.; Goodenough, J.B. Phospho-olivines as positive-electrode materials for rechargeable lithium batteries. J. Electrochem. Soc. 1997, 144, 1188. [Google Scholar] [CrossRef]
- Lee, S.; Jang, I.; Lim, H.a.; Aravindan, V.; Kim, H.; Lee, Y. Preparation and electrochemical characterization of LiFePO4 nanoparticles with high rate capability by a sol–gel method. J. Alloys Compd. 2010, 491, 668–672. [Google Scholar] [CrossRef]
- Li, Z.; Zhang, D.; Yang, F. Developments of lithium-ion batteries and challenges of LiFePO4 as one promising cathode material. J. Mater. Sci. 2009, 44, 2435–2443. [Google Scholar] [CrossRef]
- Balakrishnan, N.T.; Paul, A.; Krishnan, M.; Das, A.; Raphaez, L.R.; Ahn, J.-H.; Jabeen Fatima, M.; Prasanth, R. Lithium Iron Phosphate (LiFePO4) as High-Performance Cathode Material for Lithium Ion Batteries. In Metal, Metal-Oxides and Metal Sulfides for Batteries, Fuel Cells, Solar Cells, Photocatalysis and Health Sensors; Springer: Berlin/Heidelberg, Germany, 2021; pp. 35–73. [Google Scholar]
- Kim, D.-H.; Kim, J. Synthesis of LiFePO4 nanoparticles in polyol medium and their electrochemical properties. Electrochem. Solid-State Lett. 2006, 9, A439. [Google Scholar] [CrossRef]
- Yun, N.J.; Ha, H.-W.; Jeong, K.H.; Park, H.-Y.; Kim, K. Synthesis and electrochemical properties of olivine-type LiFePO4/C composite cathode material prepared from a poly (vinyl alcohol)-containing precursor. J. Power Sources 2006, 160, 1361–1368. [Google Scholar]
- Ritchie, A.; Howard, W. Recent developments and likely advances in lithium-ion batteries. J. Power Sources 2006, 162, 809–812. [Google Scholar] [CrossRef]
- Nakamura, T.; Miwa, Y.; Tabuchi, M.; Yamada, Y. Structural and surface modifications of LiFePO4 olivine particles and their electrochemical properties. J. Electrochem. Soc. 2006, 153, A1108. [Google Scholar] [CrossRef]
- Guan, Y.; Shen, J.; Wei, X.; Zhu, Q.; Zheng, X.; Zhou, S.; Xu, B. LiFePO4/activated carbon/graphene composite with capacitive-battery characteristics for superior high-rate lithium-ion storage. Electrochim. Acta 2019, 294, 148–155. [Google Scholar] [CrossRef]
- Zhang, H.; Liu, D.; Qian, X.; Zhao, C.; Xu, Y. A novel nano structured LiFePO4/C composite as cathode for Li-ion batteries. J. Power Sources 2014, 249, 431–434. [Google Scholar] [CrossRef]
- Wang, H.; Wang, R.; Liu, L.; Jiang, S.; Ni, L.; Bie, X.; Yang, X.; Hu, J.; Wang, Z.; Chen, H. In-situ self-polymerization restriction to form core-shell LiFePO4/C nanocomposite with ultrafast rate capability for high-power Li-ion batteries. Nano Energy 2017, 39, 346–354. [Google Scholar] [CrossRef]
- Tu, J.; Wu, K.; Tang, H.; Zhou, H.; Jiao, S. Mg–Ti co-doping behavior of porous LiFePO4 microspheres for high-rate lithium-ion batteries. J. Mater. Chem. A 2017, 5, 17021–17028. [Google Scholar] [CrossRef]
- Talebi-Esfandarani, M. Synthesis, Characterization and Modification of LiFePO4 by Doping with Platinum and Palladium for Lithium-Ion Batteries. Ph.D. Thesis, École Polytechnique de Montréal, Montreal, QC, Canada, 2013. [Google Scholar]
- Wang, B.; Al Abdulla, W.; Wang, D.; Zhao, X. A three-dimensional porous LiFePO4 cathode material modified with a nitrogen-doped graphene aerogel for high-power lithium ion batteries. Energy Environ. Sci. 2015, 8, 869–875. [Google Scholar] [CrossRef]
- Jinli, Z.; Jiao, W.; Yuanyuan, L.; Ning, N.; Junjie, G.; Feng, Y.; Wei, L. High-performance lithium iron phosphate with phosphorus-doped carbon layers for lithium ion batteries. J. Mater. Chem. A 2015, 3, 2043–2049. [Google Scholar] [CrossRef]
- Zhou, Y.; Lu, J.; Deng, C.; Zhu, H.; Chen, G.Z.; Zhang, S.; Tian, X. Nitrogen-doped graphene guided formation of monodisperse microspheres of LiFePO4 nanoplates as the positive electrode material of lithium-ion batteries. J. Mater. Chem. A 2016, 4, 12065–12072. [Google Scholar] [CrossRef]
- He, Z.; Zhang, C.; Zhu, Z.; Yu, Y.; Zheng, C.; Wei, F. Advances in carbon nanotubes and carbon coatings as conductive networks in silicon-based anodes. Adv. Funct. Mater. 2024, 34, 2408285. [Google Scholar] [CrossRef]
- Ali, A.; Cai, R.; Wang, T.; Zhang, C.; Liu, C.; Ma, D.; Hou, H.; Lei, Q.; Xia, Y.; Wang, S. Emerging flexible battery technology: Innovative structural design, material integration and wearable applications and beyond. Chem. Eng. J. 2025, 519, 165358. [Google Scholar] [CrossRef]
- Wang, Y.; Wang, Y.; Hosono, E.; Wang, K.; Zhou, H. The design of a LiFePO4/carbon nanocomposite with a core–shell structure and its synthesis by an in situ polymerization restriction method. Angew. Chem. Int. Ed. 2008, 47, 7461–7465. [Google Scholar] [CrossRef]
- Huang, H.; Yin, S.-C.; Nazar, L.s. Approaching theoretical capacity of LiFePO4 at room temperature at high rates. Electrochem. Solid-State Lett. 2001, 4, A170. [Google Scholar] [CrossRef]
- Shahid, R.; Murugavel, S. Synthesis and characterization of olivine phosphate cathode material with different particle sizes for rechargeable lithium-ion batteries. Mater. Chem. Phys. 2013, 140, 659–664. [Google Scholar] [CrossRef]
- Chung, S.-Y.; Bloking, J.T.; Chiang, Y.-M. Electronically conductive phospho-olivines as lithium storage electrodes. Nat. Mater. 2002, 1, 123–128. [Google Scholar] [CrossRef]
- Talebi-Esfandarani, M.; Savadogo, O. Effects of palladium doping on the structure and electrochemical properties of LiFePO4/C prepared using the sol-gel method. J. New Mater. Electrochem. Syst. 2014, 17, 91–97. [Google Scholar] [CrossRef]
- Talebi-Esfandarani, M.; Savadogo, O. Enhancement of electrochemical properties of platinum doped LiFePO4/C cathode material synthesized using hydrothermal method. Solid State Ion. 2014, 261, 81–86. [Google Scholar] [CrossRef]
- Talebi-Esfandarani, M.; Savadogo, O. Synthesis and characterization of Pt-doped LiFePO4/C composites using the sol–gel method as the cathode material in lithium-ion batteries. J. Appl. Electrochem. 2014, 44, 555–562. [Google Scholar] [CrossRef]
- Ravet, N.; Abouimrane, A.; Armand, M. On the electronic conductivity of phospho-olivines as lithium storage electrodes. Nat. Mater. 2003, 2, 702. [Google Scholar] [CrossRef]
- Shi, M.; Li, R.; Liu, Y. In situ preparation of LiFePO4/C with unique copolymer carbon resource for superior performance lithium-ion batteries. J. Alloys Compd. 2021, 854, 157162. [Google Scholar] [CrossRef]
- Ravet, N.; Besner, S.; Simoneau, M.; Vallée, A.; Armand, M.; Magnan, J.-F. Electrode Materials with High Surface Conductivity. US Patents US6855273B2, 15 February 2005. [Google Scholar]
- Chen, Z.; Dahn, J. Reducing carbon in LiFePO4/C composite electrodes to maximize specific energy, volumetric energy, and tap density. J. Electrochem. Soc. 2002, 149, A1184. [Google Scholar] [CrossRef]
- Dominko, R.; Bele, M.; Gaberscek, M.; Remskar, M.; Hanzel, D.; Pejovnik, S.; Jamnik, J. Impact of the carbon coating thickness on the electrochemical performance of LiFePO4/C composites. J. Electrochem. Soc. 2005, 152, A607. [Google Scholar] [CrossRef]
- Doeff, M.M.; Wilcox, J.D.; Kostecki, R.; Lau, G. Optimization of carbon coatings on LiFePO4. J. Power Sources 2006, 163, 180–184. [Google Scholar] [CrossRef]
- Doeff, M.M.; Wilcox, J.D.; Yu, R.; Aumentado, A.; Marcinek, M.; Kostecki, R. Impact of carbon structure and morphology on the electrochemical performance of LiFePO4/C composites. J. Solid State Electrochem. 2008, 12, 995–1001. [Google Scholar] [CrossRef]
- Talebi-Esfandarani, M.; Savadogo, O. Improvement of electrochemical and electrical properties of LiFePO4 coated with citric acid. Rare Met. 2016, 35, 303–308. [Google Scholar] [CrossRef]
- Zhi, X.; Liang, G.; Wang, L.; Ou, X.; Gao, L.; Jie, X. Optimization of carbon coatings on LiFePO4: Carbonization temperature and carbon content. J. Alloys Compd. 2010, 503, 370–374. [Google Scholar] [CrossRef]
- Tsuda, T.; Ando, N.; Utaka, T.; Kojima, K.; Nakamura, S.; Hayashi, N.; Soma, N.; Gunji, T.; Tanabe, T.; Ohsaka, T. Improvement of high-rate performance of LiFePO4 cathode with through-holed LiFePO4/Activated carbon hybrid electrode structure fabricated with a pico-second pulsed laser. Electrochim. Acta 2019, 298, 827–834. [Google Scholar] [CrossRef]
- Mwizerwa, J.P.; Liu, C.; Xu, K.; Zhao, N.; Li, Y.; Ndagijimana, P.; Chen, Z.; Shen, J. Activated carbon/reduced graphene oxide wrapped LiFePO4 cathode for Li-ion batteries with ultrahigh capacities and high specific energy density. FlatChem 2022, 34, 100393. [Google Scholar] [CrossRef]
- Liu, X.; Zhao, R.; Xia, Y.; Li, Q. Improved electrochemical performance of LiFePO4/carbon cathode for lithium-ion batteries. Ionics 2022, 28, 4579–4585. [Google Scholar] [CrossRef]
- Han, W.; Zhou, G.; Gao, D.; Zhang, Z.; Wei, Z.; Wang, H.; Yang, H. Experimental analysis of the pore structure and fractal characteristics of different metamorphic coal based on mercury intrusion-nitrogen adsorption porosimetry. Powder Technol. 2020, 362, 386–398. [Google Scholar] [CrossRef]
- Saito, A.; Foley, H. Curvature and parametric sensitivity in models for adsorption in micropores. AIChE J. 1991, 37, 429–436. [Google Scholar] [CrossRef]
- Ravikovitch, P.I.; Haller, G.L.; Neimark, A.V. Density functional theory model for calculating pore size distributions: Pore structure of nanoporous catalysts. Adv. Colloid Interface Sci. 1998, 76, 203–226. [Google Scholar] [CrossRef]
- Mikhail, R.S.; Brunauer, S.; Bodor, E. Investigations of a complete pore structure analysis: I. Analysis of micropores. J. Colloid Interface Sci. 1968, 26, 45–53. [Google Scholar] [CrossRef]
- Rouquerol, F.; Rouquerol, J.; Sing, K. Assessment of mesoporosity. In Adsorption by Powders and Porous Solids; Academic Press: Oxford, UK, 1999; pp. 191–217. [Google Scholar]
- Sohouli, E.; Adib, K.; Maddah, B.; Najafi, M. Manganese dioxide/cobalt tungstate/ nitrogen-doped carbon nano-onions nanocomposite as new supercapacitor electrode. Ceram. Int. 2022, 48, 295–303. [Google Scholar] [CrossRef]
- Sohouli, E.; Adib, K.; Maddah, B.; Najafi, M. Preparation of a supercapacitor electrode based on carbon nano-onions/manganese dioxide/iron oxide nanocomposite. J. Energy Storage 2022, 52, 104987. [Google Scholar] [CrossRef]
- Albo Hay Allah, M.A.; Alshamsi, H.A. Green synthesis of ZnO NPs using Pontederia crassipes leaf extract: Characterization, their adsorption behavior and anti-cancer property. Biomass Convers. Biorefinery 2024, 14, 10487–10500. [Google Scholar] [CrossRef]
- Wilson, G.; Zilinskaite, S.; Unka, S.; Boston, R.; Reeves-McLaren, N. Establishing operando diffraction capability through the study of Li-ion (de) intercalation in LiFePO4. Energy Rep. 2020, 6, 174–179. [Google Scholar] [CrossRef]
- Rouquerol, J.; Rouquerol, F.; Llewellyn, P.; Maurin, G.; Sing, K. Adsorption by Powders and Porous Solids: Principles, Methodology and Applications; Academic Press: Cambridge, MA, USA, 2013. [Google Scholar]
- Barrett, E.P.; Joyner, L.G.; Halenda, P.P. The determination of pore volume and area distributions in porous substances. I. Computations from nitrogen isotherms. J. Am. Chem. Soc. 1951, 73, 373–380. [Google Scholar] [CrossRef]
- Horváth, G.; Kawazoe, K. Method for the calculation of effective pore size distribution in molecular sieve carbon. J. Chem. Eng. Jpn. 1983, 16, 470–475. [Google Scholar] [CrossRef]
- Sing, K.S. Reporting physisorption data for gas/solid systems with special reference to the determination of surface area and porosity (Recommendations 1984). Pure Appl. Chem. 1985, 57, 603–619. [Google Scholar] [CrossRef]
- Yu, S.; Bo, J.; Fengli, L.; Jiegang, L. Structure and fractal characteristic of micro-and meso-pores in low, middle-rank tectonic deformed coals by CO2 and N2 adsorption. Microporous Mesoporous Mater. 2017, 253, 191–202. [Google Scholar] [CrossRef]
- Tang, J.; Feng, L.; Li, Y.; Liu, J.; Liu, X. Fractal and pore structure analysis of Shengli lignite during drying process. Powder Technol. 2016, 303, 251–259. [Google Scholar] [CrossRef]
- Rahma, N.A.; Kurniasari, A.; Pambudi, Y.D.S.; Bintang, H.M.; Zulfia, A.; Hudaya, C. Characteristics of Corncob-Originated Activated Carbon Using Two Different Chemical Agent. IOP Conf. Ser. Mater. Sci. Eng. 2019, 622, 012030. [Google Scholar] [CrossRef]
- Wang, S.; Lu, G. A comprehensive study on carbon dioxide reforming of methane over Ni/γ-Al2O3 catalysts. Ind. Eng. Chem. Res. 1999, 38, 2615–2625. [Google Scholar] [CrossRef]
- Kamath, S.R.; Proctor, A. Silica gel from rice hull ash: Preparation and characterization. Cereal Chem. 1998, 75, 484–487. [Google Scholar] [CrossRef]
- Omri, A.; Benzina, M. Characterization of activated carbon prepared from a new raw lignocellulosic material: Ziziphus spina-christi seeds. J. Société Chim. Tunis. 2012, 14, 175–183. [Google Scholar]
- Ahmed, S.; Parvaz, M.; Johari, R.; Rafat, M. Studies on activated carbon derived from neem (Azadirachta indica) bio-waste, and its application as supercapacitor electrode. Mater. Res. Express 2018, 5, 045601. [Google Scholar] [CrossRef]
- Chen, Y.; Zhu, Y.; Wang, Z.; Li, Y.; Wang, L.; Ding, L.; Gao, X.; Ma, Y.; Guo, Y. Application studies of activated carbon derived from rice husks produced by chemical-thermal process—A review. Adv. Colloid Interface Sci. 2011, 163, 39–52. [Google Scholar] [CrossRef] [PubMed]
- De, B.; Karak, N. A green and facile approach for the synthesis of water soluble fluorescent carbon dots from banana juice. RSC Adv. 2013, 3, 8286–8290. [Google Scholar] [CrossRef]
- Qiu, T.; Yang, J.-G.; Bai, X.-J.; Wang, Y.-L. The preparation of synthetic graphite materials with hierarchical pores from lignite by one-step impregnation and their characterization as dye absorbents. RSC Adv. 2019, 9, 12737–12746. [Google Scholar] [CrossRef]
- Phillips, R.; Jolley, K.; Zhou, Y.; Smith, R. Influence of temperature and point defects on the X-ray diffraction pattern of graphite. Carbon Trends 2021, 5, 100124. [Google Scholar] [CrossRef]
- Barroso-Bogeat, A.; Alexandre-Franco, M.; Fernández-González, C.; Sánchez-González, J.; Gómez-Serrano, V. Electrical conductivity of metal (hydr) oxide–activated carbon composites under compression. A comparison study. Mater. Chem. Phys. 2015, 152, 113–122. [Google Scholar] [CrossRef]
- Celzard, A.; Marêché, J.; Payot, F.; Furdin, G. Electrical conductivity of carbonaceous powders. Carbon 2002, 40, 2801–2815. [Google Scholar] [CrossRef]
- Adinaveen, T.; Vijaya, J.J.; Kennedy, L.J. Comparative study of electrical conductivity on activated carbons prepared from various cellulose materials. Arab. J. Sci. Eng. 2016, 41, 55–65. [Google Scholar] [CrossRef]
- Zhao, H.; Zuo, H.; Wang, J.; Jiao, S. Practical application of graphite in lithium-ion batteries: Modification, composite, and sustainable recycling. J. Energy Storage 2024, 98, 113125. [Google Scholar] [CrossRef]
- Ryu, S.; Kim, S.; Gallego, N.; Edie, D. Physical properties of silver-containing pitch-based activated carbon fibers. Carbon 1999, 37, 1619–1625. [Google Scholar] [CrossRef]
- Hashisho, Z.; Rood, M.J.; Barot, S.; Bernhard, J. Role of functional groups on the microwave attenuation and electric resistivity of activated carbon fiber cloth. Carbon 2009, 47, 1814–1823. [Google Scholar] [CrossRef]
- Huang, Y. Electrical and thermal properties of activated carbon fibers. In Activated Carbon Fiber and Textiles; Elsevier: Amsterdam, The Netherlands, 2017; pp. 181–192. [Google Scholar]
- Dahn, J.R.; Zheng, T.; Liu, Y.; Xue, J. Mechanisms for lithium insertion in carbonaceous materials. Science 1995, 270, 590–593. [Google Scholar] [CrossRef]
- Ciosek Högström, K.; Malmgren, S.; Hahlin, M.; Rensmo, H.; Thébault, F.; Johansson, P.; Edstrom, K. The influence of PMS-additive on the electrode/electrolyte interfaces in LiFePO4/graphite Li-ion batteries. J. Phys. Chem. C 2013, 117, 23476–23486. [Google Scholar] [CrossRef]
- Ekström, H.; Lindbergh, G. A model for predicting capacity fade due to SEI formation in a commercial graphite/LiFePO4 cell. J. Electrochem. Soc. 2015, 162, A1003. [Google Scholar] [CrossRef]
- Yang, F.; Song, X.; Dong, G.; Tsui, K.-L. A coulombic efficiency-based model for prognostics and health estimation of lithium-ion batteries. Energy 2019, 171, 1173–1182. [Google Scholar] [CrossRef]
- Goodenough, J.B.; Park, K.-S. The Li-ion rechargeable battery: A perspective. J. Am. Chem. Soc. 2013, 135, 1167–1176. [Google Scholar] [CrossRef] [PubMed]
- Goodenough, J.B.; Kim, Y. Challenges for rechargeable Li batteries. Chem. Mater. 2010, 22, 587–603. [Google Scholar] [CrossRef]
- Prabaharan, S.S.; Michael, M.S. Nanotechnology in Advanced Electrochemical Power Sources; CRC Press: Boca Raton, FL, USA, 2014. [Google Scholar]
- Yang, Y.; Wang, J.; Sun, D.; Li, Y.; Xiao, T.; Zhang, C.; Lu, C.; Gao, J.; Xu, C.; Li, Y.; et al. Edge-Surface-Inter Carbon Nanoarchitecture on Silicon. ACS Nano 2025, 19, 16597–16610. [Google Scholar] [CrossRef]
- Deleebeeck, L.; Veltzé, S. Electrochemical impedance spectroscopy study of commercial Li-ion phosphate batteries: A metrology perspective. Int. J. Energy Res. 2020, 44, 7158–7182. [Google Scholar]
- Cui, Y.; Zhao, X.; Guo, R. Improved electrochemical performance of La0.7Sr0.3MnO3 and carbon co-coated LiFePO4 synthesized by freeze-drying process. Electrochim. Acta 2010, 55, 922–926. [Google Scholar] [CrossRef]
- Nikgoftar, K.; Madikere Raghunatha Reddy, A.K.; Reddy, M.V.; Zaghib, K. Carbonaceous Materials as Anodes for Lithium-Ion and Sodium-Ion Batteries. Batteries 2025, 11, 123. [Google Scholar] [CrossRef]



























| Sample | BET Surface Area (m2/g) (±2–5%) | Total Pore Volume (cm3/g) (±2–5%) | Vmicropore (cm3/g) (±2–5%) | Vmesopore (cm3/g) (±2–5%) | Average Pore Diameter (nm) (±0.5 nm) |
|---|---|---|---|---|---|
| LiFePO4 | 1.2 | 1.4 × 10−3 | 5 × 10−4 | 9 × 10−4 | 4.7 |
| Sample | BET Surface Area (m2/g) (±2–5%) | Total Pore Volume (10−3 cm3/g) (±2–5%) | Vmicropore (10−3 cm3/g) (±2–5%) | V mesopore (10−3 cm3/g) (±2–5%) | Average Pore Diameter (nm) (±0.5 nm) |
|---|---|---|---|---|---|
| KOH/WH 1:1 | 413.0 | 237.6 | 203.1 | 34.3 | 2.3 |
| KOH/WH 2:1 | 83.2 | 77.4 | 39.1 | 38.2 | 3.7 |
| KOH/WH 5:1 | 18.53 | 38.9 | 7.5 | 12.9 | 8.4 |
| KOH/MC 1:1 | 216.3 | 128.6 | 104.3 | 24.3 | 2.4 |
| KOH/MC 2:1 | 95.8 | 78.7 | 46.9 | 31.1 | 3.3 |
| KOH/MC 5:1 | 57.8 | 76.3 | 28.0 | 48.0 | 5.3 |
| Graphite | 45.1 | 75 | 21 | 53 | 6.6 |
| Samples | KOH/CM | C (%) | O (%) | K (%) | Na (%) | Cl (%) | Al (%) | Si (%) | Mg (%) | P (%) |
|---|---|---|---|---|---|---|---|---|---|---|
| MC 460 °C | 2:1 | 30 | 33 | 35 | - | - | 0.2 | 1.7 | 0.1 | - |
| WH 460 °C | 2:1 | 26 | 41 | 30 | 0.3 | 1.4 | 0.1 | 0.4 | 0.3 | 0.1 |
| Samples | KOH/C | Chemical Elements (% Mass with an Error Range of 0.1–0.5%) | |||||||||||
|---|---|---|---|---|---|---|---|---|---|---|---|---|---|
| C | O | K | Na | Cl | Al | Si | Fe | Ca | Mg | S | P | ||
| Millet cob | 1:1 | 85.5 | 12 | 2 | - | 0.3 | - | 0.2 | - | - | |||
| 2:1 | 71.5 | 19 | 6 | 0.1 | 0.8 | 0.8 | 1.1 | 0.1 | 0.1 | 0.1 | 0.4 | - | |
| 5:1 | 71.0 | 20 | 8.3 | - | 0.1 | 0.2 | 0.3 | - | - | - | 0.1 | - | |
| Water hyacinth | 1:1 | 80.0 | 13 | 2 | - | 2 | 0.2 | 0.5 | 0.4 | 0.8 | 0.1 | 0.9 | 0.1 |
| 2:1 | 70.0 | 18 | 8 | 0.1 | 1.8 | 0.2 | 0.7 | 0.1 | 0.6 | 0.2 | 0.2 | 0.1 | |
| 5:1 | 70.0 | 18 | 8 | 0.1 | 2.4 | 0.1 | 0.4 | 0.2 | 0.2 | 0.1 | 0.5 | - | |
| Sample | Mixing Ration (KOH/CM) | Electrical Conductivity (10−3 S.cm−1) (±0.5–1.5%) | Total Pore Volume (10−3 cm3/g) (±2–5%) | Average Pore Diameter (nm) (±0.5) |
|---|---|---|---|---|
| Graphite | Reference | 672 | 75 | 6.6 |
| Millet cob | 1:1 | 6.74 | 237.60 | 2.30 |
| 2:1 | 8.42 | 77.40 | 3.72 | |
| 5:1 | 4.99 | 38.90 | 8.38 | |
| Water hyacinth | 1:1 | 8.92 | 128.60 | 2.38 |
| 2:1 | 14.70 | 78.70 | 3.29 | |
| 5:1 | 6.40 | 76.30 | 5.28 |
| Mixing Ratio (KOH/MCor KOH/WH) (±2 mAh/g) | Mixing Ratio (KOH/MC or KOH/WH) (±2 mAh/g) | Mixing Ratio (KOH/MC or KOH/WH) (±2 mAh/g) | |
|---|---|---|---|
| Ok. Fine. No bolt also | 1.1 | 2:1 | 5:1 |
| Carbon of Millet cob | 333 | 335 | 330 |
| Water hyacinth | 336 | 339 | 332 |
| Samples | Coulombic Efficiency (%) ± 1% | |||
|---|---|---|---|---|
| Cycle 1 | Cycle 2 | Cycle 3 | Cycle 4 | |
| LFP/MC 1:1 | 95.0 | 100 | 99.8 | 99.6 |
| LFP/MC 2:1 | 95.9 | 100 | 99.8 | 99.6 |
| LFP/MC 5:1 | 95.5 | 100 | 99.7 | 99.5 |
| LFP/WH 1:1 | 96.0 | 100 | 99.9 | 99.7 |
| LFP/WH 2:1 | 96.4 | 100 | 100 | 99.9 |
| LFP/WH 5:1 | 95.9 | 100 | 99.8 | 99.6 |
| Sample | Specific Capacity (mAh/g) (± 2 mAh/g) | |||
|---|---|---|---|---|
| Current Rate (C/12) | Current Rate (C/6) | Current Rate (1C) | Curent Rate (5C) | |
| LFP/Graphite | 167 | 163 | 161 | 120 |
| LFP/MC 1:1 | 152 | 148 | 140 | 102 |
| LFP/MC 2:1 | 160 | 160 | 157 | 106 |
| LFP/MC 5:1 | 149 | 145 | 138 | 100 |
| LFP/WH 1:1 | 158 | 155 | 151 | 108 |
| LFP/WH 2:1 | 163 | 160 | 157 | 110 |
| LFP/WH 5:1 | 153 | 149 | 145 | 106 |
| Samples | Re (Ω) (±0.5) | Rct (Ω) (±0.5) | DLi(10−13 cm2/s)(± 5%) |
|---|---|---|---|
| LFP/MC 1:1 | 4.4 | 99.9 | 1.7 |
| LFP/MC 2:1 | 2.7 | 95.9 | 1.8 |
| LFP/MC 5:1 | 5.7 | 124.9 | 1.0 |
| LFP/WH 1:1 | 2.7 | 98.6 | 1.9 |
| LFP/WH 2:1 | 2.5 | 91.1 | 2.3 |
| LFP/WH 5:1 | 3.0 | 110.4 | 1.5 |
| LFP/graphite | 2.3 | 73.8 | 3.5 |
Disclaimer/Publisher’s Note: The statements, opinions and data contained in all publications are solely those of the individual author(s) and contributor(s) and not of MDPI and/or the editor(s). MDPI and/or the editor(s) disclaim responsibility for any injury to people or property resulting from any ideas, methods, instructions or products referred to in the content. |
© 2025 by the authors. Licensee MDPI, Basel, Switzerland. This article is an open access article distributed under the terms and conditions of the Creative Commons Attribution (CC BY) license (https://creativecommons.org/licenses/by/4.0/).
Share and Cite
Zemane, W.-W.A.; Savadogo, O. Electrochemical Performances of Li-Ion Batteries Based on LiFePO4 Cathodes Supported by Bio-Sourced Activated Carbon from Millet Cob (MC) and Water Hyacinth (WH). Batteries 2025, 11, 361. https://doi.org/10.3390/batteries11100361
Zemane W-WA, Savadogo O. Electrochemical Performances of Li-Ion Batteries Based on LiFePO4 Cathodes Supported by Bio-Sourced Activated Carbon from Millet Cob (MC) and Water Hyacinth (WH). Batteries. 2025; 11(10):361. https://doi.org/10.3390/batteries11100361
Chicago/Turabian StyleZemane, Wend-Waoga Anthelme, and Oumarou Savadogo. 2025. "Electrochemical Performances of Li-Ion Batteries Based on LiFePO4 Cathodes Supported by Bio-Sourced Activated Carbon from Millet Cob (MC) and Water Hyacinth (WH)" Batteries 11, no. 10: 361. https://doi.org/10.3390/batteries11100361
APA StyleZemane, W.-W. A., & Savadogo, O. (2025). Electrochemical Performances of Li-Ion Batteries Based on LiFePO4 Cathodes Supported by Bio-Sourced Activated Carbon from Millet Cob (MC) and Water Hyacinth (WH). Batteries, 11(10), 361. https://doi.org/10.3390/batteries11100361
