-
Qualitative Exploration of Ultrastructural Effects of Perfluorooctanoic Acid on Carp Gills: Mitochondria-Rich Cells as Candidate Biomarkers of Cytotoxicity -
Target and Non-Target Analysis of Polycyclic Aromatic Hydrocarbons and Emerging Aromatic Contaminants in Outdoor Dust from a Petrochemical-Impacted Residential Area -
Occurrence of Pharmaceuticals in the Seawater Samples of the Port of Cartagena (Murcia, Spain): A Pilot Study -
Optimization of the Quantification of Antibiotic Resistance Genes in Media from the Yangtze River Estuary
Journal Description
Toxics
Toxics
is an international, peer-reviewed, open access journal on all aspects of the toxic chemicals and materials, published monthly online by MDPI.
- Open Access— free for readers, with article processing charges (APC) paid by authors or their institutions.
- High Visibility: indexed within Scopus, SCIE (Web of Science), PubMed, PMC, Embase, CAPlus / SciFinder, AGRIS, and other databases.
- Journal Rank: JCR - Q1 (Toxicology) / CiteScore - Q1 (Chemical Health and Safety)
- Rapid Publication: manuscripts are peer-reviewed and a first decision is provided to authors approximately 17.8 days after submission; acceptance to publication is undertaken in 2.4 days (median values for papers published in this journal in the second half of 2025).
- Recognition of Reviewers: reviewers who provide timely, thorough peer-review reports receive vouchers entitling them to a discount on the APC of their next publication in any MDPI journal, in appreciation of the work done.
- Journal Cluster of Environmental Science: Sustainability, Land, Clean Technologies, Environments, Nitrogen, Recycling, Urban Science, Safety, Air, Waste, Aerobiology and Toxics.
Impact Factor:
4.1 (2024);
5-Year Impact Factor:
4.6 (2024)
Latest Articles
Effects of 52-Day Oral Exposure to Fluorescent Polystyrene Microplastics on Hormonal Profile, Sperm Parameters, and Fertility in Male Wistar Rats
Toxics 2026, 14(4), 318; https://doi.org/10.3390/toxics14040318 (registering DOI) - 9 Apr 2026
Abstract
Increasing environmental contamination with microplastics (MPs) raises significant concerns regarding their potential impact on reproductive health. This study evaluated the effects of prolonged oral exposure to fluorescent polystyrene microplastics (FPS-MPs) of different sizes on the male reproductive system in Wistar rats. Juvenile male
[...] Read more.
Increasing environmental contamination with microplastics (MPs) raises significant concerns regarding their potential impact on reproductive health. This study evaluated the effects of prolonged oral exposure to fluorescent polystyrene microplastics (FPS-MPs) of different sizes on the male reproductive system in Wistar rats. Juvenile male rats at 21 days of age were exposed to FPS-MPs of 1 µm and 5 µm for 52 days, covering the period of sexual maturation and a complete spermatogenesis cycle. Body weight, reproductive organ indices, serum levels of testosterone (T), estradiol (E2), follicle-stimulating hormone (FSH), and luteinizing hormone (LH), as well as sperm motility and morphology, were assessed. Reproductive potential and accumulation of microplastics in reproductive tissues were also evaluated. No significant differences were observed in body weight or most reproductive organ indices, except for a slight reduction in the left epididymis index in the group exposed to 5 µm particles. FPS-MPs induced size-dependent changes in the hormonal profile, including decreases in T and E2 and compensatory increases in FSH and LH, as well as impairments in sperm quality, which were more pronounced in rats exposed to smaller particles. In conclusion, fertility potential remained preserved, while FPS-MPs accumulated in the testes and epididymides, demonstrating subclinical, size-dependent effects on the male reproductive system.
Full article
(This article belongs to the Special Issue Multi-Media Exposure to Emerging Contaminants and Health Effects Across Physiological Systems: Exposure Pathways, Risk Assessment and Public Health Implications)
►
Show Figures
Open AccessArticle
Beyond Standard Protocols: Advanced Patented Technology for Comprehensive Toxicity Assessments in Neotropical Bees
by
Adna Suelen Dorigo, Lucas Miotelo, Roberta Cornélio Ferreira Nocelli, Osmar Malaspina and Annelise de Souza Rosa-Fontana
Toxics 2026, 14(4), 317; https://doi.org/10.3390/toxics14040317 (registering DOI) - 9 Apr 2026
Abstract
Brazil hosts the world’s greatest stingless bee diversity but remains a leading pesticide consumer. This study evaluated the effects of thiamethoxam on Melipona scutellaris (Apidae) and Scaptotrigona postica (Apidae) larvae using standardized in vitro protocols and patented biomimetic technologies. Larvae were exposed to
[...] Read more.
Brazil hosts the world’s greatest stingless bee diversity but remains a leading pesticide consumer. This study evaluated the effects of thiamethoxam on Melipona scutellaris (Apidae) and Scaptotrigona postica (Apidae) larvae using standardized in vitro protocols and patented biomimetic technologies. Larvae were exposed to a field-realistic dose (RD) of 0.02292 ng a.i./larva—calculated using the BeeRex model for citrus crops—and two lower doses: RD/10 and RD/100. Thiamethoxam exposure resulted in significant mortality and developmental alterations, even at 100-fold dilutions. In M. scutellaris, mortality was dose-dependent; RD and RD/10 induced body malformation and reduced food consumption, resulting in >98% mortality. At RD/100, surviving individuals showed significant reductions in body size. In S. postica, all tested doses induced larval darkening and accelerated fungal growth, leading to 100% mortality during the feeding period, including at RD/100. This pattern contrasts with the greater tolerance reported for the adult stage of this species. Overall, the results suggest that larval stages may be more sensitive to thiamethoxam exposure than adults, highlighting the importance of considering different life stages in pesticide risk assessment. These findings also emphasize the need for validated experimental approaches to support environmental risk evaluation for Neotropical pollinators.
Full article
(This article belongs to the Special Issue Impacts of Agrochemicals on Insects and Soil Organisms)
►▼
Show Figures

Figure 1
Open AccessArticle
Responses of Arsenic and Soil Properties to Remediation: Evidence from a Two-Year Monitoring Study in an Abandoned Gold Mining Area
by
Zengling Tang, Lingyun Li, Yingyuting Li, Huayi Chen, Yili Zhang, Tian Hu and Zheng Hu
Toxics 2026, 14(4), 316; https://doi.org/10.3390/toxics14040316 - 8 Apr 2026
Abstract
Arsenic (As)-enriched soils in abandoned mining areas pose persistent environmental risks, yet the temporal evolution of remediation is rarely evaluated. In this study, a two-year field monitoring program was conducted at a severely As-contaminated abandoned gold mine in Guangdong Province, China, to examine
[...] Read more.
Arsenic (As)-enriched soils in abandoned mining areas pose persistent environmental risks, yet the temporal evolution of remediation is rarely evaluated. In this study, a two-year field monitoring program was conducted at a severely As-contaminated abandoned gold mine in Guangdong Province, China, to examine the temporal dynamics of soil properties and As behavior under different remediation strategies. Three representative slopes were investigated: slope A (slope reshaping and revegetation), slope B (terraced engineering interception), and slope C (an area influenced by acidic water bodies). The results showed that both total and available As at slopes A and B exhibited a similar pattern of initial increase followed by decline and stabilization, indicating a clear temporal scale for remediation effects. Slope A exhibited greater spatial variability, whereas slope B showed relatively minor fluctuations, suggesting that terraced engineering measures contributed to enhanced As stability. In contrast, slope C had lower total As but a higher proportion of available As prior to remediation due to the acidic conditions. Following remediation, both total and available As at slope C decreased markedly and remained stable for about six months; however, a rebound trend was observed after approximately 1.5 years, indicating the time-limited effectiveness of passivation treatments. Specifically, total As at slope C decreased from 22,916 to 4011 mg·kg−1, accompanied by a 65–85% reduction in available As. Meanwhile, soil pH, soil organic matter, and cation exchange capacity exhibited pronounced non-linear variations, with an overall tendency to recover toward pre-remediation conditions. These findings underscore the importance of long-term monitoring for evaluating remediation effectiveness and periodic assessments (e.g., semiannual monitoring of soil As and nutrient status) to support adaptive environmental management and optimization of remediation strategies.
Full article
(This article belongs to the Section Toxicity Reduction and Environmental Remediation)
►▼
Show Figures

Figure 1
Open AccessArticle
Spatial Distribution, Source Apportionment and Risk Assessment of Heavy Metal Pollution in Typical Redevelopment Sites in Pudong New District, Shanghai
by
Cheng Shen, Jian Wu and Ye Li
Toxics 2026, 14(4), 315; https://doi.org/10.3390/toxics14040315 - 8 Apr 2026
Abstract
To investigate the characteristics and health risks of heavy metal (HM) contamination in soils of typical industrial sites during urban renewal, this study selected Pudong New District, Shanghai, as a case. Seven HMs (Cd, Pb, Cu, Zn, Ni, Hg, and As) were analyzed
[...] Read more.
To investigate the characteristics and health risks of heavy metal (HM) contamination in soils of typical industrial sites during urban renewal, this study selected Pudong New District, Shanghai, as a case. Seven HMs (Cd, Pb, Cu, Zn, Ni, Hg, and As) were analyzed for their concentrations, ecological risks, spatial patterns, and potential sources. Inverse Distance Weighted (IDW) interpolation was used to assess spatial distribution, Random Forest (RF) regression to predict HM concentrations, and a two-dimensional Monte Carlo simulation to evaluate human health risks. The results showed that all HMs except As exceeded Shanghai background values in surface soils, with varying levels observed in subsoil and saturated layers. The Index of Geoaccumulation (Igeo) and Risk Index (RI) indicated low contamination and moderate ecological risk. Pearson correlation combined with Positive Matrix Factorization (PMF) identified four major sources: traffic emissions dominated by Cd and Zn, combustion-related sources dominated by Pb and Hg, industry-related inputs dominated by Cu and Ni, and a natural source dominated by As. The RF model demonstrated strong predictive accuracy for Cd, Pb, Hg, and As (R2 = 0.80–0.94), and predicted values were consistent with observations. Monte Carlo results showed that non-carcinogenic risks for children and adults were within acceptable limits, while carcinogenic risks reached “notable” levels with probabilities of 62.06%, 55.65%, and 22.49% for children, adult females, and adult males, respectively. Cd and As were identified as key contributors. This work provides scientific support for soil pollution prevention and remediation during urban renewal.
Full article
(This article belongs to the Special Issue Fate and Transport of Heavy Metals in Polluted Soils)
►▼
Show Figures

Graphical abstract
Open AccessArticle
Environmental Behavior of 2,4,6-Trichlorophenol in the Sediment-Overlying Water System with the Presence of Tubificid Worms
by
Leyuan Zhang, Deming Dong, Xinyan Fu, Yu Zhao, Meihan Bao, Xiuyi Hua, Dapeng Liang and Haiyang Liu
Toxics 2026, 14(4), 314; https://doi.org/10.3390/toxics14040314 - 7 Apr 2026
Abstract
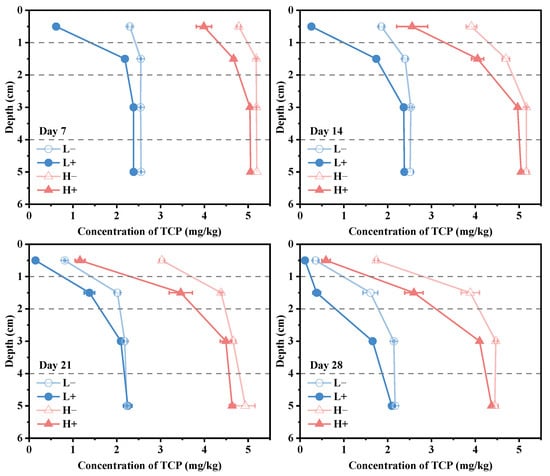
To investigate the influence of bioturbating organisms on the migration and degradation of chlorophenols in freshwater sediments, simulated experimental systems were established, with tubificid worms employed as the model bioturbator and 2,4,6-trichlorophenol (TCP) as a representative chlorophenol contaminant. The results showed that tubificid
[...] Read more.
To investigate the influence of bioturbating organisms on the migration and degradation of chlorophenols in freshwater sediments, simulated experimental systems were established, with tubificid worms employed as the model bioturbator and 2,4,6-trichlorophenol (TCP) as a representative chlorophenol contaminant. The results showed that tubificid worms significantly promoted the removal of TCP in sediments, with this effect mainly concentrated in the surface sediment layer (0–2 cm) and limited impact on deeper sediment layers (2–6 cm). The removal efficiency was higher in the low-concentration TCP group than in the high-concentration group. TCP in the overlying water was predominantly in the dissolved phase, and the presence of tubificid worms reduced the TCP concentration in the aqueous phase, resulting in a greater amount of removal. The bioturbation of tubificid worms altered the physicochemical characteristics of the system, increasing the turbidity of the overlying water, decreasing its pH, elevating the redox potential across different sediment depths, and improving the organic matter conditions. Tubificid worms also modified the bacterial community structure in both the overlying water and the sediment. The core mechanism by which tubificid worms accelerate TCP removal is through promoting the migration of TCP from the sediment to the overlying water, while concurrently regulating the bacterial community structure in the overlying water to enhance the degradation capacity of chlorophenols in this layer. This highlights the important role of bioturbators in aquatic ecosystems, and ignoring their presence may lead to an erroneous underestimation of the system’s self-purification capacity.
Full article
(This article belongs to the Special Issue Environmental Transport, Transformation and Effect of Pollutants)
►▼
Show Figures

Figure 1
Open AccessArticle
Differential Effects of Phenanthrene and Its Chlorinated Congeners on Hormone Production and Mitochondrial Function in Ovarian Granulosa Cells
by
Genevieve A. Perono, Laiba Jamshed, Rohita Dutt, Reese S. Cameron, James J. Petrik, Philippe J. Thomas and Alison C. Holloway
Toxics 2026, 14(4), 313; https://doi.org/10.3390/toxics14040313 - 7 Apr 2026
Abstract
Halogenated derivatives of polycyclic aromatic hydrocarbons (PAHs), such as chlorinated PAHs (ClPAHs), are an emerging class of contaminants that are being detected in the environment as well as in wildlife and human populations. Previous studies have shown that chemical substitution of PAHs, including
[...] Read more.
Halogenated derivatives of polycyclic aromatic hydrocarbons (PAHs), such as chlorinated PAHs (ClPAHs), are an emerging class of contaminants that are being detected in the environment as well as in wildlife and human populations. Previous studies have shown that chemical substitution of PAHs, including chlorination, may alter the toxicity of parent PAHs; however, whether chlorination affects their endocrine-disrupting potential remains unexplored. In this study, we examined the effects of phenanthrene (Phe), one of the most prevalent PAHs, and its chlorinated congeners, 9-chlorophenanthrene (9ClPhe) and 9,10-dichlorophenanthrene (9,10Cl2Phe), on hormone production in granulosa cells, key hormone-secreting cells of the ovary. We observed that Phe and its chlorinated congeners differentially altered anti-Müllerian hormone (AMH), estradiol (E2), and progesterone (P4) secretion. Since mitochondria are central to steroidogenesis, we further evaluated mitochondrial function. While Phe increased ATP production, both 9ClPhe and 9,10Cl2Phe increased ROS, decreased mitochondrial membrane potential, and reduced the expression of markers for mitochondrial dynamics and mitophagy without altering ATP levels. We further tested impacts on cell fate and found that neither Phe nor its chlorinated congeners altered granulosa cell apoptosis. Together, these results suggest that chlorination of Phe leads to dose-dependent, differential effects on hormone production and mitochondrial pathways without inducing cell death in granulosa cells. This study highlights the potential adverse impacts of ClPAH exposure on ovarian follicle development and female fertility by disrupting steroidogenesis and mitochondrial quality control.
Full article
(This article belongs to the Special Issue Effects and Mechanism of Endocrine Disruption and Reproductive Abnormality of Emerging Pollutant)
►▼
Show Figures

Graphical abstract
Open AccessArticle
A Toxicological Assessment of Airborne Microplastics in Beijing
by
Susu Fan, Ziyu Guo, Longyi Shao, Pengju Liu, Tim Jones, Yaxin Cao, Wen-Jing Deng, Hong Li and Kelly BéruBé
Toxics 2026, 14(4), 312; https://doi.org/10.3390/toxics14040312 - 7 Apr 2026
Abstract
Microplastics have emerged as a relatively new type of pollutant and have attracted significant global attention. This study focuses on toxicology of microplastics in ambient PM2.5 and road dustfall in Beijing. It utilizes the Plasmid Scission Assay to toxicologically evaluate the oxidative
[...] Read more.
Microplastics have emerged as a relatively new type of pollutant and have attracted significant global attention. This study focuses on toxicology of microplastics in ambient PM2.5 and road dustfall in Beijing. It utilizes the Plasmid Scission Assay to toxicologically evaluate the oxidative damage capacity of microplastics as a component of PM2.5. The Pollution Load Index (PLI) method, based on the mass concentration of microplastics in ambient air, was employed to assess the ecological risk of atmospheric dustfall microplastics in Beijing. The results showed that both standard microplastic samples and mixed samples of microplastics with ambient PM2.5 exhibited a dose–response relationship in DNA damage rates. At the same dose, microplastic samples with smaller particle sizes have a higher DNA damage rate. Based on the PLI results, most road dustfall microplastics in Beijing exhibit significant spatial variation. Analysis of road dustfall along the east–west main road across Beijing’s urban area revealed that microplastic pollution levels are higher in the eastern zone than in the western zone. Comparisons of pollution levels across functional areas in Beijing showed that university areas > residential areas > industrial areas > commercial areas > agricultural areas. In vertically collected samples, higher elevations (PLI13.6m = 3.54) exhibit greater pollution levels than lower (PLI1.5m = 1), which warrants special attention. These findings highlight the complex relationship between atmospheric microplastic accumulation and their oxidative capacity, providing essential insights for the design of targeted emission reduction strategies.
Full article
(This article belongs to the Special Issue Insights into Toxicological Effects of Micro- and Nano-Plastics)
►▼
Show Figures

Graphical abstract
Open AccessArticle
Toxicity Mechanism of Chlorinated Paraffins with Different Carbon Chain Lengths to Chlorella sp. and Microcystis aeruginosa
by
Qihui Li, Jue Li, Guo Li, Peng Lin, Sen Liu, Lin Deng, Yangjinzhi Yu, Xiaowei Zheng, Weizhen Zhang and Zhengqiu Fan
Toxics 2026, 14(4), 311; https://doi.org/10.3390/toxics14040311 - 4 Apr 2026
Abstract
Chlorinated paraffins (CPs) are widely used, structurally complex mixtures of chlorinated alkanes whose ecological risks in aquatic ecosystems have raised increasing concern. However, the toxic effects and molecular mechanisms of CPs on primary aquatic producers remain poorly understood. In this study, we used
[...] Read more.
Chlorinated paraffins (CPs) are widely used, structurally complex mixtures of chlorinated alkanes whose ecological risks in aquatic ecosystems have raised increasing concern. However, the toxic effects and molecular mechanisms of CPs on primary aquatic producers remain poorly understood. In this study, we used the eukaryotic green algae Chlorella sp. and the prokaryotic cyanobacterium Microcystis aeruginosa (M. aeruginosa) as test organisms to systematically investigate the effects of CPs with different carbon chain lengths, namely short-chain CPs (SCCPs), medium-chain CPs (MCCPs), and long-chain CPs (LCCPs), on algal growth, photosynthetic pigment content, antioxidant systems, cellular ultrastructure, and the underlying molecular responses. Our results showed that CPs toxicity to algae is significantly dependent on both CPs carbon-chain length and algal species. Exposure to 1.0 mg/L SCCPs for 96 h produced a growth inhibition of Chlorella sp. of 14.45%. CPs’ exposure significantly altered algal Chl-a content and elicited antioxidant defense responses, and affected the synthesis and extracellular release of MC-RR and MC-LR in M. aeruginosa. Ultrastructural observations revealed cell surface wrinkling and deformation in both Chlorella sp. and M. aeruginosa. Chlorella sp. additionally exhibited thylakoid disintegration and plasmolysis. Transcriptomic analysis indicated that CPs with different chain lengths significantly downregulated genes in Chlorella sp. associated with DNA replication and mismatch repair, suggesting impairment of replication initiation and elongation and compromised genome stability. Concurrently, genes encoding photosynthetic antenna proteins and carbon fixation were upregulated. In M. aeruginosa, CPs exposure markedly disturbed energy metabolism pathways, including glycolysis/gluconeogenesis and oxidative phosphorylation, which were generally downregulated. This study provides a comparative assessment of CPs’ toxicity between the eukaryotic algae Chlorella sp. and the prokaryotic algae M. aeruginosa, revealing that toxicity is co-determined by carbon chain length and algal species. Additionally, it provides critical toxicological data and establishes a theoretical foundation for the scientific assessment of the aquatic ecological risks posed by CPs with different carbon chain lengths.
Full article
(This article belongs to the Section Ecotoxicology)
►▼
Show Figures

Graphical abstract
Open AccessArticle
The Energy–Quality Nexus in Atmospheric Water Generation: A Review of Contaminants, Performance Metrics, and the Proposal of the AWEQI
by
Lucia Cattani, Paolo Cattani and Anna Magrini
Toxics 2026, 14(4), 310; https://doi.org/10.3390/toxics14040310 - 3 Apr 2026
Abstract
Atmospheric water (AW) is currently recognized as a promising solution to mitigate the global water crisis. Nevertheless, its harvesting techniques should balance three main aspects: energy consumption, yield, and the quality of produced water. Water quality is of the utmost importance, because the
[...] Read more.
Atmospheric water (AW) is currently recognized as a promising solution to mitigate the global water crisis. Nevertheless, its harvesting techniques should balance three main aspects: energy consumption, yield, and the quality of produced water. Water quality is of the utmost importance, because the potential uses of atmospheric water—and therefore its value—ultimately depend on this characteristic. Currently, existing indices and indicators intended as evaluation tools for different harvesting techniques generally focus on the first two aspects only, overlooking the quality perspective, with the risk of overestimating the performance of systems that require less energy but provide low-quality water. This study fills this knowledge gap by proposing a new evaluation tool, the Atmospheric Water Energy–Quality Index (AWEQI). This index links the energy evaluation of an Atmospheric Water Generator (AWG)—a term referring to all active, passive, or hybrid systems for atmospheric water collection—to the quality of the produced water. The index is constructed through an appropriate reformulation and combination of the Water Energy Transformation (WET) indicator and the Water Quality Index (WQI) to obtain a monotonic function whose values increase with improved performance, both in terms of energy efficiency and water quality. Moreover, based on a literature review, the study presents an analysis of potential AW contaminants and their sources, and proposes two parameter sets to be considered in the WQI calculation.
Full article
(This article belongs to the Topic Sustainable Environmental Technologies—2nd Edition)
Open AccessCase Report
Successful Management of Accidental Colchicine Intoxication After Ingestion of Colchicum autumnale: A Case Report
by
Zoltán Kovács-Ábrahám, Timea Aczél, Bernadett Lakner, Miklós Ónodi, Csaba Csontos and Márton Németh
Toxics 2026, 14(4), 309; https://doi.org/10.3390/toxics14040309 - 3 Apr 2026
Abstract
We report the case of a 58-year-old man who experienced moderate renal and liver impairment after accidental poisoning with Colchicum autumnale, which he confused with wild garlic (Allium ursinum). Colchicum autumnale contains colchicine, a toxic compound that disrupts cell division.
[...] Read more.
We report the case of a 58-year-old man who experienced moderate renal and liver impairment after accidental poisoning with Colchicum autumnale, which he confused with wild garlic (Allium ursinum). Colchicum autumnale contains colchicine, a toxic compound that disrupts cell division. The patient received intensive care therapy, intravenous lipid emulsion, vitamin K supplementation, and N-acetylcysteine replacement. After seven days of hospitalisation, he was discharged in good health. This case highlights the importance of patients presenting at the emergency department with uncertain anamnesis, gastrointestinal symptoms or recent consumption of perennial plants before symptom onset, which should raise the suspicion of intoxication. Early diagnosis, organ-specific supportive therapy, and timely initiation of disease-specific therapy are crucial for improving patients’ outcomes.
Full article
(This article belongs to the Special Issue Exposure to Chemicals and Health Effects in Occupational and Everyday Settings)
►▼
Show Figures

Graphical abstract
Open AccessArticle
Methanol-Related Fatalities in Jeddah, Saudi Arabia: A 5-Year Post-Mortem Multi-Matrix Study
by
Ahmed I. Al-Asmari, Atheer Zarnoogi, Hassan Alharbi, Ahmed Alghamdi, Faiz Alsolami, Abulnasser E. Alzahrani, Sultan A. Alahmadi, Naif H. Alotaibi, Khaled A. Alboug, Mansour A. Alzahrani and Torki A. Zughaibi
Toxics 2026, 14(4), 308; https://doi.org/10.3390/toxics14040308 - 3 Apr 2026
Abstract
Although alcohol consumption is prohibited in Saudi Arabia, methanol poisoning outbreaks continue to occur, largely through surrogate or non-beverage alcohols. To date, systematic forensic documentation of methanol-related fatalities in Saudi Arabia remains limited. This study presents a comprehensive post-mortem series of methanol-related deaths
[...] Read more.
Although alcohol consumption is prohibited in Saudi Arabia, methanol poisoning outbreaks continue to occur, largely through surrogate or non-beverage alcohols. To date, systematic forensic documentation of methanol-related fatalities in Saudi Arabia remains limited. This study presents a comprehensive post-mortem series of methanol-related deaths investigated in Jeddah and characterizes the demographic patterns, circumstances of death, post-mortem interval (PMI), and methanol distribution across multiple biological matrices. In total, 34 post-mortem cases with toxicologically confirmed methanol exposure were retrospectively examined. Methanol and ethanol levels in blood, urine, vitreous humor, bile, gastric contents, and selected tissues were quantified using a validated headspace gas chromatography–flame ionization detection method. Decedents were aged 18–73 years (median, 34.5 years), with a marked predominance of young-to-middle-aged men. PMI ranged 1–15 days (median, 2 days), and evidence of putrefaction was present in approximately one-third of the cases. Most deaths were classified as accidental and primarily occurred in private residences. Two distinct outbreak periods (2018 and 2022) were identified; values tended to be higher in 2018, but the differences were not statistically significant. NaF-preserved blood, urine, and vitreous humor were informative in non-decomposed cases, whereas vitreous humor and solid organs, particularly the liver and kidneys, retained quantifiable methanol in putrefied bodies. Ethanol was detected in a minority of cases and was considered a secondary or contributory finding. This study provides an important forensic baseline dataset for methanol-related fatalities in Saudi Arabia and underscores the need for continued surveillance and preventive measures.
Full article
(This article belongs to the Special Issue Current Issues and Research Perspectives in Forensic Toxicology)
►▼
Show Figures

Graphical abstract
Open AccessArticle
Ecotoxicity of Combined Polylactic Acid Microplastics and Thallium Pollution on the Functional Traits of Folsomia candida
by
Yuying Chen, Guoliang Xu, Zhijian Wu, Cao Hao, Chen Yang and Xiaohua Chen
Toxics 2026, 14(4), 307; https://doi.org/10.3390/toxics14040307 - 2 Apr 2026
Abstract
Microplastics can bind with toxic metals via surface complexation and chelation, forming combined pollutants. However, research regarding the toxicological impacts of these combined pollutants on soil fauna remains limited. This study employed Folsomia candida in a 28-day incubation experiment to investigate the ecotoxicological
[...] Read more.
Microplastics can bind with toxic metals via surface complexation and chelation, forming combined pollutants. However, research regarding the toxicological impacts of these combined pollutants on soil fauna remains limited. This study employed Folsomia candida in a 28-day incubation experiment to investigate the ecotoxicological effects of combined pollution by polylactic acid microplastics (PLA-MPs) and thallium (Tl) on the functional traits of Folsomia candida, including biology, morphology, and gut microbiota. The results showed that the combined effects of PLA-MPs and Tl on these functional traits were characterized by amplified toxicity and trait-specific responses. Morphological traits exhibited lower sensitivity to the pollution treatments compared to other indicators. Exposure to high-concentration PLA-MPs (10%) significantly affected mortality and fecundity, and reduced gut bacterial diversity. Conversely, low-concentration Tl (1 mg/kg) significantly inhibited body length and antenna length while increasing gut bacterial diversity. Structured equation modeling further revealed that the pollution treatments exerted significant negative effects on the functional traits of Folsomia candida, both directly and indirectly by altering soil properties and soil microbiota. These findings provide valuable insights into the ecotoxicological effects of combined PLA-MPs and Tl pollution on soil fauna, contributing to ecological health risk assessments of microplastics and toxic metals in terrestrial ecosystems.
Full article
(This article belongs to the Section Ecotoxicology)
►▼
Show Figures

Graphical abstract
Open AccessArticle
Occurrence of Potentially Toxic Elements (PTEs) Coupled with Mineralogical and Morphological Characteristics of Residential Indoor Vacuum Dusts from the City of Thessaloniki, Northern Greece
by
Christina Kotsakostoudi, Anna Bourliva, Lambrini Papadopoulou and Nikolaos Kantiranis
Toxics 2026, 14(4), 306; https://doi.org/10.3390/toxics14040306 - 31 Mar 2026
Abstract
►▼
Show Figures
This study investigates the occurrence, sources, and health risks of PTEs in residential vacuum dusts from the city of Thessaloniki, Greece. A total of 20 dust samples were collected and analyzed for their chemical, mineralogical, and morphological characteristics using pXRF, XRD, and SEM-EDS
[...] Read more.
This study investigates the occurrence, sources, and health risks of PTEs in residential vacuum dusts from the city of Thessaloniki, Greece. A total of 20 dust samples were collected and analyzed for their chemical, mineralogical, and morphological characteristics using pXRF, XRD, and SEM-EDS techniques. The results revealed elevated concentrations of Zn (623 mg kg−1), Mn (392 mg kg−1), Cu (204 mg kg−1), and Cr (185 mg kg−1) exceeding crustal averages and global urban soil baselines. Notably, Cr and Mn levels were among the highest recorded for non-industrial urban settings. Source apportionment identified distinct geogenic and anthropogenic contributors, including construction materials, outdoor soil resuspension, and indoor alloy-related sources such as stainless steel and soldering components. Health risk assessment based on USEPA models showed ingestion as the dominant exposure route, particularly for children. Chromium and As were identified as the main non-carcinogenic and carcinogenic contributors, with children’s hazard index (HI) values exceeding safety thresholds (HI = 1.04) in some cases. The cancer risk (CR) for Cr ranged from 2.49 × 10−5 to 6.55 × 10−5, not exceeding the acceptable limit (10−4). The findings highlight the multifaceted nature of indoor dust contamination in urban environments and underscore the need for continued monitoring and targeted mitigation to protect vulnerable populations.
Full article

Figure 1
Open AccessArticle
Evaluation and Source Apportionment of Potentially Toxic Elements in the Chayuan Reservoir, Guizhou Province Using the Potential Ecological Risk Index (RI) and the PMF Model
by
Xiaolin Feng, Mingfei Zhu, Meimei Yang, Pengfei Wang, Chunchun Chen, Chen Liu and Qiuhua Li
Toxics 2026, 14(4), 305; https://doi.org/10.3390/toxics14040305 - 31 Mar 2026
Abstract
►▼
Show Figures
Understanding the accumulation, ecological risk, and source interactions of potentially toxic elements (PTEs) in reservoir sediments is essential for protecting drinking water safety, yet such processes remain insufficiently understood in karst tea-plantation watersheds influenced by mixed anthropogenic activities. In this study, sediment cores
[...] Read more.
Understanding the accumulation, ecological risk, and source interactions of potentially toxic elements (PTEs) in reservoir sediments is essential for protecting drinking water safety, yet such processes remain insufficiently understood in karst tea-plantation watersheds influenced by mixed anthropogenic activities. In this study, sediment cores collected from four sites (CY-1 to CY-4) during 2022–2024 were analyzed, and an integrated framework combining the Potential Ecological Risk Index (RI), Spearman correlation analysis, Principal Component Analysis (PCA), and Positive Matrix Factorization (PMF) was applied to evaluate contamination characteristics and quantify source contributions. The results revealed significant spatial–vertical heterogeneity of PTEs, with Zn (up to 153 mg/kg) and Cr (up to 64.6 mg/kg) showing the greatest variability, and strong co-enrichment among Cu, Zn, Pb, and Ni (r > 0.85, p < 0.01). Although the overall ecological risk was low (RI = 83.15–106.69), As contributed the highest proportion of risk (28–35%). PCA indicated distinct grouping patterns among elements, while PMF resolved three major sources: domestic sewage and agricultural runoff, agricultural and coal-combustion inputs, and industrial–traffic emissions. Notably, physicochemical parameters (TP, TN, and COD) played important roles in regulating the mobility and partitioning of PTEs by influencing nutrient-associated adsorption processes, organic matter complexation, and redox-related transformations. These findings highlight the multi-source-driven accumulation mechanisms of PTEs in karst reservoirs and provide a scientific basis for targeted pollution control and watershed management in agriculturally impacted regions.
Full article

Figure 1
Open AccessArticle
Preparation and Application of Hydrophobic Film-Coated Recycled Low-Iron Crushed Glass via SiO2–Mixed TiO2 Through Sol–Gel for Efficient Removal of Water Contaminants Photocatalytically
by
Jiaxin Liu, Saeed Rad, Junfeng Dai, Cheng Chang and Chongmin Liu
Toxics 2026, 14(4), 304; https://doi.org/10.3390/toxics14040304 - 31 Mar 2026
Abstract
Traditional nano-titanium dioxide films have strong photocatalytic performance; however, their hydrophilic surfaces make it easier for pollutants or by-products resulting from the reaction processes to deposit on the membrane surface and occupy their active sites, which reduces the coating degradation efficiency and shortens
[...] Read more.
Traditional nano-titanium dioxide films have strong photocatalytic performance; however, their hydrophilic surfaces make it easier for pollutants or by-products resulting from the reaction processes to deposit on the membrane surface and occupy their active sites, which reduces the coating degradation efficiency and shortens their service life. In the current study, nano-TiO2 was mixed with SiO2 for hydrophobic film coating by the sol–gel method. The surface morphology of the membrane was observed by scanning electron microscopy (SEM), the composition of the coating was analyzed by X-ray diffraction (XRD), and its stable hydrophobicity was verified by contact angle testing (θw = 117°). The specific surface area Brunauer–Emmett–Teller (BET) revealed between 0.0561 (for 3 layers) and 0.0868 m2/g after 9 layers of coating. Through establishing a simplified photocatalytic reactor under UV, the new coating’s abilities in the degradation of methylene blue, its anti-fouling, and durability were examined. Results revealed that when the common TiO2 films were combined with hydrophobic films, nearly 100% of methylene blue was degraded, and the degradation capacity remained stable after three rounds of tests. Moreover, it was observed that only a small amount of methylene blue adhered to the new film surface comparatively. Outcomes confirmed that the SiO2-mixed TiO2 thin films exhibited enhanced hydrophobicity. When integrated with ordinary TiO2 coatings, the composite structure demonstrated superior photocatalytic efficiency and stability in the degradation of aqueous pollutants compared to pure TiO2 coatings.
Full article
(This article belongs to the Special Issue Contaminants of Emerging Concern in the Aquatic Environment: Sources, Monitoring and Potential Risks)
►▼
Show Figures

Graphical abstract
Open AccessArticle
Functional Portability of a Hyperaccumulator-Derived Core Microbiome: Enhancing Cadmium Phytoextraction in Brassica juncea L. Through Molecular Reprogramming
by
Lukuan Huang, Shumeng Fu, Shaoting Du and Ying Feng
Toxics 2026, 14(4), 303; https://doi.org/10.3390/toxics14040303 - 31 Mar 2026
Abstract
Soil cadmium (Cd) contamination is a persistent threat to global food security, requiring sustainable in situ remediation strategies. While hyperaccumulating plants possess specialized traits for metal extraction, their low biomass limits large-scale application. This study investigates the potential of a core endophytic synthetic
[...] Read more.
Soil cadmium (Cd) contamination is a persistent threat to global food security, requiring sustainable in situ remediation strategies. While hyperaccumulating plants possess specialized traits for metal extraction, their low biomass limits large-scale application. This study investigates the potential of a core endophytic synthetic community (SynCom-NS)—characterized by heavy metal tolerance and growth-promoting traits, originally derived from the hyperaccumulator Sedum alfredii—by assessing its ability to modulate the remediation phenotype of a high-biomass non-host crop, Brassica juncea. Pot experiments revealed that SynCom-NS root-zone application significantly alleviated Cd toxicity, increasing total fresh weight by 82% and chlorophyll content by 33%. Crucially, the consortium bypassed the “growth-dilution” trade-off, facilitating a 4.07-fold increase in shoot Cd accumulation. Multi-omics analysis demonstrated a systemic modulation of the host’s defense machinery, marked by a >3-fold surge in glutathione (GSH) levels and the induction of phenylpropanoid biosynthesis for cell wall reinforcement. SynCom-NS application also mediated tissue-specific regulation of the key metal transporter HMA4, upregulating its expression in roots to accelerate long-distance translocation while downregulating it in shoots. These findings demonstrate that specialized core microbiomes function as potent bio-inoculants, offering a promising biological strategy for engineering high-efficiency phytoremediation systems.
Full article
(This article belongs to the Special Issue Plant Responses to Heavy Metal)
►▼
Show Figures

Graphical abstract
Open AccessPerspective
Iatrogenic Microplastic Exposure: A Possible and Underrecognized Healthcare-Associated Exposure Framework in Human Medicotoxicological Risk
by
Hüseyin Çetin Ketenci and Hülya Kılıç
Toxics 2026, 14(4), 302; https://doi.org/10.3390/toxics14040302 - 31 Mar 2026
Abstract
Microplastics (MPs) are emerging environmental contaminants detected not only in water, soil, and air but also in human biological samples. To date, three main exposure routes have been identified. Currently, the principal exposure routes examined in scholarly works are oral, inhalational, and dermal.
[...] Read more.
Microplastics (MPs) are emerging environmental contaminants detected not only in water, soil, and air but also in human biological samples. To date, three main exposure routes have been identified. Currently, the principal exposure routes examined in scholarly works are oral, inhalational, and dermal. This paper explores iatrogenic microplastic exposure (IME) as an underrecognized healthcare-associated source of exposure and suggests that, in certain clinical contexts involving invasive, device-mediated, or direct systemic contact, IME may be considered a possible fourth route of exposure. IME is the introduction of microplastics into the human body through medical interventions. A literature-based conceptual review was conducted focusing on the materials and additives used in pharmaceutical formulations, intravenous systems, and medical devices. Particular attention was given to polymer-based excipients and plasticizers (e.g., phthalates, PEG, triacetin) found in enteric drug coatings and infusion packaging. Findings suggest that polymer-derived particles may enter systemic circulation via intravenous fluids, implantable devices, or oral medications, especially under conditions of heat, pressure, or prolonged contact. Such materials, though deemed biocompatible, may contribute to nanoplastic load and chronic exposure risks. Vulnerable groups such as neonates, oncology patients, and ICU populations may face disproportionate exposure. This calls for re-evaluation of plastic use in medical practice, improved regulatory oversight of pharmaceutical excipients, and innovation in plastic-free biomedical materials. Integrating this route into toxicological and epidemiological frameworks will enrich our understanding of microplastic-related health risks and broaden the scope of environmental health strategies.
Full article
(This article belongs to the Topic Microplastics Across Ecosystems: Multidisciplinary Approaches to Sources, Sinks and Health Sustainable Solutions)
►▼
Show Figures

Figure 1
Open AccessArticle
Synchronous Immobilization of Arsenic and Cadmium in Agricultural Soils by Sepiolite-Supported Nanoscale Zero-Valent Iron
by
Kuiru Li, Tieguang He, Yan Wang, Xinru Wang, Donghuan Lei and Lijuan Li
Toxics 2026, 14(4), 301; https://doi.org/10.3390/toxics14040301 - 31 Mar 2026
Abstract
The cocontamination of arsenic (As) and cadmium (Cd) in agricultural soils poses severe risks to ecosystem stability and food safety because of their high toxicity, mobility, and bioaccumulation potential. However, single amendments often exhibit selective immobilization, which limits their effectiveness for As–Cd-cocontaminated soils.
[...] Read more.
The cocontamination of arsenic (As) and cadmium (Cd) in agricultural soils poses severe risks to ecosystem stability and food safety because of their high toxicity, mobility, and bioaccumulation potential. However, single amendments often exhibit selective immobilization, which limits their effectiveness for As–Cd-cocontaminated soils. In this study, a sepiolite-supported nanoscale zero-valent iron composite (S-nZVI) was synthesized via liquid-phase reduction, and its remediation performance and mechanisms under different moisture conditions were evaluated. The characterization results confirmed that the nZVI nanoparticles were uniformly dispersed and anchored onto the sepiolite matrix, thus mitigating aggregation and oxidative passivation while increasing surface reactivity. Soil incubation experiments demonstrated that S-nZVI reduced the bioavailability of As and Cd and promoted their transformation from labile to stable fractions under both 50% and 120% water holding capacity (WHC). Under flooded conditions (120% WHC), 0.5% S-nZVI reduced the bioavailable Cd and As concentrations by 52.3–58.7% and 67.4%, respectively, after 120 days. Mechanistically, immobilization was governed by a synergistic “adsorption–reduction–coprecipitation” pathway coupled with pH–Eh regulation. Rice pot experiments further validated the effectiveness of S-nZVI, with the grain As and Cd concentrations reduced by 73.3% and 52.3%, respectively, without impairing plant growth. Overall, S-nZVI provides an efficient strategy for simultaneous immobilization of As and Cd in As–Cd-cocontaminated soils and supports the safe use of polluted agricultural lands.
Full article
(This article belongs to the Special Issue Fate and Transport of Heavy Metals in Polluted Soils)
►▼
Show Figures

Figure 1
Open AccessArticle
Association Between Urinary Phthalate Metabolites and Early Spontaneous Abortion
by
Lin Tao, Nian Wu, Lulu Dai, Shimin Xiong, Dengqing Liao, Yuanzhong Zhou and Xubo Shen
Toxics 2026, 14(4), 300; https://doi.org/10.3390/toxics14040300 - 30 Mar 2026
Abstract
Phthalates (PAEs) are ubiquitous endocrine-disrupting chemicals (EDCs), but their association with early pregnancy loss (gestational age ≤ 12 weeks) remains controversial. This study enrolled pregnant women aged 20–45 years in Zunyi City, China, and included 107 cases and 349 controls following propensity score
[...] Read more.
Phthalates (PAEs) are ubiquitous endocrine-disrupting chemicals (EDCs), but their association with early pregnancy loss (gestational age ≤ 12 weeks) remains controversial. This study enrolled pregnant women aged 20–45 years in Zunyi City, China, and included 107 cases and 349 controls following propensity score matching. Logistic regression, restricted cubic spline (RCS) analysis, Bayesian kernel machine regression (BKMR), and weighted quantile sum (WQS) regression were employed to investigate associations between urinary phthalate metabolites and early pregnancy loss. We found that monoethyl phthalate (MEP), mono(2-ethylhexyl) phthalate (MEHP), monooctyl phthalate (MOP), mono(2-ethyl-5-oxohexyl) phthalate (MEOHP), and mono(2-ethyl-5-hydroxyhexyl) phthalate (MEHHP) were associated with spontaneous abortion in early pregnancy, with corresponding odds ratios (ORs; 95% confidence intervals [CIs]) of 1.62 (1.26–2.09), 1.49 (1.07–2.09), 1.64 (1.26–2.12), 1.78 (1.27–2.50), 2.63 (1.90–3.64), 1.41 (1.11–1.79), and 5.39 (3.53–8.25). Non-linear dose–response relationships were observed between exposure to MMP, MEP, MEHP, MOP, monobenzyl phthalate (MBZP), MEOHP, MEHHP, and mono-(3-carboxypropyl) phthalate (MECPP) and early pregnancy loss (non-linear p < 0.05; overall p < 0.05). Co-exposure to multiple phthalate metabolites was also linked to a significantly non-linear elevation in the risk of early pregnancy loss (OR; 95% confidence interval [CI]) of 1.92 (1.76–2.15). Among these metabolites, MMP, MOP, MEOHP, and MECPP make the largest contribution to the correlation. In summary, our findings indicate that exposure to phthalate esters during early pregnancy is associated with early pregnancy loss, with MMP, MOP, MEOHP, and MECPP as the primary contributors. However, these results are based on a single urine sample, and caution is warranted when interpreting the findings.
Full article
(This article belongs to the Special Issue Effects and Mechanism of Endocrine Disruption and Reproductive Abnormality of Emerging Pollutant)
►▼
Show Figures

Figure 1
Open AccessArticle
Comparative Evaluation of Machine Learning Models for Residential PM1 Prediction in Zagreb (Croatia): Identifying Key Predictors and Indoor/Outdoor Dynamics
by
Marija Jelena Lovrić Štefiček, Silvije Davila, Gordana Pehnec, Ivan Bešlić, Željka Ujević Andrijić, Ivana Banić, Mirjana Turkalj, Mario Lovrić, Luka Kazensky and Goran Gajski
Toxics 2026, 14(4), 299; https://doi.org/10.3390/toxics14040299 - 29 Mar 2026
Abstract
Indoor exposure to particulate matter (PM) is increasingly recognized as a major contributor to respiratory and cardiovascular risk, yet the relative contributions of outdoor pollution, building characteristics, and occupant behavior remain poorly resolved. PM1 (aerodynamic diameter < 1 μm) warrants focus due
[...] Read more.
Indoor exposure to particulate matter (PM) is increasingly recognized as a major contributor to respiratory and cardiovascular risk, yet the relative contributions of outdoor pollution, building characteristics, and occupant behavior remain poorly resolved. PM1 (aerodynamic diameter < 1 μm) warrants focus due to its higher alveolar deposition. “Evidence driven indoor air quality improvement” (EDIAQI) project aims to enhance indoor air quality guidelines and increase awareness by providing accessible data on exposure, pollution sources, and related risk factors. As part of the Zagreb pilot within the project, 103 paired indoor/outdoor PM1 samples were analyzed. Seasonal analysis revealed substantial wintertime outdoor PM1 spikes, while indoor medians remained stable. Chemometric analysis identified factors such as dwelling size, outdoor pollution, resuspension, building age/heating type, and urban context. Among the tested models, the validated gradient-boosted regressor (GBR) achieved the strongest performance, explaining ~65% variance in indoor PM1 (test R2 ≈ 0.65). Explainable machine learning analysis (SHAP) identified outdoor PM1 levels, infiltration, and resuspension as the most influential predictors. Findings underscore wintertime outdoor emissions (e.g., residential heating and traffic) and dwelling-related and behavioral factors as key drivers, with the machine learning–environmental data integration enabling targeted residential IAQ management: optimized ventilation protocols, resuspension mitigation via behavior, and infiltration reduction through retrofits.
Full article
(This article belongs to the Special Issue Advanced Mitigation Strategies for Air Pollutants: Innovative Technologies and Management Practices)
►▼
Show Figures

Graphical abstract
Journal Menu
► ▼ Journal Menu-
- Toxics Home
- Aims & Scope
- Editorial Board
- Reviewer Board
- Topical Advisory Panel
- Instructions for Authors
- Special Issues
- Topics
- Sections & Collections
- Article Processing Charge
- Indexing & Archiving
- Editor’s Choice Articles
- Most Cited & Viewed
- Journal Statistics
- Journal History
- Journal Awards
- Conferences
- Editorial Office
Journal Browser
► ▼ Journal BrowserHighly Accessed Articles
Latest Books
E-Mail Alert
News
Topics
Topic in
Air, IJERPH, Toxics, Sustainability, Climate
The Effect of Particulate Matter and Climate Change, and the Corresponding Health Management
Topic Editors: Yichen Wang, Jing LiDeadline: 11 April 2026
Topic in
Clean Technol., Sustainability, Toxics, Water, Environments, Agriculture
Soil/Sediment Remediation and Wastewater Treatment
Topic Editors: Francesco Bianco, Silvio Matassa, Armando OlivaDeadline: 30 April 2026
Topic in
Applied Sciences, Toxics, Water, ChemEngineering, Processes
Environmental Remediation: Research Advances Towards a Comprehensive Sustainability Approach
Topic Editors: Rongkui Su, Giovanni Vinti, Franco Hernan Gomez, Lei HuangDeadline: 31 May 2026
Topic in
IJERPH, Microplastics, Polymers, Toxics
Plastic Contamination (Plastamination): An Environmental and Public Health-Related Concern
Topic Editors: Rosaria Meccariello, Antonino Testa, Francesco Cappello, Antonietta SantoroDeadline: 30 June 2026
Conferences
Special Issues
Special Issue in
Toxics
Toxicological Studies Using Zebrafish Models
Guest Editors: Paulo Jorge Gavaia, Dong WuDeadline: 10 April 2026
Special Issue in
Toxics
Drug Metabolism and Toxicological Mechanisms—2nd Edition
Guest Editors: Qi Wang, Youbo Zhang, An ZhuDeadline: 10 April 2026
Special Issue in
Toxics
Interventions, Practices, and Policies to Reduce Particulate Matter Air Pollution Exposure and Health Outcomes
Guest Editors: Douglas Brugge, Shir GinzburgDeadline: 10 April 2026
Special Issue in
Toxics
Environmental Behaviors and Risk Assessment Methods of Typical Agricultural Environmental Pollutants
Guest Editors: Li Mu, Wenjie LiuDeadline: 10 April 2026
Topical Collections
Topical Collection in
Toxics
Exposure and Effects of Environmental Pollution on Vulnerable Populations
Collection Editors: Matteo Vitali, Carmela Protano, Arianna Antonucci
Topical Collection in
Toxics
Artificial Intelligence and Data Mining for Toxicological Sciences
Collection Editors: Emilio Benfenati, Noel Aquilina





