- Article
A Three-Level Meta-Frontier Framework with Machine Learning Projections for Carbon Emission Efficiency Analysis: Heterogeneity Decomposition and Policy Implications
- Xiaoxia Zhu,
- Tongyue Feng,
- Yuhe Shen,
- Ning Zhang and
- Xu Guo
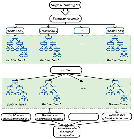
This study proposes a three-level meta-frontier framework enhanced with machine learning-driven projection methods to address the dual heterogeneity in carbon emission efficiency analysis arising from regional disparities and industrial diversificati...

