- Article
Optimal Control Strategy and Evaluation Framework for Frequency Response of Combined Wind–Storage Systems
- Jie Hao,
- Huiping Zheng,
- Xueting Cheng,
- Yuxiang Li,
- Liming Bo and
- Juan Wei
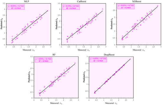
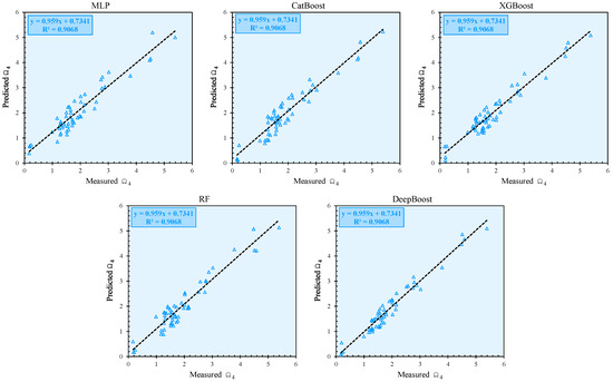
The increasing integration of wind turbines into the power grid has reduced the system frequency stability, necessitating the integration of energy storage systems in primary frequency regulation. This paper proposes an MPC-based control method to op...

