Next Article in Journal
A Hybrid Intelligent Model for Olympic Medal Prediction Based on Data-Intelligence Fusion
Next Article in Special Issue
Allocation of Single and Multiple Multi-Type Distributed Generators in Radial Distribution Network Using Mountain Gazelle Optimizer
Previous Article in Journal
Neck Functional Status Assessment Using Virtual Reality Simulation of Daily Activities
Previous Article in Special Issue
In Situ Ceramic Phase Reinforcement via Short-Pulsed Laser Cladding for Enhanced Tribo-Mechanical Behavior of Metal Matrix Composite FeNiCr-B4C (5 and 7 wt.%) Coatings
 
 
Font Type:
Arial Georgia Verdana
Font Size:
Aa Aa Aa
Line Spacing:
Column Width:
Background:
Article

Tribomechanical Analysis and Performance Optimization of Sustainable Basalt Fiber Polymer Composites for Engineering Applications

1
MicroNano Systems Laboratory, Mechanical Systems Engineering Department, EUt+ the Institute for Nanoscience and Nanotechnology of the European University of Technology—EUTINN, Technical University from Cluj-Napoca, Blv. Muncii nr. 103-105, 400641 Cluj-Napoca, Romania
2
Manufacturing Engineering Department, Transilvania University of Brasov, Blv. Eroilor nr. 29, 500036 Brașov, Romania
3
Manufacturing Engineering Department, Technical University from Cluj-Napoca, 400641 Cluj-Napoca, Romania
*
Authors to whom correspondence should be addressed.
Technologies 2025, 13(6), 249; https://doi.org/10.3390/technologies13060249
Submission received: 7 May 2025 / Revised: 29 May 2025 / Accepted: 11 June 2025 / Published: 13 June 2025
(This article belongs to the Special Issue Technological Advances in Science, Medicine, and Engineering 2024)

Abstract

This study investigates the effect of fiber weight fraction on the tribomechanical behavior of basalt fiber-reinforced polymer (BFRP) composites under dry sliding conditions. Composite specimens with 50%, 65%, and 70% basalt fiber contents were manufactured and tested through tensile, flexural, and pin-on-disc tribological evaluations. Key tribological parameters, including the coefficient of friction (COF), specific wear rate (K), and contact temperature, were measured under various applied loads and sliding speeds. Statistical analysis was performed using a generalized linear model (GLM) to identify significant factors and their interactions. Scanning electron microscopy (SEM) and energy-dispersive X-ray spectroscopy (EDS) analyses indicated that abrasive wear, matrix cracking, and fiber–matrix interfacial failure were the dominant wear mechanisms. The experimental results revealed that the fiber weight fraction had the most significant influence on COF (42.78%), while the sliding speed had the predominant effect on the specific wear rate (77.69%) and contact temperature (32.79%). These findings highlight the potential of BFRP composites for applications requiring enhanced wear resistance and mechanical stability under varying loading conditions.

1. Introduction

Fiber-reinforced polymer (FRP) composites have gained widespread industrial use in sectors such as aerospace, automotive, civil engineering, and marine applications due to their high specific strength, corrosion resistance, and design adaptability [1,2]. Among the various types of reinforcement fibers, basalt fibers, derived from natural volcanic rocks, have recently garnered increasing interest as an environmentally friendly and cost-effective alternative to conventional glass and carbon fibers [3,4]. Basalt fibers exhibit higher tensile strength, improved thermal stability, better chemical resistance, and lower moisture absorption compared to glass fibers, while offering a production process that is less energy-intensive and more sustainable [5,6].
The use of basalt fibers in polymer matrix composites has proven to enhance mechanical integrity and thermal performance, particularly in environments requiring resistance to wear, impact, or fluctuating temperatures [7,8]. Basalt fibers possess a high elastic modulus and intrinsic thermal resistance, making them suitable for high-temperature and high-stress environments [9]. Nevertheless, while the mechanical behavior of BFRP composites has been extensively studied, their tribomechanical performance, particularly under dry sliding conditions, remains less thoroughly investigated compared to glass fiber-reinforced polymer (GFRP) composites [10].
Several comparative studies have attempted to benchmark the wear resistance of BFRP composites against glass or hybrid composites. Raajeshrishna et al. [11] compared the adhesive and abrasive wear performance of BFRP and GFRP composites under dry sliding conditions against steel counterparts. Their findings revealed that while BFRP composites displayed slightly higher wear rates under adhesive conditions, they outperformed GFRP composites under erosive wear conditions, suggesting better resistance in aggressive environments. Similarly, Arputham et al. [6] studied basalt fiber-reinforced PEEK composites and noted a significant reduction in wear rate at an optimal fiber content of 20 wf%, beyond which wear increased due to fiber agglomeration. Sujon, Wang et al. [12,13] observed that copper matrix composites reinforced with basalt fibers exhibited minimum wear at approximately 1.5% fiber content, highlighting the importance of optimal fiber loading.
In addition to fiber content, researchers have explored the role of fillers and hybridizations to enhance the tribological performance of BFRP composites. Danilova et al. [14] incorporated nano-SiO2 particles into basalt/epoxy composites, leading to improvements in wear resistance and stability of COF. Birleanu et al. [10,15] investigated the incorporation of metallic powders, such as copper and bronze, into BFRP matrices. Their results indicated a significant reductions in wear rate and COF, which were attributed to the formation of protective tribofilms at the sliding interface.
Control factors such as applied load and sliding speed have also been reported to critically influence tribological outcomes. Raajeshrishna et al. [11] found that increasing the load led to higher wear rates for both BFRP and GFRP composites. Arputham et al. [6] similarly demonstrated that BFRP composites experienced a significant increase in wear rate when the load increased from 20 N to 40 N. Regarding sliding speed, researchers such as Birleanu et al. [15] reported complex behavior: moderate increases in speed favored the formation of protective films and a reduced COF, while excessively high speeds promoted matrix softening and increased wear.
Mechanism-wise, wear in BFRP composites under dry sliding conditions is typically characterized by matrix cracking, fiber–matrix debonding, fiber pull-out, and abrasive ploughing [11,12,16,17]. SEM analyses in various studies have confirmed that at lower fiber contents, matrix wear dominates, whereas at higher fiber fractions, fiber breakage and interfacial failure become prevalent [18]. Raajeshrishna et al. [11] further showed that BFRP composites tend to form a more stable transfer film compared to GFRP composites under certain conditions, which could mitigate adhesive wear to some extent.
Comparative studies have suggested that although GFRP composites sometimes offer marginally lower wear rates under specific adhesive sliding regimes, BFRP composites demonstrate superior thermal stability and erosion resistance, making them more suitable for harsh operational environments [11,19]. Moreover, the ecological advantages of basalt fibers—derived from abundant natural resources and produced with lower environmental impact—make BFRP composites attractive for sustainable engineering solutions [3,18].
Although progress has been made in characterizing basalt fiber-reinforced composites, there is still a notable shortage of comprehensive studies that examine how variations in fiber weight fraction affect tribomechanical performance. In particular, few investigations have quantitatively linked fiber content with critical tribological outcomes—such as the coefficient of friction, specific wear rate, and contact temperature—within statistically designed experimental frameworks.
In this work, we investigate the tribomechanical behavior of epoxy composites reinforced with basalt fibers at three weight fractions (50%, 65%, and 70%). Specimens are tested under dry sliding conditions using a pin-on-disc tribometer across varying loads and speeds. A generalized linear model (GLM) is applied to assess the significance of each factor and their interactions on key tribological outputs—coefficient of friction, wear rate, and temperature. SEM, EDS, and 3D profilometry are used to elucidate the dominant wear mechanisms. The study aims to bridge the knowledge gap about the tribological performance of BFRP composites and support the material’s integration in sustainable engineering applications.

2. Materials and Methods

2.1. Materials

In recent years, basalt fibers have attracted the attention of researchers as a cost-effective alternative to E-glass fibers, with slightly superior mechanical properties and thermal and chemical stability. Derived from basalt rock, basalt fibers have become an alternative to traditional materials such as glass and carbon fibers, as basalt fibers offer unique advantages that have attracted widespread interest among researchers and manufacturers
Basalt fibers are high-performance inorganic fibers produced by melting natural volcanic rocks such as basalt or andesite at temperatures between 1400 and 1500 °C. The resulting fibers exhibit high tensile strength (2800–4800 MPa), a relatively high elastic modulus (85–110 GPa), and excellent thermal and chemical stabilities. Compared to conventional glass fibers, basalt fibers offer improved mechanical properties and superior resistance to environmental degradation, while remaining more cost effective than carbon fibers. They are also environmentally sustainable, as their production involves minimal processing, no chemical additives, and relies on abundant natural raw materials. These characteristics make basalt fibers an attractive reinforcement option for polymer matrix composites, particularly in applications requiring enhanced durability, heat resistance, and ecological compatibility.
The composites studied in this research were manufactured using a combination of basalt fiber fabric and epoxy resin, without the addition of metallic fillers. The reinforcement material was a 2/2 twill woven basalt fabric with an areal density of 220 g/m². The matrix was an epoxy system consisting of EPIKOTE™ MGS LR 135 resin and EPIKURE™ MGS LH 136 hardener, mixed in a 100:35 weight ratio, as recommended by the supplier (Hexion, Duisburg, Germany).
Basalt fibers provide superior thermal and chemical stabilities, and their compatibility with epoxy matrix ensures good fiber impregnation and interfacial adhesion. The composites were manufactured targeting fiber weight fractions of 50%, 65%, and 70%, corresponding to the different sample groups analyzed.

2.2. Fabrication Method

The fabrication process consisted of manual lamination, followed by vacuum bag sealing and thermal curing inside an autoclave unit provided by Maroso (Veneto, Italy), as follows:
-
Initially, the epoxy resin and hardener were thoroughly mixed.
-
The basalt fiber fabric was impregnated manually using the hand lay-up method, layer by layer, to ensure uniform resin distribution and fiber wetting.
-
After stacking the impregnated layers, the laminate was enclosed in a vacuum bag and subjected to a vacuum of −0.9 bar to remove entrapped air and volatile compounds.
The vacuumed laminate was placed inside a Maroso autoclave and subjected to a controlled curing cycle at:
-
120 degree curing temperature,
-
vacuum pressure of −0.9 bar and 4 bar internal pressure,
-
for a period of 180 min.
After curing, the laminate was allowed to cool gradually to room temperature (approximately 30 °C) over 60 min to minimize thermal stresses.
As a result of the fabrication process, several composite panels were obtained, each with dimensions of 500 mm × 300 mm × 2 mm and fiber reinforcement contents of 70%, 65%, and 50% (±0.5%). Following the curing stage, the plates were trimmed, machined, or surface-finished to match the required final geometries and tolerances. Any surface imperfections or localized defects were corrected using supplemental applications of resin and reinforcing fabric.
The specimens extracted for testing included the following:
-
Tribological discs with a diameter of 50 mm and a thickness of 2 mm, used in wear resistance evaluations.
-
Tensile specimens measuring 250 mm × 25 mm × 2 mm, prepared in compliance with the ASTM D3039-17 standard [20].
-
Flexural specimens of 80 mm × 13 mm × 2 mm, fabricated according to the ASTM D7264/D7264M-15 standard [21].
In the wear tests, 12.7 mm diameter bearing balls made of 52100 chromium-alloyed steel (RKB Bearing Industries Group, Balerna, Switzerland) were employed as counterface elements, in accordance with the guidelines provided by the ASTM A295 standard [22]. These steel balls acted as counterparts to the composite disc specimens during the dry sliding evaluations. Their use ensured uniform and repeatable contact conditions, thereby contributing to the reliability and comparability of the tribological measures.
In addition to the tribological characterization, mechanical tests were carried out to evaluate the tensile and flexural properties of the fabricated BFRP composites.

2.3. Mechanical Testing

Tensile tests were conducted using an Instron 8801 (Instron, Norwood, MA, USA) servo-hydraulic testing machine, while flexural tests were carried out using an Instron 3366 universal testing machine (Instron, Norwood, MA, USA), both under the same environmental conditions.
All mechanical tests were conducted at the Accredited Mechanical Testing Laboratory of the Department of Mechanical Engineering, Technical University of Cluj-Napoca. Tensile tests were carried out at a crosshead displacement rate of 2 mm/min, conducted under ambient laboratory conditions of 18 °C and 50% relative humidity. For each material variant, a set of five specimens was tested. During each trial, the system automatically recorded the corresponding stress–strain response throughout the loading process.
Flexural performance was assessed using a three-point bending configuration, conducted using an Instron 3366 universal testing machine. The same displacement rate and environmental parameters used in the tensile tests were applied to ensure consistent testing conditions.

2.4. Tribological Testing

Tribological characterization was performed using a pin-on-disc tribometer (TRB3, Anton Paar GmbH, Graz, Austria) following the ASTM G99-23 standard [23,24].
The testing parameters were as follows:
-
Counterface material: Hardened chromium steel ball (AISI 52100, hardness ~60 HRC).
-
Loads: 10 N, 20 N, and 30 N.
-
Sliding speeds: 0.10 m/s, 0.25 m/s, and 0.36 m/s.
-
Sliding distance: fixed at 2000 m.
-
Ambient conditions: 22 °C temperature and 45 ± 2% relative humidity.
During each test, COF was continuously recorded and the specific wear rate (K) was calculated using the formula:
K d i s c = V d i s k L s l i d i n g F ; K b a l l = V b a l l L s l i d i n g F
where it is noted that:
-
Vdisk—wear volume of the disc (mm3);
-
Vball—wear volume of the ball (mm3);
-
F—normal force (N);
-
Lslidingtotal sliding distance (m);
-
Kdisk, Kball—wear factors of the disc and ball (mm3/m·N), respectively.
The surface temperature generated during sliding was continuously monitored using a FLIR E5xt infrared thermal imaging camera (Teledyne FLIR Company, Wilsonville, OR, USA). Average temperature values were recorded throughout the testing period for each experimental condition.
After the tribological tests, the worn surfaces were subjected to detailed characterization. Scanning electron microscopy (SEM) using a JEOL JSM-5600LV microscope (JEOL Ltd., Tokyo, Japan) was employed to observe surface damage features, while energy dispersive X-ray spectroscopy (EDS) using an ULTIM MAX 65 detector (Oxford Instruments, Abingdon, UK) was used to assess elemental transfer and to elucidate the prevailing wear mechanisms.

2.5. Statistical Analysis

A full factorial design was employed to systematically evaluate the effects of fiber weight fraction, load, and sliding speed on the tribological outputs (COF, wear rate, temperature). The control factors and their levels are summarized in Table 1.
A generalized linear model (GLM) was applied and multifactorial analysis of variance (ANOVA) was performed using Minitab 19 software (Minitab, Coventry, UK) to identify the significance and contribution percentage (PC%) of each factor and their interactions [25]. Graphical analysis (main effects plots, interaction plots, and interval plots) was employed to interpret and visualize the experimental data. Assumptions of normality and homogeneity of variance were verified through residual analysis.
The percentage contribution (PC%) of each individual factor and their interactions was calculated to quantify their influence on the measured responses. The statistical significance of the control parameters was evaluated through ANOVA, using the F-statistic and p-values as criteria for relevance.
In addition, several graphical tools were employed, including main effects plots, interaction plots, and interval plots, to visually interpret the relationships between response variables and experimental factors. The underlying assumptions of ANOVA were subsequently verified to ensure the reliability and consistency of the statistical analysis.

3. Results and Discussion

3.1. Results of Mechanical Testing

The mechanical behavior of basalt fiber-reinforced polymer (BFRP) composites was evaluated through tensile and flexural tests for specimens containing 50%, 65%, and 70% fiber weight fractions.

3.1.1. Tensile Strength and Stiffness

The results of the tensile tests are summarized in Table 2 and illustrated in Figure 1. A clear correlation between fiber content and tensile strength was observed. The BFRP composite with 70% fiber content reached the highest tensile strength of 453.4 MPa, followed by the 65% fiber sample (393 MPa) and the 50% fiber sample (329.2 MPa). This progressive improvement reflected the effective load-bearing capability of basalt fibers, which contribute significantly to stress distribution and crack suppression. The variability of the results was expressed as the coefficient of variation (CV%).
Strain at maximum load decreased with increasing fiber content, from 2.87% for BFRP 70% to 1.84% for BFRP 50%, indicating reduced ductility and increased stiffness. Interestingly, the highest elastic modulus was recorded for the 50% fiber composite (20.84 GPa), contrary to typical trends. The elastic modulus values decreased for higher fiber contents: 18.74 GPa (BFRP 65%) and 17.99 GPa (BFRP 70%). This unexpected behavior may have resulted from matrix-rich regions in the 50% sample contributing more effectively to global stiffness, while high fiber content may have introduced fiber misalignment or matrix starvation, reducing structural uniformity.
Despite these differences, the coefficient of variation was relatively low for all samples (ranging from 1.57% to 10.73%), confirming the reliability of the measurements and the reproducibility of the composite manufacturing process.

3.1.2. Flexural Properties

The flexural behavior of the composites is presented in Table 3 and Figure 2. Like the tensile results, flexural strength increased with fiber content, with BFRP 70% achieving the highest value of 398 MPa, followed by 369.7 MPa for BFRP 65% and 284.3 MPa for BFRP 50%. These results confirmed the role of basalt fibers in reinforcing the composite structure, enhancing their resistance to bending stresses.
The strain at maximum flexural load varied slightly among samples (between 2.22% and 2.74%), suggesting that even the stiffer composites retained a certain degree of flexibility. As with the tensile modulus, the highest flexural modulus was unexpectedly recorded for the 50% fiber composite (20.20 GPa), followed by the 65% fiber composite (18.59 GPa) and the 70% fiber composite (17.68 GPa). This inversion of expected trends was likely due to the influence of microstructural factors such as fiber distribution, interfacial adhesion, and internal voids.
The variability of flexural properties, expressed through the coefficient of variation, was lowest for the 65% and 70% composites, indicating higher consistency and structural homogeneity at elevated fiber contents.
The results demonstrated that increasing the basalt fiber content generally improved tensile and flexural strength, confirming the reinforcing role of basalt in the composite matrix. However, the elastic modulus did not increase linearly with fiber content and was influenced by fiber–matrix distribution and structural homogeneity. BFRP 70% provided the best compromise between strength and deformability, making it a promising candidate for structural applications. These findings also underlined the importance of optimizing fiber distribution to maximize mechanical performance without compromising stiffness or consistency.

3.2. Tribological Behavior

The tribological performance of the BFRP composites was assessed under dry sliding conditions using a pin-on-disc tribometer with a chromium alloy steel counterbody (AISI 52100, Ø 12.7 mm), in accordance with ASTM A295. The tests were designed to investigate the influence of three key parameters—fiber weight fraction (50%, 65%, 70%), applied normal load (10 N, 20 N, 30 N), and sliding speed (0.1, 0.25, 0.36 m/s)—on COF, specific wear rate, and surface temperature.
The experimental setup and parameter combinations presented in Table 4 ensured a comparative evaluation of the tribological behavior of the BFRP material with 50%, 65%, and 70% fiber weight fractions. The tribological responses were analyzed for steady-state conditions over the last 60 min of the 120 min testing interval.

3.2.1. Coefficient of Friction (COF)

The evolution of the coefficient of friction for the BFRP composites during dry sliding is illustrated in Figure 3, Figure 4 and Figure 5. Figure 3 shows the real-time variation in COF over the 120 min test period for all three fiber contents (50%, 65%, and 70%wf) under a constant load of 20 N and a sliding speed of 0.1 m/s. The BFRP 50% composite exhibited significant fluctuations in the initial run-in period, indicating unstable contact conditions and delayed formation of a tribolayer. By contrast, the BFRP 65% and especially the BFRP 70% samples transition more quickly into the steady-state regime, characterized by a more consistent COF. This difference highlighted the beneficial effect of higher fiber content on contact stability and load transfer efficiency.
Figure 4 compares the average steady-state COF values for each fiber fraction under a constant load of 20 N, providing a representative reference for comparative analysis. The results revealed a nonlinear relationship between fiber content and friction behavior. At 10 N, COF increased slightly with fiber content, suggesting that initial contact stresses were more effectively distributed in matrix-dominant compositions. However, under higher loads (20 N and 30 N), the BFRP 70% sample consistently demonstrated the lowest COF values, reflecting a more favorable tribological interaction. This could be attributed to enhanced interfacial bonding, better thermal conductivity, and reduced plastic deformation at the sliding interface.
Figure 5 provides a consolidated view of COF dependency on both fiber content and sliding speed. At low speed (0.1 m/s), all samples showed relatively higher COF values due to increased adhesion and insufficient frictional heating. As the sliding speed increased to 0.36 m/s, a noticeable reduction in COF was observed, particularly for the 65% and 70% fiber composites. This behavior suggested the formation of a more stable transfer film facilitated by frictional heat and increased surface activation. The BFRP 70% specimen exhibited the most consistent COF across all speeds and loads, supporting its superior tribological performance. The experimental results presented in Figure 3, Figure 4 and Figure 5 were selected under a normal load of 20 N to provide a representative and balanced overview of the tribological behavior of the BFRP composites. This intermediate load level was intentionally chosen for detailed graphical analysis for several reasons.
First, 20 N offers a reliable balance between under-loading and overload conditions. At this load, the tribological system exhibits both run-in dynamics and steady-state stability without inducing excessive material failure or premature thermal degradation. Lower loads (e.g., 10 N) often result in less pronounced wear and insufficient frictional heating, which can obscure the differences in material performance. Conversely, high loads (30 N) tend to exaggerate wear mechanisms and accelerate surface breakdown, potentially masking the underlying trends of COF and temperature stabilization.
Second, the run-in and steady-state phases are more clearly observable at 20 N. The COF evolution at this load level shows a well-defined transition from initial surface adaptation (run-in) to stable contact conditions (steady-state), allowing for a consistent comparison across all fiber compositions. This transition is crucial for evaluating the formation of tribofilms, surface accommodation, and the material’s ability to stabilize friction over time.
Similarly, the temperature profiles recorded at 20 N reflect realistic heat generation conditions without reaching critical thermal thresholds that could damage the matrix or trigger anomalous responses. The heat accumulation observed during run-in and the thermal plateau in the steady-state provide meaningful insight into each composite’s thermal regulation capacity, an important parameter for applications involving repeated or prolonged dry contact.
In summary, selecting 20 N as the reference load for Figure 3, Figure 4 and Figure 5 enables the most representative and interpretable comparison of tribological responses, highlighting the material’s behavior in both the early dynamic phase and under stabilized frictional conditions.
In summary, the COF results indicated that both the fiber content and operating conditions significantly affected the tribological response of BFRP composites. A higher fiber content promoted early stabilization of friction, lower steady-state COF, and reduced sensitivity to changes in speed and load. These findings highlighted the effectiveness of basalt fiber reinforcement in improving frictional behavior under dry sliding conditions

3.2.2. Specific Wear Rate

The specific wear rate values of the BFRP composites were analyzed under varying loads and fiber weight fractions to assess the material’s volumetric wear resistance during dry sliding. The variation in the specific wear rate (K) as a function of fiber content and applied load is presented in Table 4. These data allowed for a comparative assessment of volumetric wear resistance across the tested BFRP composites under different frictional conditions.
Overall, the wear rate values exhibited a nonlinear dependency on both the applied load and the amount of reinforcement, indicating a complex interaction between fiber architecture, matrix behavior, and frictional conditions.
At 10 N, the BFRP 50% sample demonstrated a relatively low wear rate (3.25 × 10−5 mm3/Nm), but this increased significantly to 8.69 × 10−5 mm3/Nm at 30 N, reflecting the material’s limited ability to withstand high contact pressures. The pronounced increase suggested matrix softening, fiber pull-out, and poor energy dissipation at higher load levels. This behavior was consistent with SEM observations showing widespread delamination and matrix degradation in BFRP 50%.
For BFRP 65%, the wear rate followed a different trend: starting at 6.91 × 10−5 mm3/Nm (10 N), it rose slightly to 9.34 × 10−5 mm3/Nm at 20 N, then dropped to 7.69 × 10−5 mm3/Nm at 30 N. The reduction under maximum load suggested a more efficient load-bearing mechanism, possibly due to improved fiber distribution and the formation of a stable tribological film that protected the surface from further degradation. This result indicated a transitional behavior in which the reinforcement began to dominate over the matrix in terms of wear resistance.
The BFRP 70% specimen exhibited the most stable wear behavior across all load conditions, with values ranging between 4.08 × 10−5 mm3/Nm and 8.03 × 10−5 mm3/Nm. These results confirmed the superior wear resistance of the highly reinforced composite, especially at medium and high loads. The higher fiber volume contributed to increased structural rigidity and reduced the contact area of the soft matrix, thereby limiting material removal. Additionally, the enhanced thermal conductivity of the fiber-rich composite likely mitigated frictional heating, further improving performance under dry sliding conditions.
Comparative analysis of the wear rate data across fiber fractions revealed that the most significant improvement occurred when the fiber content increased from 50% to 65%, suggesting a threshold beyond which reinforcement dominated the tribological response. The improvement from 65% to 70% fiber content was more moderate, indicating a point of diminishing returns due to potential challenges such as matrix starvation or fiber misalignment at very high reinforcement levels.
The wear rate trends aligned with both the COF behavior and the 3D profilometric analysis, reinforcing the conclusion that higher basalt fiber content enhanced tribological durability. These findings validated the role of fiber reinforcement in controlling material loss during frictional loading and provided quantitative confirmation of the microscopic damage mechanisms observed in SEM analysis.

3.2.3. Contact Temperature

The results of contact temperature under various test conditions are summarized in Table 4. Surface temperature during sliding is a critical parameter under dry friction conditions, as it directly influences material softening, interfacial adhesion, and tribofilm formation. Figure 6a illustrates the evolution of contact temperature over the 120 min testing period for BFRP composites with different fiber weight fractions, tested at 30 N load and 0.36 m/s sliding speed—the most severe test condition. Figure 6b summarizes the final average temperatures measured at the end of each test for all composite configurations.
The BFRP 50% composite exhibited the highest temperature rise, reaching 65.2 °C under the highest load and speed combination. This substantial increase was attributed to the lower thermal conductivity of the epoxy-rich matrix, leading to heat accumulation at the sliding interface. The reduced ability of the matrix to dissipate frictional heat resulted in local softening, which may have contributed to higher wear rates and unstable COF, as confirmed by the data presented in Section 3.2.1 and Section 3.2.2.
By contrast, the BFRP 65% and 70% composites demonstrated significantly lower surface temperatures. For BFRP 65%, the peak temperature reached under maximum load was 58.4 °C, while the peak temperature of BFRP 70% remained below 52 °C across all conditions. The reduced thermal response of these highly reinforced composites was primarily due to the presence of a continuous and dense basalt fiber network, which improved heat conduction and distributed thermal energy more evenly across the contact surface. This thermal buffering effect delayed matrix softening and supported the formation of more stable tribological films, contributing to the lower and more stable COF and wear rates observed in the previous subsections.
At low load (10 N) and speed (0.1 m/s), all composites maintained relatively low and comparable surface temperatures (ranging from 29 to 35 °C), with no significant differences among fiber contents. However, as load and sliding speed increased, differences became more pronounced. This confirmed that thermal performance was highly dependent on reinforcement level, especially under demanding frictional regimes where heat generation intensified.
The temperature data also aligned with the observations from SEM and EDS analyses, where the BFRP 70% specimen showed reduced signs of matrix degradation and adhesive wear. Lower operating temperatures likely contributed to the preservation of surface integrity and the minimization of thermal damage at the fiber–matrix interface.
In summary, increasing the basalt fiber content enhanced the thermal resistance of the composite system under dry sliding conditions, reducing surface temperature rise and stabilizing tribological behavior. These results emphasized the dual function of basalt fibers—not only as mechanical reinforcements but also as thermal conductors mitigating friction-induced heating. The temperature-induced surface changes discussed here were further evidenced in the SEM images (Figure 6), where differences in matrix degradation and fiber exposure aligned with the recorded thermal loads.

3.2.4. Wear Mechanism Analysis

To better understand the origin of the wear behavior observed in the BFRP composites, a detailed surface characterization was conducted by performing scanning electron microscopy (SEM) and energy-dispersive X-ray spectroscopy (EDS) on the wear tracks. The goal was to identify dominant degradation mechanisms and assess the evolution of the contact interface under dry sliding conditions.
Figure 6 presents representative SEM images of the worn surfaces for BFRP specimens tested at 30 N and 0.25 m/s. The BFRP 50% sample (Figure 6a,b) exhibited severe matrix degradation, transverse and longitudinal microcracks, and clear signs of fiber pull-out and debonding. The resin-rich nature of the composite made it more susceptible to softening, leading to extensive delamination and material loss. The presence of irregular fiber fragments and exposed voids suggested that the interface between fibers and the matrix failed under repeated contact stress and frictional heating.
In the BFRP 65% specimen (Figure 6c,d), the wear surface showed more compact and organized morphology, with reduced matrix tearing and fewer detached fibers. However, localized matrix removal and limited fiber breakage were still observed, indicating partial interfacial failure. The improved reinforcement ratio likely contributed to better load distribution, reducing the extent of localized deformation and fiber–matrix separation.
The BFRP 70% surface (Figure 6e,f) displayed a much more uniform wear track, with intact fiber–matrix regions and minimal visible damage. The worn surface was smoother and fiber breakage was rare, suggesting that the high reinforcement density effectively mitigated surface damage and promoted better stress transfer. The reduced presence of microcracks and ploughing traces confirmed the role of fiber architecture in absorbing mechanical energy and resisting wear propagation.
The scanning electron microscopy (SEM) images presented in Figure 6, which show the morphology of the wear tracks on BFRP composites—were obtained under a normal load of 30 N and a sliding speed of 0.25 m/s, after 120 min of dry sliding. This high-load condition was intentionally selected to capture and highlight the dominant wear mechanisms in their most developed and distinguishable form.
At 30 N, the tribological system was subjected to maximum mechanical stress among all tested conditions, which amplified the effects of fiber–matrix interaction, surface degradation, and thermal buildup. These severe conditions facilitated the emergence of critical features such as matrix delamination, fiber pull-out, microcracking, and interfacial debonding—phenomena that were more subtle or even absent at lower loads.
By focusing the SEM analysis on this load level, it became possible to clearly distinguish differences in damage morphology between the BFRP samples with 50%, 65%, and 70% fiber contents. The extent and type of surface failure, whether dominated by matrix wear, fiber fracture, or cohesive failure—were more visible and diagnostic under high-stress conditions, enabling a comparative evaluation of reinforcement efficiency and interfacial integrity.
Moreover, since tribological degradation is load-dependent, selecting the most critical scenario (30 N) ensured that the observed damage mechanisms are representative of worst-case operational behavior, offering valuable insights into the composite’s long-term durability and failure modes in demanding applications. In summary, the use of 30 N as the reference load for SEM imaging allowed for enhanced visualization of surface damage, better differentiation among composite types, and a more meaningful interpretation of wear mechanisms under critical working conditions.
Figure 7 shows the analysis of the wear tracks, where iron and chromium peaks were detected, particularly in the BFRP 50% sample. This indicated material transfer from the steel counterbody, which was consistent with adhesive wear and poor thermal dissipation. By contrast, the metallic residue was significantly lower in the BFRP 65% sample and nearly absent in the BFRP 70% sample, suggesting a more stable contact surface and reduced adhesive interaction. The presence of silicon, oxygen, and aluminum in all samples confirmed the exposure of basalt fibers and residual epoxy degradation.
The overall tribological results demonstrated that increasing the basalt fiber content from 50% to 70% significantly improved frictional stability, reduced the wear rate, and enhanced thermal resistance. BFRP 70% exhibited the best performance under all testing conditions, with rapid transition to steady-state behavior, stable COF, and minimal material loss. These findings underlined the reinforcing effect of basalt fibers in tribological contacts, making BFRP composites with high fiber content suitable for demanding applications involving high loads and sliding speeds.
To further elucidate the wear mechanisms involved in the tribological behavior of the BFRP composites, post-test analyses were performed using scanning electron microscopy (SEM), energy-dispersive X-ray spectroscopy (EDS), and 3D optical profilometry. These methods allowed for the detailed observation of worn surfaces, identification of damage modes, and assessment of material transfer or surface degradation.
The images (Figure 7) collected from the wear track regions revealed traces of iron and chromium on the BFRP sample surfaces, indicating material transfer from the steel counterbody during sliding. This was consistent with adhesive wear and tribochemical interactions at the contact interface. The amount of transferred metallic elements decreased with increasing fiber content, supporting the hypothesis that BFRP 70% provided a more stable tribological interface with lower adhesion and improved thermal dissipation.
Additionally, silicon and oxygen peaks corresponding to the basalt fibers and the epoxy matrix were identified consistently in all samples, further validating the structural integrity of the tested composites and the reliability of the SEM/EDS mapping.

3.3. 3D Profilometry

Three-dimensional surface profilometry, using an optical profilometry system (Alicona InfiniteFocus, Bruker Alicona, Graz, Austria), was used to measure the depth of the wear tracks. A comprehensive analysis of the worn surfaces using optical profilometry provided further insight into the degradation mechanisms and wear behavior under dry sliding conditions. The BFRP 50% composite exhibited the most severe wear track, with deeper grooves and higher surface irregularities, confirming the extensive material loss observed in the wear rate measurements. The BFRP 65% sample showed moderate wear depth with more uniform profiles, while the BFRP 70% composite had the shallowest and smoothest track, demonstrating its superior wear resistance.
As part of this investigation, Figure 8 and Figure 9 present illustrative 3D surface scans, showcasing representative wear morphologies for the BFRP 50% composite tested under a load of 20 N and sliding speed of 0.1 m/s over a 120 min period. This condition was selected as a standardized and balanced testing regime across all profilometric evaluations, applied consistently for all three composite types (BFRP 50%, BFRP 65%, and BFRP 70%). The load of 20 N provided a realistic frictional contact condition where measurable surface damage can occur without causing extensive surface rupture or deformation that would hinder the optical scanning process. Likewise, the relatively low sliding speed of 0.1 m/s minimized the effects of frictional heating and ensured that the topographical features resulting from wear were well preserved, allowing accurate 3D reconstruction and comparison.
Thus, Figure 8 and Figure 9 are presented as reference examples of the profilometry-based method used to measure wear track volume, from which the specific wear rate values (K) were obtained. Similar profilometry scans were performed for the other fiber configurations, and the results are shown in Table 4. The visualizations highlighted the surface degradation patterns associated with different fiber contents and substantiated the quantitative findings related to wear rate and surface roughness, thus contributing to a more complete understanding of the composite behavior under frictional loading.
This approach allowed the study to maintain methodological uniformity and focus on the influence of fiber content on surface integrity and wear depth while avoiding variability introduced by changing test parameters. Therefore, the selected condition served both as a benchmark for comparative analysis and as a good practice reference for tribological surface characterization in polymer matrix composites. The correlation between profilometric data, SEM morphology, and wear rate confirmed the critical role of fiber content in improving surface integrity and reducing wear damage.

3.4. Results of Statistical Analysis

The main results of the statistical analysis for coefficient of friction, specific wear rate, and temperature are shown in Table 5. The significant influence of the control factors on the targets was obtained in the case of p-values lower than the significance level of 0.05.
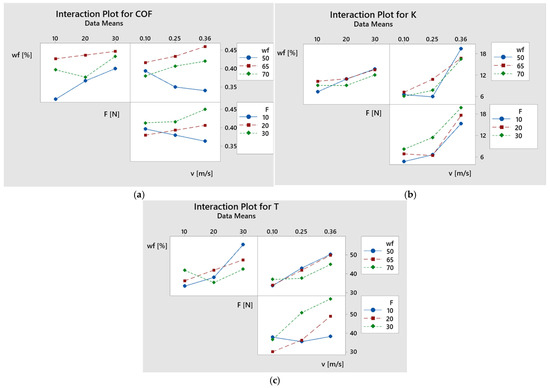
The ANOVA results revealed that the most influential factor affecting COF was the fiber weight fraction (wf), contributing 42.78%, followed by the applied force, with 17.28%, and the interaction between wf and sliding speed (v), with 15.91%, as presented in Table 5. Other interactions and the individual effect of sliding speed showed notably lower contribution levels to COF.
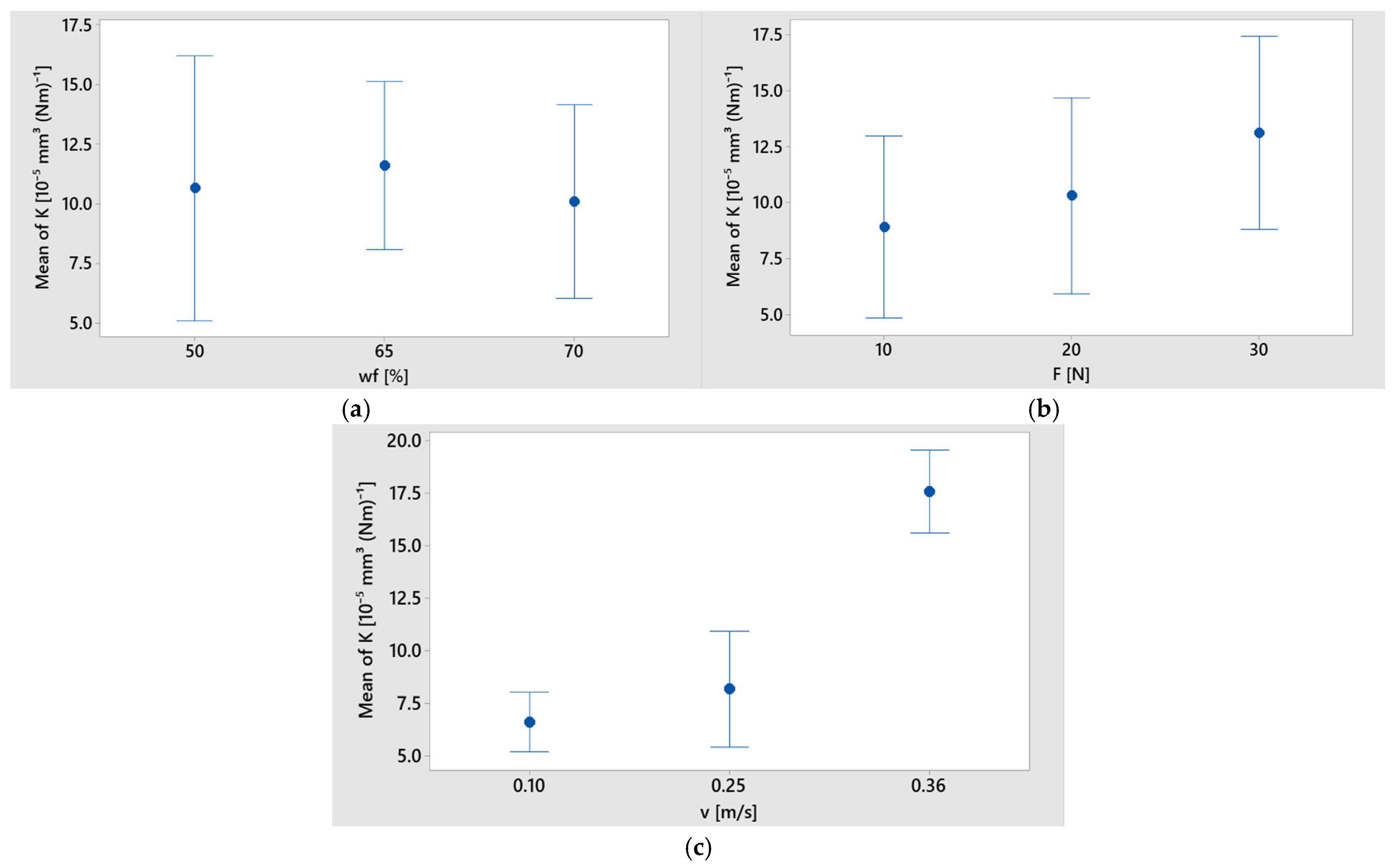
By contrast, for the specific wear rate (K), the sliding speed emerged as the dominant factor, with a contribution of 77.69%, followed by the applied load, which accounted for 10.12%. Interactions among the control factors had minimal impact on the wear rate, as also detailed in Table 5.
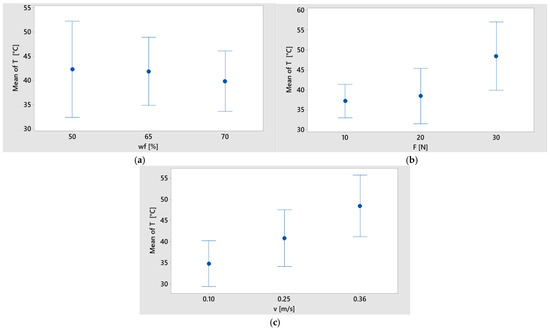
When analyzing contact temperature (T), the most significant contributors were the sliding speed (32.79%), the applied force (26.74%), and the interactions of force–speed (F-v) and fiber content–force (wf-F), contributing 17.81% and 15.78%, respectively, as shown in Table 5.
To further interpret these findings, graphical representations such as main effects plots, interaction plots, and interval plots were used to visualize the influence of each control factor on the three response variables: COF, K, and T.
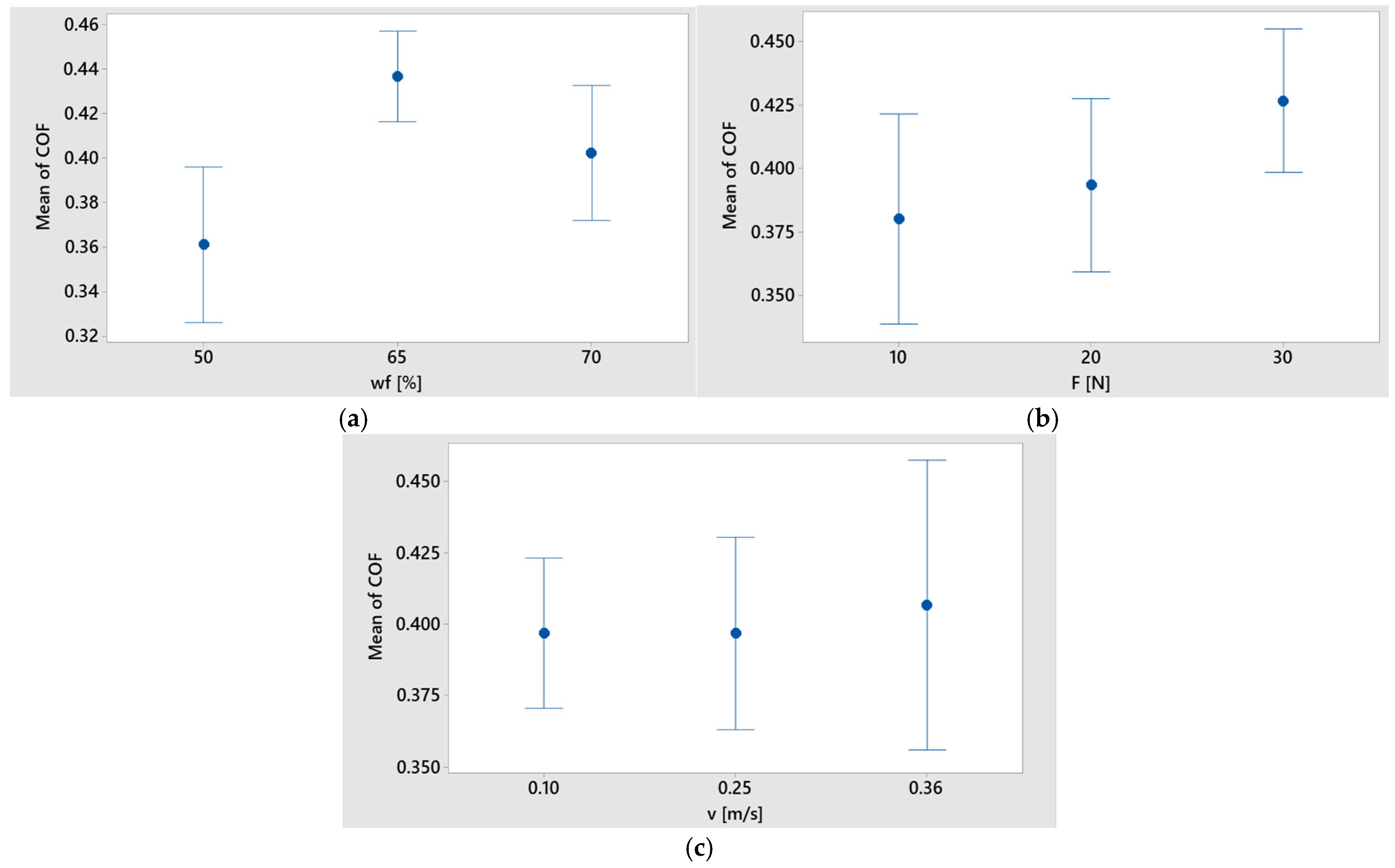
According to the main effects plot for COF (Figure 10a), the highest mean values were observed when wf was 65%, force was 30 N (level 3), and sliding speed was 0.25 m/s (level 2). A nonlinear trend was evident, where COF increased with fiber content up to 65% but slightly decreased when the fiber content reached 70%. Additionally, COF showed a rising tendency with increasing applied force, and a marginal increase was observed with increasing sliding speed. The lowest COF values corresponded to wf of 50%, F of 10 N, and v of 0.1 m/s.
In terms of specific wear rate, Figure 10b illustrates that the lowest average values of K occurred at wf of 70%, F of 10 N (level 1), and v of 0.1 m/s (level 1). The wear rate exhibited a mild increase with increasing fiber content, followed by a decrease, suggesting a nonlinear relationship. The wear rate also rose with increasing load, and a significant jump in K was observed when the sliding speed increased from 0.1 m/s to 0.25 m/s.
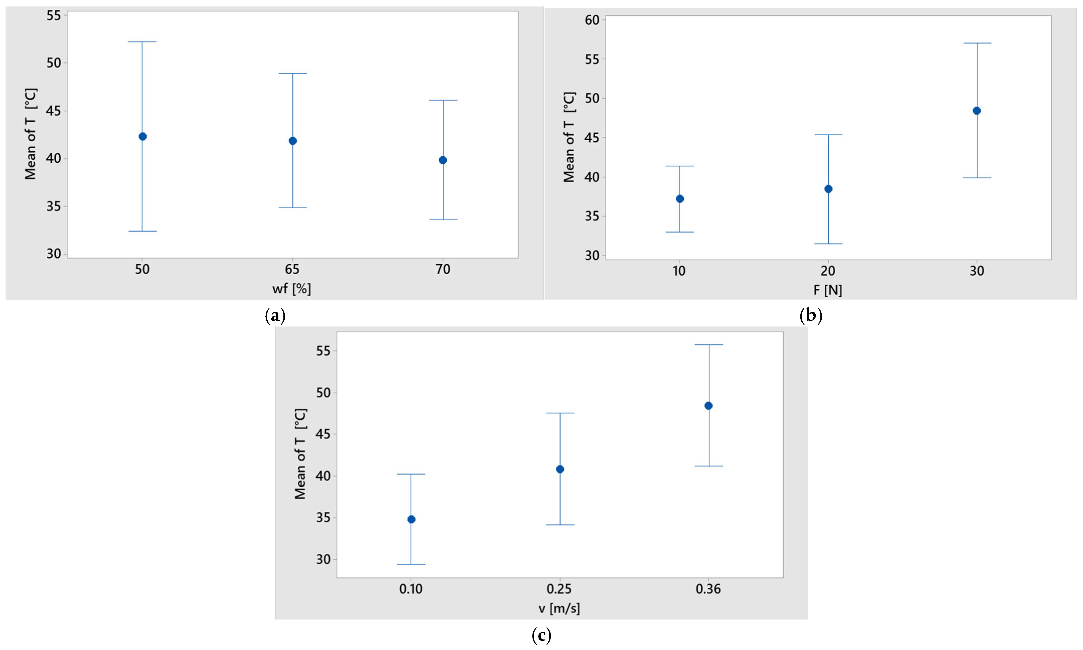
For temperature, as shown in Figure 10c, the maximum mean values were obtained at wf of 50%, F of 30 N (level 3), and v of 0.36 m/s (level 3). The temperature values exhibited a decreasing trend with increasing fiber content, which could be attributed to improved thermal conductivity and heat dissipation in the more densely reinforced composites.
As illustrated in Figure 11a and supported by the data in Table 5, the interaction between fiber weight fraction (wf) and sliding speed (v) had a notable impact on the coefficient of friction. By contrast, interaction effects were less prominent in the case of the specific wear rate, as seen in Figure 11b, indicating a more independent influence of individual factors in this case.
For the temperature response, significant interaction effects were observed between wf and applied load (F), as well as between F and v, both of which are clearly depicted in Figure 11c. These interactions suggested that the combined effects of mechanical loading and reinforcement level played a key role in thermal behavior during sliding.
Figure 12 presents the interval plots, including standard error bars, illustrating the relationship between each control factor and the coefficient of friction. As shown in Figure 12a, the mean values of COF for different levels of basalt fiber content (wf) were statistically distinct, indicated by the non-overlapping confidence intervals. This confirmed that wf had a significant effect on COF.
Conversely, in Figure 12b,c, the interval bars corresponding to applied force and sliding speed displayed considerable overlap. This suggested that the observed differences in mean COF for these two factors were likely not statistically significant under the tested conditions.
The interval plots of factors versus specific wear rate are shown in Figure 13. The difference between the means of K in sliding speed (level 3) were significant because the interval bars did not overlap with the others.
The interval plots of each factor versus temperature are shown in Figure 14. The difference between the means for temperature in v was significant because the interval bars did not overlap for levels 1 and 3.
The normal probability plots generated for the residuals of the response variables, COF, specific wear rate (K), and temperature (T), demonstrated that the applied generalized linear model (GLM) was statistically appropriate and met the normality assumption, as supported by [26]. The normal probability plot for COF is illustrated in Figure 15, with similar distribution patterns observed for the residuals of K and T, confirming the validity of the model fits for all three outputs.
Figure 16, Figure 17 and Figure 18 illustrate the response surface plots obtained from the statistical modeling, showing the influence of fiber weight fraction (wf), normal load (F), and sliding speed (v) on the three primary tribological outcomes: coefficient of friction (COF), specific wear rate (K), and contact temperature (T).
Figure 16 presents the variation in COF as a function of two-factor interactions. In Figure 16a, COF increased with applied load, particularly at lower fiber content, where matrix-dominated surfaces exhibited greater instability during frictional contact. The lowest COF values were observed at 70% fiber content and low loads, suggesting that a dense fiber network promoted the formation of a stable tribofilm and ensured consistent frictional behavior. Figure 16b indicates that COF was higher at lower sliding speeds and lower fiber contents, which may have been attributed to insufficient frictional heating and poor thermal regulation. At higher fiber fractions, COF remained more stable across all speeds. Figure 16c shows that increasing both load and speed could slightly raise COF, although the effect was mitigated in highly reinforced composites.
Figure 17 illustrates the response surface plots for the specific wear rate (K) in relation to the main experimental factors: fiber weight fraction (wf), applied load (F), and sliding speed (v). These visualizations offer a comprehensive overview of how each factor pair influences the tribological performance of BFRP composites, highlighting the nonlinear behavior and interactions among control variables. In Figure 17a, the wear rate was highest in the region with low fiber content (50%) and high load (30 N), confirming that matrix-rich composites suffered significant material loss under stress. As the fiber content increased, the wear rate decreased substantially, especially at low to medium loads. This indicated that when the composite was resin-dominant, the matrix was more susceptible to thermal softening and surface damage under mechanical stress. Conversely, the lowest wear values were concentrated in the region corresponding to high wf and low F, confirming that increased fiber content improved wear resistance by reducing matrix exposure and enhancing load support.
Figure 17b shows that at low fiber content and high speed, wear increased due to insufficient structural support and thermal degradation. By contrast, BFRP 70% maintained a low and stable wear rate even as speed increased. Figure 17c reveals that wear increased sharply with both speed and load, particularly in weakly reinforced samples, whereas high fiber content moderated this effect.
Figure 18 highlights the evolution of contact temperature. In Figure 18a, the temperature was highest for the BFRP 50% composite under maximum load, where thermal conductivity was limited and heat accumulated rapidly. At 70% fiber content and low load, the contact temperature remained minimal, indicating effective thermal management. Figure 18b reinforces this pattern: high speeds combined with low fiber content resulted in peak surface temperatures, while high fiber content provided thermal buffering even at elevated speeds. Figure 18c confirms that both load and speed increased surface temperature, with the most severe thermal response observed under combined high load and speed conditions.
Overall, these surface response plots provided strong visual confirmation of the statistical results discussed earlier. They demonstrated that while sliding speed had the most substantial individual impact on wear and temperature, fiber reinforcement played a critical role in stabilizing tribological behavior across a range of operating conditions. The optimal performance, characterized by low friction, minimal wear, and moderate temperature rise, was consistently achieved at high fiber weight fractions (70%), under low to medium loads and moderate speeds.

4. Conclusions

This research explored the mechanical and tribological performance of epoxy composites reinforced with basalt fibers at three distinct weight fractions: 50%, 65%, and 70%. The findings offer a detailed insight into how both fiber content and key operational parameters affect the behavior of BFRP composites subjected to dry sliding conditions. Drawing on the experimental results and statistical evaluation, the main conclusions of the study are as follows:
-
Mechanical Performance. Tensile and flexural strengths increased with higher fiber content, with the BFRP 70% specimen exhibiting maximum values of 453.4 MPa and 398 MPa, respectively. Despite this, the elastic modulus did not follow a linear trend and was highest for the BFRP 50% composite, likely due to better matrix continuity. The 70% fiber content provided the most balanced performance between strength and ductility.
-
Friction Behavior. COF was more stable and lower for the highly reinforced composites. BFRP 70% exhibited the most consistent COF across all test conditions, indicating rapid adaptation to contact and effective formation of a protective tribolayer.
-
Wear Resistance. The specific wear rate decreased with increasing fiber content, particularly under higher loads. The BFRP 70% composite demonstrated the lowest wear values, confirming the critical role of fiber reinforcement in enhancing surface durability and reducing material loss.
-
Thermal Stability. The contact temperature increased with both load and sliding speed, but composites with higher fiber contents (65% and 70%) showed improved thermal dissipation, limiting surface degradation and preventing matrix softening during frictional contact.
-
Wear Mechanisms. SEM and EDS analyses revealed a transition from matrix-dominated adhesive wear in BFRP 50% to fiber-dominated abrasive and mild polishing wear in BFRP 70%. Increased fiber content reduced crack propagation, fiber pull-out, and material transfer from the counterbody.
-
Statistical Analysis. GLM-based factorial analysis confirmed that sliding speed was the dominant factor affecting wear rate (77.69% contribution), followed by applied load. While fiber content had a lower direct statistical weight, its interaction with other parameters significantly enhanced composite performance. Response surface plots supported these conclusions by highlighting the conditions under which wear is minimized.
The findings of this study have direct implications for engineering applications requiring enhanced wear resistance under dry contact, such as brake pads, bearing cages, structural bushings, or tribological components in lightweight transport systems. The superior thermal stability and environmental compatibility of basalt fibers—combined with their cost effectiveness and mechanical robustness—position BFRP composites as viable alternatives to glass fibers or even hybrid systems in medium-to-high load scenarios.
Future work will focus on the incorporation of functional fillers (e.g., solid lubricants, ceramic nanoparticles) to further optimize the tribological behavior under variable humidity and temperature conditions. Additional efforts will aim to evaluate fatigue wear performance, impact resistance, and long-term durability in real-life operational environments. Moreover, numerical modeling and finite element analysis could be employed to predict contact stress evolution and validate the experimental findings for component-scale applications.

Author Contributions

C.B., M.P., R.U. and P.B.: conceptualization, visualization, writing—original draft, experiment design; M.C. and R.U.: writing—review and editing, investigation; M.C., M.P., R.U. and P.B.: formal analysis. C.B., R.U., P.B., M.C. and M.P.: reviewed the manuscript. All authors have read and agreed to the published version of the manuscript.

Funding

This research received no external funding.

Institutional Review Board Statement

The study did not require ethical approval.

Data Availability Statement

Original contributions presented in this study are included in this article; further inquiries can be directed to the corresponding authors.

Conflicts of Interest

The authors declare no conflicts of interest.

References

  1. Fiore, V.; Scalici, T.; Di Bella, G.; Valenza, A. A review on basalt fibre and its composites. Compos. Part B Eng. 2015, 74, 74–94. [Google Scholar] [CrossRef]
  2. Deák, T.; Czigány, T. Chemical composition and mechanical properties of basalt and glass fibers: A comparison. Text. Res. J. 2009, 79, 645–651. [Google Scholar] [CrossRef]
  3. Sim, J.; Park, C. Characteristics of basalt fiber as a strengthening material for concrete structures. Compos. Part B Eng. 2005, 36, 504–512. [Google Scholar] [CrossRef]
  4. Militký, J.; Mishra, R.; Lenfeld, P. Mechanical properties of basalt/glass fiber reinforced polymer composites: Comparison and hybrid effect. Adv. Mater. Sci. Eng. 2018, 2018, 4501387. [Google Scholar] [CrossRef]
  5. Piasecki, A.; Kulka, M.; Kotkowiak, M. Wear resistance improvement of 100CrMnSi6-4 bearing steel by laser boriding using CaF2 self-lubricating addition. Tribol. Int. 2016, 97, 173–191. [Google Scholar] [CrossRef]
  6. Arputham, J.T.; Stalin, B.; Palanikumar, K. Investigation of wear behavior of PEEK composites reinforced with basalt fibers. Mater. Res. Express 2019, 6, 065703. [Google Scholar] [CrossRef]
  7. Chai, R.; Zhu, W.; Li, Q.; Zou, H.; Han, Y.; Zhao, Y.; Ran, X. Effect of Basalt Fiber Content on Mechanical and Tribological Properties of Copper-Matrix Composites. Metals 2022, 12, 1925. [Google Scholar] [CrossRef]
  8. Pradeep, S.A.; Ramesh, M.; Bharath, K.N. Effect of nano-SiO₂ particles on mechanical and wear properties of basalt/epoxy composites. Mater. Today Proc. 2020, 33, 6208–6212. [Google Scholar] [CrossRef]
  9. Birleanu, C.; Udroiu, R.; Cioaza, M.; Pustan, M.; Paul, B.; Vilau, C. The Effect of Fiber Weight Fraction on Tribological Behavior for Glass Fiber Reinforced Polymer. Polymers 2025, 17, 720. [Google Scholar] [CrossRef]
  10. Birleanu, C.; Cioaza, M.; Udroiu, R.; Pustan, M.; Bere, P.; Lazarescu, L. Enhanced Tribological and Mechanical Properties of Copper-Modified Basalt-Reinforced Epoxy Composites. Polymers 2025, 17, 91. [Google Scholar] [CrossRef]
  11. Raajeshkrishna, C.; Pradeep, A.S.; Kumar, R.R. Influence of fiber content on mechanical, tribological properties of short basalt fiber-reinforced nylon 6 and polypropylene composites. J. Thermoplast. Compos. Mater. 2021, 34, 765–779. [Google Scholar] [CrossRef]
  12. Sujon Md, A.S.; Masato, D.; Andriollo, T.; Pan, Z.; Nadimpalli, V.K.; Henriquez, V.C.; Islam, A. Novel approach for optimizing mechanical and damping performance of MABS composites reinforced with basalt fibers: An experimental study. Compos. Sci. Technol. 2024, 251, 110578. [Google Scholar] [CrossRef]
  13. Wang, Y.; Wang, X.; Wu, D. Mechanical and tribological enhancement of polyoxymethylene-based composites with long basalt fiber through melt pultrusion. Compos. Interfaces 2016, 23, 743–761. [Google Scholar] [CrossRef]
  14. Danilova, S.N.; Oхлoпкoва, A.A.; Okoneshnikova, A.V. Development of composite materials based on UHMWPE using carbon and basalt fibers. Prir. Resur. Arktiki Subarktiki 2024, 29, 661–674. [Google Scholar] [CrossRef]
  15. Birleanu, C.; Paul, B.; Udroiu, R.; Cioaza, M.; Pustan, M. Impact of CuSn10 Powder on Mechanical Properties and Tribological Performance of Novel Basalt Fiber-Reinforced Hybrid Composites. Polymers 2025, 17, 1161. [Google Scholar] [CrossRef]
  16. Zhang, T.; Liu, H.; Zhang, D.; Chen, K. Mechanical and wear properties of polyetheretherketone composites filled with basalt fibres. Sci. Eng. Compos. Mater. 2019, 26, 317–326. [Google Scholar] [CrossRef]
  17. Gálvez Villarino, P.; Abenojar Buendía, J.; Martínez Casanova, M.Á. Effect of moisture and temperature on the thermal and mechanical properties of a ductile epoxy adhesive for use in steel structures reinforced with CFRP. Compos. Part B Eng. 2019, 176, 107194. [Google Scholar] [CrossRef]
  18. Liu, C.; Long, C.; Chen, L.; Liu, J.; Cao, T.; Zhang, J. Mechanical and Tribological Properties of Short Basalt Fiber-reinforced Polyoxymethylene Composites. Polymer 2016, 40, 836–845. [Google Scholar] [CrossRef]
  19. Gupta, S.P.; Chaudhary, V.K. Tribology Properties of Fiber-Reinforced Polymer Composites; CRC Press: Boca Raton, FL, USA, 2022; pp. 23–34. [Google Scholar] [CrossRef]
  20. Wydra, M.; Dolny, P.; Sadowski, G.; Grochowska, N.; Turkowski, P.; Fangrat, J. Analysis of Thermal and Mechanical Parameters of the BFRP Bars. Mater. Proc. 2023, 13, 24. [Google Scholar] [CrossRef]
  21. ASTM D3039/D3039M-17; Standard Test Method for Tensile Properties of Polymer Matrix Composite Materials. ASTM International: West Conshohocken, PA, USA, 2017.
  22. ASTM D7264/D7264M-15; Standard Test Method for Flexural Properties of Polymer Matrix Composite Materials. ASTM International: West Conshohocken, PA, USA, 2015.
  23. ASTM A295/A295M-14; Standard Specification for High-Carbon Anti-Friction Bearing Steel. ASTM International: West Conshohocken, PA, USA, 2014. Available online: https://store.astm.org/standards/a295 (accessed on 30 April 2025).
  24. ASTM G99-23; (Test Method) Standard Test Method for Wear and Friction Testing with a Pin-on-Disk or Ball-on-Disk Apparatus. ASTM International: West Conshohocken, PA, USA, 2023. Available online: https://cdn.standards.iteh.ai/samples/116624/7e29d523d6214ee798e8a874c5df688b/ASTM-G99-23.pdf (accessed on 30 April 2025).
  25. Veeman, D.; Katiyar, J.K.; Ruggiero, A. Tribo-mechanical performance of brake composite material: A comprehensive review. Tribol. Mater. Surf. Interfaces 2023, 17, 271–294. [Google Scholar] [CrossRef]
  26. Udroiu, R. Quality Analysis of Micro-Holes Made by Polymer Jetting Additive Manufacturing. Polymers 2023, 16, 32. [Google Scholar] [CrossRef] [PubMed]
Figure 1. The variation in tensile strength and elastic modulus observed in the BFRP specimens with 70%, 65%, and 50% fiber contents.
Figure 1. The variation in tensile strength and elastic modulus observed in the BFRP specimens with 70%, 65%, and 50% fiber contents.
Technologies 13 00249 g001
Figure 2. The variation in flexural strength and elastic modulus observed in the BFRP specimens with 70%, 65%, and 50% fiber contents.
Figure 2. The variation in flexural strength and elastic modulus observed in the BFRP specimens with 70%, 65%, and 50% fiber contents.
Technologies 13 00249 g002
Figure 3. Coefficient of friction evolution for the BFRP 50% composite against 52100 steel, under a 20 N normal load and varying sliding speed, over 120 min.
Figure 3. Coefficient of friction evolution for the BFRP 50% composite against 52100 steel, under a 20 N normal load and varying sliding speed, over 120 min.
Technologies 13 00249 g003
Figure 4. Coefficient of friction evolution for the BFRP 65% composite against 52100 steel, under a 20 N normal load and varying sliding speed, over 120 min.
Figure 4. Coefficient of friction evolution for the BFRP 65% composite against 52100 steel, under a 20 N normal load and varying sliding speed, over 120 min.
Technologies 13 00249 g004
Figure 5. Coefficient of friction evolution for the BFRP 70% composite against 52100 steel, under a 20 N normal load and varying sliding speed, over 120 min.
Figure 5. Coefficient of friction evolution for the BFRP 70% composite against 52100 steel, under a 20 N normal load and varying sliding speed, over 120 min.
Technologies 13 00249 g005
Figure 6. SEM images of the wear tracks on BFRP samples after 120 min of dry sliding against a 52100 steel ball, under a 30 N normal load and a sliding speed of 0.25 m/s. Overview and detailed view of the wear track for: (a,b) BFRP 50%; (c,d) BFRP 65%; and (e,f) BFRP 70%.
Figure 6. SEM images of the wear tracks on BFRP samples after 120 min of dry sliding against a 52100 steel ball, under a 30 N normal load and a sliding speed of 0.25 m/s. Overview and detailed view of the wear track for: (a,b) BFRP 50%; (c,d) BFRP 65%; and (e,f) BFRP 70%.
Technologies 13 00249 g006
Figure 7. Wear marks on (a) the BFRP disk and (b) the 52100 steel ball.
Figure 7. Wear marks on (a) the BFRP disk and (b) the 52100 steel ball.
Technologies 13 00249 g007
Figure 8. Worn surface morphology of the BFRP 50% specimen after dry sliding test conducted under a 20 N load, 0.1 m/s sliding speed, and 120-min duration.
Figure 8. Worn surface morphology of the BFRP 50% specimen after dry sliding test conducted under a 20 N load, 0.1 m/s sliding speed, and 120-min duration.
Technologies 13 00249 g008
Figure 9. Wear surface profile curve of the BFRP 50% disc after dry sliding test conducted under a 20 N load, 0.1 m/s sliding speed, and 120-min duration.
Figure 9. Wear surface profile curve of the BFRP 50% disc after dry sliding test conducted under a 20 N load, 0.1 m/s sliding speed, and 120-min duration.
Technologies 13 00249 g009
Figure 10. Main effects plots for: (a) coefficient of friction; (b) specific wear rate; (c) temperature.
Figure 10. Main effects plots for: (a) coefficient of friction; (b) specific wear rate; (c) temperature.
Technologies 13 00249 g010
Figure 11. Interaction effects plots for: (a) coefficient of friction; (b) specific wear rate; (c) temperature.
Figure 11. Interaction effects plots for: (a) coefficient of friction; (b) specific wear rate; (c) temperature.
Technologies 13 00249 g011
Figure 12. Interval plots of COF factor versus: (a) wf; (b) F; (c) v. Individual standard deviations were used to calculate the interval plot. Bars are standard errors of the mean.
Figure 12. Interval plots of COF factor versus: (a) wf; (b) F; (c) v. Individual standard deviations were used to calculate the interval plot. Bars are standard errors of the mean.
Technologies 13 00249 g012
Figure 13. Interval plots of specific wear rate (K) factor versus: (a) wf; (b) F; (c) v. Individual standard deviations were used to calculate the interval plot. Bars are standard errors of the mean.
Figure 13. Interval plots of specific wear rate (K) factor versus: (a) wf; (b) F; (c) v. Individual standard deviations were used to calculate the interval plot. Bars are standard errors of the mean.
Technologies 13 00249 g013
Figure 14. Interval plots of temperature (T) factor versus: (a) wf; (b) F; (c) v. Individual standard deviations were used to calculate the interval plot. Bars are standard errors of the mean.
Figure 14. Interval plots of temperature (T) factor versus: (a) wf; (b) F; (c) v. Individual standard deviations were used to calculate the interval plot. Bars are standard errors of the mean.
Technologies 13 00249 g014
Figure 15. Normal probability plot of residuals for COF.
Figure 15. Normal probability plot of residuals for COF.
Technologies 13 00249 g015
Figure 16. Surface plot of COF factor versus: (a) wf and F; (b) wf and v; (c) F and v.
Figure 16. Surface plot of COF factor versus: (a) wf and F; (b) wf and v; (c) F and v.
Technologies 13 00249 g016
Figure 17. Surface plot of specific wear rate (K) factor versus: (a) wf and F; (b) wf and v; (c) F and v.
Figure 17. Surface plot of specific wear rate (K) factor versus: (a) wf and F; (b) wf and v; (c) F and v.
Technologies 13 00249 g017
Figure 18. Surface plot of temperature (T) factor versus: (a) wf and F; (b) wf and v; (c) F and v.
Figure 18. Surface plot of temperature (T) factor versus: (a) wf and F; (b) wf and v; (c) F and v.
Technologies 13 00249 g018
Table 1. Control factors and levels.
Table 1. Control factors and levels.
FactorSymbolLevel 1Level 2Level 3
Fiber weight fraction (%)wf506570
Load (N)F102030
Sliding speed (m/s)v0.10.250.36
Table 2. Tensile properties of BFRP composites.
Table 2. Tensile properties of BFRP composites.
SpecimenTensile Strength (MPa)/
SD (MPa)/CV(%)
Strain at Max Load (%)/
SD (%)/CV(%)
Elastic Modulus E (GPa)/
SD(MPa)/CV(%)
BFRP 70%453.4/(26.7)/1.572.87/(0.1)/3.417,998/(634)/3.52
BFRP 65%393/(14.5)/3.622.49/(0.1)/4.218,737(648)/3.46
BFRP 50%329.2/(29.3)/8.891.84/(0.05)/2.720,840/(2240) 10.73
Note: SD—standard deviation; CV—coefficient of variation of the results.
Table 3. Flexure properties of BFRP composites.
Table 3. Flexure properties of BFRP composites.
SpecimenFlexure Strength (MPa)/
SD (MPa)/CV(%)
Strain at Max Load (%)/
SD (%)/CV(%)
Elastic Modulus E (GPa)/
SD(MPa)/CV(%)
BFRP 70%398/(8.99)/2.252.69/(0.19)/7.0617,679.10/(763.8)/4.32
BFRP 65%369.68/(21.6)/5.842.74/(0.4)/10.5918,592.95/(514.8)/2.76
BFRP 50%284.31/(26.81)/9.422.22/(0.16)/7.2020,200.23/(2410)/9.89
Note: SD—standard deviation; CV—coefficient of variation of the results.
Table 4. Summary of experimental results of dry sliding wear.
Table 4. Summary of experimental results of dry sliding wear.
Experimental ParametersOptimizing Parameters
Exp.nr.Applied Load F [N]Sliding Speed
v [m/s]
Basalt Fiber wf [%]Specific Wear Rate K
[10−5 mm3 × (Nm)−1]/CV(%)
Coefficient of Friction (COF) Average of the Last 60 MinTemperature Average of the Last 60 Min [°C]
1100.1503.247/8.850.3630.9
2100.1656.9068/7.030.4233.1
3100.1704.0821/6.800.4149.5
4100.25502.695/4.890.3132.4
5100.25658.4683/14.910.4336.5
6100.25708.7259/7.5570.4037.4
7100.365016.022/6.230.2836.9
8100.366515.4837/5.890.4339.2
9100.367014.508/10.580.3838.5
10200.1507.651/12.320.4027
11200.1656.9069/7.040.4233.1
12200.1706.06612/9.890.3230.1
13200.25505.8449/9.230.3438.0
14200.25659.3449/4.120.4439.50
15200.25707.2594/5.810.4038.0
16200.365019.09/7.560.3649.2
17200.366516.611/6.690.4553.2
18200.367017.102/10.950.4144.6
19300.1508.693/9.920.4242.8
20300.1657.6971/7.590.4135.3
21300.1708.0373/10.690.4131.3
22300.25509.2219/6.590.4058.6
23300.256514.7164/8.080.4349.50
24300.257010.3539/4.650.4244.1
25300.365023.293/9.680.3865.0
26300.366518.207/12.490.5057.50
27300.367017.7873/1.720.4751.80
Table 5. Summary of the statistical results for coefficient of friction, specific wear rate, and temperature.
Table 5. Summary of the statistical results for coefficient of friction, specific wear rate, and temperature.
COF K T
SourceF-Valuep-ValuePC [%]F-Valuep-ValuePC [%]F-Valuep-ValuePC [%]
wf28.98042.782.480.1451.292.440.1491.23
F11.70.00417.2819.540.00110.1253.18<0.00126.74
v0.670.5361149.97<0.00177.6965.2<0.00132.79
wf-F3.210.0759.491.720.2381.7815.690.00115.78
wf-v5.390.02115.915.320.0225.513.620.0583.64
F-v2.590.1187.641.480.2941.5417.71<0.00117.81
Error 5.91 2.07 2.01
Total 100 100 100
Disclaimer/Publisher’s Note: The statements, opinions and data contained in all publications are solely those of the individual author(s) and contributor(s) and not of MDPI and/or the editor(s). MDPI and/or the editor(s) disclaim responsibility for any injury to people or property resulting from any ideas, methods, instructions or products referred to in the content.

Share and Cite

MDPI and ACS Style

Birleanu, C.; Udroiu, R.; Cioaza, M.; Bere, P.; Pustan, M. Tribomechanical Analysis and Performance Optimization of Sustainable Basalt Fiber Polymer Composites for Engineering Applications. Technologies 2025, 13, 249. https://doi.org/10.3390/technologies13060249

AMA Style

Birleanu C, Udroiu R, Cioaza M, Bere P, Pustan M. Tribomechanical Analysis and Performance Optimization of Sustainable Basalt Fiber Polymer Composites for Engineering Applications. Technologies. 2025; 13(6):249. https://doi.org/10.3390/technologies13060249

Chicago/Turabian Style

Birleanu, Corina, Razvan Udroiu, Mircea Cioaza, Paul Bere, and Marius Pustan. 2025. "Tribomechanical Analysis and Performance Optimization of Sustainable Basalt Fiber Polymer Composites for Engineering Applications" Technologies 13, no. 6: 249. https://doi.org/10.3390/technologies13060249

APA Style

Birleanu, C., Udroiu, R., Cioaza, M., Bere, P., & Pustan, M. (2025). Tribomechanical Analysis and Performance Optimization of Sustainable Basalt Fiber Polymer Composites for Engineering Applications. Technologies, 13(6), 249. https://doi.org/10.3390/technologies13060249

Note that from the first issue of 2016, this journal uses article numbers instead of page numbers. See further details here.

Article Metrics

Back to TopTop