Next Issue
Volume 14, March
Previous Issue
Volume 14, January
 
 

Systems, Volume 14, Issue 2 (February 2026) – 109 articles

Cover Story (view full-size image): This paper presents a decision support system that audits resilience in critical logistics networks using a Eurocode-style reliability logic. The method defines logistics limit states and evaluates whether an existing network configuration meets declared reliability thresholds under multi-hazard scenarios. Using a fault-tree structure, this paper reports annual exceedance probabilities, a norm-referenced reliability margin, and node risk importance to support transparent benchmarking and the prioritization of interventions. Case studies reveal a non-monotonic effect of hub density where risk can shift between gateways and inland integrators, highlighting a narrow range of configurations where reliability is highest and where resilience measures are most effective. View this paper
  • Issues are regarded as officially published after their release is announced to the table of contents alert mailing list.
  • You may sign up for e-mail alerts to receive table of contents of newly released issues.
  • PDF is the official format for papers published in both, html and pdf forms. To view the papers in pdf format, click on the "PDF Full-text" link, and use the free Adobe Reader to open them.
Order results
Result details
Section
Select all
Export citation of selected articles as:
26 pages, 3523 KB  
Article
A Copula-Based Joint Modeling Framework for Hospitalization Costs and Length of Stay in Massive Healthcare Data
by Xuan Xu and Yijun Wang
Systems 2026, 14(2), 226; https://doi.org/10.3390/systems14020226 - 23 Feb 2026
Viewed by 373
Abstract
In large-scale medical data, the connection between hospital length of stay and medical expenses shows a complex and nonlinear relationship instead of a straightforward positive link. This study proposes a Cox–Log-Logistic–Copula joint modeling framework to describe the marginal distributions and latent dependence between [...] Read more.
In large-scale medical data, the connection between hospital length of stay and medical expenses shows a complex and nonlinear relationship instead of a straightforward positive link. This study proposes a Cox–Log-Logistic–Copula joint modeling framework to describe the marginal distributions and latent dependence between the two variables. Specifically, a semi-parametric Cox proportional hazards model is used for hospitalization duration, while a Log-Logistic model handles medical costs. The two margins are flexibly coupled through a Copula function to capture dynamic variations in cost levels during different hospitalization stages. To address computational challenges in large datasets, this study also includes subsample correction and one-step adjustment algorithms, combined with parallel computing strategies, to enhance estimation efficiency and accuracy. Empirical results show that the length of hospital stays and medical costs are not always positively related. In some cases, higher medical expenses occur during shorter stays, suggesting possible over-treatment or uneven resource distribution. The proposed framework proves to have strong explanatory power in identifying nonlinear patterns in healthcare behavior and offers a new quantitative tool for optimizing medical resource allocation and controlling costs. Full article
Show Figures

Figure 1

26 pages, 4461 KB  
Article
A Spatiotemporal Feature-Driven Deep Learning Framework for Fine-Grained Tugboat Operation Recognition
by Xiang Jia, Hongxiang Feng, Manel Grifoll and Qin Lin
Systems 2026, 14(2), 225; https://doi.org/10.3390/systems14020225 - 23 Feb 2026
Viewed by 422
Abstract
Accurate perception of tugboat operational status is essential for optimising port scheduling efficiency and ensuring operational safety. However, existing AIS-based methods often struggle to capture the fine-grained and asymmetric manoeuvring characteristics of tugboats, particularly in distinguishing assisted berthing from unberthing operations. To address [...] Read more.
Accurate perception of tugboat operational status is essential for optimising port scheduling efficiency and ensuring operational safety. However, existing AIS-based methods often struggle to capture the fine-grained and asymmetric manoeuvring characteristics of tugboats, particularly in distinguishing assisted berthing from unberthing operations. To address these limitations, this study proposes a hybrid recognition framework integrating multidimensional feature engineering with spatiotemporal dynamics. First, a speed-threshold-based sliding window algorithm segments trajectories into sailing and berthing states. Second, a 15-dimensional feature vector—comprising statistical and descriptive features from speed, heading, and trajectory morphology—is constructed to characterise tugboat behaviour. Notably, morpho-logical descriptors such as the ‘Overlap Ratio’ serve as implicit spatial proxies, capturing geographical constraints without reliance on Electronic Navigational Charts. A three-layer fully connected neural network (FCNN) is then developed to classify segments into “Cruising” and “Assisting in Berthing/Unberthing.” Finally, a speed-dynamics rule further distinguishes berthing from unberthing based on opposing temporal evolution patterns. Experiments on real AIS data from Ningbo–Zhoushan Port demonstrate that the model achieves an F1-score of 0.90 and a recall of 0.93 for assistance-related operations. Permutation importance analysis confirms that integrating kinematic and morphological features enables interpretable and precise intent inference. This study offers a high-precision, low-dependency solution for tugboat operation identification, supporting intelligent port surveillance and sustainable maritime management. Full article
Show Figures

Figure 1

24 pages, 384 KB  
Article
Access to Care in a Capacity-Constrained System: Do Coverage Expansions Improve Health Outcomes? Evidence from U.S. States, 2006–2023
by Bedassa Tadesse and Iftu Dorose
Systems 2026, 14(2), 224; https://doi.org/10.3390/systems14020224 - 22 Feb 2026
Viewed by 473
Abstract
Coverage expansions and affordability reforms often presume that improved access to care yields better population health. We examine this premise in a capacity-constrained healthcare system, where congestion and throughput determine whether potential access translates into realized care. Using U.S. state-year panel data from [...] Read more.
Coverage expansions and affordability reforms often presume that improved access to care yields better population health. We examine this premise in a capacity-constrained healthcare system, where congestion and throughput determine whether potential access translates into realized care. Using U.S. state-year panel data from 2006 to 2023, we study (i) how healthcare workforce density relates to multiple access margins and (ii) whether the mortality effects of access improvements depend on local delivery capacity. Reduced-form estimates show that higher workforce density is associated with higher insurance coverage and fewer cost-related barriers to care, while associations with having a usual source of care are weaker. With full controls these relationships attenuate, and Medicaid expansion and poverty explain much of the remaining variation. Instrumental variable models suggest that policy-driven improvements in effective access are associated with lower mortality, although the first-stage strength varies across specifications. Interaction-IV estimates indicate capacity dependence: for all-cause and external-cause mortality, implied benefits are larger in lower-capacity settings and diminish as workforce density increases; for endocrine mortality, benefits are concentrated in higher-capacity settings, while respiratory effects are not detectable. Overall, the results support a systems perspective in which the health returns to access expansions depend on local delivery capacity, underscoring the importance of aligning access reforms with constraints in healthcare production and flow. Full article
32 pages, 9123 KB  
Article
AI-Based Classification of IT Support Requests in Enterprise Service Management Systems
by Audrius Razma and Robertas Jurkus
Systems 2026, 14(2), 223; https://doi.org/10.3390/systems14020223 - 21 Feb 2026
Viewed by 1061
Abstract
In modern organizations, IT Service Management (ITSM) relies on the efficient handling of large volumes of unstructured textual data, such as support tickets and incident reports. This study investigates the automated classification of IT support requests as a data-driven decision-support task within a [...] Read more.
In modern organizations, IT Service Management (ITSM) relies on the efficient handling of large volumes of unstructured textual data, such as support tickets and incident reports. This study investigates the automated classification of IT support requests as a data-driven decision-support task within a real-world enterprise ITSM context, addressing challenges posed by multilingual content and severe class imbalance. We propose an applied machine-learning and natural language processing (NLP) pipeline combining text cleaning, stratified data splitting, and supervised model training under realistic evaluation conditions. Multiple classification models were evaluated on historical enterprise ticket data, including a Logistic Regression baseline and transformer-based architectures (multilingual BERT and XLM-RoBERTa). Model validation distinguishes between deployment-oriented evaluation on naturally imbalanced data and diagnostic analysis using training-time class balancing to examine minority-class behavior. Results indicate that Logistic Regression performs reliably for high-frequency, well-defined request categories, while transformer-based models achieve consistently higher macro-averaged F1-scores and improved recognition of semantically complex and underrepresented classes. Training-time oversampling increases sensitivity to minority request types without improving overall accuracy on unbalanced test data, highlighting the importance of metric selection in ITSM evaluation. The findings provide an applied empirical comparison of established text-classification models in ITSM, incorporating both predictive performance and computational efficiency considerations, and offer practical guidance for supporting IT support agents during ticket triage and automated request classification. Full article
(This article belongs to the Section Artificial Intelligence and Digital Systems Engineering)
Show Figures

Figure 1

25 pages, 466 KB  
Article
Effects of Simulation-Based Science Instruction on Fifth-Grade Students’ Systems Thinking and Problem-Solving Perceptions
by Ümmühan Ormancı
Systems 2026, 14(2), 222; https://doi.org/10.3390/systems14020222 - 20 Feb 2026
Cited by 1 | Viewed by 737
Abstract
The growing emphasis on 21st-century competencies highlights the need to develop students’ systems thinking and problem-solving, particularly in science education, where many concepts involve complex, dynamic relationships. This study examined differences in fifth-grade students’ systems thinking performance and problem-solving perceptions associated with simulation-supported [...] Read more.
The growing emphasis on 21st-century competencies highlights the need to develop students’ systems thinking and problem-solving, particularly in science education, where many concepts involve complex, dynamic relationships. This study examined differences in fifth-grade students’ systems thinking performance and problem-solving perceptions associated with simulation-supported science instruction within the unit Electricity in Our Lives. A quasi-experimental pretest–posttest design was used with two intact classes, in which the experimental group received PhET-supported instruction and a control group followed the national curriculum. Data were collected through a systems thinking test (multiple-choice and open-ended items) and a problem-solving perception scale. The results showed that, after adjusting for baseline scores, the simulation-supported group demonstrated higher posttest systems thinking scores than the control group, with a large effect size. For problem-solving perceptions, the simulation-supported group also showed higher posttest scores compared to the control group. In addition, a moderate positive correlation was observed between systems thinking performance and problem-solving perceptions. Although causal inferences are limited due to the use of two intact classes and the absence of individual-level random assignment, the findings suggest that interactive simulations may support students’ holistic reasoning and engagement in problem-solving processes. The study highlights the potential value of integrating interactive simulations into science curricula to promote deeper cognitive competencies. Full article
(This article belongs to the Special Issue Systems Thinking in Education: Learning, Design and Technology)
Show Figures

Figure 1

20 pages, 698 KB  
Article
Systems Analysis of Innovation and Entrepreneurship Competence Structure Among Chinese University Students: Evidence from Policy Texts
by Xiaojing Sheng and Zhanjun Wang
Systems 2026, 14(2), 221; https://doi.org/10.3390/systems14020221 - 20 Feb 2026
Viewed by 722
Abstract
This study investigates the structure of innovation and entrepreneurship competence among university students in China. Based on an analysis of 33 policy texts on innovation and entrepreneurship education from 2010 to 2022, it constructs a structural model of university students’ innovation and entrepreneurship [...] Read more.
This study investigates the structure of innovation and entrepreneurship competence among university students in China. Based on an analysis of 33 policy texts on innovation and entrepreneurship education from 2010 to 2022, it constructs a structural model of university students’ innovation and entrepreneurship competence comprising the knowledge layer, ability layer, and literacy layer by employing the Onion Model. From the perspective of policy instruments, a two-dimensional competence–policy instrument analytical framework is established. The analysis reveals that the articulation of university students’ innovation and entrepreneurship competence in policy texts exhibits distinct stage-wise evolutionary characteristics. Furthermore, the current policy support system suffers from three structural imbalances: an over-reliance on supply-side policy instruments, with insufficient synergy from environmental and demand-side instruments; weak support from environmental and demand-side instruments for certain key competencies; and an emphasis on explicit knowledge over implicit literacy in the cultivation logic. Consequently, this study proposes a shift in the policy paradigm from factor input to system generation. Recommendations include optimizing the mix of policy instruments, improving the precision of interventions by environmental and demand-side instruments targeting key competencies, and reconstructing the cultivation system based on the different generative logics of explicit and implicit competence. Full article
(This article belongs to the Section Systems Practice in Social Science)
Show Figures

Figure 1

34 pages, 4258 KB  
Article
Rethinking Governance in Transboundary Serial World Heritage Sites: Multi-Level Coordination, Institutional Diversity, and Cultural Diplomacy
by Basak Siklar, Yasemin Akcakaya, Hicran Hanım Halaç and Fikret Bademci
Systems 2026, 14(2), 220; https://doi.org/10.3390/systems14020220 - 20 Feb 2026
Viewed by 824
Abstract
While governance theories are well-established, their operational application to transboundary serial cultural heritage remains minimally explored, particularly regarding comparative methodologies for evaluating cooperation maturity. This study addresses this gap by investigating the relationships among institutional models, cooperation mechanisms, and management maturity levels across [...] Read more.
While governance theories are well-established, their operational application to transboundary serial cultural heritage remains minimally explored, particularly regarding comparative methodologies for evaluating cooperation maturity. This study addresses this gap by investigating the relationships among institutional models, cooperation mechanisms, and management maturity levels across different countries. The research utilizes a qualitative comparative analysis of the management plans of fifteen transboundary serial cultural heritage sites on the UNESCO World Heritage List. Findings show that governance is not limited to the functioning of legal and administrative structures, but is also shaped by trust among stakeholders, knowledge exchange, and participant processes. Four main governance models were identified: institutionalized multinational networks, federal–modular structures, bilateral–local cooperation, and community-led collaboration. In parallel, the developed Corporate Governance and Maturity Positioning Map reveals that the sites fall along six distinct levels, ranging from basic communication to sustained governance networks. The study argues that the primary factor determining management effectiveness is the intensity of interaction and continuity of coordination rather than institutional capacity. Overall, the findings suggest that cultural heritage governance should be understood as a multi-layered, learning-based, and diplomatic process. Full article
(This article belongs to the Special Issue Governance of System of Systems (SoS))
Show Figures

Figure 1

29 pages, 1487 KB  
Article
High-Speed Rail Network and the Spatial Evolution of Regional Industries: Evidence from New Industry Entry
by Mingzhen Li, Hongchang Li, Huaixiang Wang and Xujuan Kuang
Systems 2026, 14(2), 219; https://doi.org/10.3390/systems14020219 - 20 Feb 2026
Viewed by 534
Abstract
Although numerous studies have examined the impact of high-speed rail (HSR) on regional economic development, few have explored this relationship from a network perspective—a research gap this paper seeks to fill. Specifically, this paper aims to clarify the theoretical mechanism through which the [...] Read more.
Although numerous studies have examined the impact of high-speed rail (HSR) on regional economic development, few have explored this relationship from a network perspective—a research gap this paper seeks to fill. Specifically, this paper aims to clarify the theoretical mechanism through which the HSR network affects the spatial evolution of regional industries, focusing on the new industry entry. We improve the local spread model by incorporating the HSR network as a key component and perform empirical analyses using the Spatial Durbin Model (SDM) and spatial mediation effect model, drawing on data from Chinese A-share-listed companies. The findings indicate that China’s regional industries underwent spatial evolution characterized by “diffusive agglomeration”. In terms of direct effects, connectivity ranks as the most influential HSR network indicator; however, when both direct and spillover effects are taken into account, accessibility becomes the primary factor, underscoring its vital role in reshaping the spatial distribution of industries. Additionally, the HSR network exerts a slightly stronger impact on industrial spatial diffusion (fueled by knowledge spillovers) than on industrial agglomeration (driven by market size), and its attraction to new industry entry is notably greater in peripheral regions than in core regions. These results demonstrate that HSR, characterized by “transporting people rather than goods”, mainly facilitates the exchange of knowledge, technology and information instead of reducing freight costs, offering valuable insights for optimizing regional industrial layouts. Full article
(This article belongs to the Section Complex Systems and Cybernetics)
Show Figures

Figure 1

18 pages, 674 KB  
Article
Digital Economy Development and Ecological Efficiency: Analysis from a Regional Economic System Perspective
by Guoyao Yan and Yu Hao
Systems 2026, 14(2), 218; https://doi.org/10.3390/systems14020218 - 19 Feb 2026
Cited by 1 | Viewed by 621
Abstract
The fast-expanding digital economy is reshaping the resource-allocation system and green-governance system, yet its contribution to ecological efficiency within the regional economic system remains insufficiently quantified. Using provincial panel data from China over 2011–2023, we establish a fixed-effects specification to examine how digital [...] Read more.
The fast-expanding digital economy is reshaping the resource-allocation system and green-governance system, yet its contribution to ecological efficiency within the regional economic system remains insufficiently quantified. Using provincial panel data from China over 2011–2023, we establish a fixed-effects specification to examine how digital economy development affects ecological efficiency and examine potential mechanisms. We find that digital economy development significantly improves ecological efficiency, and this result remains robust across a wide range of alternative specifications and sensitivity tests. The positive effect operates primarily through higher green innovation output and industrial upgrading. The above relationship exhibits a clear threshold with respect to environmental regulation: when regulation is relatively weak, the estimated impact of digital economy on ecological efficiency is statistically indistinguishable from zero, whereas once regulation exceeds the threshold, the positive effect becomes substantially stronger, consistent with complementarity between regulation and digitalization. Moreover, heterogeneity analyses further indicate larger gains in provinces with higher economic development and human capital. Our evidence underscores that aligning digital transformation with appropriately designed regulatory institutions can enhance ecological efficiency and support the innovation and management of a more sustainable and competitive economic system in the digital era. Full article
Show Figures

Figure 1

18 pages, 554 KB  
Article
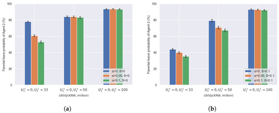
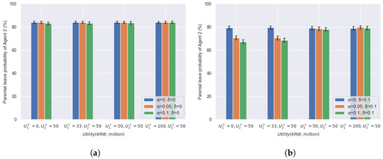
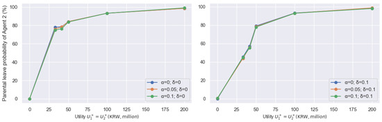
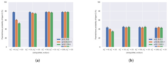
Analyzing Strategic Parental Leave Decisions Using Two-Player Multi-Agent Reinforcement Learning
by Lixue Zhao and Hyun-Rok Lee
Systems 2026, 14(2), 217; https://doi.org/10.3390/systems14020217 - 19 Feb 2026
Viewed by 392
Abstract
Despite the well-documented benefits of paid parental leave, many employees hesitate to take it. This study employs a two-player stochastic game (SG) model to analyze how various factors affect parental leave decisions. The proposed SG model incorporates (1) an employee’s perceived utility from [...] Read more.
Despite the well-documented benefits of paid parental leave, many employees hesitate to take it. This study employs a two-player stochastic game (SG) model to analyze how various factors affect parental leave decisions. The proposed SG model incorporates (1) an employee’s perceived utility from taking leave, (2) the effect of colleague’s parental leave, (3) career penalties after taking leave, and (4) a paid parental policy. To accurately obtain equilibrium strategies, we extend Nash-Q learning by incorporating backward iteration and optimistic initialization. These two methods exploit the structural properties of the model to accelerate convergence and improve solution quality. Numerical experiments reveal that a stronger willingness to take parental leave and lower career penalties increase parental leave uptake. Furthermore, the competitive career penalty, which captures interpersonal factors, is particularly influential when a colleague is less likely to take parental leave. Our results suggest that reducing career penalties can substantially increase leave uptake in typical parameter ranges, highlighting the importance of workplace policies that mitigate career penalties associated with parental leave. Full article
Show Figures

Figure 1

20 pages, 614 KB  
Article
A Systemic Approach to Decision Support and Automation: The Role of Big Data Analytics and Real-Time Processing in Management Information Systems
by Abdullah Önden
Systems 2026, 14(2), 216; https://doi.org/10.3390/systems14020216 - 19 Feb 2026
Cited by 2 | Viewed by 1150
Abstract
Management Information Systems (MIS) are increasingly expected to support real-time, evidence-based decision-making and to automate routine workflows. Nevertheless, many organizations still struggle to transform heterogeneous, high-velocity data into trustworthy decision support and process execution at scale. Adopting a socio-technical systems perspective, this study [...] Read more.
Management Information Systems (MIS) are increasingly expected to support real-time, evidence-based decision-making and to automate routine workflows. Nevertheless, many organizations still struggle to transform heterogeneous, high-velocity data into trustworthy decision support and process execution at scale. Adopting a socio-technical systems perspective, this study explores the interplay between data infrastructure, analytics capabilities, and decision-making processes. We adopted a mixed-methods design, which incorporated (i) a cross-sectional survey of MIS professionals (n = 150) from organizations across three industries (retail, healthcare, and financial services) and (ii) 12 semi-structured stakeholder interviews. The survey data show that the performance outcomes of the organizations reporting a higher level of BDA and maturity in real-time processing are stronger, characterized by self-reported average revenue growth of 12% among retailers, a material decrease in operational costs, and improvements in overall system efficiency. These figures reflect respondents’ estimates rather than audited financial statements. BDA, real-time processing, and data infrastructure readiness were statistically significant predictors in an OLS regression model of perceived organizational performance, explaining a substantial percentage of variance (R2 = 0.72). The insights provided by the interviews explain how these effects were achieved: performance improvements materialized through real-time feedback loops where streaming and batch pipelines were integrated, data-quality controls were embedded in ingestion, and decision outputs were linked to workflow automation. The research contributes a holistic view to the MIS capability framework, linking data infrastructure decisions to the timeliness of decisions and automation preparedness, while contributing to the theoretical refinement of MIS capability frameworks and offering practical guidance for governance and technology selection. Full article
Show Figures

Figure 1

20 pages, 1566 KB  
Article
A Methodological Framework for Chaos-Aware Evaluation of Self-Organization in Swarm-Based Engineering Systems
by Nikitas Gerolimos, Vasileios Alevizos and Georgios Priniotakis
Systems 2026, 14(2), 215; https://doi.org/10.3390/systems14020215 - 18 Feb 2026
Cited by 1 | Viewed by 584
Abstract
In the field of engineered systems, there has been an increasing trend in the utilization of self-organizing and swarm-based methodologies. These methodologies are employed to ensure the maintenance of functionality in the presence of uncertainty. However, prevailing evaluation continues to be dominated by [...] Read more.
In the field of engineered systems, there has been an increasing trend in the utilization of self-organizing and swarm-based methodologies. These methodologies are employed to ensure the maintenance of functionality in the presence of uncertainty. However, prevailing evaluation continues to be dominated by task-level KPIs (e.g., coverage, latency), providing limited insight into organizational quality, specifically stability near critical regimes and recoverability. This paper proposes a methodological framework based on the Chaos-Aware Design Index (CADI), integrated into a Descriptive Study II (DS-II) context. Validation follows a dual-tier strategy: (i) tier I (behavioral), utilizing a behavioral emulator of consensus dynamics; (ii) tier II (urban), employing a macro-scale manifold analysis of 17,692 urban spatial polygons from the nuScenes dataset. Results demonstrate that an ensemble-based surrogate model (Random Forest), trained on a representative manifold curated via Latin Hypercube Sampling (LHS), captures organizational stability with high predictive fidelity (R2 = 0.9136, p < 0.001) under strict scene-independent (GroupKFold) validation. Stability descriptors are grounded in spectral graph theory, leveraging algebraic connectivity (λ2) and morphological proxies (node density, aspect ratio, convexity). The CADI framework serves as an auditable reporting scaffold, proving that swarm coherence is governed by observable geometric manifold dynamics. The findings establish that urban morphology exerts a dominant deterministic influence on collective stability, providing a rigorous foundation for early-stage design decisions in autonomous systems. Full article
(This article belongs to the Special Issue Modeling of Complex Systems and Systems of Systems)
Show Figures

Figure 1

21 pages, 2775 KB  
Article
Assessment of Organisational Innovation: An Analytical Framework for Higher Education Institutions
by María Begoña Peña-Lang and Aurelio Villa
Systems 2026, 14(2), 214; https://doi.org/10.3390/systems14020214 - 18 Feb 2026
Viewed by 422
Abstract
This study analyses the degree of organisational innovation (OI) in Spanish universities and its relationship with institutional competitiveness, proposing a robust analytical framework for its assessment. A mixed, sequential and explanatory design was used, integrating a documentary analysis of R&D indicators, semi-structured interviews [...] Read more.
This study analyses the degree of organisational innovation (OI) in Spanish universities and its relationship with institutional competitiveness, proposing a robust analytical framework for its assessment. A mixed, sequential and explanatory design was used, integrating a documentary analysis of R&D indicators, semi-structured interviews with 15 university managers and the validation of an OI questionnaire applied to 387 engineering students and graduates. Qualitative data were analysed with ATLAS.ti 9 and quantitative data were analysed using confirmatory factor analysis and structural equation modelling (SEM) in AMOS v.27, obtaining satisfactory fit indices (CFI = 0.970; RMSEA = 0.051). The results reveal moderate development of OI (Organisational Innovation), with significant differences between institutions according to their level of digitisation, strategic policies and organisational culture. Creativity emerged as the main predictor of key competencies such as active learning and technological design, while excessive institutional openness had negative effects on self-management. Full article
Show Figures

Figure 1

19 pages, 1244 KB  
Article
Anomaly Detection as a Key Driver of Digital Forensic Resilience: Empirical Evidence from Critical Infrastructure Experts
by Marija Gombar, Darko Možnik and Mirjana Pejić Bach
Systems 2026, 14(2), 213; https://doi.org/10.3390/systems14020213 - 17 Feb 2026
Viewed by 827
Abstract
Ensuring strategic resilience in critical infrastructures supported with a machine learning approach requires moving beyond compliance checklists and post-incident analysis toward proactive, intelligence-based approaches. This study introduces the Forensic Resilience Operational Model (FROM), a systems thinking framework designed to embed forensic intelligence into [...] Read more.
Ensuring strategic resilience in critical infrastructures supported with a machine learning approach requires moving beyond compliance checklists and post-incident analysis toward proactive, intelligence-based approaches. This study introduces the Forensic Resilience Operational Model (FROM), a systems thinking framework designed to embed forensic intelligence into the resilience cycle of complex socio-technical systems. To quantify this integration, the study investigates the determinants of the extent to which four operational pillars (forensic readiness, anomaly detection, governance and privacy safeguards, and structured intelligence integration) affect forensic resilience, using empirical survey data from 212 cybersecurity professionals across critical infrastructure sectors. We deploy Partial Least Squares Structural Equation Modelling (PLS-SEM) to investigate these relationships, and the results confirm that anomaly detection is the strongest contributor to forensic resilience, followed by structured intelligence integration and forensic readiness. Governance safeguards, while comparatively weaker, provide the necessary legitimacy and assurance of compliance. Supported with sector-specific case studies in the maritime, financial, and CERT domains, the findings highlight both the adaptability of the proposed FROM and the operational constraints encountered in real-world contexts. The study contributes to the field of systems-oriented strategic management by demonstrating that, when systematically embedded, forensic intelligence enhances adaptive capacity, supports predictive decision-making, and strengthens resilience in environments characterized by uncertainty and high complexity. Full article
Show Figures

Figure 1

18 pages, 480 KB  
Article
How Does Generative AI Drive Business Models’ Iterative Innovation of Digital Entrepreneurial Enterprises? From the Perspective of Entrepreneurial System Elements
by Xuejiao Xu, Jing Zhang and Kun Zhang
Systems 2026, 14(2), 212; https://doi.org/10.3390/systems14020212 - 17 Feb 2026
Cited by 1 | Viewed by 833
Abstract
The rapid development of generative AI technology has provided new pathways for iterative innovation in the business models of digital entrepreneurial enterprises. Based on the entrepreneurial system elements theory, this study constructs a theoretical model of generative AI-empowered iterative innovation in the business [...] Read more.
The rapid development of generative AI technology has provided new pathways for iterative innovation in the business models of digital entrepreneurial enterprises. Based on the entrepreneurial system elements theory, this study constructs a theoretical model of generative AI-empowered iterative innovation in the business models of digital entrepreneurial enterprises and aims to explore the roles of core entrepreneurial system elements (entrepreneurial opportunities, entrepreneurial resources, entrepreneurial teams) and contingency elements (environmental uncertainty) therein. Through empirical analysis of 279 questionnaires, the results show the following: First, generative AI can effectively drive iterative innovation in the business models of digital entrepreneurial enterprises; second, entrepreneurial opportunity identification, entrepreneurial resource integration, and entrepreneurial team decision-making all play partial mediating roles in the process of generative AI-driven iterative innovation in the business models of digital entrepreneurial enterprises; third, environmental uncertainty positively moderates the process of generative AI-driven iterative innovation in the business models of digital entrepreneurial enterprises. The research findings contribute to enriching and expanding digital entrepreneurship theory and provide practical guidance for digital entrepreneurial enterprises to achieve iterative innovation in their business models. Full article
Show Figures

Figure 1

24 pages, 626 KB  
Article
Asymmetric Pay Adjustment and Green Innovation Resilience: Interactions Among Executive Incentives, Managerial Backgrounds, and Government Subsidies
by Yi Zong and Zhen Tang
Systems 2026, 14(2), 211; https://doi.org/10.3390/systems14020211 - 17 Feb 2026
Viewed by 601
Abstract
In the context of intensifying environmental regulation and sustainability pressures, firms increasingly face the challenge of sustaining green innovation under uncertainty. Green innovation resilience, which is defined as a firm’s capacity to maintain green innovation momentum and adaptively evolve technological capabilities amidst uncertainty, [...] Read more.
In the context of intensifying environmental regulation and sustainability pressures, firms increasingly face the challenge of sustaining green innovation under uncertainty. Green innovation resilience, which is defined as a firm’s capacity to maintain green innovation momentum and adaptively evolve technological capabilities amidst uncertainty, represents a critical organizational competence. Moving beyond static output measures, this resilience captures the intertemporal stability of firms’ green patenting activities during turbulent periods. From a systems perspective, executive compensation arrangements represent an important internal incentive mechanism that interacts with managerial characteristics and external policy environments. This study investigates how executive compensation stickiness—defined as asymmetric pay adjustment in response to firm performance—affects green innovation resilience. Using panel data from Chinese A-share-listed firms, we find that executive compensation stickiness significantly promotes green innovation resilience at the 5% level, suggesting that downward pay rigidity mitigates managerial risk aversion and supports tolerance for short-term setbacks in long-horizon green innovation. Furthermore, this positive relationship is further strengthened when executives possess environmental backgrounds (at the 5% level) and when firms receive government green innovation subsidies (at the 10% level), highlighting the interactive role of individual-level attributes and institutional policy support. Overall, the findings demonstrate how incentive asymmetry functions as a systemic property shaping firms’ adaptive responses and contribute to a broader understanding of green innovation resilience in complex socio-technical systems. Full article
(This article belongs to the Section Systems Practice in Social Science)
Show Figures

Figure 1

30 pages, 1183 KB  
Article
Burnout Risk Management Framework (BRMF) in Project-Based Organizations: Emotional Intelligence Systemic Lever
by Ana Todorova, Irina Kostadinova, Svilena Ruskova and Silvia Beloeva
Systems 2026, 14(2), 210; https://doi.org/10.3390/systems14020210 - 16 Feb 2026
Viewed by 852
Abstract
This paper conceptualises burnout in Project-Based Organisations (PBOs) as a systemic emergent property arising from the non-linear interaction between structural demands and human capital. Utilising a System Dynamics (SD) methodology, the study constructs a Causal Loop Diagram (CLD) to visualise the feedback architecture [...] Read more.
This paper conceptualises burnout in Project-Based Organisations (PBOs) as a systemic emergent property arising from the non-linear interaction between structural demands and human capital. Utilising a System Dynamics (SD) methodology, the study constructs a Causal Loop Diagram (CLD) to visualise the feedback architecture governing the burnout cycle. The analysis identifies the dynamic tension between the Reinforcing Loop of exhaustion (R1) and the Balancing Loop of adaptation (B1). A key theoretical contribution is the positioning of the Project Manager’s Emotional Intelligence (EI) not merely as a soft skill but as a systemic control lever (B2) capable of reducing information delays and shifting the system from reactive to proactive homeostasis. Crucially, the study operationalises these conceptual findings into a Burnout Risk Management Framework (BRMF), accompanied by a practical diagnostic dashboard. This tool offers managers a set of leading and lagging indicators for early detection, bridging the gap between theoretical plausibility and applied risk management in high-entropy project environments. Full article
Show Figures

Figure 1

31 pages, 3050 KB  
Article
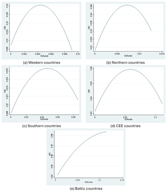
Rethinking Cohesion: When and Where ESI Funds Drive Socio-Economic Change?
by Ana-Cristina Nicolescu, Oana-Ramona Lobonț, Sorana Vătavu, Andrei Pelin and Diana Balan
Systems 2026, 14(2), 209; https://doi.org/10.3390/systems14020209 - 15 Feb 2026
Viewed by 390
Abstract
This study examines the non-linear relationship between European Structural and Investment (ESI) Funds and socio-economic development across EU member states from 2007 to 2020. To accomplish this, the study utilises a novel methodological approach, employing panel threshold regression to analyse the complex interactions [...] Read more.
This study examines the non-linear relationship between European Structural and Investment (ESI) Funds and socio-economic development across EU member states from 2007 to 2020. To accomplish this, the study utilises a novel methodological approach, employing panel threshold regression to analyse the complex interactions between these variables. Using the Human Development Index (HDI) as a comprehensive measure of socio-economic progress, this research goes beyond traditional metrics, such as GDP, to capture a multidimensional view of development. The threshold variable, represented by the ratio of ESI Funds paid to GDP, highlights critical inflexion points where the impact of funding shifts, revealing both positive and negative effects. The study finds that ESI Funds positively impact socio-economic development up to a threshold of 0.7% of GDP, beyond which their effectiveness diminishes, emphasising the need for strategic allocation and management. Additionally, the analysis of control variables identifies a critical threshold range between 2% and 2.3% of GDP, indicating the growing importance of ESI Funds in fostering development within complex socio-economic contexts. This paper contributes to the foundational model of socio-economic development informed by ESI Funds, offering valuable insights for policymakers by emphasising the importance of balancing funding levels with strategic allocation to avoid diminishing returns. Full article
(This article belongs to the Section Systems Practice in Social Science)
Show Figures

Figure 1

41 pages, 3703 KB  
Article
Synergistic Mechanisms of Blockchain Adoption and Government Subsidies in Contract Farming Supply Chain Systems: A Multi-Stage Stackelberg Game Approach
by Hui Xia, Jianxing Zhao, Pei Liu and Yulin Zhang
Systems 2026, 14(2), 208; https://doi.org/10.3390/systems14020208 - 15 Feb 2026
Viewed by 586
Abstract
Blockchain technology can enhance traceability and trust in contract farming supply chains, yet high implementation costs deter adoption by supply chain participants. This study examines the synergistic mechanisms between blockchain adoption strategies and government subsidy policies. We develop a multi-stage Stackelberg game model [...] Read more.
Blockchain technology can enhance traceability and trust in contract farming supply chains, yet high implementation costs deter adoption by supply chain participants. This study examines the synergistic mechanisms between blockchain adoption strategies and government subsidy policies. We develop a multi-stage Stackelberg game model involving an agricultural enterprise, an e-commerce platform, and a government, and comparatively analyze six decision-making scenarios across non-subsidy, unilateral subsidy, and full-chain subsidy settings. Three key findings emerge. First, blockchain investment has a cost–effect threshold below which consumer traceability preferences do not translate into profit gains. Second, well-designed subsidies overcome investment inertia and yield Pareto improvements in both profits and social welfare, with the full-chain subsidy model (Model BG) maximizing social welfare; however, subsidies exhibit distinct efficiency boundaries, and over-subsidization causes resource misallocation. Third, both supply chain parties tend to free-ride on the other’s investment, creating strategic conflicts that necessitate differentiated subsidy mechanisms tailored to specific dominance structures. These findings provide policy guidance for facilitating agricultural digital transformation and enhancing supply chain coordination. Full article
(This article belongs to the Section Supply Chain Management)
Show Figures

Figure 1

24 pages, 1541 KB  
Article
Unlocking Digital Transformation in Industrial Enterprises: Evidence from Technology Finance
by Xiaolong Zhou, Xiumei Sun and Hui Zhang
Systems 2026, 14(2), 207; https://doi.org/10.3390/systems14020207 - 15 Feb 2026
Viewed by 569
Abstract
In the process of the accelerated evolution of the modern economic system, technology finance is constantly injecting momentum into the digital transformation of industrial enterprises. Using the panel data of Chinese industrial firms listed between 2013 and 2022, this paper examines the impact [...] Read more.
In the process of the accelerated evolution of the modern economic system, technology finance is constantly injecting momentum into the digital transformation of industrial enterprises. Using the panel data of Chinese industrial firms listed between 2013 and 2022, this paper examines the impact of technology finance on digital transformation and analyzes the mechanism of their influence. The empirical result shows that technology finance drives digital transformation by reducing corporate equity concentration, enhancing risk-bearing capacity, and reducing internal management costs. Among these factors, equity concentration has the most significant mediating effect, while the role of financing constraints is relatively limited, mainly manifesting as basic support conditions. Commercial credit can promote the enabling effect of technology finance to accelerate the digital transformation of industrial enterprises. In addition, the empowering effect of technology finance is more pronounced in the eastern coastal and central regions, as well as in pilot areas that combine technology and finance. Nonstate-owned enterprises, small and medium-sized enterprises and labor-intensive enterprises all benefit more from technology financing than their counterparts do. These findings have important implications for accelerating the digital transformation of industrial enterprises and promoting the development of technology finance services. Full article
(This article belongs to the Section Systems Practice in Social Science)
Show Figures

Figure 1

30 pages, 21507 KB  
Article
A Robotic Eye Gaze Mirroring System for Human–Robot Interaction: Evaluating Response Time Across Proxemic Distances
by Jun Wei Mok, Prabakaran Veerajagadheswar and Mohan Rajesh Elara
Systems 2026, 14(2), 206; https://doi.org/10.3390/systems14020206 - 15 Feb 2026
Viewed by 651
Abstract
Robots are increasingly becoming part of everyday social environments. Among the different types of communication cues, eye gaze in the context of human–robot interactions (HRIs) fosters connection and engagement. Although gaze behavior has been extensively studied, most existing research assumes a fixed interaction [...] Read more.
Robots are increasingly becoming part of everyday social environments. Among the different types of communication cues, eye gaze in the context of human–robot interactions (HRIs) fosters connection and engagement. Although gaze behavior has been extensively studied, most existing research assumes a fixed interaction distance and often does not account for variations in proxemic distance that influence the perceptions of gaze. While prior studies have developed robotic eye gaze systems capable of producing natural gaze behaviors, these systems are usually evaluated at fixed interaction distances. Comparatively, less attention has been given to measuring the impact of proxemic distance on gaze mirroring. This study introduces a gaze mirroring system that integrates 3D robotic eyes with a mobile robot to track human gaze across various proxemic distances. This paper presents the system’s mechanical design and implementation, as well as the evaluation of its tracking performance. Experiments on the system were conducted across Hall’s proxemic zones, intimate, personal, and social, under static, teleoperated, and integrated movement conditions. The results demonstrate that the proposed system achieves highly efficient tracking with response times that fall within established thresholds for natural gaze timing in human–robot interaction. Full article
(This article belongs to the Section Artificial Intelligence and Digital Systems Engineering)
Show Figures

Figure 1

14 pages, 1630 KB  
Article
An Edge AI System Framework Based on the Asset Administration Shell Standard
by Minjong Shin and Jae-Yoon Jung
Systems 2026, 14(2), 205; https://doi.org/10.3390/systems14020205 - 15 Feb 2026
Viewed by 919
Abstract
The manufacturing industry is rapidly moving toward Artificial Intelligence (AI)-driven autonomous manufacturing, which requires distributed Edge AI architectures in which intelligent devices collaborate in real time. However, the practical deployment of Edge AI is hindered by the lack of standardized, asset-centric integration across [...] Read more.
The manufacturing industry is rapidly moving toward Artificial Intelligence (AI)-driven autonomous manufacturing, which requires distributed Edge AI architectures in which intelligent devices collaborate in real time. However, the practical deployment of Edge AI is hindered by the lack of standardized, asset-centric integration across heterogeneous devices. This study presents an Asset Administration Shell (AAS)-based Edge AI framework that enables interoperable and coordinated operation among Edge devices through standardized digital asset representations and OPC UA-based communication. In the proposed framework, each Edge device is represented as an AAS-compliant digital assets, enabling both direct inter-edge coordination and centralized asset management. To demonstrate the feasibility of the framework, a functional prototype was implemented consisting of a Raspberry Pi-based Vision Inspector, an autonomous mobile robot (AMR), and an AAS-based monitoring server. Vision-based fault detection is performed directly at the Edge and transmitted in real time to the AMR and the AAS Server, enabling event-driven autonomous response and system-level monitoring. Experimental results show that real-time fault detection and response can be achieved on resource-constrained edge devices while maintaining standardized, asset-level information exchange and interoperability across heterogeneous assets. These results indicate that the AAS-based Edge AI framework provides a practical and scalable foundation for asset-centric autonomous manufacturing systems requiring both real-time operational intelligence and systematic asset management. Full article
(This article belongs to the Special Issue Digital Engineering Strategies of Smart Production Systems)
Show Figures

Figure 1

24 pages, 2466 KB  
Article
A Real-Time Early Warning Framework for Multi-Dimensional Driving Risk of Heavy-Duty Trucks Using Trajectory Data
by Qiang Luo, Xi Lu, Zhengjie Zang, Huawei Gong, Xiangyan Guo and Xinqiang Chen
Systems 2026, 14(2), 204; https://doi.org/10.3390/systems14020204 - 14 Feb 2026
Cited by 7 | Viewed by 590
Abstract
Frequent accidents involving heavy trucks and the inadequacy of existing dynamic monitoring technologies pose significant challenges to accurate early warning risk and safety management. To address these issues, this study proposes a multi-dimensional risk measurement and real-time early warning method for heavy truck [...] Read more.
Frequent accidents involving heavy trucks and the inadequacy of existing dynamic monitoring technologies pose significant challenges to accurate early warning risk and safety management. To address these issues, this study proposes a multi-dimensional risk measurement and real-time early warning method for heavy truck driving behavior based on trajectory data. By extracting multi-dimensional trajectory features such as lateral position, speed, and acceleration, quantitative indicators for driving stability and car-following risk were constructed. Integrated with the CRITIC objective weighting method and the K-means++ clustering algorithm, a comprehensive risk measurement model was established to systematically characterize the dynamic evolution of driving behavior, overcoming the limitations of single-dimensional risk analysis. Experimental results based on the CQSkyEyeX trajectory dataset demonstrate that the proposed method categorizes driving behavior into six risk levels. Low-risk behavior accounted for 66.70%, while medium- to high-risk behaviors mainly included serpentine driving (26.69%) and close following (4.18%). High-risk behavior constituted only 0.03%. A multi-strategy real-time warning mechanism was further developed, achieving a warning accuracy of 98.36% with the final-value method, significantly outperforming the mode method (83.62%). The outcomes of this study demonstrate the effectiveness and practical utility of the proposed model for risk identification and early warning. On a practical level, the developed risk classification framework and management strategy establish a quantitative basis for differentiated supervision, enabling a closed-loop management process of “identification–intervention–optimization”. Future work will focus on three key directions: integrating multi-source data, extending the model to other typical operational scenarios, and incorporating advanced machine learning techniques to further enhance its generalization capability and warning accuracy. Overall, this research provides a feasible technical pathway for the precise quantification, dynamic monitoring, and tiered intervention of driving behavior in heavy-duty trucks, thereby contributing to enhanced safety in road freight transportation. Full article
(This article belongs to the Section Systems Engineering)
Show Figures

Figure 1

33 pages, 1457 KB  
Article
Resource Endowments, Value Cognition, and Strategic Risk-Taking: Explaining Carbon-Reduction Investments in Port Enterprises
by Tingting Zhao, Ning Ding, Jing Gu and Maowei Chen
Systems 2026, 14(2), 203; https://doi.org/10.3390/systems14020203 - 14 Feb 2026
Viewed by 616
Abstract
Against the backdrop of decarbonization in global maritime transport and logistics systems, port enterprises play a role in enhancing sustainable transport efficiency and system optimization through investments in carbon-reduction technologies. Situated within the institutional context of China’s “Dual-Carbon” targets, this study integrates Conservation [...] Read more.
Against the backdrop of decarbonization in global maritime transport and logistics systems, port enterprises play a role in enhancing sustainable transport efficiency and system optimization through investments in carbon-reduction technologies. Situated within the institutional context of China’s “Dual-Carbon” targets, this study integrates Conservation of Resources theory and Behavioral Decision Theory to develop a dual-path analytical framework explaining carbon-reduction technology investment in port enterprises. A three-stage mixed-methods design is employed. First, grounded theory identifies four key resource categories: individual, conditional, material, and energy resources. Second, based on structural equation modeling and conditional process analysis of survey data from 372 port enterprise managers, the results show that individual and conditional resources significantly promote technology investment by enhancing perceived utility, while material resources exert a positive effect by increasing risk preference; the effect of energy resources is not significant. Environmental strategic orientation strengthens these relationships, whereas short-term performance pressure weakens them. Third, fuzzy-set qualitative comparative analysis reveals that multiple resource configurations can equivalently drive high levels of technology investment. Overall, this study uncovers the resource foundations and psychological mechanisms underlying carbon-reduction technology investment in port enterprises, offering empirical evidence for green technology investment in sustainable maritime transport and logistics. Full article
Show Figures

Figure 1

28 pages, 3292 KB  
Article
Dynamic Governance of Electric Vehicle Supply Chain Network Resilience Under Disruption Risks
by Xuan Wang, Xiaoye Zhou and Meilin Zhu
Systems 2026, 14(2), 202; https://doi.org/10.3390/systems14020202 - 13 Feb 2026
Viewed by 382
Abstract
In the context of multiple overlapping uncertainties, upstream disruptions in electric vehicle supply chain networks are becoming increasingly frequent. Given the dynamic and sudden nature of disruption risks, this paper introduces a stochastic stopping model to incorporate disruption risks into resilience governance. This [...] Read more.
In the context of multiple overlapping uncertainties, upstream disruptions in electric vehicle supply chain networks are becoming increasingly frequent. Given the dynamic and sudden nature of disruption risks, this paper introduces a stochastic stopping model to incorporate disruption risks into resilience governance. This study constructs a differential game model for resilience governance in electric vehicle supply chain networks, involving governments, suppliers, and core manufacturers. This study proposes a dynamic resilience differential equation, which integrates resilience investment efforts. Then, this study explores optimal resilience strategies and dynamic equilibrium trajectories of resilience levels under three game models. The results indicate that optimal resilience investment efforts are negatively correlated with the effort-cost coefficients, resilience decay rates, disruption probability, and damage rate. Conversely, these efforts are positively correlated with supply chain network resilience, benefits, and the resilience influence coefficients. Disruption probability and damage rate are negatively correlated with benefits. Disruption risks distort the time preferences of governance entities, causing them to overvalue immediate gains and undervalue future returns. Finally, both supply chain resilience and total benefits reach their optimal levels under the collaborative game model. Full article
(This article belongs to the Section Supply Chain Management)
Show Figures

Figure 1

23 pages, 3367 KB  
Article
A Data Envelopment Analysis of Inland Ports’ Efficiency: Evidence from the Romanian Danube Ports
by Eugen Rosca, Ilona Costea, Anamaria Ilie, Marjana Petrović and Florin Rusca
Systems 2026, 14(2), 201; https://doi.org/10.3390/systems14020201 - 13 Feb 2026
Cited by 1 | Viewed by 795
Abstract
Background: Ports play a strategic role in the efficiency and sustainability of European transport corridors; however, empirical evidence on their performance remains limited, particularly for Eastern European countries. This study aims to assess the technical efficiency and productivity dynamics of Romanian ports along [...] Read more.
Background: Ports play a strategic role in the efficiency and sustainability of European transport corridors; however, empirical evidence on their performance remains limited, particularly for Eastern European countries. This study aims to assess the technical efficiency and productivity dynamics of Romanian ports along the Danube corridor in a context of structural change and evolving cargo flows. Methods: Technical efficiency is estimated using an output-oriented Data Envelopment Analysis (DEA) model under variable returns to scale, followed by bias correction and determinant analysis employing the Simar–Wilson bootstrap procedure. Productivity change is examined separately using the Malmquist Productivity Index based on original DEA distance functions. Results: The analysis reveals substantial heterogeneity in efficiency levels across ports, with bias-corrected estimates indicating that efficiency differentials are structural rather than statistical. Cargo specialization emerges as the main determinant of efficiency, while location effects are found to be asymmetric. Efficiency levels are largely stable over time, and productivity change is modest, being driven exclusively by efficiency change, with no evidence of technological progress. Conclusions: These findings suggest that the performance of ports along the Romanian Danube corridor is shaped primarily by structural and organizational factors rather than temporal dynamics, underlining the importance of targeted policy interventions focusing on traffic consolidation, port specialization, and coordinated spatial and hinterland planning to enhance inland port performance within European transport corridors. Full article
Show Figures

Figure 1

20 pages, 1649 KB  
Article
A Multi-Criteria Decision-Making Approach Integrated with Machine Learning for Energy Resource Supply
by Erhan Baran
Systems 2026, 14(2), 200; https://doi.org/10.3390/systems14020200 - 12 Feb 2026
Cited by 1 | Viewed by 969
Abstract
This study addresses the site selection problem for energy storage systems (ESSs) as a multi-criteria decision-making problem (MCDM) under conditions of uncertainty. First, potential candidate locations were identified using the K-means clustering algorithm based on the geographic coordinates of existing solar power plants [...] Read more.
This study addresses the site selection problem for energy storage systems (ESSs) as a multi-criteria decision-making problem (MCDM) under conditions of uncertainty. First, potential candidate locations were identified using the K-means clustering algorithm based on the geographic coordinates of existing solar power plants (SPPs). As a result, six alternative locations representing spatial concentration were identified. These alternatives were then evaluated using the fuzzy TOPSIS method, a multi-criteria decision-making method (MCDM), taking into account the ten criteria defined for this study. Expert assessments were expressed and transformed into triangular fuzzy numbers to capture uncertainty and subjectivity in the decision-making process. The results show six alternative options, ranked from the one with the highest proximity coefficient to the one with the lowest. The findings demonstrate that the integrated use of machine learning (ML) and fuzzy TOPSIS methods provides an effective and robust decision support framework for ESS location selection problems. This approach also serves as a guide for other renewable energy planning practices. Full article
Show Figures

Figure 1

25 pages, 1391 KB  
Article
Human Factor Risk Analysis (HFRA) Based on an Integrated Perspective of Socio-Technical Systems and Safety Information Cognition
by Changqin Xiong and Yiling Ma
Systems 2026, 14(2), 199; https://doi.org/10.3390/systems14020199 - 12 Feb 2026
Viewed by 566
Abstract
Unsafe behavior remains a dominant contributor to accidents in complex socio-technical systems (STSs), yet it is still frequently interpreted as an individual-level information failure. This study argues that unsafe behavior is more accurately understood as a systemic outcome shaped by multi-level technological, organizational, [...] Read more.
Unsafe behavior remains a dominant contributor to accidents in complex socio-technical systems (STSs), yet it is still frequently interpreted as an individual-level information failure. This study argues that unsafe behavior is more accurately understood as a systemic outcome shaped by multi-level technological, organizational, and environmental conditions. To address this gap, an integrated human factor risk analysis framework is proposed by combining the STS perspective with safety information cognition (SIC) theory. The framework conceptualizes unsafe behavior as the result of risk transmission through safety information flows, linking system-level risk sources to individual perception, cognition, decision-making, and action. Within this perspective, human factor risk does not arise directly from individual error, but from deficiencies and asymmetries in the generation, transmission, and utilization of safety-related information embedded in the STS. Based on this conceptualization, a system-oriented human factor risk analysis (HRFA) approach is developed to support the identification, assessment, and control of unsafe behaviors across both accident scenarios and operational contexts. The framework is applied to road transportation of dangerous goods in China, a typical high-risk STS. The application results demonstrate that the proposed approach can effectively distinguish the comprehensive risk characteristics of different unsafe behaviors and reveal their underlying systemic causes. This study contributes to systems thinking in safety governance by shifting the analytical focus from individual behavior correction to upstream system conditions and information processes. The proposed framework provides a transferable approach for understanding and managing human factor risk in complex STSs and offers practical implications for proactive, system-oriented safety governance. Full article
(This article belongs to the Section Systems Theory and Methodology)
Show Figures

Figure 1

26 pages, 10514 KB  
Article
Vulnerability in Bank–Asset Bipartite Network Systems: Evidence from the Chinese Banking Sector
by Zikang Wang
Systems 2026, 14(2), 198; https://doi.org/10.3390/systems14020198 - 12 Feb 2026
Viewed by 507
Abstract
The interdependence inherent in interbank networks amplifies vulnerability to systemic risk, particularly through correlated asset exposures during exogenous negative shocks. This study employs exponential random graph models (ERGMs) to reconstruct a bipartite network of asset-holding correlations based on the balance sheets of Chinese [...] Read more.
The interdependence inherent in interbank networks amplifies vulnerability to systemic risk, particularly through correlated asset exposures during exogenous negative shocks. This study employs exponential random graph models (ERGMs) to reconstruct a bipartite network of asset-holding correlations based on the balance sheets of Chinese commercial banks from 2016 to 2022. The reconstructed network closely approximates the topological features of the actual banking system. We then introduce a novel framework for measuring aggregate network vulnerability, which incorporates bank size, initial shocks, interconnectedness, leverage, and asset fire sales to capture key channels of financial contagion. Our results indicate that the reconstructed network aligns closely with empirical data in both link structure and weight distribution. Furthermore, cumulative systemic vulnerability increases non-linearly with the severity of the initial shock and the discount depth of fire sales. For individual banks, indirect vulnerability driven by contagion via deleveraging and fire sales significantly exceeds direct losses from initial shocks. Systemic risk contributions are concentrated in large state-owned banks and nationwide joint-stock commercial banks, whereas the institutions most susceptible to risk shocks are predominantly small and medium-sized rural and urban commercial banks. Full article
(This article belongs to the Section Systems Practice in Social Science)
Show Figures

Figure 1

23 pages, 383 KB  
Article
Optimized to Death: The Hypernetic Law of Experience
by Dustin Daniel
Systems 2026, 14(2), 197; https://doi.org/10.3390/systems14020197 - 12 Feb 2026
Cited by 1 | Viewed by 1030
Abstract
The Hypernetic Law of Experience (HLE) generalizes Ashby’s neglected Law of Experience from determinate machines to stochastic, gradient-driven adaptive systems. The HLE characterizes a persistent tendency of adaptive systems exposed to sustained directional experience: internal variety is progressively consumed, and system trajectories converge [...] Read more.
The Hypernetic Law of Experience (HLE) generalizes Ashby’s neglected Law of Experience from determinate machines to stochastic, gradient-driven adaptive systems. The HLE characterizes a persistent tendency of adaptive systems exposed to sustained directional experience: internal variety is progressively consumed, and system trajectories converge toward increasingly narrow regions of state space, even when local transitions remain probabilistic. We formalize this contraction pressure using the Rebis equation, a discrete-time variance-contraction dynamic that relates optimization pressure and novelty injection to the evolution of internal diversity. Through cross-domain comparative analysis, we show that HLE-consistent geometry appears in biological evolution, recursive model collapse in machine learning, economic cycles, neural plasticity and habituation, linguistic convergence, and institutional lock-in. In these domains, excessive variety consumption is associated with brittle attractors and heightened vulnerability under distributional shift. We further show that biological systems employ countervailing mechanisms—such as sexual recombination, mutational plasticity, sleep-driven renormalization, and variance-preserving neuromodulation—that mitigate, but do not eliminate, the contraction pressure described by the HLE. We conclude that the HLE and the Rebis equation provide a systems-level diagnostic for identifying and explaining optimization-induced fragility and for informing the design of regulators, AI architectures, and institutions that remain viable under drift. Full article
(This article belongs to the Section Complex Systems and Cybernetics)
Previous Issue
Next Issue
Back to TopTop