Rethinking Cohesion: When and Where ESI Funds Drive Socio-Economic Change?
Abstract
1. Introduction
2. Literature Review
3. Data and Methodology
3.1. Theoretical Assumptions
- RQ1: How does the intensity of ESI Funds influence socio-economic development across EU member states, and is the relationship linear or non-linear?
- RQ2: At what levels of ESI Funds to GDP do significant changes in their impact on human development occur?
- RQ3: How do contextual factors, such as income inequality and economic sentiment, mediate the relationship between ESI Funds and socio-economic outcomes?
- RQ4: Can control variables, including the GINI Index, Economic Sentiment Indicator (ESI), Index of Economic Freedom, and others, enhance the robustness of the model in capturing regional disparities?
Hypotheses
3.2. Data
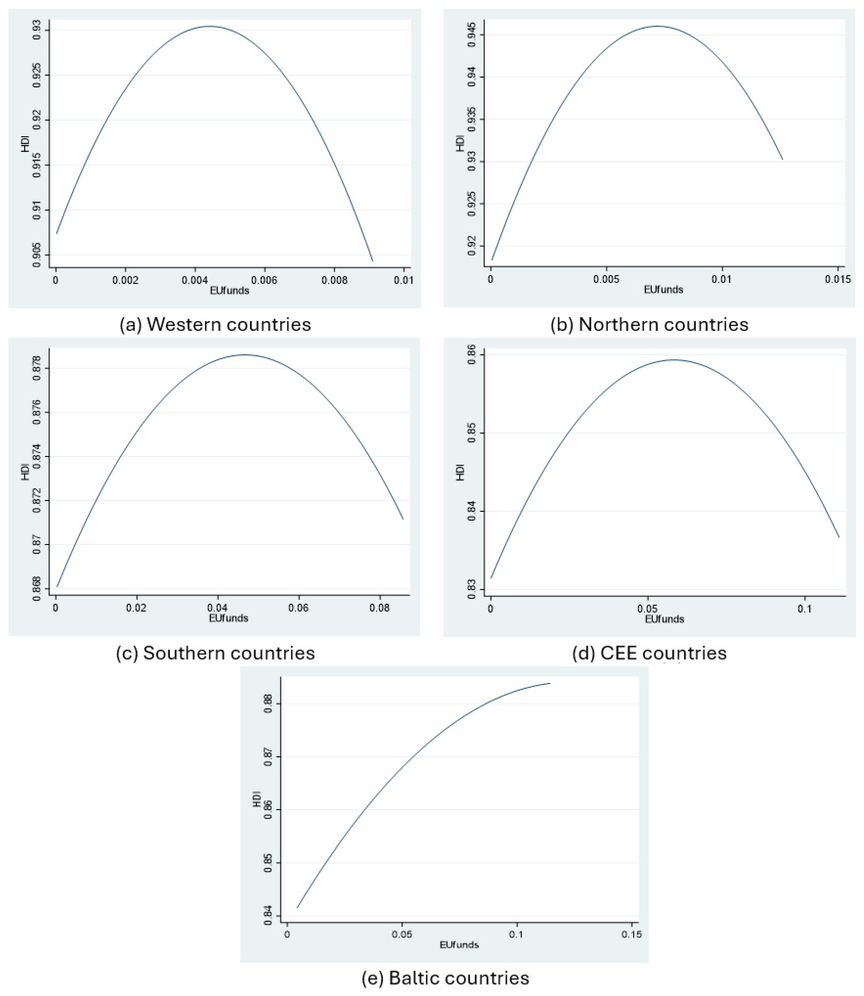
4. Results
5. Conclusions
Author Contributions
Funding
Data Availability Statement
Conflicts of Interest
Appendix A
| Aspect | Advantages | Disadvantages/Challenges |
|---|---|---|
| Economic Convergence | Promote reducing disparities between richer and poorer regions; support less developed areas in catching up with the EU average GDP and HDI. | Convergence may be slow; regions with low administrative capacity may not fully benefit. |
| Social Cohesion | Enhance social inclusion by funding education, healthcare, employment, and support for vulnerable groups. | Uneven fund absorption can lead to social imbalances if some regions underutilize resources. |
| Infrastructure & Innovation | Support the development of transport, digital, and energy infrastructure; foster innovation and competitiveness. | The complexity of projects can cause delays or inefficiencies and the risk of misallocation of funds. |
| Resilience & Stability | Improve economic resilience by diversifying investments and supporting recovery during crises (e.g., post-COVID-19, economic shocks). | Dependency on EU funding may reduce incentives for domestic policy reforms; excessive reliance could pose risks if funding fluctuates. |
| Institutional Development | Encourage institutional strengthening, governance reforms, and capacity building at the regional and national levels. | Institutional inefficiencies or bureaucratic hurdles can limit the effectiveness of fund implementation. |
| Environmental & Sustainable Development | Fund green transition, renewable energy, and climate adaptation projects; contribute to achieving SDGs. | The complexity of integrating sustainability requirements may slow down project approval and implementation. |
| Policy Flexibility & Strategic Planning | Allows tailoring of funding strategies to regional priorities; supports evidence-based policy-making. | Requires careful coordination across multiple governance levels; misalignment of priorities may occur. |
References
- Wallace, H.; Pollack, M.A.; Roederer-Rynning, C.; Young, A.R. (Eds.) Policy-Making in the European Union, 8th ed.; Oxford University Press: Oxford, UK, 2020. [Google Scholar]
- Piattoni, S.; Polverari, L. Cohesion policy and European Union politics. In Oxford Research Encyclopedia of Politics; Oxford University Press: Oxford, UK, 2019. [Google Scholar] [CrossRef]
- Bachtler, J.; Begg, I. Cohesion policy after Brexit: The economic, social and institutional challenges. J. Soc. Policy 2017, 46, 745–763. [Google Scholar] [CrossRef]
- Pădurean, M.A.; Nica, A.M.; Nistoreanu, P. Entrepreneurship in tourism and financing through the Regional Operational Programme. Amfiteatru Econ. J. 2015, 17, 180–194. [Google Scholar]
- Kohl, H. Convergence and divergence–10 years since EU enlargement. Transf. Eur. Rev. Labour Res. 2015, 21, 285–311. [Google Scholar] [CrossRef]
- Crescenzi, R.; Giua, M. The EU Cohesion Policy in context: Does a bottom-up approach work in all regions? Environ. Plan. A Econ. Space 2016, 48, 2340–2357. [Google Scholar] [CrossRef]
- Fabrizi, E.; Guastella, G.; Marta, S.; Timpano, F. Determinants of intra-distribution dynamics in European regions: An empirical assessment of the role of structural intervention. Tijdschr. Voor Econ. Soc. Geogr. 2016, 107, 522–539. [Google Scholar] [CrossRef]
- Novosák, J.; Hájek, O.; Horváth, P.; Nekolová, J. Structural funding and intrastate regional disparities in post-communist countries. Transylv. Rev. Adm. Sci. 2017, 51, 53–69. [Google Scholar] [CrossRef]
- Gagliardi, L.; Percoco, M. The impact of European Cohesion Policy in urban and rural regions. Reg. Stud. 2017, 51, 857–868. [Google Scholar] [CrossRef]
- Caldas, P.; Dollery, B.; Marques, R.C. European Cohesion Policy impact on development and convergence: A local empirical analysis in Portugal between 2000 and 2014. Eur. Plan. Stud. 2018, 26, 1081–1098. [Google Scholar] [CrossRef]
- Pîrvu, R.; Bădîrcea, R.; Manta, A.; Lupăncescu, M. The effects of the cohesion policy on the sustainable development of the development regions in Romania. Sustainability 2018, 10, 2577. [Google Scholar] [CrossRef]
- Cerqua, A.; Pellegrini, G. Are we spending too much to grow? The case of Structural Funds. J. Reg. Sci. 2018, 58, 535–563. [Google Scholar] [CrossRef]
- Butkus, M.; Mačiulytė-Šniukienė, A.; Matuzevičiūtė, K.; Cibulskienė, D. What is the return on investing in European regional development and cohesion funds?: Difference-in-differences estimator approach. Ekon. Časopis 2019, 67, 647–676. [Google Scholar]
- Bostan, I.; Lazar, C.M.; Asalos, N.; Munteanu, I.; Horga, G.M. The three-dimensional impact of the absorption effects of European funds on the competitiveness of the SMEs from the Danube Delta. Ind. Crops Prod. 2019, 132, 460–467. [Google Scholar] [CrossRef]
- Czubak, W.; Piotr Pawłowski, K. Sustainable economic development of farms in Central and Eastern European Countries driven by pro-investment mechanisms of the Common Agricultural Policy. Agriculture 2020, 10, 93. [Google Scholar] [CrossRef]
- Mach, Ł.; Bedrunka, K.; Kuczuk, A.; Szewczuk-Stępień, M. Effect of structural funds on housing market sustainability development—Correlation, regression and wavelet coherence analysis. Risks 2021, 9, 182. [Google Scholar] [CrossRef]
- Bedrunka, K.; Mach, Ł.; Kuczuk, A.; Bohdan, A. Identification and analysis of structural fund support mitigating the effects of the COVID-19 pandemic in the EU—A case study of health unit funding. Energies 2021, 14, 4976. [Google Scholar] [CrossRef]
- Nishimura, A.Z.; Moreira, A.; Au-Yong-Oliveira, M.; Sousa, M.J. Effectiveness of the Portugal 2020 programme: A study from the citizens’ perspective. Sustainability 2012, 13, 5799. [Google Scholar] [CrossRef]
- Copeland, P.; Diamond, P. From EU Structural Funds to Levelling Up: Empty signifiers, ungrounded statism and English regional policy. Local Econ. 2022, 37, 34–49. [Google Scholar] [CrossRef]
- Bostan, I.; Moroşan, A.A.; Hapenciuc, C.V.; Stanciu, P.; Condratov, I. Are Structural Funds a Real Solution for Regional Development in the European Union? A Study on the Northeast Region of Romania. J. Risk Financ. Manag. 2022, 15, 232. [Google Scholar] [CrossRef]
- Fusaro, S.; Scandurra, R. The impact of the European Social Fund on Youth Education and Employment. Socio-Econ. Plan. Sci. 2023, 88, 101650. [Google Scholar] [CrossRef]
- Davidescu, A.A.; Nae, T.M.; Florescu, M.S. From Policy to Impact: Advancing Economic Development and Tackling Social Inequities in Central and Eastern Europe. Economies 2024, 12, 28. [Google Scholar] [CrossRef]
- Maris, M. Contribution of EU Cohesion Policy to Regional Growth: Evidence from V4 Countries. Prague Econ. Pap. 2024, 33, 164–186. [Google Scholar] [CrossRef]
- Bachtler, J.; McMaster, I. EU Cohesion policy and the role of the regions: Investigating the influence of Structural Funds in the new member states. Environ. Plan. C Gov. Policy 2008, 26, 398–427. [Google Scholar] [CrossRef]
- Gravili, G.; Avram, A.; Nicolescu, A.C. Gender Equality and Firm Financial Performance: The Case of Central and Eastern Europe Financial and IT&C Sectors. In Proceedings of the ICGR 2019 2nd International Conference on Gender Research, Rome, Italy, 11–12 April 2019; pp. 316–326. [Google Scholar]
- Avram, A.; Nicolescu, A.C.; Avram, C.D.; Dan, R.L. Financial communication in the context of corporate social responsibility growth. Amfiteatru Econ. 2019, 21, 623–638. [Google Scholar] [CrossRef]
- Dima, B.; Lobonţ, O.; Nicolescu, C. The fiscal revenues and public expenditures: Is their evolution sustainable? The Romanian case. Ann. Univ. Apulensis Ser. Oeconomica 2009, 11, 416–425. [Google Scholar]
- Pirtea, M.; Nicolescu, C. Corporate governance codes of best practice of top Romanian banks. Ann. Fac. Econ. 2013, 1, 390–397. [Google Scholar]
- Stiglitz, J.E.; Sen, A.; Fitoussi, J.P. Report by the Commission on the Measurement of Economic Performance and social Progress; Commission on the Measurement of Economic Performance and Social Progress: Paris, France, 2009. [Google Scholar]
- Costanza, R.; Hart, M.; Talberth, J.; Posner, S. Beyond GDP: The need for new measures of progress. In The Pardee Papers; Pardee Center for the Study of the Longer-Range Future: Boston, MA, USA, 2009. [Google Scholar]
- Ranis, G.; Stewart, F.; Samman, E. Human development: Beyond the human development index. J. Hum. Dev. 2006, 7, 323–358. [Google Scholar] [CrossRef]
- Herrero, C.; Martínez, R.; Villar, A. Multidimensional social evaluation: An application to the measurement of human development. Rev. Income Wealth 2010, 56, 483–497. [Google Scholar] [CrossRef]
- Klugman, J.; Rodríguez, F.; Choi, H.J. The HDI 2010: New controversies, old critiques. J. Econ. Inequal. 2011, 9, 249–288. [Google Scholar] [CrossRef]
- Cappelen, A.; Castellacci, F.; Fagerberg, J.; Verspagen, B. The impact of EU regional support on growth and convergence in the European Union. JCMS J. Common Mark. Stud. 2003, 41, 621–644. [Google Scholar] [CrossRef]
- Mutașcu, M. European Union funds and corruption in the ex-communist member states. J. Contemp. Eur. Stud. 2024, 32, 555–574. [Google Scholar] [CrossRef]
- Fortune, G.; Fuller, G.; Kloke-Lesch, A.; Koundouri, P.; Riccaboni, A. European Elections, Europe’s Future and the SDGs: Europe Sustainable Development Report 2023/24; SDSN and SDSN Europe: Paris, France; Dublin University Press: Dublin, Ireland, 2024. [Google Scholar] [CrossRef]
- United Nations Development Programme. Human Development Index (HDI). Human Development Reports. Available online: https://hdr.undp.org/data-center/human-development-index#/indicies/HDI (accessed on 22 January 2024).
- United Nations Development Programme. Human Development Index. United Nations Development Programme; United Nations. Available online: https://hdr.undp.org/data-center/documentation-and-downloads (accessed on 22 January 2024).
- European Commission. ESIF 2014-2020 Finance Implementation Details. Cohesion Open Data Platform. Available online: https://data.europa.eu/data/datasets/99js-gm52?locale=en (accessed on 22 January 2024).
- European Commission. SF 2007-2013 Funds Absorption Rate. Cohesion Open Data Platform. Available online: https://data.europa.eu/data/datasets/kk86-ceun?locale=en (accessed on 22 January 2024).
- Eurostat. Gross Domestic Product (GDP) at Regional Level. Available online: https://ec.europa.eu/eurostat/databrowser/view/nama_10r_2gdp__custom_9459060/default/table (accessed on 22 January 2024).
- World Bank. Gini Index. World Bank, Poverty and Inequality Platform. Available online: https://data.worldbank.org/indicator/SI.POV.GINI (accessed on 21 January 2024).
- Eurostat. Economic Sentiment Indicator. Available online: https://ec.europa.eu/eurostat/databrowser/view/teibs010/default/table?lang=en (accessed on 22 January 2024).
- The Heritage Foundation. Index of Economic Freedom: All Country Scores. Available online: https://www.heritage.org/index/pages/all-country-scores (accessed on 21 January 2024).
- Harvard Growth Lab. Country Rankings—Atlas of Economic Complexity. Available online: https://atlas.cid.harvard.edu/rankings (accessed on 22 January 2024).
- World Bank. School Enrollment, Secondary (% Gross). Available online: https://data.worldbank.org/indicator/SE.SEC.ENRR (accessed on 21 January 2024).
- World Bank. School Enrollment, Primary and Secondary (Gross), Gender Parity Index (GPI). Available online: https://data.worldbank.org/indicator/SE.ENR.PRSC.FM.ZS (accessed on 22 January 2024).
- Sustainable Development Solutions Network. Sustainable Development Report—SDG Index and Dashboards. Available online: https://eu-dashboards.sdgindex.org/explorer (accessed on 22 January 2024).
- Baltagi, B.H. Econometric Analysis of Panel Data, 3rd ed.; Wiley: Hoboken, NJ, USA; Chichester, UK, 2005. [Google Scholar]
- Wooldridge, J.M. Introductory Econometrics, 5th ed.; Cengage Learning: Boston, MA, USA, 2013. [Google Scholar]













| Study Reference | Methodology | Main Results |
|---|---|---|
| [4] | Case study, documentary analysis, and quantitative correlational analysis | EU Funds supported tourism entrepreneurship and short-term tourism development. |
| [5] | Quantitative comparative analysis and construction of a convergence/divergence index | EU Funds did not fully offset divergence after the 2008 crisis. |
| [6] | Econometric panel models | Uneven regional impacts, with stronger growth effects in more advanced regions. |
| [7] | Multinomial logistic regression | EU Funds supported convergence mainly through infrastructure investment, but the effects varied by region. |
| [3] | Qualitative policy analysis | EU Funds strongly shaped UK regional and social development. |
| [8] | Spatial econometric models and Principal Component Analysis | Limited and uneven impact on reducing micro-regional disparities. |
| [9] | Regression Discontinuity Design | Positive but uneven growth effects, strongest in rural areas close to cities. |
| [10] | Input–output and correlation analysis | EU funds had a positive impact on municipal development, particularly on GDP, population growth, and purchasing power. |
| [11] | Constructing a synthetic index and cluster analysis | EU Funds contributed to increased GDP per capita and reduced unemployment, but regional disparities persisted and became more polarized. |
| [12] | Continuous Regression Discontinuity Design | EU Funds had a positive effect on regional growth, but marginal returns declined after a funding saturation threshold was reached. |
| [13] | Difference-in-differences | Overall, EU Funds did not reduce regional disparities. |
| [14] | Correlation analysis | EU Funds had strong positive economic, social, and environmental effects, significantly enhancing SME competitiveness. |
| [15] | Propensity Score Matching | CAP funds stimulated farm investment and long-term sustainability, with limited and uneven short-term productivity gains. |
| [16] | Correlation, regression, wavelet coherence analysis | EU funds positively stimulated housing market activity, increasing building permits and construction. |
| [17] | Case study, correlation, and regression analysis | EU funds were reallocated to mitigate COVID-19 impacts, mainly supporting health care and entrepreneurship. |
| [18] | Survey-based quantitative analysis | 76% of respondents reported a positive perception of EU funds’ contribution to regional development. |
| [19] | Qualitative policy analysis | EU Funds had only marginal impacts on English regional development. |
| [20] | Comparative statistical analysis | EU Funds had positive but conditional effects on SMEs, strongest in the short term and mainly through employment and productivity. |
| [21] | Fixed-effects panel analysis | EU Funds improved access to employment but widened educational gaps. |
| [22] | Econometric panel analysis | EU funds had a positive but heterogeneous impact on regional economic performance. |
| [23] | Panel data regression | EU Funds had a modest positive effect on regional growth, but uneven absorption contributed to persistent regional disparities. |
| Indicator/Index | Description | Source |
|---|---|---|
| Human Development Index (HDI) | A composite index is used to assess a country’s level of human development based on three dimensions: a long and healthy life, access to knowledge, and a decent standard of living. | United Nations Development Programme [38] |
| EU funds paid/GDP (EUfunds) | The ratio of European funds paid annually (non-cumulative) by the European Commission to member countries and their Gross Domestic Product (GDP). | European Commission [39,40]; Eurostat [41] |
| GINI Index (GINI) | A statistical indicator used to measure income distribution inequality within a society, ranging from 0 (perfect equality) to 1 (maximum inequality). | World Bank [42] |
| Economic Sentiment Indicator (ESI)—the average value for a year based on monthly data | A composite index reflecting business and consumer confidence in an economy, based on surveys from sectors such as industry, services, trade, and construction. | Eurostat [43] |
| Index of Economic Freedom (EconFreed) | An indicator that assesses a country’s degree of economic freedom, based on factors such as property rights, trade freedom, regulatory environment, and government intervention in the economy. | The Heritage Foundation [44] |
| Economic Complexity Index (ECI) | It measures the level of sophistication and diversification of an economy, reflecting a country’s ability to produce complex goods based on advanced knowledge and technologies, as well as the diversity of its exported products. | Harvard Growth Lab [45] |
| Educational attainment through school enrolment—secondary level (EducAtt) | The ratio of the total number of enrolled students, regardless of age, to the population of the age group officially corresponding to the secondary education level. | World Bank [46] |
| Gender Parity Index (GPI) | An indicator that measures gender balance in access to resources such as education represented by the ratio of girls’ participation rate to boys’ participation rate at various levels of education. | World Bank [47] |
| SDG Index Score (SDG) | The index evaluates a country’s progress in achieving the 17 UN Sustainable Development Goals, measuring economic, social, and environmental performance based on specific indicators. | Sustainable Development Solutions Network [48] |
| Variables | Obs | Mean | Std. Dev. | Min | Max |
|---|---|---|---|---|---|
| HDI | 378 | 0.8804 | 0.0395 | 0.774 | 0.948 |
| EUfunds | 378 | 0.0153 | 0.0214 | 0 | 0.1143 |
| GINI | 378 | 31.3539 | 3.6719 | 23.2 | 41.3 |
| ESI | 378 | 98.3116 | 9.233 | 69.967 | 119.0833 |
| Econ.freed. | 378 | 68.8355 | 5.8571 | 53.2 | 82.6 |
| ECI | 378 | 1.0942 | 0.5428 | 0.0065 | 2.3074 |
| Educ.att. | 378 | 108.8036 | 16.0173 | 87.103 | 163.9347 |
| GPI | 378 | 1.0023 | 0.0275 | 0.9352 | 1.0983 |
| SDG | 378 | 66.6517 | 6.6007 | 50.9851 | 81.2133 |
| Western Europe (7 Countries) | Northern Europe (3 Countries) | Southern Europe (6 Countries) | Central and Eastern Europe—CEE (8 Countries) | Baltic Countries (3 Countries) |
|---|---|---|---|---|
| Austria | Denmark | Cyprus | Bulgaria | Estonia |
| Belgium | Finland | Greece | Croatia | Latvia |
| France | Sweden | Italy | Czech Republic | Lithuania |
| Germany | Malta | Hungary | ||
| Ireland | Portugal | Poland | ||
| Luxembourg | Spain | Romania | ||
| Netherlands | Slovak Republic | |||
| Slovenia |
| Threshold Value | Coefficient | Z | p-Value | |
|---|---|---|---|---|
| Threshold variable: EUfunds | ||||
| Single threshold effect test | 0.00714 *** | 3.16 | 0.000 | |
| No. of moment conditions | 90 | |||
| Lag_HDI_b | 1.44396 *** | 24.08 | 0.000 | |
| Lag_HDI_d | −0.45248 *** | −5.91 | 0.000 | |
| cons_d | 0.3686 *** | 5.62 | 0.000 | |
| Threshold variable: EUfunds; Control variable: GINI | ||||
| Single threshold effect test | 0.01197 ** | 2.20 | 0.028 | |
| No. of moment conditions | 102 | |||
| Lag_HDI_b | 0.949 *** | 13.80 | 0.000 | |
| GINI_b | 0.0055 *** | 8.14 | 0.000 | |
| Lag_HDI_d | −0.2517 *** | −3.64 | 0.000 | |
| GINI_d | −0.0084 *** | −8.27 | 0.000 | |
| cons_d | 0.4845 *** | 6.30 | 0.000 | |
| Threshold variable: EUfunds; Control variable: ESI | ||||
| Single threshold effect test | 0.02234 *** | 7.71 | 0.000 | |
| No. of moment conditions | 102 | |||
| Lag_HDI_b | 0.6054 *** | 24.82 | 0.000 | |
| ESI_b | 0.00021 *** | 8.07 | 0.000 | |
| Lag_HDI_d | 0.4253 *** | 10.87 | 0.000 | |
| ESI_d | 0.00059 *** | 5.31 | 0.000 | |
| cons_d | −0.41578 | −9.74 | 0.000 | |
| Threshold variable: EUfunds; Control variable: EconFreed | ||||
| Single threshold effect test | 0.00634 ** | 2.03 | 0.042 | |
| No. of moment conditions | 102 | |||
| Lag_HDI_b | 1.1976 *** | 17.24 | 0.000 | |
| EconFreed_b | 0.00365 *** | 6.27 | 0.000 | |
| Lag_HDI_d | 0.0492 | 10.87 | 0.541 | |
| EconFreed_d | −0.00506 | −9.68 | 0.000 | |
| cons_d | 0.2779 | 3.45 | 0.001 | |
| Threshold variable: EUfunds; Control variable: SDG | ||||
| Single threshold effect test | 0.02311 *** | 12.45 | 0.000 | |
| No. of moment conditions | 102 | |||
| Lag_HDI_b | 0.74 *** | 9.27 | 0.000 | |
| SDG_b | 0.0009 ** | 2.13 | 0.034 | |
| Lag_HDI_d | −1.3299 | −18.67 | 0.000 | |
| SDG_d | 0.0048 *** | 15.33 | 0.000 | |
| cons_d | 0.83134 | 12.00 | 0.000 | |
| Threshold variable: EUfunds; Control variable: ECI | ||||
| Single threshold effect test | 0.0195 *** | 5.85 | 0.000 | |
| No. of moment conditions | 102 | |||
| Lag_HDI_b | 0.5766 *** | 16.84 | 0.000 | |
| ECI_b | −0.0002 | −0.18 | 0.853 | |
| Lag_HDI_d | −0.18605 ** | −2.44 | 0.015 | |
| ECI_d | 0.0171 | 7.53 | 0.000 | |
| cons_d | 0.1739 | 2.62 | 0.009 | |
| Threshold variable: EUfunds; Control variable: EducAtt | ||||
| Single threshold effect test | 0.02002 *** | 5.91 | 0.000 | |
| No. of moment conditions | 102 | |||
| Lag_HDI_b | 0.2288 *** | 3.76 | 0.000 | |
| EducAtt_b | 0.00077 *** | 8.25 | 0.000 | |
| Lag_HDI_d | 0.15502 *** | 3.26 | 0.000 | |
| EducAtt_d | −0.0022 *** | −9.86 | 0.000 | |
| cons_d | 0.13006 | 3.39 | 0.001 | |
| Threshold variable: EUfunds; Control variable: GPI | ||||
| Single threshold effect test | 0.00302 | 1.14 | 0.254 | |
| No. of moment conditions | 102 | |||
| Lag_HDI_b | 1.3287 *** | 14.89 | 0.000 | |
| GPI_b | 0.4387 *** | 5.20 | 0.000 | |
| Lag_HDI_d | −0.1047 *** | −0.82 | 0.413 | |
| GPI_d | −1.3388 *** | −12.63 | 0.000 | |
| cons_d | 0.13006 | 9.48 | 0.000 | |
| Threshold variable: EUfunds; Control variables: GINI, ESI | ||||
| Single threshold effect test | 0.0072 | 0.50 | 0.620 | |
| No. of moment conditions | 114 | |||
| Lag_HDI_b | 0.85181 *** | 15.44 | 0.000 | |
| GINI_b | −0.0028 *** | −3.31 | 0.001 | |
| ESI_b | 0.000064 | 0.36 | 0.719 | |
| Lag_HDI_d | −0.11468 | −1.31 | 0.190 | |
| GINI_d | 0.00352 *** | 2.98 | 0.003 | |
| ESI_d | 0.00046 *** | 3.29 | 0.001 | |
| cons_d | −0.06066 | −0.59 | 0.553 | |
| Threshold variable: EUfunds; Control variables: ESI, EconFreed | ||||
| Single threshold effect test | 0.01065 * | 1.70 | 0.089 | |
| No. of moment conditions | 114 | |||
| Lag_HDI_b | 0.7226 *** | 7.94 | 0.000 | |
| ESI_b | −0.00012 | −1.07 | 0.283 | |
| EconFreed_b | 0.00155 *** | 3.91 | 0.000 | |
| Lag_HDI_d | 0.00283 | 0.03 | 0.976 | |
| ESI_d | 0.00081 *** | 4.96 | 0.000 | |
| EconFreed_d | −0.002 *** | −3.89 | 0.000 | |
| cons_d | 0.054695 | 0.58 | 0.559 | |
| Threshold variable: EUfunds; Control variables: ESI, EconFreed, SDG | ||||
| Single threshold effect test | 0.00204 | 0.34 | 0.733 | |
| No. of moment conditions | 126 | |||
| Lag_HDI_b | −0.7903 *** | −2.64 | 0.008 | |
| ESI_b | −0.00009 | −0.82 | 0.414 | |
| EconFreed_b | 0.00106 | 1.21 | 0.227 | |
| SDG_b | 0.00639 *** | 4.09 | 0.000 | |
| Lag_HDI_d | 0.7253 ** | 2.07 | 0.039 | |
| ESI_d | 0.00045 *** | 3.70 | 0.000 | |
| EconFreed_d | −0.0013 | −1.40 | 0.162 | |
| SDG_d | −0.0049 *** | −2.51 | 0.012 | |
| cons_d | −0.22213 | −1.10 | 0.270 | |
| Threshold variable: EUfunds; Control variables: ESI, ECI, EconFreed, SDG | ||||
| Single threshold effect test | 0.01799 | 1.41 | 0.157 | |
| No. of moment conditions | 126 | |||
| Lag_HDI_b | −0.197 | −0.77 | 0.441 | |
| ESI_b | 0.000016 | 0.12 | 0.906 | |
| ECI_b | 0.00238 | 0.98 | 0.328 | |
| EconFreed_b | 0.000675 * | 1.80 | 0.072 | |
| SDG_b | 0.00406 ** | 2.12 | 0.034 | |
| Lag_HDI_d | 0.03167 | 0.25 | 0.801 | |
| ESI_d | 0.00061 *** | 4.05 | 0.000 | |
| ECI_d | −0.009085 | −0.85 | 0.396 | |
| EconFreed_d | −0.0009 *** | −2.58 | 0.010 | |
| SDG_d | −0.001262 | −1.13 | 0.258 | |
| cons_d | 0.07286 | 0.68 | 0.499 | |
| (Western Countries) | (Northern Countries) | (Southern Countries) | (CEE Countries) | (Baltic Countries) | |
|---|---|---|---|---|---|
| EUfunds | 2.319 ** | 2.139 *** | 0.124 | 0.254 * | 0.412 *** |
| (0.954) | (0.701) | (0.142) | (0.141) | (0.0965) | |
| Constant | 0.912 *** | 0.923 *** | 0.870 *** | 0.840 *** | 0.844 *** |
| (0.00223) | (0.00239) | (0.00298) | (0.00482) | (0.00450) | |
| Observations | 98 | 42 | 84 | 112 | 42 |
| R-squared | 0.058 | 0.189 | 0.009 | 0.029 | 0.313 |
| (Western Countries) | (Northern Countries) | (Southern Countries) | (CEE Countries) | (Baltic Countries) | |
|---|---|---|---|---|---|
| EUfunds | 10.51 *** | 7.784 *** | 0.457 | 0.957 ** | 0.741 ** |
| (2.806) | (2.047) | (0.375) | (0.398) | (0.337) | |
| EUfundssq | −1190 *** | −540.7 *** | −4.893 | −8.207 * | −3.005 |
| (385.4) | (186.1) | (5.110) | (4.360) | (2.945) | |
| Constant | 0.907 *** | 0.918 *** | 0.868 *** | 0.831 *** | 0.838 *** |
| (0.00272) | (0.00271) | (0.00383) | (0.00652) | (0.00721) | |
| Observations | 98 | 42 | 84 | 112 | 42 |
| R-squared | 0.144 | 0.333 | 0.020 | 0.059 | 0.331 |
| Time FE | GMM | Time FE | Time FE | GMM | Time FE | GMM | Time FE | |
|---|---|---|---|---|---|---|---|---|
| (Western Countries) | (Northern Countries) | (Southern Countries) | (CEE Countries) | (Baltic Countries) | ||||
| EUfunds | 3.207 * | 1.411 | −0.910 | −0.313 | 0.973 ** | 0.00958 | 0.231 | −0.193 |
| (1.633) | (2.096) | (2.139) | (0.373) | (0.485) | (0.110) | (0.171) | (0.189) | |
| EUfundssq | −390.3 ** | −457.5 ** | 94.59 | 0.155 | −14.80 ** | 0.630 | −2.363 ** | 3.969 * |
| (151.7) | (211.8) | (138.0) | (3.036) | (6.211) | (0.896) | (1.170) | (2.256) | |
| L.EUfunds | 1.830 | −1.173 | 0.303 | −0.0652 | 0.109 | |||
| (1.974) | (3.439) | (0.310) | (0.0883) | (0.108) | ||||
| 2009.year | −0.000774 | −0.00359 | 0.00345 | 0.00176 | −6.64 × 10−5 | |||
| (0.00224) | (0.00340) | (0.00441) | (0.00219) | (0.00413) | ||||
| 2010.year | 0.00362 | 0.00150 | 0.00816 * | 0.00601 *** | −0.000619 | |||
| (0.00231) | (0.00352) | (0.00457) | (0.00226) | (0.00500) | ||||
| 2011.year | 0.00678 *** | 0.00762 ** | 0.00918 * | 0.00929 *** | 0.00755 | |||
| (0.00227) | (0.00344) | (0.00469) | (0.00233) | (0.00447) | ||||
| 2012.year | 0.00788 *** | 0.00942 ** | 0.0109 ** | 0.0110 *** | 0.0105 ** | |||
| (0.00231) | (0.00380) | (0.00485) | (0.00245) | (0.00469) | ||||
| 2013.year | 0.0100 *** | 0.0206 *** | 0.0154 *** | 0.0184 *** | 0.0159 *** | |||
| (0.00231) | (0.00344) | (0.00512) | (0.00259) | (0.00510) | ||||
| 2014.year | 0.0143 *** | 0.0221 *** | 0.0199 *** | 0.0205 *** | 0.0192 *** | |||
| (0.00240) | (0.00368) | (0.00529) | (0.00275) | (0.00474) | ||||
| 2015.year | 0.0142 *** | 0.0253 *** | 0.0218 *** | 0.0224 *** | 0.0218 *** | |||
| (0.00241) | (0.00368) | (0.00524) | (0.00292) | (0.00386) | ||||
| 2016.year | 0.0170 *** | 0.0294 *** | 0.0271 *** | 0.0267 *** | 0.0282 *** | |||
| (0.00257) | (0.00401) | (0.00494) | (0.00300) | (0.00382) | ||||
| 2017.year | 0.0179 *** | 0.0325 *** | 0.0332 *** | 0.0292 *** | 0.0315 *** | |||
| (0.00273) | (0.00460) | (0.00541) | (0.00300) | (0.00519) | ||||
| 2018.year | 0.0182 *** | 0.0341 *** | 0.0388 *** | 0.0308 *** | 0.0294 *** | |||
| (0.00303) | (0.00538) | (0.00616) | (0.00354) | (0.00763) | ||||
| 2019.year | 0.0204 *** | 0.0390 *** | 0.0436 *** | 0.0345 *** | 0.0252 ** | |||
| (0.00330) | (0.00595) | (0.00678) | (0.00432) | (0.0109) | ||||
| 2020.year | 0.0158 *** | 0.0379 *** | 0.0408 *** | 0.0267 *** | 0.00421 | |||
| (0.00335) | (0.00610) | (0.00712) | (0.00521) | (0.0179) | ||||
| L.hdi | 1.089 *** | 0.833 *** | 0.786 *** | |||||
| (0.247) | (0.257) | (0.0870) | ||||||
| Constant | 0.901 *** | −0.0782 | 0.911 *** | 0.854 *** | 0.141 | 0.830 *** | 0.180 ** | 0.842 *** |
| (0.00157) | (0.223) | (0.00235) | (0.00316) | (0.220) | (0.00161) | (0.0703) | (0.00228) | |
| dummy.year (F) | 9.13 *** | 13.03 *** | 7.15 *** | 13.96 *** | 29.93 *** | |||
| Observations | 91 | 84 | 39 | 78 | 72 | 104 | 96 | 39 |
| R-squared | 0.878 | 0.949 | 0.812 | 0.896 | 0.974 | |||
Disclaimer/Publisher’s Note: The statements, opinions and data contained in all publications are solely those of the individual author(s) and contributor(s) and not of MDPI and/or the editor(s). MDPI and/or the editor(s) disclaim responsibility for any injury to people or property resulting from any ideas, methods, instructions or products referred to in the content. |
© 2026 by the authors. Licensee MDPI, Basel, Switzerland. This article is an open access article distributed under the terms and conditions of the Creative Commons Attribution (CC BY) license.
Share and Cite
Nicolescu, A.-C.; Lobonț, O.-R.; Vătavu, S.; Pelin, A.; Balan, D. Rethinking Cohesion: When and Where ESI Funds Drive Socio-Economic Change? Systems 2026, 14, 209. https://doi.org/10.3390/systems14020209
Nicolescu A-C, Lobonț O-R, Vătavu S, Pelin A, Balan D. Rethinking Cohesion: When and Where ESI Funds Drive Socio-Economic Change? Systems. 2026; 14(2):209. https://doi.org/10.3390/systems14020209
Chicago/Turabian StyleNicolescu, Ana-Cristina, Oana-Ramona Lobonț, Sorana Vătavu, Andrei Pelin, and Diana Balan. 2026. "Rethinking Cohesion: When and Where ESI Funds Drive Socio-Economic Change?" Systems 14, no. 2: 209. https://doi.org/10.3390/systems14020209
APA StyleNicolescu, A.-C., Lobonț, O.-R., Vătavu, S., Pelin, A., & Balan, D. (2026). Rethinking Cohesion: When and Where ESI Funds Drive Socio-Economic Change? Systems, 14(2), 209. https://doi.org/10.3390/systems14020209

