- Article
Phenotypic and Transcriptomic Analyses of Transgenic Arabidopsis thaliana Expressing Cotton Zinc Finger Protein8 (GhZFP8)
- Wenhan Cheng,
- Chen Rui,
- Yechuan Huang,
- Deyan Zhu and
- Yongchang Liu
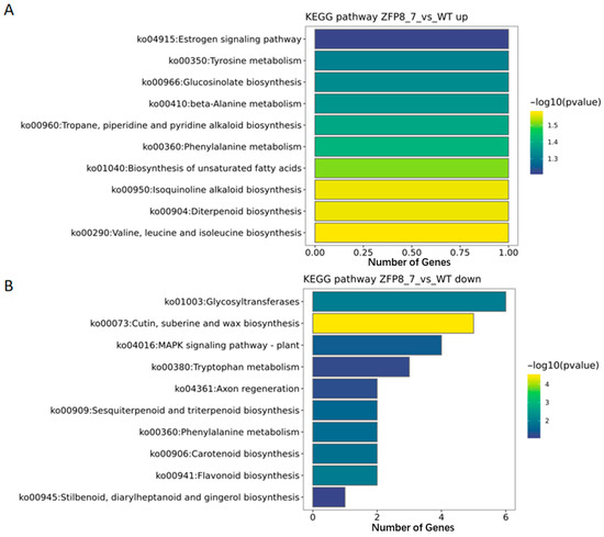
Background: The functional role of GhZFP8 (a zinc finger protein gene) in plant growth and development remains unclear. Methods: This study investigated phenotypic and transcriptomic changes in GhZFP8-transgenic vs. wild-type Arabidopsis to clarify G...

