Journal Description
World Electric Vehicle Journal
World Electric Vehicle Journal
(WEVJ) is the first international, peer-reviewed, open access journal that comprehensively covers all studies related to battery, hybrid, and fuel cell electric vehicles, published monthly online. It is the official journal of the World Electric Vehicle Association (WEVA) and its members, the E-Mobility Europe, Electric Drive Transportation Association (EDTA), and Electric Vehicle Association of Asia Pacific (EVAAP).
- Open Access— free for readers, with article processing charges (APC) paid by authors or their institutions.
- High Visibility: indexed within Scopus, ESCI (Web of Science), Ei Compendex, and other databases.
- Journal Rank: JCR - Q2 (Engineering, Electrical and Electronic) / CiteScore - Q2 (Automotive Engineering)
- Rapid Publication: manuscripts are peer-reviewed and a first decision is provided to authors approximately 21 days after submission; acceptance to publication is undertaken in 3.8 days (median values for papers published in this journal in the second half of 2025).
- Recognition of Reviewers: reviewers who provide timely, thorough peer-review reports receive vouchers entitling them to a discount on the APC of their next publication in any MDPI journal, in appreciation of the work done.
Impact Factor:
2.6 (2024)
Latest Articles
Linear Programming Formulation for Planning of Future Model-Year Mix of Electrified Powertrains
World Electr. Veh. J. 2026, 17(2), 103; https://doi.org/10.3390/wevj17020103 - 19 Feb 2026
Abstract
When looking towards the goal of reducing greenhouse gas (GHG) emissions, automotive manufacturers face several challenges when planning future vehicle offerings in different markets. The planned vehicle offerings must cope with uncertainties in the supply chains of critical materials and adhere to regulatory
[...] Read more.
When looking towards the goal of reducing greenhouse gas (GHG) emissions, automotive manufacturers face several challenges when planning future vehicle offerings in different markets. The planned vehicle offerings must cope with uncertainties in the supply chains of critical materials and adhere to regulatory requirements in different regions, all while appealing to customer preferences and maintaining low cost. Regulatory requirements, which are often based on tailpipe GHG emissions, do not necessarily align with Lifecycle Analysis (LCA) of GHG emissions, which becomes yet another challenge towards attaining sustainability goals. Planning the future mix of vehicles to be manufactured under all such considerations can be a complex task, often relying on methods with poor transparency, unguaranteed optimality, or requiring difficult-to-predict a priori knowledge. This paper considers the special case of a short time window (one future model–year), which allows for modelling the future planning decisions as a linear programming (LP) problem, which in turn, can be solved to global optimality via well-established algorithms, such as Dual-Simplex. The proposed formulation is demonstrated via one simple example, as well as a scaled-up study with two regions, two vehicle size categories, and four powertrain configurations. A key insight that the proposed formulation is able to demonstrate in the scaled-up study is how the optimum (lowest) LCA GHG solution depends on the availability of battery materials, ranging from an increased share of hybrids under low battery supply to an increased share of electric vehicles for abundant battery supply.
Full article
(This article belongs to the Section Vehicle and Transportation Systems)
►
Show Figures
Open AccessArticle
Asymmetric Explicit Synergy for Multi-Modal 3D Gaussian Pre-Training in Autonomous Driving
by
Dingwei Zhang, Jie Ji, Chengjun Huang, Bichun Li, Chennian Yu, Chenhui Qu, Zhengyuan Yang, Chen Hua and Biao Yu
World Electr. Veh. J. 2026, 17(2), 102; https://doi.org/10.3390/wevj17020102 - 19 Feb 2026
Abstract
Generative pre-training via neural rendering has become a cornerstone for scaling 3D perception in autonomous driving. However, prevalent approaches relying on implicit Neural Radiance Fields (NeRFs) face two fundamental limitations: the shape-radiance ambiguity inherent in vision-centric optimization and the prohibitive computational overhead of
[...] Read more.
Generative pre-training via neural rendering has become a cornerstone for scaling 3D perception in autonomous driving. However, prevalent approaches relying on implicit Neural Radiance Fields (NeRFs) face two fundamental limitations: the shape-radiance ambiguity inherent in vision-centric optimization and the prohibitive computational overhead of volumetric ray marching. To address these challenges, we propose AES-Gaussian, a novel multi-modal pre-training framework grounded in the efficient 3D Gaussian Splatting (3DGS) representation. Diverging from symmetric fusion paradigms, our core innovation is an Asymmetric Encoder architecture that couples a deep semantic vision backbone with a lightweight, physics-aware LiDAR branch. In this framework, LiDAR data serve not merely for semantic extraction, but as sparse physical anchors. By employing a novel Explicit Feature Synergy mechanism, we directly inject raw LiDAR intensity and depth priors into the Gaussian decoding process, thereby rigidly constraining scene geometry in open-world environments. Extensive empirical validation on the nuScenes dataset demonstrates the superiority of our approach. AES-Gaussian achieves state-of-the-art transfer performance, yielding a substantial 7.0% improvement in NDS for 3D Object Detection and a 4.8% mIoU gain in 3D semantic occupancy prediction compared to baselines. Notably, our method reduces geometric reconstruction error by over 50% while significantly improving training and inference efficiency, attributed to the streamlined asymmetric design and rapid Gaussian rasterization. Ultimately, by enhancing both perception accuracy and system efficiency, this work contributes to the development of safer and more reliable autonomous driving systems.
Full article
(This article belongs to the Section Automated and Connected Vehicles)
►▼
Show Figures

Figure 1
Open AccessArticle
Site and Capacity Planning of Electric Vehicle Charging Stations Based on Road–Grid Coupling
by
Zhenke Tian, Qingyuan Yan, Yuelong Ma and Chenchen Zhu
World Electr. Veh. J. 2026, 17(2), 101; https://doi.org/10.3390/wevj17020101 - 18 Feb 2026
Abstract
To address the rapidly growing demand for charging stations (CSs) and the associated challenges posed by the expansion of electric vehicles (EVs), this study proposes a collaborative planning method integrates user demand considerations with operational constraints at the grid level. Based on graph
[...] Read more.
To address the rapidly growing demand for charging stations (CSs) and the associated challenges posed by the expansion of electric vehicles (EVs), this study proposes a collaborative planning method integrates user demand considerations with operational constraints at the grid level. Based on graph theoretical principles, static topology models of the road network and distribution grid were constructed. A dynamic origin–destination (OD) prediction framework was then formulated by jointly considering traffic flow variations, battery energy consumption, user charging behavior, and ambient temperature, in which an enhanced gravity model is coupled with the Floyd algorithm. Charging load characteristics were quantified through Monte Carlo simulation, and K-means++ clustering was further applied to identify spatial charging demand hotspots. On this basis, a multi-objective optimization model was established to simultaneously balance the annualized cost of charging stations, user costs, and voltage deviation in the distribution network. To solve the resulting high dimensional problem, a collaborative optimization mechanism was designed by integrating a weighted Voronoi diagram with a multi-objective particle swarm optimization (MOPSO) algorithm, enabling dynamic service area partitioning and global capacity optimization. Case analysis demonstrates that the proposed method reduces user time costs by 15.8%, optimizes queue delay by 42.2%, and improves voltage stability, maintaining fluctuations within 5%. It also balances the interests of charging station operators, users, and distribution networks, with only a slight increase in construction costs. These results offer valuable theoretical and practical insights for charging infrastructure planning.
Full article
(This article belongs to the Section Charging Infrastructure and Grid Integration)
Open AccessArticle
Hydrogen Mobility in Bulgaria—Analysis of the Challenges, Prospects and Opportunities for Integration of Transport Systems (Case Study from the City of Ruse)
by
Velizara Pencheva, Asen Asenov and Aleksandar Georgiev
World Electr. Veh. J. 2026, 17(2), 100; https://doi.org/10.3390/wevj17020100 - 17 Feb 2026
Abstract
This study investigates the prospects for implementing hydrogen mobility in Bulgaria within the broader context of transport decarbonization. Using a three-dimensional framework—policy, technology, and geography—it combines analysis of European and national strategic documents, technological feasibility assessment, and a pilot case study in the
[...] Read more.
This study investigates the prospects for implementing hydrogen mobility in Bulgaria within the broader context of transport decarbonization. Using a three-dimensional framework—policy, technology, and geography—it combines analysis of European and national strategic documents, technological feasibility assessment, and a pilot case study in the city of Ruse. The pilot scenario includes a regional hydrogen ecosystem with a photovoltaic-powered electrolyzer, two refueling stations, deployment of 20 hydrogen buses, and retrofitting of a river vessel with fuel cell propulsion. Results indicate that hydrogen technologies can significantly reduce transport-related emissions, particularly where battery-electric solutions face operational constraints. Total Cost of Ownership (TCO) analysis shows that hydrogen buses remain more expensive than diesel or battery-electric alternatives under current conditions, even with locally produced green hydrogen. Sensitivity analysis demonstrates that cost competitiveness may be achieved after 2030 with large-scale investments, policy support, and reduced hydrogen prices. The study highlights the importance of coherent national strategies, public–private partnerships, and targeted financial instruments to enable sustainable integration of hydrogen in urban and river transport systems.
Full article
(This article belongs to the Section Vehicle and Transportation Systems)
►▼
Show Figures

Figure 1
Open AccessArticle
eMobility for Kids—A New Learning Workshop for 12–15 Year Olds
by
Andreas Daberkow and Barbara Wild
World Electr. Veh. J. 2026, 17(2), 99; https://doi.org/10.3390/wevj17020099 - 17 Feb 2026
Abstract
Electric mobility plays a key role in promoting climate-friendly transportation. Beyond technical development, the transition to electric mobility critically depends on early understanding, acceptance, and system literacy among future users and engineers. This manuscript positions hands-on engineering education as a complementary contribution to
[...] Read more.
Electric mobility plays a key role in promoting climate-friendly transportation. Beyond technical development, the transition to electric mobility critically depends on early understanding, acceptance, and system literacy among future users and engineers. This manuscript positions hands-on engineering education as a complementary contribution to electric vehicle research. It demonstrates how core EV concepts can be introduced to children aged 12–15 through a structured, construction-based learning format. Many school students have had little opportunity to explore energy and electricity through hands-on learning. The eMobility for Kids (eM4K) workshop integrates the assembly and operation of light electric vehicles with curriculum-aligned physics instruction. The instructional focus includes vehicle kinematics as well as fundamental concepts of electricity and energy. Over a two-day course, students build a four-wheeled electric vehicle in small teams and apply their understanding through guided driving and reflection activities. Results from multiple workshop implementations between 2023 and 2025 are presented. In addition, a short exploratory snapshot survey was conducted in parallel among participating school students. The results provide indicative insights into attitudes toward future individual electric mobility, including interest in driving a small electric vehicle at the age of 15. To the authors’ knowledge, this study represents one of the first documented and systematically described educational approaches. It explores the use of real electric vehicle systems in hands-on learning for school students.
Full article
(This article belongs to the Special Issue EVS38—International Electric Vehicle Symposium and Exhibition (Gothenburg, Sweden))
►▼
Show Figures

Graphical abstract
Open AccessArticle
Techno-Economic Dimensioning of Hybrid Energy Storage Systems for Heavy-Duty FCHEVs Considering Efficiency and Aging
by
Jorge Nájera, Jaime R. Arribas, Enrique Alcalá, Eduardo Rausell and Jose María López Martínez
World Electr. Veh. J. 2026, 17(2), 98; https://doi.org/10.3390/wevj17020098 - 17 Feb 2026
Abstract
Dimensioning the energy storage systems for a heavy-duty fuel cell hybrid electric vehicle is not straightforward. This study proposes a methodology to address this challenge, aiming to maximize efficiency while mitigating the aging effects on the energy storage systems. Various configurations of storage
[...] Read more.
Dimensioning the energy storage systems for a heavy-duty fuel cell hybrid electric vehicle is not straightforward. This study proposes a methodology to address this challenge, aiming to maximize efficiency while mitigating the aging effects on the energy storage systems. Various configurations of storage system ratios have been analyzed using the concept of hybridization percentage, which represents the ratio between the supercapacitor weight and the total weight of the energy storage elements. Simulations were conducted using models developed in AVL Cruise MTM. A case study is included to test the methodology, incorporating commercial components, a standard driving cycle, and a rule-based energy management strategy. The conclusions of this application example illustrate the types of results that can be obtained by using this hybrid energy storage system sizing methodology. Findings for this case study suggest that for cycles lacking extreme power peaks, non-hybridized configurations can be the optimal solution, as the battery size reduction outweighs the benefits of hybridization in terms of efficiency, achieving 76.08% without supercapacitors compared to 65.7% with a high hybridization grade of 32.4%, and overall cost. However, sensitivity analysis reveals that if the optimization weights are adjusted to prioritize aging over efficiency, the optimal configuration shifts to a 6.48% hybridization grade at a 0.3C threshold.
Full article
(This article belongs to the Special Issue EVS38—International Electric Vehicle Symposium and Exhibition (Gothenburg, Sweden))
►▼
Show Figures

Graphical abstract
Open AccessArticle
Educational Background and Gender Differences in the Acceptance of Autonomous Vehicle Technologies: A Large-Scale User Attitude Study from Hungary
by
Patrik Viktor and Gábor Kiss
World Electr. Veh. J. 2026, 17(2), 97; https://doi.org/10.3390/wevj17020097 - 16 Feb 2026
Abstract
The successful integration of autonomous vehicle (AV) technologies into future mobility systems depends not only on technological maturity but also on user acceptance and perceived value. While existing research has identified several demographic determinants of AV acceptance, the role of educational background—particularly differences
[...] Read more.
The successful integration of autonomous vehicle (AV) technologies into future mobility systems depends not only on technological maturity but also on user acceptance and perceived value. While existing research has identified several demographic determinants of AV acceptance, the role of educational background—particularly differences between humanities and STEM graduates—has received limited attention within the context of user-centred mobility research. This study examines how educational background and gender influence attitudes toward autonomous vehicle technologies using a large-scale survey conducted in Hungary (N = 8663). The analysis combines non-parametric statistical tests with effect size measures, exploratory factor analysis, and structural equation modelling (SEM) to capture both group differences and underlying attitudinal mechanisms. The results indicate no meaningful differences between humanities and STEM graduates in overall acceptance of autonomous vehicles or trust in the technology. Statistically significant differences are observed only in two dimensions: willingness to spend on autonomous driving features and expectations regarding improved travel speed. However, effect size analyses reveal that these differences are negligible in practical terms, indicating substantial overlap in user attitudes. SEM results show that educational background does not directly determine acceptance of autonomous vehicle technologies. Instead, its influence is mediated through three latent attitude dimensions relevant for electric and autonomous mobility adoption: willingness to invest, functional expectations (e.g., time savings and convenience), and safety orientation. Humanities graduates—especially men—exhibit slightly higher financial openness toward autonomous features, whereas STEM graduates place greater emphasis on functional performance. Safety-related attitudes play a central mediating role, with gender-specific patterns. By integrating large-sample effect size interpretation with SEM-based modelling, this study provides a nuanced understanding of user acceptance of autonomous vehicle technologies. The findings suggest that differences between educational groups reflect variations in attitudinal emphasis rather than fundamental divides, offering relevant insights for user-centred AV development, mobility policy design, and communication strategies in the transition toward automated and electric mobility systems.
Full article
(This article belongs to the Section Marketing, Promotion and Socio Economics)
►▼
Show Figures

Figure 1
Open AccessArticle
Synergies of Government Subsidies and Service Premium: A Game-Theoretic Analysis of Transport Mode Selection for Electric Vehicle Exports
by
Fangbing Liu, Xiaoqing Huang and Jizi Li
World Electr. Veh. J. 2026, 17(2), 96; https://doi.org/10.3390/wevj17020096 - 15 Feb 2026
Abstract
This paper investigates the coordination between logistics and policy decisions for electric vehicle (EV) exports under the Belt and Road Initiative. Focusing on the two modes—maritime shipping and the China Railway Express (CR Express)—along with government production subsidies, import tariffs, and service premium,
[...] Read more.
This paper investigates the coordination between logistics and policy decisions for electric vehicle (EV) exports under the Belt and Road Initiative. Focusing on the two modes—maritime shipping and the China Railway Express (CR Express)—along with government production subsidies, import tariffs, and service premium, a Stackelberg game model for a cross-border supply chain comprising a domestic manufacturer and an overseas retailer is constructed. The equilibrium outcomes under four scenarios formed by combining subsidy policies and transportation modes (Models NM, NR, GM and GR) are compared theoretically and numerically, with further evaluation of capacity constraints and power structures, as well as the robustness verification of the core findings. Results show that the CR Express mode exhibits a service-driven nonlinear cost pattern, where its service premium amplifies positive market responses. Its appeal to the manufacturer, however, is tightly constrained by fixed cost. Furthermore, government subsidies can overcome this barrier by synergizing with the service premium, turning the CR Express into a relatively advantageous strategy. Moreover, subsidy efficacy is conditional, depending heavily on the service premium level and logistics cost coefficient, leading to a proposed differentiated subsidy framework. This study offers a theoretical basis for corporate logistics strategy and targeted policy design.
Full article
(This article belongs to the Section Marketing, Promotion and Socio Economics)
►▼
Show Figures

Graphical abstract
Open AccessArticle
Comparative Performance Analysis of Isolated and Non-Isolated DC–DC Converters to Advance Electric Vehicle Charging Infrastructures
by
Priyanshu Kumar, Gopisetti Manikanta, Mohammed Hasmat Ali, Pulakraj Aryan, Nandini K. Krishnamurthy and Anubhav Kumar Pandey
World Electr. Veh. J. 2026, 17(2), 95; https://doi.org/10.3390/wevj17020095 - 13 Feb 2026
Abstract
The continued growth of electric vehicle (EV) deployment has placed increasing emphasis on the development of charging infrastructure that is efficient, reliable, and compliant with safety requirements over a wide range of power levels. In EV charging systems, DC–DC converters work as a
[...] Read more.
The continued growth of electric vehicle (EV) deployment has placed increasing emphasis on the development of charging infrastructure that is efficient, reliable, and compliant with safety requirements over a wide range of power levels. In EV charging systems, DC–DC converters work as a key interface for voltage adaptation, power regulation, and battery protection, making the choice of converter topology a crucial design consideration. This study provides a comparative and application-focused review of commonly employed isolated and non-isolated DC–DC converter topologies used in EV charging architectures. The comparison is carried out by examining voltage gain behavior, efficiency tendencies, switching and thermal stress, soft-switching capability, component utilization, control complexity, cost-related aspects, and practical deployment constraints. Fundamental operating principles and representative time-domain simulations are used to highlight relative performance trends of PWM-based and resonant isolated converters under typical charging conditions. Rather than introducing new converter structures or control methods, the objective of this work is to offer practical, design-oriented insights that support informed topology selection. Based on the comparative analysis, non-isolated converters are found to be well suited for low- to medium-power onboard charging applications, whereas isolated resonant converters are more appropriate for high-power and fast-charging systems when safety, scalability, efficiency trends, and system-level implementation factors are considered together.
Full article
(This article belongs to the Section Charging Infrastructure and Grid Integration)
►▼
Show Figures

Figure 1
Open AccessArticle
BiTraP-DGF: A Dual-Branch Gated-Fusion and Sparse-Attention Model for Pedestrian Trajectory Prediction in Autonomous Driving Scenes
by
Yutong Zhu, Gang Li, Zhihua Zhang, Hao Qiao and Wanbo Cui
World Electr. Veh. J. 2026, 17(2), 94; https://doi.org/10.3390/wevj17020094 - 13 Feb 2026
Abstract
In complex urban traffic scenes, reliable pedestrian trajectory prediction is essential for Automated and Connected Electric Vehicles (ACEVs) and active safety systems. Despite recent progress, many existing approaches still suffer from limited long-term prediction accuracy, redundant temporal features, and high computational cost, which
[...] Read more.
In complex urban traffic scenes, reliable pedestrian trajectory prediction is essential for Automated and Connected Electric Vehicles (ACEVs) and active safety systems. Despite recent progress, many existing approaches still suffer from limited long-term prediction accuracy, redundant temporal features, and high computational cost, which restricts their deployment on vehicles with constrained onboard resources. To address these issues, this paper presents a lightweight trajectory prediction framework named BiTraP-DGF. The model adopts parallel Gated Recurrent Unit (GRU) and Long Short-Term Memory (LSTM) temporal encoders to extract motion information at different time scales, allowing both short-term motion changes and longer-term movement tendencies to be captured from observed trajectories. A conditional variational autoencoder (CVAE) with a bidirectional GRU decoder is further employed to model multimodal uncertainty, where forward prediction is combined with backward goal estimation to guide trajectory generation. In addition, a gated sparse attention mechanism is introduced to suppress irrelevant temporal responses and focus on informative time segments, thereby reducing unnecessary computation. Experimental results on the JAAD dataset show that BiTraP-DGF consistently outperforms the BiTraP-NP baseline. For a prediction horizon of 1.5 s, CADE is reduced by 20.9% and CFDE by 22.8%. These results indicate that the proposed framework achieves a practical balance between prediction accuracy and computational efficiency for autonomous driving applications.
Full article
(This article belongs to the Section Automated and Connected Vehicles)
►▼
Show Figures

Figure 1
Open AccessArticle
Research on the Dynamic Performance of a New Semi-Active Hydro-Pneumatic Suspension System Based on GA-MPC Strategy
by
Ruochen Wang, Xiangwen Zhao, Renkai Ding and Jie Chen
World Electr. Veh. J. 2026, 17(2), 93; https://doi.org/10.3390/wevj17020093 - 13 Feb 2026
Abstract
To address the limited capability of conventional hydro-pneumatic suspensions in coordinated damping–stiffness regulation, this paper proposes a new semi-active hydro-pneumatic suspension (SAHPS) system based on a dual-valve shock absorber. A damping valve architecture composed of a spring check valve–solenoid proportional valve–spring check valve
[...] Read more.
To address the limited capability of conventional hydro-pneumatic suspensions in coordinated damping–stiffness regulation, this paper proposes a new semi-active hydro-pneumatic suspension (SAHPS) system based on a dual-valve shock absorber. A damping valve architecture composed of a spring check valve–solenoid proportional valve–spring check valve is arranged between the rod and rodless chambers of the hydraulic cylinder, enabling coordinated adjustment of suspension damping and equivalent stiffness. Furthermore, a genetic algorithm optimization with model predictive control (GA-MPC) is designed to enhance the overall dynamic performance of the suspension while effectively reducing the operating frequency of the solenoid proportional valve. Finally, AMESim–Simulink co-simulations and hardware-in-the-loop (HIL) experiments are conducted under bumpy road excitation and Class C random road conditions. Under Class C random road conditions, compared with passive hydro-pneumatic suspension and semi-active suspension with conventional MPC, the proposed method achieves maximum reductions of 11%, 25%, and 12.9% in the root mean square values of body acceleration, suspension working space, and dynamic tire load, respectively. The discrepancies between experimental and simulation results remain below 7%, confirming the effectiveness of the proposed system and control strategy. This study provides a new technical guidance for low-frequency vibration suppression in vehicle suspension systems.
Full article
(This article belongs to the Collection Feature Papers in Propulsion Systems and Components in Electric Vehicle)
►▼
Show Figures

Figure 1
Open AccessArticle
Design and Performance Analysis of a Vehicle Vibration Energy Harvester Based on Piezoelectric Technology with Nonlinear Magnetic Coupling
by
Jinlin Ma, Jiahao Zheng, Guoqing Geng and Kaiping Ma
World Electr. Veh. J. 2026, 17(2), 92; https://doi.org/10.3390/wevj17020092 - 12 Feb 2026
Abstract
To address the waste of mechanical energy from suspension vibrations during vehicle operation, this study proposes a vehicle suspension vibration energy harvester based on the piezoelectric effect and nonlinear magnetic coupling. It aims to recover the mechanical energy generated by suspension vibrations in
[...] Read more.
To address the waste of mechanical energy from suspension vibrations during vehicle operation, this study proposes a vehicle suspension vibration energy harvester based on the piezoelectric effect and nonlinear magnetic coupling. It aims to recover the mechanical energy generated by suspension vibrations in the course of vehicle operation. The device adopts a multi-cantilever beam array structure. Permanent magnets are symmetrically arranged on the free ends of cantilevers and suspension springs, which enables non-contact excitation and system frequency regulation. It converts mechanical energy into electrical energy by virtue of the direct piezoelectric effect. A finite element simulation model was developed in the study. A dedicated vibration test platform was also constructed. Experimental results show the following performance: Under the operating conditions of 16.75 Hz excitation frequency and 10 kΩ load resistance, a single cantilever beam can generate a peak voltage of 9.59 V. Its maximum output power reaches 7.67 mW. Under simulated Class D road conditions and at a vehicle speed of 90 km/h, the array made up of eight cantilever beams delivers a total output power of 414.37 mW. This study provides a viable technical solution for vehicle suspension vibration energy recovery. It promotes the full utilization of wasted energy, and it is of great significance for advancing sustainable development in the transportation sector.
Full article
(This article belongs to the Section Energy Supply and Sustainability)
►▼
Show Figures

Figure 1
Open AccessArticle
An Evaluation of Opportunities Arising from Hydrogen Retrofitting of Commercial Vehicles in Urban Areas: A Case Study
by
Giuseppe Napoli, Antonino Salvatore Scardino, Luciano Costanzo and Salvatore Micari
World Electr. Veh. J. 2026, 17(2), 91; https://doi.org/10.3390/wevj17020091 - 11 Feb 2026
Abstract
This article investigates the feasibility of hydrogen-based retrofitting solutions for light commercial vehicles operating in urban freight transport. The analysis is based on a mission-driven methodology applied to a representative urban case study in the city of Rome, using synthetic route profiles and
[...] Read more.
This article investigates the feasibility of hydrogen-based retrofitting solutions for light commercial vehicles operating in urban freight transport. The analysis is based on a mission-driven methodology applied to a representative urban case study in the city of Rome, using synthetic route profiles and vehicle specifications derived from manufacturer datasheets. Three representative urban delivery missions are defined, characterised by cumulative daily distances of approximately 190–200 km and associated energy requirements in the range of 54–57 kWh. These mission profiles are first used to assess a commercially representative battery electric vehicle configuration, for which the usable onboard battery energy is estimated at 41.6 kWh. The results show that, under the considered operating conditions, the battery electric configuration is not able to complete the planned routes without intermediate recharging. On this basis, a fuel cell hybrid electric vehicle retrofit configuration is evaluated, combining a 35 kWh battery, a 45 kW fuel cell system and 3.5 kg of onboard hydrogen storage at 350 bar. The resulting estimated driving range is approximately 293 km, which is sufficient to satisfy the defined mission requirements. This study is framed as a technical feasibility assessment and does not aim to provide optimisation or experimental validation. The proposed methodology can be applied to other urban contexts by adapting route characteristics and daily mileage requirements.
Full article
(This article belongs to the Section Storage Systems)
►▼
Show Figures

Figure 1
Open AccessArticle
A Validated Physics-Based Powertrain Model for an Electric Motorcycle in Sub-Saharan Africa
by
Heath Adams, Stefan Botha and Marthinus Johannes Booysen
World Electr. Veh. J. 2026, 17(2), 90; https://doi.org/10.3390/wevj17020090 - 10 Feb 2026
Abstract
Reliable prediction of energy consumption for electric motorcycles in sub-Saharan Africa requires models that reflect local riding conditions and measured component behaviour. This paper presents a validated, physics-based simulator for the Roam Air electric motorcycle that combines longitudinal dynamics with empirically derived motor
[...] Read more.
Reliable prediction of energy consumption for electric motorcycles in sub-Saharan Africa requires models that reflect local riding conditions and measured component behaviour. This paper presents a validated, physics-based simulator for the Roam Air electric motorcycle that combines longitudinal dynamics with empirically derived motor and inverter efficiency maps obtained from dynamometer testing. The model ingests measured drive cycles and elevation-derived gradients to compute tractive effort and battery power flow and is validated against six real-world city and highway trips in Nairobi. The simulator reproduces temporal battery-power profiles with strong correlations between 0.87 and 0.91 and predicts energy per distance with small positive bias, achieving errors between 0.4% and 11.3%, where the measured energy consumption per distance ranges between 30.2 and 51.7 Wh/km. A sensitivity analysis quantifies the influence of key design parameters, and a scenario analysis assesses the impact of representative African driving conditions, including terrain, posture, payload, and surface type. The resulting framework is compact, transparent, and potentially adaptable to a wide range of electric two-wheelers, supporting design optimisation and electrification planning in the region.
Full article
(This article belongs to the Section Propulsion Systems and Components)
►▼
Show Figures

Figure 1
Open AccessArticle
Reaching the End of the ICEV Domination: 35 Years of Battery Electric Vehicles in Norway
by
Erik Figenbaum
World Electr. Veh. J. 2026, 17(2), 89; https://doi.org/10.3390/wevj17020089 - 9 Feb 2026
Abstract
Norway reached a Battery Electric Vehicle market share of 96% in 2025. The fleet share reached 33%. Other countries are 5–10 years behind Norway. The extraordinary Norwegian development is the result of a 35-year-long complex process involving BEV testing from 1990 and Norwegian
[...] Read more.
Norway reached a Battery Electric Vehicle market share of 96% in 2025. The fleet share reached 33%. Other countries are 5–10 years behind Norway. The extraordinary Norwegian development is the result of a 35-year-long complex process involving BEV testing from 1990 and Norwegian BEV industrialization from 1998, supported by a large package of incentives. The incentive package remained in place after the Norwegian actors went bankrupt in 2010 and the global OEMs took over the BEV supply. Norway has a had head start over other countries with high visibility, awareness, and a BEV fleet that accounted for 35% of all BEVs in Europe to build a market from. The incentives made the new OEM BEVs immediately competitive, contrasting with other countries’ insufficient incentives and slow development. A second market expansion followed from 2017 with access to lower-cost and long-range BEVs in more market segments. The EU’s new vehicle CO2-regulation forced OEMs to sell BEVs on a large scale. BEV technology improved rapidly with longer range and faster charging at a reduced cost, making the incentive even more efficient. The model availability increased rapidly from 2020, while ICEV model availability declined rapidly from 2022, enabling Norway to reach the national target of only selling BEVs from 2025. Norway solved the demand-side challenges of BEV adoption through large market pull incentives. The early supply-side challenges were attempted to be solved with Norwegian BEV production targeting a small-city BEV niche. When that failed, a window of opportunity opened to solve the supply-side challenges with the availability of OEM BEVs. The market scope broadened to commuters and multi-vehicle households and eventually to all new vehicle buyers. By 2020, all demand-side and supply-side challenges were solved, and the transition was accelerated by societal processes.
Full article
(This article belongs to the Special Issue EVS38—International Electric Vehicle Symposium and Exhibition (Gothenburg, Sweden))
►▼
Show Figures

Figure 1
Open AccessArticle
Reduction in Measurement Time in Electrochemical Impedance Spectroscopy for Efficient Diagnosis of Batteries and Fuel Cells in Dynamic Vehicle Applications
by
Nicolas Muck and Sebastian Esser
World Electr. Veh. J. 2026, 17(2), 88; https://doi.org/10.3390/wevj17020088 - 9 Feb 2026
Abstract
This paper presents an innovative approach to modified electrochemical impedance spectroscopy (EIS) for real-time health monitoring of galvanic cells, particularly batteries and fuel cells in high-dynamic applications such as vehicles. Traditional methodologies, including cell voltage monitoring, offer limited diagnostic value. In contrast, conventional
[...] Read more.
This paper presents an innovative approach to modified electrochemical impedance spectroscopy (EIS) for real-time health monitoring of galvanic cells, particularly batteries and fuel cells in high-dynamic applications such as vehicles. Traditional methodologies, including cell voltage monitoring, offer limited diagnostic value. In contrast, conventional EIS provides comprehensive system insights; however, its applicability is constrained by prolonged measurement durations, rendering it impractical for dynamic conditions. This article presents a method that iteratively selects specific frequency bands and key points, thereby substantially reducing measurement time without compromising critical system information. This approach was initially validated using battery systems, which exhibit well-regulated operational behavior, thus facilitating a rigorous evaluation of the concept. Experimental results demonstrated that the modified EIS method achieves performance comparable to conventional EIS but with measurement times reduced by up to 92%. This validation underscores its reliability and precision, thereby supporting proactive maintenance strategies and extending system longevity. The reduction in measurement time enables more precise analyses across diverse dynamic operational spectra. Consequently, this approach constitutes a robust solution for health monitoring of fuel cells and batteries in dynamic environments, capitalizing on the advantages of EIS while addressing its inherent limitations.
Full article
(This article belongs to the Section Storage Systems)
►▼
Show Figures

Figure 1
Open AccessArticle
A New Approach to In-Wheel Motor Solutions for Electric Vehicles
by
Valentin Popovici, Ioana Ramona Grigoraș, Edward Rakosi, Tudor Marian Ulian, Gheorghe Manolache, Alexandru Gabriel Popa and Ștefan Petrovan
World Electr. Veh. J. 2026, 17(2), 87; https://doi.org/10.3390/wevj17020087 - 9 Feb 2026
Abstract
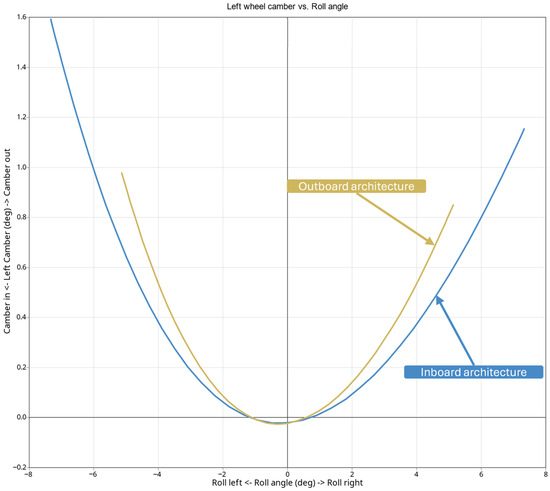
The In-Wheel Motor represents a non-conventional propulsion architecture in which the electric motor is integrated into the wheel, offering advantages such as improved energy efficiency, individual torque control, and drivetrain simplification. In this study, two architectures, inboard and outboard, were developed using an
[...] Read more.
The In-Wheel Motor represents a non-conventional propulsion architecture in which the electric motor is integrated into the wheel, offering advantages such as improved energy efficiency, individual torque control, and drivetrain simplification. In this study, two architectures, inboard and outboard, were developed using an original three-dimensional motor–brake–suspension–steering assembly model, in which disk brake position and In-Wheel Motor integration act as primary design drivers influencing vehicle dynamics. Both architectures were developed in CATIA V5 and exported to Altair Motion 2025 for multibody dynamics simulations. The study evaluates the impact of inboard versus outboard disk brake positioning on vehicle dynamics and provides a qualitative assessment of the associated architectures in terms of mechanical complexity, serviceability, sealing requirements, bearing load asymmetry, and packaging constraints. The results indicate that the inboard architecture exhibits more linear and stable kinematics and compliance (K&C) behavior compared to the outboard configuration, at the expense of increased mechanical complexity and reduced serviceability. By contrast, the outboard architecture preserves a simpler, more conventional MacPherson-like layout with a lower component count and improved service access but is dynamically outperformed under the imposed geometric constraints of the present study.
Full article
(This article belongs to the Section Propulsion Systems and Components)
►▼
Show Figures

Figure 1
Open AccessArticle
A Novel μ-Analysis-Based Estimator for State of Charge and State of Health Estimation in Lithium-Ion Batteries for Electric Vehicles
by
Chadi Nohra, Raymond Ghandour, Bechara Nehme, Mahmoud Khaled and Rachid Outbib
World Electr. Veh. J. 2026, 17(2), 86; https://doi.org/10.3390/wevj17020086 - 9 Feb 2026
Abstract
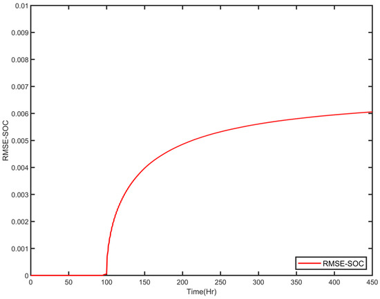
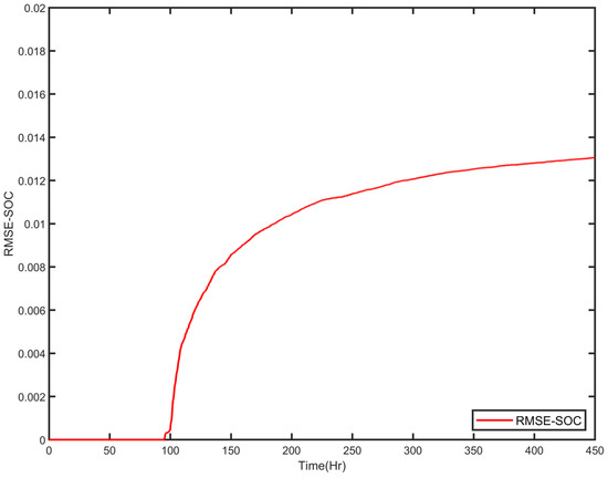
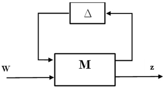
Because of their great energy density and efficiency, lithium-ion batteries (LIBs) are essential to renewable energy systems and electric vehicles. Effective battery management requires precise estimation of the state of health (SoH) and state of charge (SoC). In order to overcome the difficulties
[...] Read more.
Because of their great energy density and efficiency, lithium-ion batteries (LIBs) are essential to renewable energy systems and electric vehicles. Effective battery management requires precise estimation of the state of health (SoH) and state of charge (SoC). In order to overcome the difficulties caused by parameter fluctuations and real-world disturbances, this work presents a novel μ-analysis-based methodology designed to improve the resilience and accuracy of online SoC and SoH estimations in LIBs. In contrast to conventional techniques, the suggested strategy successfully manages both structured and unstructured uncertainties in battery systems by combining μ-analysis with model-based estimation. The framework creates an estimator that is resistant to parameter drift and outside perturbations by combining model-based estimation approaches with μ-analysis tools. Simulations using UDDS, US06, and HWFET driving cycles are used to verify its performance. When evaluating battery health and condition in dynamic and uncertain operating scenarios, the μ-analysis-based estimator demonstrates superior accuracy compared to conventional H∞-pole placement filter methods. The proposed approach enhances system robustness, achieving an 8 dB improvement in disturbance attenuation, as verified through MATLAB/Simulink. Stability analysis reveals the μ-analysis controller maintains robust performance up to ‖∆‖∞ = 3.5 at 10 Hz, compared to only ‖∆‖∞ = 1.5 for the H∞-pole placement controller—demonstrating significantly greater tolerance to parameter variations and unmodeled dynamics. These capabilities make the μ-analysis approach particularly suitable for electric vehicle applications requiring next-generation battery management systems.
Full article
(This article belongs to the Section Storage Systems)
►▼
Show Figures

Graphical abstract
Open AccessArticle
Rooftop Photovoltaics as Negative Load to Mitigate Electric Vehicle Charging Peaks in Jamali Grid by 2060 to Achieve Net Zero Emission in Indonesia
by
Joshua Veli Tampubolon, Rinaldy Dalimi and Budi Sudiarto
World Electr. Veh. J. 2026, 17(2), 85; https://doi.org/10.3390/wevj17020085 - 8 Feb 2026
Abstract
Indonesia’s long-term climate strategy targets net-zero emissions by 2060. In this context, this paper develops a simulation for the Java–Madura–Bali (Jamali) grid to quantify the joint impact of electric vehicle (EV) uptake and rooftop photovoltaic (PV) integration on system performance from 2025 to
[...] Read more.
Indonesia’s long-term climate strategy targets net-zero emissions by 2060. In this context, this paper develops a simulation for the Java–Madura–Bali (Jamali) grid to quantify the joint impact of electric vehicle (EV) uptake and rooftop photovoltaic (PV) integration on system performance from 2025 to 2060. Historical statistics and national planning projections were used to calibrate annual capacity, peak load, and energy trajectories, which were downscaled to hourly resolutions. EV charging demand, generated using state-of-charge-dependent Alternating Current (AC) and Direct Current (DC) load profiles, and PV output were modeled across a 36-year span under a 5 × 5 policy matrix, producing a 900-scenario-year. These scenarios range from Business-as-usual (BAU) to aggressive interventions (including subsidies, regulation, and smart management). The scenarios were evaluated using a min–max composite index weighting supply–demand balance, production–consumption balance, and policy cost. Based on this simulation inputs, results indicate that the scenario combining regulated EV growth with BAU PV adoption achieves the highest average composite score. While charge-time management strategies provided the best adequacy, highly interventionist EV–PV packages were the most expensive without delivering proportional benefits. The study concludes that, with this current parameter input, moderate and regulation-driven strategies outperform aggressive interventions when adequacy, balance, and cost are jointly considered.
Full article
(This article belongs to the Section Charging Infrastructure and Grid Integration)
►▼
Show Figures

Figure 1
Open AccessArticle
Modeling Street-Level Energy and Emissions: The Role of Vehicle Traffic
by
Miguel Campino, Luís Sousa, Patrícia Baptista and Gonçalo O. Duarte
World Electr. Veh. J. 2026, 17(2), 84; https://doi.org/10.3390/wevj17020084 - 8 Feb 2026
Abstract
The transportation sector accounts for 25% of CO2 global emissions. Europe aims for carbon neutrality by 2050 through new light-duty vehicle technologies and stricter regulations, though these efforts may be insufficient. This work aims to assess a small neighborhood by analyzing over
[...] Read more.
The transportation sector accounts for 25% of CO2 global emissions. Europe aims for carbon neutrality by 2050 through new light-duty vehicle technologies and stricter regulations, though these efforts may be insufficient. This work aims to assess a small neighborhood by analyzing over 19,500 routes to calculate an indicator that identifies streets with the highest impacts to evaluate the individual impacts of various light-duty vehicle technologies and examines how different combinations of technologies, based on traffic distribution, influence overall energy and emissions outcomes. The results highlight how uphill steep roads increase energy use, while downhill sections allow for energy recovery. A Street VSP Impact Factor (SVIF) was developed to identify streets with high energy use and emissions, offering insights into targeted urban planning strategies. The findings suggest that promoting BEV adoption and optimizing street infrastructure are key to reducing energy consumption and emissions in cities.
Full article
(This article belongs to the Special Issue EVS38—International Electric Vehicle Symposium and Exhibition (Gothenburg, Sweden))
►▼
Show Figures

Figure 1
Journal Menu
► ▼ Journal Menu-
- WEVJ Home
- Aims & Scope
- Editorial Board
- Topical Advisory Panel
- Instructions for Authors
- Special Issues
- Topics
- Sections & Collections
- Article Processing Charge
- Indexing & Archiving
- Editor’s Choice Articles
- Most Cited & Viewed
- Journal Statistics
- Journal History
- Journal Awards
- Society Collaborations
- Conferences
- Editorial Office
Journal Browser
► ▼ Journal BrowserHighly Accessed Articles
Latest Books
E-Mail Alert
News
Topics
Conferences
Special Issues
Special Issue in
WEVJ
EVS38—International Electric Vehicle Symposium and Exhibition (Gothenburg, Sweden)
Guest Editors: Joeri Van Mierlo, Peter Van den BosscheDeadline: 28 February 2026
Special Issue in
WEVJ
State Estimation and Efficient Charging Strategies for Lithium-Ion Batteries in Electric Vehicles
Guest Editors: Jichang Peng, Jinhao Meng, Haitao Liu, Xinrong HuangDeadline: 30 April 2026
Special Issue in
WEVJ
Power and Energy Systems for E-Mobility, 2nd Edition
Guest Editors: Wenming Yang, Anna PinnarelliDeadline: 30 April 2026
Special Issue in
WEVJ
New Journey of Energy and Electric Vehicle Revolutions-Infinities Possibilities in the Science World: In Honor of Prof. Dr. C.C. Chan’s 90th Birthday
Guest Editors: Ziqiang Zhu, Fred Eastham, James L. Kirtley, Kwok Tong Chau, Dianguo Xu, Zhengming Zhao, Ming Cheng, Dawei LiangDeadline: 31 July 2026
Topical Collections
Topical Collection in
WEVJ
Feature Papers in Propulsion Systems and Components in Electric Vehicle
Collection Editor: Vladimir Katic





