Research on the Dynamic Performance of a New Semi-Active Hydro-Pneumatic Suspension System Based on GA-MPC Strategy
Abstract
1. Introduction
- (1)
- Two damping valve systems are integrated between the rod and rodless chambers of the hydraulic cylinder, each adopting a “spring check valve-solenoid proportional valve-spring check valve” series configuration.
- (2)
- A GA-MPC strategy is proposed. Under system constraints, it outperforms traditional MPC approaches significantly, effectively improving vehicle ride comfort and tire-ground contact performance while reducing the adjustment frequency of the solenoid valve.
- (3)
- A HIL test platform is established to ensure reliable validation of the system, offering practical engineering solutions for vehicle low-frequency vibration control.
2. Nonlinear Dynamic Model of Semi-Active Hydro-Pneumatic Suspension
2.1. Dynamic Model
2.2. Accumulator Performance Analysis
2.3. Damper Performance Analysis
2.4. Single Wheel Model
3. Design of GA-MPC
4. Simulation and Analysis
4.1. Bump Excitation Profiles
4.2. Random Excitation Profiles
5. Experiment Test
6. Conclusions
- (1)
- The dual-valve shock absorber proposed in this paper enables independent and high-precision control of the suspension’s compression and extension strokes. This design not only greatly enhances the dynamic adjustability of damping characteristics but also forms a redundant control architecture to improve the overall system reliability and driving safety. In addition, its superior command response speed and shorter actuation delay ensure that the suspension still maintains excellent vehicle vibration suppression performance even under high-frequency excitation.
- (2)
- Dynamic performance simulations were carried out for passive hydro-pneumatic suspension, SAHPS with traditional MPC, and SAHPS with GA-MPC under transient road excitation and Class C random road excitation. The results show that compared with the traditional MPC scheme, the GA-MPC strategy further optimizes body acceleration, suspension working space, and dynamic tire load under bumpy road conditions. Under Class C random road conditions, the control performance of GA-MPC is significantly superior to that of traditional MPC, achieving maximum reductions of 11%, 25%, and 12.9% in the root-mean-square values of body acceleration, suspension working space, and dynamic tire load, respectively, especially in enhancing vehicle ride comfort and tire ground contact performance in the low-frequency range; while effectively reducing the operating frequency of the proportional solenoid valve.
- (3)
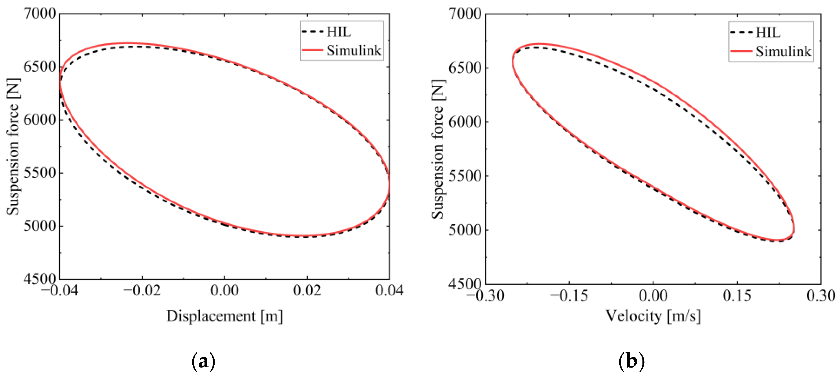
- A HIL test platform was built for verification, and the results show good consistency between simulation and experimental data. Under ideal test conditions, the error between simulated and measured data is controlled within 7%, indicating that the SAHPS system can meet the real-time control requirements of the GA-MPC strategy.
- (4)
- This study is based on known road information. Future research will focus on the coordinated control of the vehicle’s body posture and further explore adaptive control algorithms based on road condition identification.
Author Contributions
Funding
Data Availability Statement
Conflicts of Interest
Abbreviations
| Abbreviations | Nomenclature |
| ECU | Electronic control unit |
| FFT | Fast Fourier Transform |
| GA | Genetic algorithm |
| HIL | Hardware-in-the-loop |
| HRS | Hydraulic rebound stopper |
| LPV | Linear Parameter Varying |
| ISE | Integral Squared Error |
| ISMC | Integral sliding mode control |
| ITAE | Integral Time Absolute Error |
| LQR | Linear quadratic regulator |
| MPC | Model predictive control |
| PTP | Peak-to-peak |
| PSD | Power spectral density |
| QP | Quadratic programming |
| RMS | Root mean square |
| SAHPS | Semi-active hydro-pneumatic suspension |
References
- Ding, R.; Wang, R.; Meng, X.; Chen, L. Mode-switching control and stability analysis of a hybrid electromagnetic actuator for the vehicle suspension. J. Vib. Control 2020, 26, 1804–1814. [Google Scholar] [CrossRef]
- Meng, X.; Kong, L.; Ding, R.; Liu, W.; Wang, R. Research on Active Suspension Control Based on Vehicle Speed Control Under Transient Pavement Excitation. World Electr. Veh. J. 2025, 16, 232. [Google Scholar] [CrossRef]
- Tvrdic, V.; Podrug, S.; Damic, V.; Perkušić, M. Regenerative hydraulic SUSPENSION: Numerical model and Evaluation of Energy Harvesting Potential using bond graphs. Energy Sources Part A Recovery Util. Environ. Eff. 2022, 44, 10409–10432. [Google Scholar] [CrossRef]
- Nguyen, D.N.; Nguyen, T.A. Evaluate the stability of the vehicle when using the active suspension system with a hydraulic actuator controlled by the OSMC algorithm. Sci. Rep. 2022, 12, 19364. [Google Scholar] [CrossRef]
- Chen, Y.; Jiang, M.; Yang, F.; Qian, R.; Zhai, R.; Wang, H.; Xv, S. Research on Dynamic Modeling and Control of Magnetorheological Hydro-Pneumatic Suspension. Actuators 2025, 14, 73. [Google Scholar] [CrossRef]
- Liu, Q.; Liu, X.; Li, B.; Liu, S.; Li, Y.; Luo, Y.; Sha, T. Characteristics and experimental research on semi-active suspension of mining dump truck under parallel fuzzy control strategy. Proc. Inst. Mech. Eng. Part C J. Mech. Eng. Sci. 2025, 239, 9174–9190. [Google Scholar] [CrossRef]
- Rodriguez-Guevara, D.; Favela-Contreras, A.; Beltran-Carbajal, F.; Sotelo, D.; Sotelo, C. Active Suspension Control Using an MPC-LQR-LPV Controller with Attraction Sets and Quadratic Stability Conditions. Mathematics 2021, 9, 2533. [Google Scholar] [CrossRef]
- Sibielak, M.; Konieczny, J.; Smoter, A. Model and Control Synthesis for an Active Vehicle Suspension Strut Involving a Single-Rod Electrohydraulic Actuator. In Proceedings of the 2024 25th International Carpathian Control Conference (ICCC), Krynica Zdrój, Poland, 22–24 May 2024; IEEE: New York, NY, USA, 2024; pp. 1–6. [Google Scholar]
- Yang, L.; Wang, R.; Ding, R.; Liu, W.; Zhu, Z. Investigation on the dynamic performance of a new semi-active hydro-pneumatic inerter-based suspension system with MPC control strategy. Mech. Syst. Signal Process. 2021, 154, 107569. [Google Scholar] [CrossRef]
- Chen, G.; Jiang, Y.; Tang, Y.; Xu, X. Revised adaptive active disturbance rejection sliding mode control strategy for vertical stability of active hydro-pneumatic suspension. ISA Trans. 2023, 132, 490–507. [Google Scholar] [CrossRef] [PubMed]
- Flayyih, M.A.; Hamzah, M.N.; Hassan, J.M. Nonstandard Backstepping Based Integral Sliding Mode Control of Hydraulically Actuated Active Suspension System. Int. J. Automot. Technol. 2023, 24, 1665–1673. [Google Scholar] [CrossRef]
- Ling, Q.; Chen, X.; Niu, L.; Guo, Y.; Chen, S. Performance evaluation and analysis for hydraulic active suspension using the collaborative control method. Meas. Control 2024, 58, 771–783. [Google Scholar] [CrossRef]
- Sim, K.; Lee, H.; Yoon, J.W.; Choi, C.; Hwang, S.-H. Effectiveness evaluation of hydro-pneumatic and semi-active cab suspension for the improvement of ride comfort of agricultural tractors. J. Terramechanics 2017, 69, 23–32. [Google Scholar] [CrossRef]
- Diao, S.; Zhao, X.; Zhao, D.; Dong, Z.; Qin, Y. Active suspension hierarchical control with parameter uncertainty and external disturbance of electro-hydraulic actuators. Appl. Math. Model. 2024, 134, 50–70. [Google Scholar] [CrossRef]
- Fu, Y.; Zhou, X. Multi-objective optimization of multi-axle heavy duty vehicle ride comfort and handling stability based on analytical target cascading method. J. Mech. Sci. Technol. 2023, 37, 5661–5682. [Google Scholar] [CrossRef]
- Chen, P.; Chen, X. Analysis and Improvement of the Dynamic Characteristics of an Electro-Hydrostatic Actuator Based on a Vehicle’s Active Suspension. World Electr. Veh. J. 2025, 16, 586. [Google Scholar] [CrossRef]
- Yin, C.; Zhai, X.; Sun, X.; Wang, S.; Wong, P.K. Design and performance research of a hydro-pneumatic suspension with variable damping and stiffness characteristics. J. Mech. Sci. Technol. 2022, 36, 4913–4923. [Google Scholar] [CrossRef]
- Annadurai, V.; Ramanujam, R.; Keshav Anirudh, G.A.; Amitesh, R.; Subramaniam, A.S.; Raagul Ramana, K. Design of a Regenerative Inerter for a Semi-Active Vehicle Suspension System. In Proceedings of the 2023 2nd International Conference on Automation, Computing and Renewable Systems (ICACRS), Pudukkottai, India, 11–13 December 2023; IEEE: New York, NY, USA, 2023; pp. 145–149. [Google Scholar]
- Sun, J.; Han, C.; Liu, D.; Zhao, X.; Gao, C. Simulation and experimental validation of vehicle dynamic characteristics for the hydraulic rebound stopper shock absorber. J. Mech. Sci. Technol. 2025, 39, 2409–2416. [Google Scholar] [CrossRef]
- Liu, Q.; Liu, X.; Feng, H.; Li, B.; Liu, S.; Luo, Y.; Sha, T. Ride comfort analysis and optimization of a hydro-pneumatic suspension system for a mining dump truck. Proc. Inst. Mech. Eng. Part D J. Automob. Eng. 2024, 239, 3334–3346. [Google Scholar] [CrossRef]
- Mahmoodabadi, M.J.; Nejadkourki, N.; Ibrahim, M.Y. Optimal fuzzy robust state feedback control for a five DOF active suspension system. Results Control Optim. 2024, 17, 100504. [Google Scholar] [CrossRef]
- Li, Z.; Wang, Y.; Du, H.; Hu, Z. Modelling and analysis of full-vehicle hydro-pneumatic suspension system considering real-gas polytropic process. Mech. Syst. Signal Process. 2022, 165, 108406. [Google Scholar] [CrossRef]
- Chen, Z.; Zhang, J. Adaptive Neural Network Control of Heavy Vehicle Air Suspension with Uncertainties. J. Vib. Eng. Technol. 2024, 12, 8899–8915. [Google Scholar] [CrossRef]
- Huang, R.; Yin, A.; Shen, Y.; Du, F.; Yang, X. Optimizing Hydro-Pneumatic Inerter Suspension for Improved Ride Comfort and Handling Stability in Engineering Vehicles Using Simulated Annealing Algorithm. World Electr. Veh. J. 2024, 15, 36. [Google Scholar] [CrossRef]
- Ma, X.; Zheng, F.; Xu, L.; Zhang, Y.; Song, X. Sensitivity computational-fluid-dynamics analysis on the damping performance of a hydro-pneumatic spring damper system. Phys. Fluids 2025, 37, 094110. [Google Scholar] [CrossRef]
- Zhang, S.; Gu, Z.; Wu, W.; Zheng, L.; Liu, J.; Yin, S. Transient numerical investigation of a large-scale hydro-pneumatic suspension considering variations in check valve parameters and operational conditions. Int. J. Numer. Methods Heat Fluid Flow 2019, 30, 1967–1990. [Google Scholar] [CrossRef]
- Lu, Y.; Soltani, A.; Khajepour, A. A coordinated control system for truck cabin suspension based on model predictive control. Int. J. Heavy Veh. Syst. 2022, 29, 518. [Google Scholar] [CrossRef]
- Li, Q.; Chen, Z.; Song, H.; Dong, Y. Model Predictive Control for Speed-Dependent Active Suspension System with Road Preview Information. Sensors 2024, 24, 2255. [Google Scholar] [CrossRef] [PubMed]
- Gui, Q.; Wang, G.; Wang, L.; Cheng, J.; Fang, H. Road surface state recognition using deep convolution network on the low-power-consumption embedded device. Microprocess. Microsyst. 2023, 96, 104740. [Google Scholar] [CrossRef]
- Shi, R.; Yang, S.; Chen, Y.; Wang, R.; Zhang, M.; Lu, J.; Cao, Y. CNN-Transformer for visual-tactile fusion applied in road recognition of autonomous vehicles. Pattern Recognit. Lett. 2023, 166, 200–208. [Google Scholar] [CrossRef]
- Shi, X.; Huang, L.; Chen, Y. V2X and Vision Fusion Based Undulating Road Recognition and Intelligent Vehicle Control. In Proceedings of the 2022 8th International Conference on Big Data Computing and Communications (BigCom), Xiamen, China, 6–7 August 2022; IEEE: New York, NY, USA, 2022; pp. 322–330. [Google Scholar]
- Nguyen, T.A.; Tran, T.T.H.; Hoang, T.B. Design a new algorithm (iL-GA) to optimize controller parameters for an automotive suspension system. World J. Eng. 2024, 22, 711–724. [Google Scholar] [CrossRef]
- Zhang, S.; Li, M.; Li, J.; Xu, J.; Wang, Z.; Liu, S. Research on Ride Comfort Control of Air Suspension Based on Genetic Algorithm Optimized Fuzzy PID. Appl. Sci. 2024, 14, 7787. [Google Scholar] [CrossRef]












| Parameter | Description |
|---|---|
| Coding scheme | Real number coding |
| Initial population | Randomly generated within range |
| Selection function | Random consensus selection |
| Cross function | Scattered cross |
| Variation function | Constrained adaptive mutation |
| Population size | 100 |
| Elite number | 10 |
| Crossed offspring ratio | 0.4 |
| Maximum evolution algebra | 30 |
| Stop algebra | 20 |
| Fitness function deviation | 1 × 10−100 |
| Parameter | Symbol | Value |
|---|---|---|
| Sprung mass | 594.25 kg | |
| Unsprung mass | 64.25 kg | |
| Tire stiffness | 350 kN/m | |
| Gas pressure of accumulator | 118.7 bar | |
| Volume of accumulator | 0.35 L | |
| Diameter of the piston cylinder | 40 mm | |
| Diameter of the piston rod | 25 mm | |
| Pressure drop of Spring check valve1 | 4.8 L/min/bar | |
| Pressure drop of Spring check valve2 | 4.2 L/min/bar | |
| Pressure drop of Spring check valve3 | 4.0 L/min/bar | |
| Pressure drop of Spring check valve4 | 4.6 L/min/bar | |
| Maximum diameter of valve | 8 mm | |
| Flow coefficient | 0.65 | |
| Fluid density | 865 kg/m3 | |
| Lower cut-off frequency | 0.011 Hz |
| Performance | HPS | MPC | GA-MPC | ||
|---|---|---|---|---|---|
| PTP | PTP | Decrease | PTP | Decrease | |
| Body acceleration (m/s2) | 7.34 | 6.05 | 17.6% | 5.69 | 22.5% |
| Suspension working space (m) | 0.126 | 0.105 | 16.7% | 0.106 | 15.9% |
| Dynamic tire load (N) | 4690 | 4288 | 8.6% | 4074 | 13.1% |
| Performance | HPS | MPC | GA-MPC | ||
|---|---|---|---|---|---|
| RSM | RSM | Decrease | RSM | Decrease | |
| Body acceleration (m/s2) | 1.46 | 1.35 | 7.5% | 1.30 | 11% |
| Suspension working space (m) | 0.020 | 0. 017 | 15% | 0.015 | 25% |
| Dynamic tire load (N) | 1620 | 1486 | 8.3% | 1411 | 12.9% |
| Type | RSM of Body Acceleration | RSM of Suspension Working Space | RSM of Dynamic Tire Load |
|---|---|---|---|
| HIL | 1.38 | 0.016 | 1358 |
| Simulink | 1.30 | 0.015 | 1411 |
| error | 6.1% | 6.7% | −3.8% |
Disclaimer/Publisher’s Note: The statements, opinions and data contained in all publications are solely those of the individual author(s) and contributor(s) and not of MDPI and/or the editor(s). MDPI and/or the editor(s) disclaim responsibility for any injury to people or property resulting from any ideas, methods, instructions or products referred to in the content. |
© 2026 by the authors. Published by MDPI on behalf of the World Electric Vehicle Association. Licensee MDPI, Basel, Switzerland. This article is an open access article distributed under the terms and conditions of the Creative Commons Attribution (CC BY) license.
Share and Cite
Wang, R.; Zhao, X.; Ding, R.; Chen, J. Research on the Dynamic Performance of a New Semi-Active Hydro-Pneumatic Suspension System Based on GA-MPC Strategy. World Electr. Veh. J. 2026, 17, 93. https://doi.org/10.3390/wevj17020093
Wang R, Zhao X, Ding R, Chen J. Research on the Dynamic Performance of a New Semi-Active Hydro-Pneumatic Suspension System Based on GA-MPC Strategy. World Electric Vehicle Journal. 2026; 17(2):93. https://doi.org/10.3390/wevj17020093
Chicago/Turabian StyleWang, Ruochen, Xiangwen Zhao, Renkai Ding, and Jie Chen. 2026. "Research on the Dynamic Performance of a New Semi-Active Hydro-Pneumatic Suspension System Based on GA-MPC Strategy" World Electric Vehicle Journal 17, no. 2: 93. https://doi.org/10.3390/wevj17020093
APA StyleWang, R., Zhao, X., Ding, R., & Chen, J. (2026). Research on the Dynamic Performance of a New Semi-Active Hydro-Pneumatic Suspension System Based on GA-MPC Strategy. World Electric Vehicle Journal, 17(2), 93. https://doi.org/10.3390/wevj17020093

