-
Korsmeyer–Peppas Model for Diacetylaminoazotoluene (Dimazon) Release from PVA Foils: A Spectral Study -
Global Dynamics and Bifurcation of an Evolutionary Beverton-Holt Model with the Allee Effect -
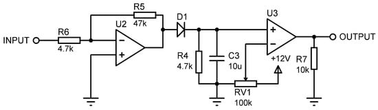
Leveraging Hierarchical Asymmetry for Efficient Resource Discovery in Message Queuing Telemetry Transport -
Existence of Solutions to Symmetric Multivalued Functional Integral Equations with Illustrative Applications in Medicine and Logistics -
Dirac Factorization, Partial/Ordinary Differential Equations and Fractional Calculus
Journal Description
Symmetry
- Open Access— free for readers, with article processing charges (APC) paid by authors or their institutions.
- High Visibility: indexed within SCIE (Web of Science), Scopus, CAPlus / SciFinder, Inspec, Astrophysics Data System, and other databases.
- Journal Rank: JCR - Q2 (Multidisciplinary Sciences) / CiteScore - Q1 (General Mathematics )
- Rapid Publication: manuscripts are peer-reviewed and a first decision is provided to authors approximately 15.8 days after submission; acceptance to publication is undertaken in 5.9 days (median values for papers published in this journal in the second half of 2025).
- Recognition of Reviewers: reviewers who provide timely, thorough peer-review reports receive vouchers entitling them to a discount on the APC of their next publication in any MDPI journal, in appreciation of the work done.
- Testimonials: See what our editors and authors say about Symmetry.
- Journal Cluster of Mathematics and Its Applications: AppliedMath, Axioms, Computation, Fractal and Fractional, Geometry, International Journal of Topology, Logics, Mathematics and Symmetry.
Latest Articles
E-Mail Alert
News
Meet Us at the 5th Molecules Medicinal Chemistry Symposium, 14–17 May 2026, Beijing, China
Meet Us Virtually at the 1st International Online Conference on Symmetry (IOCSYM 2026) 20–22 October 2026
Topics
Deadline: 28 February 2026
Deadline: 31 March 2026
Deadline: 30 April 2026
Deadline: 30 May 2026
Conferences
Special Issues
Deadline: 15 January 2026
Deadline: 26 January 2026
Deadline: 31 January 2026
Deadline: 31 January 2026

















